Sporulation Abilities and Heat Resistance of Clostridium perfringens Strains Isolated from French Food Borne Outbreaks
Abstract
1. Introduction
| Toxinotype | α-Toxin, CPA (plc or cpa) | β-Toxin, CPB (cpb) | ε-Toxin, ETX (etx) | ι-Toxin, ITX (iap and ibp) | CPE (cpe) | NetB (netB) | Main Diseases and Affected Species |
|---|---|---|---|---|---|---|---|
| A | + | − | − | − | − | − | Gas gangrene in humans and several animals; possible involvement in enterotoxemia and GI disease in ruminants, horses, and pigs; hemorrhagic gastroenteritis in dogs and horses |
| B | + | + | + | − | − | − | Lamb dysentery |
| C | + | + | − | − | +/− | − | Hemorrhagic and necrotizing enteritis in several neonatal animals; struck; enteritis necroticans (pig-bel, Darmbrand) in humans |
| D | + | − | + | − | +/− | − | Enterotoxemia in sheep, goats, and cattle; enterocolitis in goats |
| E (*) | + | − | − | + | +/− | − | Possible involvement in gastroenteritis of cattle and rabbits |
| F | + | − | − | − | + | − | Human food poisoning, antibiotic-associated diarrhea and sporadic diarrhea |
| G | + | − | − | − | − | + | Necrotic enteritis in poultry |
2. Materials and Methods
2.1. Bacterial Strains
2.2. Media Preparation for Growth and Sporulation
2.3. Spore Production
2.4. Heat Resistance Assays
2.5. Heat Resistance Estimation
2.6. Statistical Analysis
3. Results
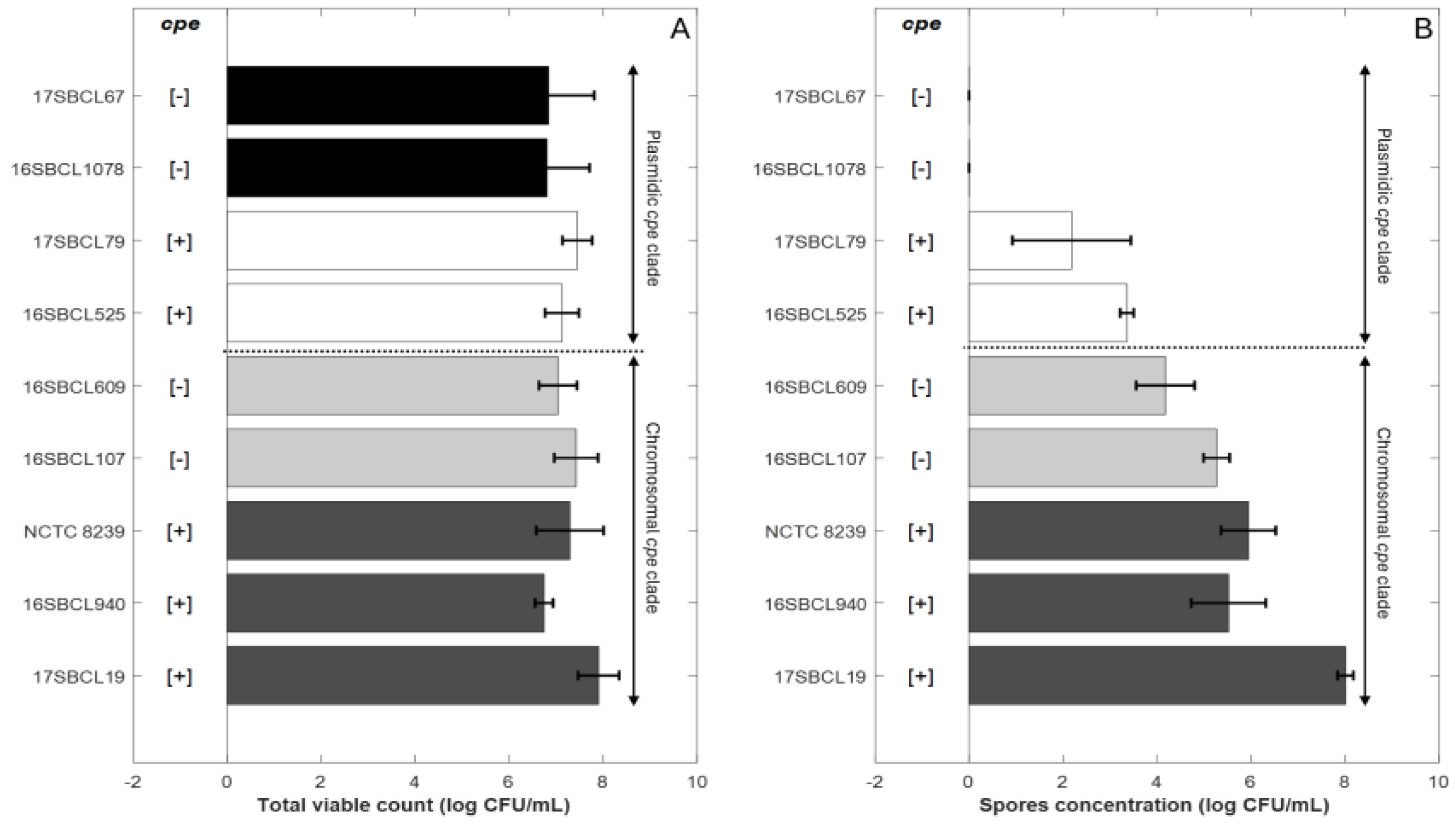
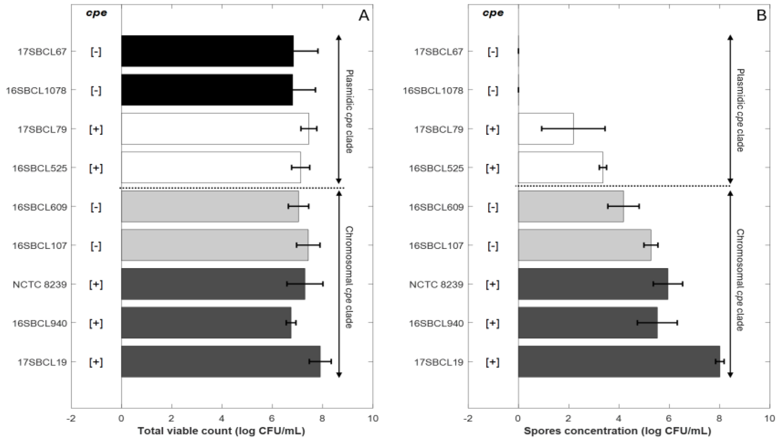
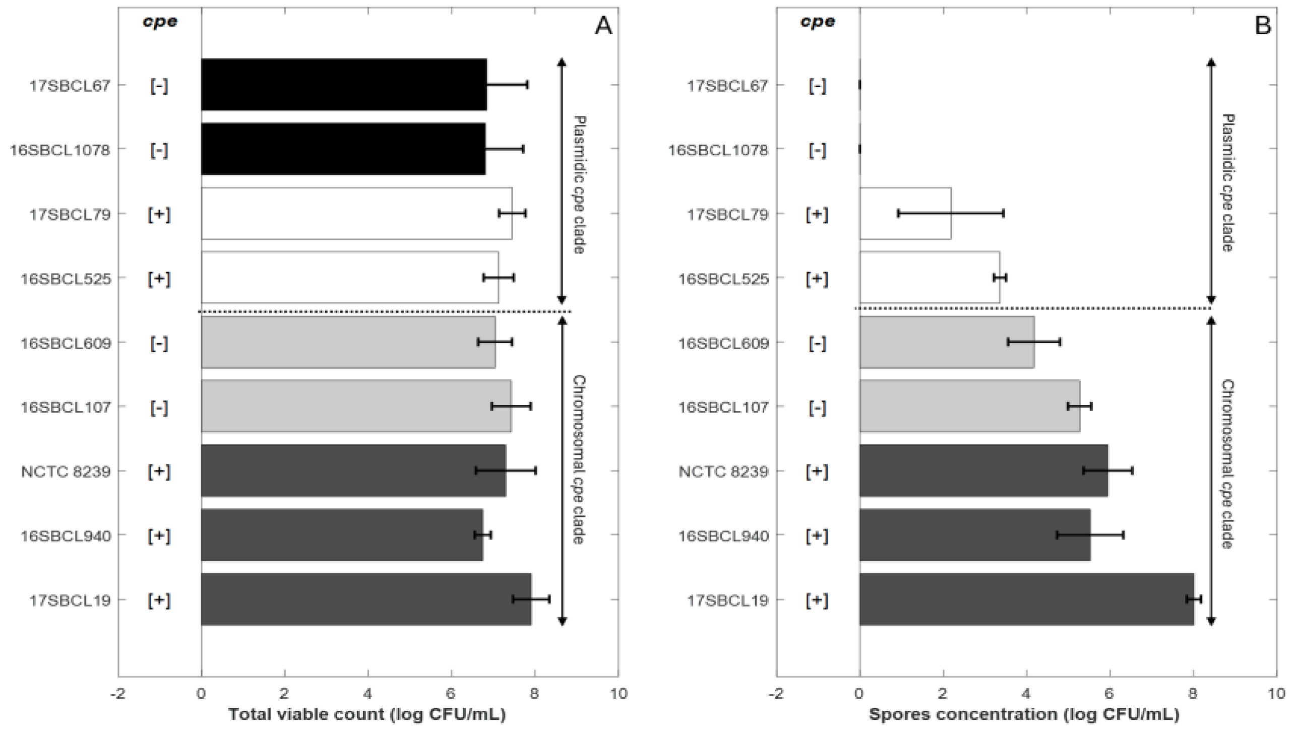
3.1. Sporulation Abilities of C. perfringens Strains
3.2. Heat Resistance Characterization of C. perfringens Strains
4. Discussion
5. Conclusions
Author Contributions
Funding
Institutional Review Board Statement
Informed Consent Statement
Data Availability Statement
Conflicts of Interest
Abbreviations
| FBO | Food-Borne outbreaks |
| CPE | Clostridium perfringens enterotoxin |
| c-cpe | chromosomal cpe |
| p-cpe | plasmidic cpe |
References
- Mahamat Abdelrahim, A.; Radomski, N.; Delannoy, S.; Djellal, S.; Le Négrate, M.; Hadjab, K.; Fach, P.; Hennekinne, J.-A.; Mistou, M.-Y.; Firmesse, O. Large-Scale Genomic Analyses and Toxinotyping of Clostridium perfringens Implicated in Foodborne Outbreaks in France. Front. Microbiol. 2019, 10, 777. [Google Scholar] [CrossRef] [PubMed]
- Mehdizadeh Gohari, I.; Navarro, M.A.; Li, J.; Shrestha, A.; Uzal, F.; McClane, B.A. Pathogenicity and Virulence of Clostridium perfringens. Virulence 2021, 12, 723–753. [Google Scholar] [CrossRef] [PubMed]
- Rood, J.I.; Adams, V.; Lacey, J.; Lyras, D.; McClane, B.A.; Melville, S.B.; Moore, R.J.; Popoff, M.R.; Sarker, M.R.; Songer, J.G.; et al. Expansion of the Clostridium perfringens Toxin-Based Typing Scheme. Anaerobe 2018, 53, 5–10. [Google Scholar] [CrossRef] [PubMed]
- Freedman, J.C.; Shrestha, A.; McClane, B.A. Clostridium perfringens Enterotoxin: Action, Genetics, and Translational Applications. Toxins 2016, 8, 73. [Google Scholar] [CrossRef]
- Shrestha, A.; Mehdizadeh Gohari, I.; Li, J.; Navarro, M.; Uzal, F.A.; McClane, B.A. The Biology and Pathogenicity of Clostridium perfringens Type F: A Common Human Enteropathogen with a New(Ish) Name. Microbiol. Mol. Biol. Rev. 2024, 88, e00140-23. [Google Scholar] [CrossRef]
- Shrestha, A.; Uzal, F.A.; McClane, B.A. Enterotoxic Clostridia: Clostridium perfringens Enteric Diseases. Microbiol. Spectr. 2018, 6. [Google Scholar] [CrossRef]
- Abdel-Glil, M.Y.; Thomas, P.; Linde, J.; Busch, A.; Wieler, L.H.; Neubauer, H.; Seyboldt, C. Comparative in Silico Genome Analysis of Clostridium perfringens Unravels Stable Phylogroups with Different Genome Characteristics and Pathogenic Potential. Sci. Rep. 2021, 11, 6756. [Google Scholar] [CrossRef]
- Brynestad, S.; Sarker, M.R.; McClane, B.A.; Granum, P.E.; Rood, J.I. Enterotoxin Plasmid from Clostridium perfringens Is Conjugative. Infect. Immun. 2001, 69, 3483–3487. [Google Scholar] [CrossRef]
- Jaakkola, K.; Virtanen, K.; Lahti, P.; Keto-Timonen, R.; Lindström, M.; Korkeala, H. Comparative Genome Analysis and Spore Heat Resistance Assay Reveal a New Component to Population Structure and Genome Epidemiology Within Clostridium perfringens Enterotoxin-Carrying Isolates. Front. Microbiol. 2021, 12, 717176. [Google Scholar] [CrossRef]
- Miyamoto, K.; Fisher, D.J.; Li, J.; Sayeed, S.; Akimoto, S.; McClane, B.A. Complete Sequencing and Diversity Analysis of the Enterotoxin-Encoding Plasmids in Clostridium perfringens Type A Non-Food-Borne Human Gastrointestinal Disease Isolates. J. Bacteriol. 2006, 188, 1585–1598. [Google Scholar] [CrossRef]
- Tran, C.; Poezevara, T.; Maladen, V.; Guillier, L.; Mtimet, N.; Malayrat, C.; Coadou, T.; Jambou, L.; Rouxel, S.; Le Bouquin, S.; et al. Isolation Rate, Genetic Diversity, and Toxinotyping of Clostridium perfringens Isolated from French Cattle, Pig or Poultry Slaughterhouses. Food Microbiol. 2026, 133, 104898. [Google Scholar] [CrossRef]
- Li, J.; Paredes-Sabja, D.; Sarker, M.R.; McClane, B.A. Further Characterization of Clostridium perfringens Small Acid Soluble Protein-4 (Ssp4) Properties and Expression. PLoS ONE 2009, 4, e6249. [Google Scholar] [CrossRef]
- Grass, J.E.; Gould, L.H.; Mahon, B.E. Epidemiology of Foodborne Disease Outbreaks Caused by Clostridium perfringens, United States, 1998–2010. Foodborne Pathog. Dis. 2013, 10, 131–136. [Google Scholar] [CrossRef]
- SPF. Surveillance des Toxi-Infections Alimentaires Collectives. Données de la Déclaration Obligatoire. 2022. Available online: https://www.santepubliquefrance.fr/maladies-et-traumatismes/maladies-infectieuses-d-origine-alimentaire/toxi-infections-alimentaires-collectives/documents/bulletin-national/surveillance-des-toxi-infections-alimentaires-collectives.-donnees-de-la-declaration-obligatoire-2022 (accessed on 20 August 2024).
- Novak, J.S.; Juneja, V.K.; McClane, B.A. An Ultrastructural Comparison of Spores from Various Strains of Clostridium perfringens and Correlations with Heat Resistance Parameters. Int. J. Food Microbiol. 2003, 86, 239–247. [Google Scholar] [CrossRef] [PubMed]
- Orsburn, B.; Melville, S.B.; Popham, D.L. Factors Contributing to Heat Resistance of Clostridium Perfringens Endospores. Appl. Environ. Microbiol. 2008, 74, 3328–3335. [Google Scholar] [CrossRef] [PubMed]
- Setlow, P.; Christie, G. New Thoughts on an Old Topic: Secrets of Bacterial Spore Resistance Slowly Being Revealed. Microbiol. Mol. Biol. Rev. 2023, 87, e0008022. [Google Scholar] [CrossRef] [PubMed]
- Leggett, M.J.; McDonnell, G.; Denyer, S.P.; Setlow, P.; Maillard, J.-Y. Bacterial Spore Structures and Their Protective Role in Biocide Resistance. J. Appl. Microbiol. 2012, 113, 485–498. [Google Scholar] [CrossRef]
- Nicholson, W.L.; Munakata, N.; Horneck, G.; Melosh, H.J.; Setlow, P. Resistance of Bacillus Endospores to Extreme Terrestrial and Extraterrestrial Environments. Microbiol. Mol. Biol. Rev. 2000, 64, 548–572. [Google Scholar] [CrossRef]
- Setlow, P. I Will Survive: DNA Protection in Bacterial Spores. Trends Microbiol. 2007, 15, 172–180. [Google Scholar] [CrossRef]
- Setlow, P. Spores of Bacillus subtilis: Their Resistance to and Killing by Radiation, Heat and Chemicals. J. Appl. Microbiol. 2006, 101, 514–525. [Google Scholar] [CrossRef]
- Coleman, W.H.; Chen, D.; Li, Y.; Cowan, A.E.; Setlow, P. How Moist Heat Kills Spores of Bacillus subtilis. J. Bacteriol. 2007, 189, 8458–8466. [Google Scholar] [CrossRef]
- Zhang, P.; Kong, L.; Setlow, P.; Li, Y. Characterization of Wet-Heat Inactivation of Single Spores of Bacillus Species by Dual-Trap Raman Spectroscopy and Elastic Light Scattering. Appl. Environ. Microbiol. 2010, 76, 1796–1805. [Google Scholar] [CrossRef] [PubMed]
- Bender, G.R.; Marquis, R.E. Spore Heat Resistance and Specific Mineralization. Appl. Environ. Microbiol. 1985, 50, 1414–1421. [Google Scholar] [CrossRef] [PubMed]
- Li, J.; McClane, B.A. A Novel Small Acid Soluble Protein Variant Is Important for Spore Resistance of Most Clostridium perfringens Food Poisoning Isolates. PLOS Pathog. 2008, 4, e1000056. [Google Scholar] [CrossRef]
- Ando, Y.; Tsuzuki, T.; Sunagawa, H.; Oka, S. Heat Resistance, Spore Germination, and Enterotoxigenicity of Clostridium perfringens. Microbiol. Immunol. 1985, 29, 317–326. [Google Scholar] [CrossRef]
- Mehdizadeh Gohari, I.; Li, J.; Shivers, R.; Sparks, S.G.; McClane, B.A. Heat Resistance Differences Are Common between Both Vegetative Cells and Spores of Clostridium perfringens Type F Isolates Carrying a Chromosomal vs Plasmid-Borne Enterotoxin Gene. Appl. Environ. Microbiol. 2024, 90, e0091424. [Google Scholar] [CrossRef]
- Mtimet, N.; Guégan, S.; Durand, L.; Mathot, A.-G.; Venaille, L.; Leguérinel, I.; Coroller, L.; Couvert, O. Effect of pH on Thermoanaerobacterium thermosaccharolyticum DSM 571 Growth, Spore Heat Resistance and Recovery. Food Microbiol. 2016, 55, 64–72. [Google Scholar] [CrossRef] [PubMed]
- Mtimet, N.; Trunet, C.; Mathot, A.-G.; Venaille, L.; Leguérinel, I.; Coroller, L.; Couvert, O. Modeling the Behavior of Geobacillus stearothermophilus ATCC 12980 throughout Its Life Cycle as Vegetative Cells or Spores Using Growth Boundaries. Food Microbiol. 2015, 48, 153–162. [Google Scholar] [CrossRef]
- Mafart, P.; Couvert, O.; Gaillard, S.; Leguerinel, I. On Calculating Sterility in Thermal Preservation Methods: Application of the Weibull Frequency Distribution Model. Int. J. Food Microbiol. 2002, 72, 107–113. [Google Scholar] [CrossRef]
- Hurvich, C.M.; Tsai, C.L. Model Selection for Extended Quasi-Likelihood Models in Small Samples. Biometrics 1995, 51, 1077–1084. [Google Scholar] [CrossRef]
- Ushijima, T.; Sugitani, A.; Ozaki, Y. A Pair of Semisolid Media Facilitate Detection of Spore and Enterotoxin of Clostridium perfringens. J. Microbiol. Methods 1987, 6, 145–152. [Google Scholar] [CrossRef]
- De Jong, A.E.I.; Beumer, R.R.; Rombouts, F.M. Optimizing Sporulation of Clostridium perfringens. J. Food Prot. 2002, 65, 1457–1462. [Google Scholar] [CrossRef] [PubMed]
- Liang, D.; Cui, X.; Li, M.; Zhu, Y.; Zhao, L.; Liu, S.; Zhao, G.; Wang, N.; Ma, Y.; Xu, L. Effects of Sporulation Conditions on the Growth, Germination, and Resistance of Clostridium perfringens Spores. Int. J. Food Microbiol. 2023, 396, 110200. [Google Scholar] [CrossRef] [PubMed]
- Philippe, V.A.; Méndez, M.B.; Huang, I.-H.; Orsaria, L.M.; Sarker, M.R.; Grau, R.R. Inorganic Phosphate Induces Spore Morphogenesis and Enterotoxin Production in the Intestinal Pathogen Clostridium perfringens. Infect. Immun. 2006, 74, 3651–3656. [Google Scholar] [CrossRef]
- Liggins, M.; Ramírez Ramírez, N.; Abel-Santos, E. Comparison of Sporulation and Germination Conditions for Clostridium perfringens Type A and G Strains. Front. Microbiol. 2023, 14, 1143399. [Google Scholar] [CrossRef]
- Anses. Hazard Datasheet: Clostridium botulinum, Clostridium Neurotoxinogènes. 2019. Available online: https://www.anses.fr/fr/system/files?file=BIORISK2016SA0074Fi.pdf (accessed on 29 October 2025).
- Camargo, A.; Ramírez, J.D.; Kiu, R.; Hall, L.J.; Muñoz, M. Unveiling the pathogenic mechanisms of Clostridium perfringens toxins and virulence factors. Emerg. Microbes Infect. 2024, 13, 2341968. [Google Scholar] [CrossRef]
- Kiu, R.; Caim, S.; Painset, A.; Pickard, D.; Swift, C.; Dougan, G.; Mather, A.E.; Amar, C.; Hall, L.J. Phylogenomic Analysis of Gastroenteritis-Associated Clostridium perfringens in England and Wales over a 7-Year Period Indicates Distribution of Clonal Toxigenic Strains in Multiple Outbreaks and Extensive Involvement of Enterotoxin-Encoding (CPE) Plasmids. Microb. Genom. 2019, 5, e000297. [Google Scholar] [CrossRef]


| Clade | Strains | Origin | Toxinotype | cpe |
|---|---|---|---|---|
| Chromosomal cpe clade (a) | 17SBSC19 | FBOs, France, 2017, sweet potato and shallot compote, plant-based | F | [+] |
| 16SBCL940 | FBOs, France, 2015, Russian-style chicken, poultry | F | [+] | |
| NCTC 8239 | United Kingdom, 1952, salted beef, bovine | F | [+] | |
| 16SBCL107 | FBOs, France, 2013, sautéed turkey, poultry | A | [−] | |
| 16SBCL609 | FBOs, France, 2015, vegetables, plant-based | A | [−] | |
| Plasmidic cpe clade (b) | 16SBCL525 | FBOs, France, 2016, vegetables, plant-based | F | [+] |
| 17SBCL79 | FBOs, France, 2017, veal stew in white sauce, bovine | F | [+] | |
| 17SBCL67 | FBOs, France, 2017, roast chicken seasoning, plant-based | A | [−] | |
| 16SBCL1078 | FBOs, France, 2016, chicken coriander stir-fry, poultry | A | [−] |
| Clade | Strains | Origin | Toxinotype | cpe | δ85 °C (min) (c) | δ95 °C (min) (c) |
|---|---|---|---|---|---|---|
| Chromosomal cpe clade (a) | 17SBSC19 | FBOs, France, 2017, sweet potato and shallot compote, plant-based | F | [+] | 328 ± 136 | 47 ± 24 |
| 16SBCL940 | FBOs, France, 2015, Russian-style chicken, poultry | F | [+] | 148 ± 100 | 55 ± 38 | |
| NCTC 8239 | United Kingdom, 1952, salted beef, bovine | F | [+] | 155 ± 120 | 46 ± 14 | |
| Average | 210 ± 137 | 49 ± 20 | ||||
| 16SBCL107 | FBOs, France, 2013, sautéed turkey, poultry | A | [−] | 62 ± 37 | 9 ± 4 | |
| 16SBCL609 | FBOs, France, 2015, vegetables, plant-based | A | [−] | 75 ± 15 | 10 ± 3 | |
| Average | 69 ± 26 | 9.5 ± 3.4 | ||||
| Plasmidic cpe clade (b) | 16SBCL525 | FBOs, France, 2016, vegetables, plant-based | F | [+] | 19 ± 15 | * |
| 17SBCL79 | FBOs, France, 2017, veal stew in white sauce, bovine | F | [+] | 5 ± 8 | * | |
| Average | 12 ± 13 | * | ||||
| Numbers of data | 34 survival curves | |||||
| p | 0.68 ± 0.06 | |||||
| R2 | 0.99 | |||||
| MSE | 0.02 | |||||
| RMSE | 0.15 | |||||
| AICc | −105.29 | |||||
| Strain | TOXINOTYPE | cpe | cpe Location | Origin | Year of Isolation | Region/Country | D100 °C (min) (a) | δ95 °C (min) (b) | D89 °C (min) (a) | δ85 °C (min) (b) | Average and Stand Deviation [Study] |
|---|---|---|---|---|---|---|---|---|---|---|---|
| NCTC8239 | F | (+) | Chromosome | Food (salted beef) Food poisoning | 1952 | The United Kingdom | 43.3 | D100 °C (min) (a) = 53.3 ± 10.03 [27] | |||
| 191–10 | F | (+) | Chromosome | Human | 1990 | The United States | 64.3 | ||||
| FD1041 | F | (+) | Chromosome | Human | 1980 | The United States | 49.7 | ||||
| E13 | F | (+) | Chromosome | Human | 1960 | The United States | 45.5 | ||||
| NCTC10239 | F | (+) | Chromosome | Human | 1950 | Europe | 63.7 | ||||
| 17SBSC19 | F | (+) | Chromosome | Plant-based, food poisoning | 2017 | France | 47 | δ95 °C (min) (b) = 49 ± 20 [This study] | |||
| 16SBCL940 | F | (+) | Chromosome | Poultry, food poisoning | 2015 | France | 55 | ||||
| NCTC8239 | F | (+) | Chromosome | Food (salted beef), Food poisoning | 1952 | The United Kingdom | 46 | ||||
| AAD1900a | F | (+) | Plasmide | Feces, human, antibiotic associated diarrhea | 2002 | Finland | 3.07 | D89 °C (min) (a) = 2.4 ± 2.44 [9] | |||
| CPI 18-1b | F | (+) | Plasmide | Feces, human, healthy | 2003 | Finland | 0.56 | ||||
| CPI 39-1a | F | (+) | Plasmide | Feces, human, healthy | 2003 | Finland | 1.55 | ||||
| CPLi 6-1 | F | (+) | Plasmide | Sludge | 2007 | Finland | 1.53 | ||||
| CPM 77b | F | (+) | Plasmide | Soil | 2000 | Finland | 0.59 | ||||
| C216 | F | (+) | Plasmide | Roast beef, Food poisoning | 2006 | Finland | 0.92 | ||||
| 149/92 | F | (+) | Plasmide | Feces, Food poisoning | 1992 | Germany | 6.42 | ||||
| AAD 1527a | F | (+) | Plasmide | Feces, human, antibiotic associated diarrhea | 2002 | Finland | 5.10 | ||||
| AAD1903 | F | (+) | Plasmide | Feces, human, antibiotic associated diarrhea | 2002 | Finland | 1.03 | ||||
| CPI 53k-r1 | F | (+) | Plasmide | Feces, human, healthy | 2003 | Finland | 0.50 | ||||
| CPI 63K-r5 | F | (+) | Plasmide | Feces, human, healthy | 2003 | Finland | 1.28 | ||||
| CPI 75-1 | F | (+) | Plasmide | Feces, human, healthy | 2003 | Finland | 8.05 | ||||
| CPLi3-1 | F | (+) | Plasmide | Sludge | 2003 | Finland | 0.38 | ||||
| 721/84 | F | (+) | Plasmide | Rabbit meat | 1984 | Germany | 3.10 | ||||
| 16SBCL525 | F | (+) | Plasmide | Plant-based, food poisoning | 2016 | France | 19 | δ85 °C (min) (b) = 12 ± 13 [This study] | |||
| 17SBCL79 | F | (+) | Plasmide | Bovine, food poisoning | 2017 | France | 5 | ||||
| CPI 18-6 | A | (−) | * | Feces, human, healthy | 2003 | Finland | 0.84 | D89 °C (min) (a) = 1.5 ± 0.63 [9] | |||
| CPN 17a | A | (−) | * | Cattle feces | 2000 | Finland | 2.08 | ||||
| CPS 2a | A | (−) | * | Pig feces | 2000 | Finland | 1.65 | ||||
| 16SBCL107 | A | (−) | * | Poultry, food poisoning | 2013 | France | 62 | δ85 °C (min) (b) = 69 ± 26 [This study] | |||
| 16SBCL609 | A | (−) | * | Plant-based, food poisoning | 2015 | France | 75 |
Disclaimer/Publisher’s Note: The statements, opinions and data contained in all publications are solely those of the individual author(s) and contributor(s) and not of MDPI and/or the editor(s). MDPI and/or the editor(s) disclaim responsibility for any injury to people or property resulting from any ideas, methods, instructions or products referred to in the content. |
© 2025 by the authors. Licensee MDPI, Basel, Switzerland. This article is an open access article distributed under the terms and conditions of the Creative Commons Attribution (CC BY) license (https://creativecommons.org/licenses/by/4.0/).
Share and Cite
Firmesse, O.; Maladen, V.; Bourelle, W.; Federighi, M.; Tran, C.; Mtimet, N. Sporulation Abilities and Heat Resistance of Clostridium perfringens Strains Isolated from French Food Borne Outbreaks. Foods 2025, 14, 3735. https://doi.org/10.3390/foods14213735
Firmesse O, Maladen V, Bourelle W, Federighi M, Tran C, Mtimet N. Sporulation Abilities and Heat Resistance of Clostridium perfringens Strains Isolated from French Food Borne Outbreaks. Foods. 2025; 14(21):3735. https://doi.org/10.3390/foods14213735
Chicago/Turabian StyleFirmesse, Olivier, Véronique Maladen, William Bourelle, Michel Federighi, Christina Tran, and Narjes Mtimet. 2025. "Sporulation Abilities and Heat Resistance of Clostridium perfringens Strains Isolated from French Food Borne Outbreaks" Foods 14, no. 21: 3735. https://doi.org/10.3390/foods14213735
APA StyleFirmesse, O., Maladen, V., Bourelle, W., Federighi, M., Tran, C., & Mtimet, N. (2025). Sporulation Abilities and Heat Resistance of Clostridium perfringens Strains Isolated from French Food Borne Outbreaks. Foods, 14(21), 3735. https://doi.org/10.3390/foods14213735

