Non-Destructive Sensing of Tea Pigments in Black Tea Rolling Process
Abstract
1. Introduction
2. Materials and Methods
2.1. Sample Preparation and Experimental Procedure
2.2. Acquisition of Electrical Parameters
2.3. Determination of Tea Pigment Content
2.4. Data Processing and Analysis
2.4.1. Data Preprocessing
2.4.2. Feature Variable Selection
2.4.3. Model Development and Evaluation
3. Results and Discussion
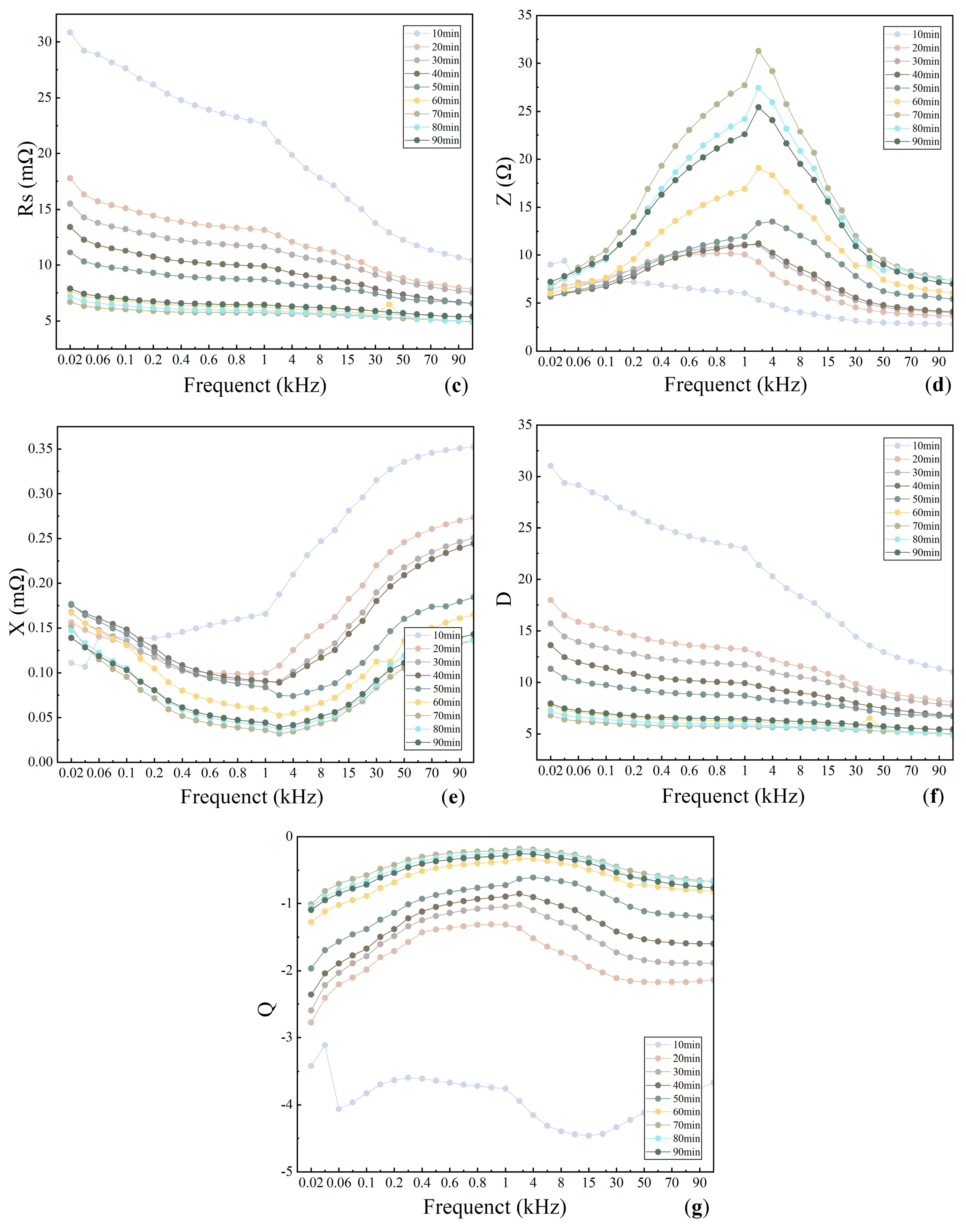
3.1. Variation Trends in Electrical Parameters
3.2. Variation Trends of Tea Pigments
3.3. Development of Predictive Models for Tea Pigment Content
3.3.1. Optimization of Data Preprocessing Methods
3.3.2. Selection of Characteristic Electrical Parameters and Development of Linear Predictive Models
3.3.3. Development of Nonlinear Predictive Models for Tea Pigment Content
3.4. Model Comparison and Evaluation
4. Conclusions
Author Contributions
Funding
Institutional Review Board Statement
Informed Consent Statement
Data Availability Statement
Conflicts of Interest
References
- Kaczyński, P.; Iwaniuk, P.; Jankowska, M.; Orywal, K.; Socha, K.; Perkowski, M.; Farhan, J.A.; Ozowicka, B. Pesticide residues in common and herbal teas combined with risk assessment and transfer to the infusion. Chemosphere 2024, 367, 143550. [Google Scholar] [CrossRef]
- Wang, W.W.; Le, T.; Wang, W.; Yu, L.T.; Yang, L.J.; Jiang, H.Y. Effects of Key Components on the Antioxidant Activity of Black Tea. Foods 2023, 12, 3134. [Google Scholar] [CrossRef]
- Zou, H.; Lan, T.; Jiang, Y.; Yu, X.-L.; Yuan, H. Research on Rapid Detection Methods of Tea Pigments Content During Rolling of Black Tea Based on Machine Vision Technology. Foods 2024, 13, 3718. [Google Scholar] [CrossRef]
- Wu, S.; Yu, Q.; Shen, S.; Shan, X.; Hua, J.; Zhu, J.; Qiu, J.; Deng, Y.; Zhou, Q.; Jiang, Y.; et al. Non-targeted metabolomics and electronic tongue analysis reveal the effect of rolling time on the sensory quality and nonvolatile metabolites of congou black tea. LWT Food Sci. Technol. 2022, 169, 113971. [Google Scholar] [CrossRef]
- Zhang, S.; Wu, S.; Yu, Q.; Shan, X.; Chen, L.; Deng, Y.; Hua, J.; Zhu, J.; Zhou, Q.; Jiang, Y.; et al. The influence of rolling pressure on the changes in non-volatile compounds and sensory quality of congou black tea: The combination of metabolomics, E-tongue, and chromatic differences analyses. Food Chem. X 2023, 20, 100989. [Google Scholar] [CrossRef]
- Lu, L.; Liu, J.; Zhang, W.; Cheng, X.; Zhang, B.; Yang, Y.; Que, Y.; Li, Y.; Li, X. Key Factors of Quality Formation in Wuyi Black Tea during Processing Timing. Foods 2024, 13, 1373. [Google Scholar] [CrossRef] [PubMed]
- Shen, S.; Ren, N.; Zheng, H.; Xue, X.; Ye, Y.; Liu, T.; Zhang, Q.; Yu, G. Rapid and real time detection of black tea rolling quality by using an inexpensive machine vison system. Food Res. Int. 2025, 205, 115983. [Google Scholar] [CrossRef]
- Zhu, H.; Liu, F.; Ye, Y.; Chen, L.; Li, J.; Gu, A.; Zhang, J.; Dong, C. Application of machine learning algorithms in quality assurance of fermentation process of black tea-based on electrical properties. J. Food Eng. 2019, 263, 165–172. [Google Scholar] [CrossRef]
- Luo, Q.; Zhang, D.; Zhou, J.; Qin, M.; Ntezimana, B.; Jiang, X.; Zhu, J.; Yu, Z.; Chen, Y.; Ni, D. Oxidation of tea polyphenols promotes chlorophyll degradation during black tea fermentation. Food Res. Int. 2024, 196, 115016. [Google Scholar] [CrossRef] [PubMed]
- Zhu, J.; Wang, J.; Yuan, H.; Ouyang, W.; Li, J.; Hua, J.; Jiang, Y. Effects of Fermentation Temperature and Time on the Color Attributes and Tea Pigments of Yunnan Congou Black Tea. Foods 2022, 11, 1845. [Google Scholar] [CrossRef] [PubMed]
- Hua, J.; Wang, H.; Yuan, H.; Yin, P.; Wang, J.; Guo, G.; Jiang, Y. New insights into the effect of fermentation temperature and duration on catechins conversion and formation of tea pigments and theasinensins in black tea. J. Sci. Food Agric. 2022, 102, 2750–2760. [Google Scholar] [CrossRef] [PubMed]
- Dong, C.; Ye, Y.; Yang, C.; An, T.; Jiang, Y.; Ye, Y.; Li, Y.; Yang, Y. Rapid detection of catechins during black tea fermentation based on electrical properties and chemometrics. Food Biosci. 2021, 40, 100855. [Google Scholar] [CrossRef]
- An, T.; Wang, Z.; Li, G.; Fan, S.; Huang, W.; Duan, D.; Zhao, C.; Tian, X.; Dong, C. Monitoring the major taste components during black tea fermentation using multielement fusion information in decision level. Food Chem. X 2023, 18, 100718. [Google Scholar] [CrossRef]
- GB/T 35810-2018; Technical Regulations for Processing of Black Tea. Standard Press of China: Beijing, China, 2018.
- Horn, B.; Esslinger, S.; Pfister, M.; Fauhl-Hassek, C.; Riedl, J. Non-targeted detection of paprika adulteration using mid-infrared spectroscopy and one-class classification-Is it data preprocessing that makes the performance? Food Chem. 2018, 257, 112–119. [Google Scholar] [CrossRef]
- Ye, S.; Weng, H.; Xiang, L.; Jia, L.; Xu, J. Synchronously Predicting Tea Polyphenol and Epigallocatechin Gallate in Tea Leaves Using Fourier Transform-Near-Infrared Spectroscopy and Machine Learning. Molecules 2023, 28, 5379. [Google Scholar] [CrossRef]
- Li, M.; Dong, S.; Cao, S.; Cui, Q.; Chen, Q.; Ning, J.; Li, L. A rapid aroma quantification method: Colorimetric sensor-coupled multidimensional spectroscopy applied to black tea aroma. Talanta 2023, 263, 124622. [Google Scholar] [CrossRef]
- Yin, Y.; Li, J.; Ling, C.; Zhang, S.; Liu, C.; Sun, X.; Wu, J. Fusing spectral and image information for characterization of black tea grade based on hyperspectral technology. LWT Food Sci. Technol. 2023, 185, 115150. [Google Scholar] [CrossRef]
- Wang, Y.-J.; Li, T.-H.; Li, L.-Q.; Ning, J.-M.; Zhang, Z.-Z. Evaluating taste-related attributes of black tea by micro-NIRS. J. Food Eng. 2021, 290, 110181. [Google Scholar] [CrossRef]
- Yun, Y.H.; Wang, W.T.; Deng, B.C.; Lai, G.B.; Liu, X.B.; Ren, D.B.; Liang, Y.Z.; Fan, W.; Xu, Q.S. Using variable combination population analysis for variable selection in multivariate calibration. Anal. Chim. Acta 2015, 862, 14–23. [Google Scholar] [CrossRef] [PubMed]
- Liu, Z.; Zhang, R.; Yang, C.; Hu, B.; Luo, X.; Li, Y.; Dong, C. Research on moisture content detection method during green tea processing based on machine vision and near-infrared spectroscopy technology. Spectrochim. Acta Part A Mol. Biomol. Spectrosc. 2022, 271, 120921. [Google Scholar] [CrossRef]
- Liu, H.W.; Chen, F.N.; Zhang, L.L.; Meng, D.T.; Sun, H.W. Improvement method for tea leaf moisture content prediction using VIS-NIR spectrum based on transfer learning. Spectrochim. Acta Part A Mol. Biomol. Spectrosc. 2025, 343, 126571. [Google Scholar] [CrossRef]
- Li, F.L.; Shen, J.F.; Yang, Q.F.; Wei, Y.N.; Zuo, Y.F.; Wang, Y.J.; Ning, J.M.; Li, L.Q. Monitoring quality changes in green tea during storage: A hyperspectral imaging method. Food Chem. X 2024, 23, 101538. [Google Scholar] [CrossRef]
- Liu, M.; Wang, R.; Shi, D.; Cao, R. Non-destructive prediction of tea polyphenols during Pu-erh tea fermentation using NIR coupled with chemometrics methods. J. Food Compos. Anal. 2024, 131, 106247. [Google Scholar] [CrossRef]
- Zhang, Z.; Zeng, S.; Ji, T.; Cao, M.; Guo, W. Generation of fruit’s spectra with hundreds of wavelengths from obtained multi-spectra and spectral application using deep learning. Comput. Electron. Agric. 2023, 210, 107882. [Google Scholar] [CrossRef]
- Li, Y.; Sun, J.; Wu, X.; Lu, B.; Wu, M.; Dai, C. Grade Identification of Tieguanyin Tea Using Fluorescence Hyperspectra and Different Statistical Algorithms. J. Food Sci. 2019, 84, 2234–2241. [Google Scholar] [CrossRef]
- Li, L.; Jin, S.; Wang, Y.; Liu, Y.; Shen, S.; Li, M.; Ma, Z.; Ning, J.; Zhang, Z. Potential of smartphone-coupled micro NIR spectroscopy for quality control of green tea. Spectrochim. Acta Part A Mol. Biomol. Spectrosc. 2021, 247, 119096. [Google Scholar] [CrossRef]
- Zhu, F.; Wei, H.; Shen, Y.; Zhang, Y.; Xu, N.; Zheng, H.; Qiao, X.; Liu, D. A multi-feature fusion based method for detecting the moisture content of withered black tea. J. Food Compos. Anal. 2025, 141, 107325. [Google Scholar] [CrossRef]
- Yun, Y.-H.; Bin, J.; Liu, D.-L.; Xu, L.; Yan, T.-L.; Cao, D.-S.; Xu, Q.-S. A hybrid variable selection strategy based on continuous shrinkage of variable space in multivariate calibration. Anal. Chim. Acta 2019, 1058, 58–69. [Google Scholar] [CrossRef]
- Song, F.; Zheng, Y.; Li, R.; Li, Z.; Liu, B.; Wu, X. Intelligent control of green tea fixation with Microwave Processing. J. Food Eng. 2023, 349, 111481. [Google Scholar] [CrossRef]
- Tang, T.; Luo, Q.; Yang, L.; Gao, C.; Ling, C.; Wu, W. Research Review on Quality Detection of Fresh Tea Leaves Based on Spectral Technology. Foods 2024, 13, 25. [Google Scholar] [CrossRef] [PubMed]






| Quality Index | Preparation Method | PCs | Calibration Sets | Prediction Sets | |||
|---|---|---|---|---|---|---|---|
| Rcv | RMSECV | Rp | RMSEP | RPD | |||
| TFs | Raw | 10 | 0.973 | 0.050 | 0.963 | 0.056 | 3.329 |
| MSC | 10 | 0.977 | 0.042 | 0.929 | 0.070 | 2.429 | |
| Min-Max | 10 | 0.979 | 0.040 | 0.935 | 0.070 | 2.410 | |
| Smooth | 10 | 0.971 | 0.052 | 0.963 | 0.056 | 3.428 | |
| TRs | Raw | 9 | 0.963 | 0.347 | 0.943 | 0.387 | 2.701 |
| MSC | 10 | 0.986 | 0.201 | 0.917 | 0.398 | 2.268 | |
| Min-Max | 10 | 0.985 | 0.208 | 0.935 | 0.373 | 2.444 | |
| Smooth | 10 | 0.966 | 0.333 | 0.947 | 0.372 | 2.856 | |
| TBs | Raw | 9 | 0.961 | 0.330 | 0.961 | 0.303 | 3.284 |
| MSC | 10 | 0.978 | 0.227 | 0.936 | 0.342 | 2.555 | |
| Min-Max | 10 | 0.980 | 0.222 | 0.941 | 0.332 | 2.674 | |
| Smooth | 10 | 0.965 | 0.313 | 0.965 | 0.283 | 3.609 | |
| Model | Quality Index | Feature Extraction | Variables | PCs | Parameter | Calibration Sets | Prediction Sets | |||
|---|---|---|---|---|---|---|---|---|---|---|
| Rcv | RMSECV | Rp | RMSEP | RPD | ||||||
| PLSR | TFs | — | 210 | 10 | — | 0.971 | 0.052 | 0.963 | 0.056 | 3.428 |
| CARS | 20 | 7 | — | 0.976 | 0.044 | 0.964 | 0.055 | 3.362 | ||
| UVE | 20 | 9 | — | 0.928 | 0.065 | 0.944 | 0.075 | 2.159 | ||
| VCPA-IRIV | 14 | 8 | — | 0.976 | 0.047 | 0.969 | 0.052 | 3.559 | ||
| TRs | — | 210 | 10 | — | 0.966 | 0.333 | 0.947 | 0.372 | 2.856 | |
| CARS | 18 | 9 | — | 0.983 | 0.211 | 0.965 | 0.307 | 3.471 | ||
| UVE | 57 | 10 | — | 0.973 | 0.298 | 0.951 | 0.361 | 2.935 | ||
| VCPA-IRIV | 10 | 9 | — | 0.991 | 0.172 | 0.980 | 0.234 | 4.660 | ||
| — | 210 | 9 | — | 0.965 | 0.313 | 0.965 | 0.283 | 3.609 | ||
| TBs | CARS | 23 | 9 | — | 0.976 | 0.260 | 0.961 | 0.296 | 3.351 | |
| UVE | 25 | 10 | — | 0.958 | 0.344 | 0.961 | 0.333 | 2.673 | ||
| VCPA-IRIV | 13 | 10 | — | 0.989 | 0.180 | 0.983 | 0.197 | 5.347 | ||
| SVR | TFs | VCPA-IRIV | 14 | — | c = 0.758 g = 0.004 | 1.000 | 0.010 | 0.995 | 0.022 | 9.192 |
| TRs | VCPA-IRIV | 10 | — | c = 9.190 g = 0.004 | 0.992 | 0.126 | 0.990 | 0.168 | 6.511 | |
| TBs | VCPA-IRIV | 13 | — | c = 256 g = 0.004 | 0.999 | 0.059 | 0.995 | 0.121 | 9.135 | |
Disclaimer/Publisher’s Note: The statements, opinions and data contained in all publications are solely those of the individual author(s) and contributor(s) and not of MDPI and/or the editor(s). MDPI and/or the editor(s) disclaim responsibility for any injury to people or property resulting from any ideas, methods, instructions or products referred to in the content. |
© 2025 by the authors. Licensee MDPI, Basel, Switzerland. This article is an open access article distributed under the terms and conditions of the Creative Commons Attribution (CC BY) license (https://creativecommons.org/licenses/by/4.0/).
Share and Cite
Xuan, X.; An, T.; Zou, H.; Ma, J.; Jiang, Y.; Yuan, H.; Zhang, H. Non-Destructive Sensing of Tea Pigments in Black Tea Rolling Process. Foods 2025, 14, 3723. https://doi.org/10.3390/foods14213723
Xuan X, An T, Zou H, Ma J, Jiang Y, Yuan H, Zhang H. Non-Destructive Sensing of Tea Pigments in Black Tea Rolling Process. Foods. 2025; 14(21):3723. https://doi.org/10.3390/foods14213723
Chicago/Turabian StyleXuan, Xuan, Ting An, Hanting Zou, Jiancheng Ma, Yongwen Jiang, Haibo Yuan, and Haihua Zhang. 2025. "Non-Destructive Sensing of Tea Pigments in Black Tea Rolling Process" Foods 14, no. 21: 3723. https://doi.org/10.3390/foods14213723
APA StyleXuan, X., An, T., Zou, H., Ma, J., Jiang, Y., Yuan, H., & Zhang, H. (2025). Non-Destructive Sensing of Tea Pigments in Black Tea Rolling Process. Foods, 14(21), 3723. https://doi.org/10.3390/foods14213723

