Audiovisual Integration Enhances Customer Perception of Artisanal Bread Sounds
Abstract
1. Introduction
2. Methods
2.1. Participants
2.2. Materials
2.3. Measures and Procedure
2.4. Empirical Analysis
3. Results
3.1. Preliminary Analysis
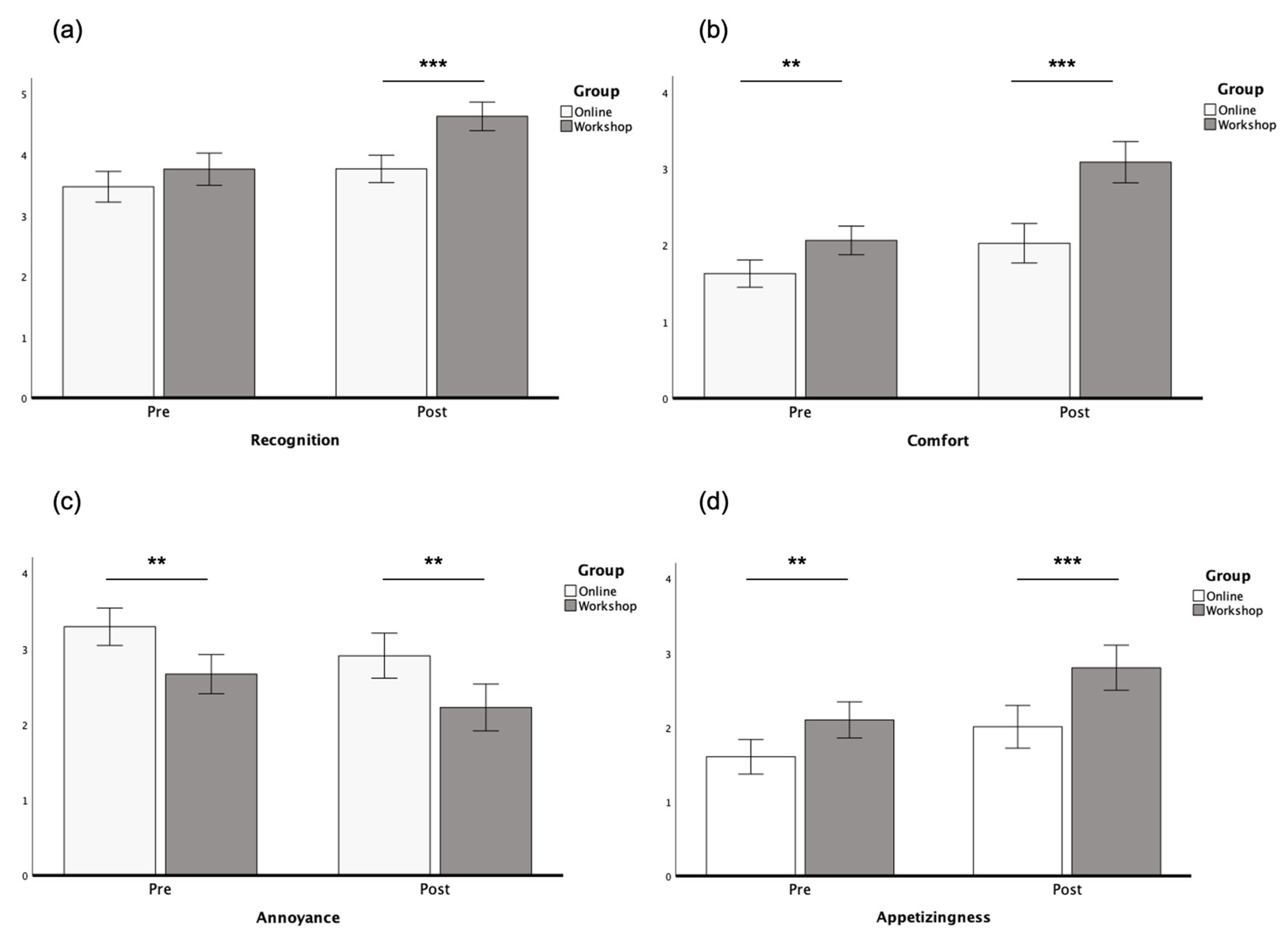
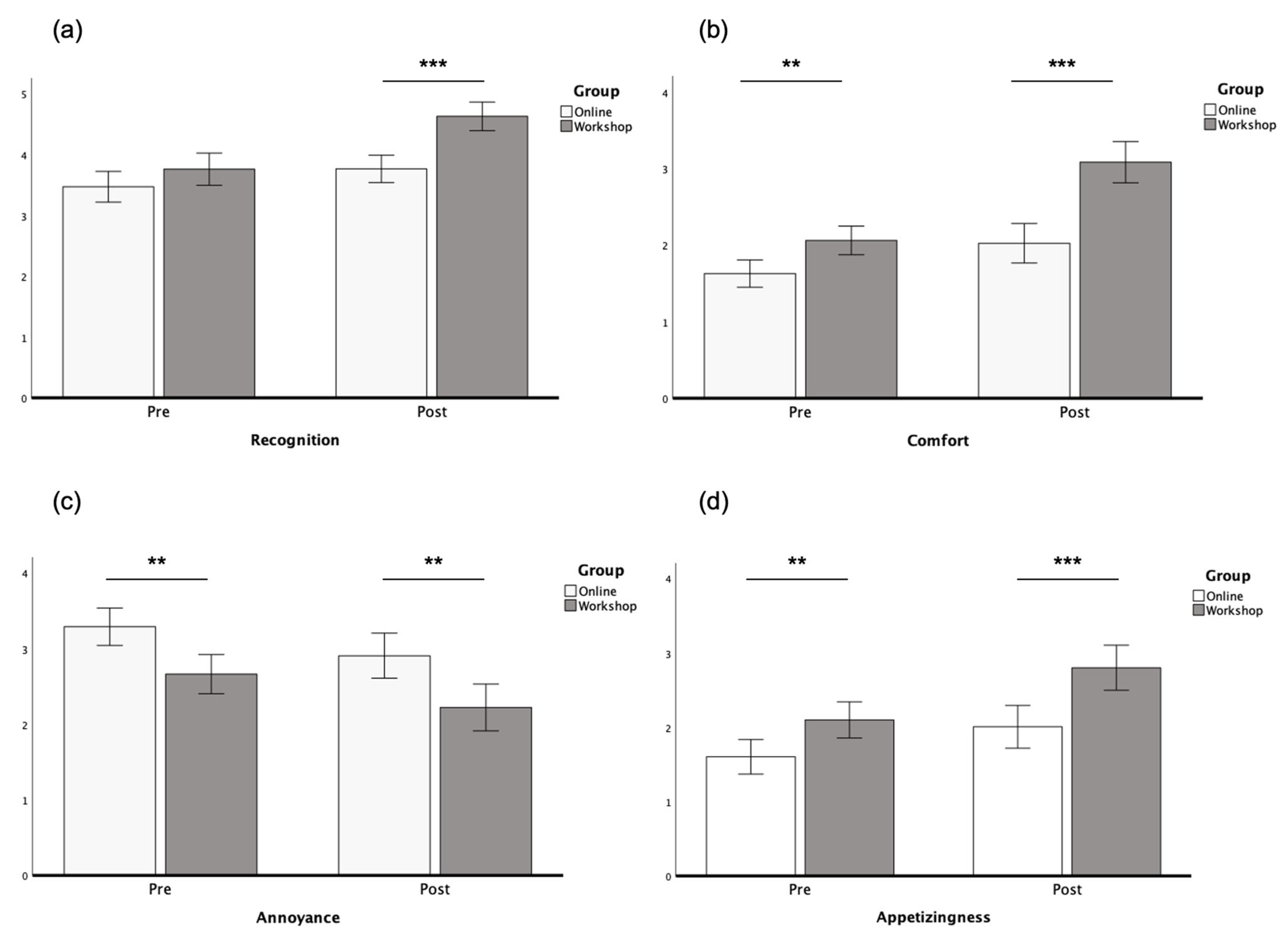
3.2. Evaluations of Food Sounds
3.3. Predicting Sound Perception with Sensory Intensities
4. Discussion
4.1. Theoretical and Practical Implications
4.2. Limitations and Future Research
5. Conclusions
Author Contributions
Funding
Institutional Review Board Statement
Informed Consent Statement
Data Availability Statement
Acknowledgments
Conflicts of Interest
Appendix A
| Question/Item | Scale | 
|---|---|
| Age | ____ years | 
| Sex | Male/Female/Prefer not to say | 
| How much experience/expertise do you have in baking? | 1 (“This is my first time”) | 
| 2 (“I have a little bread making experiences”) | |
| 3 (“I occasionally make a loaf at home”) | |
| 4 (“I often make bread at home”) | |
| 5 (“I am a professional baker”) | |
| To what extent do you agree or disagree with the following statements: | 1 (“Very slightly or not at all”) | 
| The sound is comforting. | 2 (“A little”) | 
| I can recognize the sound. | 3 (“Moderately”) | 
| The sound is annoying. | 4 (“Quite a bit”) | 
| The sound makes me hungry. | 5 (“Extremely”) | 
| Indicate to what extent you feel this way right now, that is, at the present moment. | |
| Alert | 1 (“Very slightly or not at all”) 2 (“A little”) 3 (“Moderately”) 4 (“Quite a bit”) 5 (“Extremely”) | 
| Excited | |
| Nervous | |
| Attentive | |
| Enthusiastic | |
| Stressed | |
| Relaxed | |
| Connected to nature | |
| How much did you use each of your senses during this part of the experience. | |
| Sight | 1 (“Very slightly or not at all”) | 
| SAler | 2 (“A little”) | 
| Smell (workshop only) | 3 (“Moderately”) | 
| Touch (workshop only) | 4 (“Quite a bit”) | 
| Taste (workshop only) | 5 (“Extremely”) | 
References
- Fokina, T. My Kitchen Essential: I’d Be Lost Without… Bread. Financial Times Magazine. 2019. Available online: https://www.ft.com/content/2b695b18-1ae2-11ea-97df-cc63de1d73f4 (accessed on 9 October 2025).
- Bascaramurty, D. Sizzle, Squeak, Splash: How Sounds in Food Videos Trick our Brains. The Globe and Mail. 2025. Available online: https://www.theglobeandmail.com/life/food-and-wine/article-food-videos-asmr-social-media-cooking/#:~:text=Neuroscientists%20have%20observed%20the%20way,harvested%20garlic%20chives%20in%20oil (accessed on 9 October 2025).
- Harris, A. The hollow knock and other sounds in recipes. Gastronomica 2015, 15, 14–17. [Google Scholar] [CrossRef]
- Zampini, M.; Spence, C. The role of auditory cues in modulating the perceived crispness and staleness of potato chips. J. Sens. Stud. 2004, 19, 347–363. [Google Scholar] [CrossRef]
- Migliavada, R.; Luceri, F.; Torri, L. Chew that beat! How music tempo influences eating behaviors and emotions. Food Qual. Prefer. 2024, 118, 105195. [Google Scholar] [CrossRef]
- Symmank, C. Extrinsic and intrinsic food product attributes in consumer and sensory research: Literature review and quantification of the findings. Manag. Rev. Q. 2019, 69, 39–74. [Google Scholar] [CrossRef]
- Almiron, P.; Escobar, F.B.; Pathak, A.; Spence, C.; Velasco, C. Searching for the sound of premium beer. Food Qual. Prefer. 2021, 88, 104088. [Google Scholar] [CrossRef]
- Spence, C.; Reinoso-Carvalho, F.; Velasco, C.; Wang, Q.J. Introduction to auditory contributions to food perception and consumer behaviour. In Auditory Contributions to Food Perception and Consumer Behaviour; Brill: Leiden, The Netherlands, 2019; pp. 1–14. [Google Scholar] [CrossRef]
- Adams, A. Feel-good marketing: Understanding autonomous sensory meridian response and its online audience. J. Digit. Soc. Media Mark. 2022, 10, 76–81. [Google Scholar] [CrossRef]
- Özcan, E.; van Egmond, R. The effect of visual context on the identification of ambiguous environmental sounds. Acta Psychol. 2009, 131, 110–119. [Google Scholar] [CrossRef]
- Pellegrino, R.; Luckett, C.R.; Shinn, S.E.; Mayfield, S.; Gude, K.; Rhea, A.; Seo, H.S. Effects of background sound on consumers’ sensory discriminatory ability among foods. Food Qual. Prefer. 2015, 43, 71–78. [Google Scholar] [CrossRef]
- Velasco, C.; Corradi, G.; Motoki, K. Harmony of senses: Exploring the impact of sound aesthetic features on taste imagery. Food Qual. Prefer. 2023, 111, 104992. [Google Scholar] [CrossRef]
- Mueller, F.F.; Obrist, M.; Bertran, F.A.; Makam, N.; Kim, S.; Dawes, C.; Marti, P.; Mancini, M.; Ceccaldi, E.; Pasumarthy, N.; et al. Grand challenges in human-food interaction. Int. J. Hum.-Comput. Stud. 2024, 183, 103197. [Google Scholar] [CrossRef]
- Istiani, N.F.F.; Masullo, M.; Ruggiero, G.; Francini, M.; Maffei, L. Music attributes and the perception of orange juice. Int. J. Gastron. Food Sci. 2024, 36, 100953. [Google Scholar] [CrossRef]
- Kircaburun, K.; Harris, A.; Calado, F.; Griffiths, D.M. The psychology of Mukbang watching: A scoping review of the academic and non-academic literature. Int. J. Ment. Health Addict. 2021, 19, 1190–1213. [Google Scholar] [CrossRef]
- Uchiyama, K.; Kawamoto, K. Audio-visual model for generating eating sounds using food ASMR videos. IEEE Access 2021, 9, 50106–50111. [Google Scholar] [CrossRef]
- Barratt, E.L.; Spence, C.; Davis, N.J. Sensory determinants of the autonomous sensory meridian response (ASMR): Understanding the triggers. PeerJ 2017, 5, e3846. [Google Scholar] [CrossRef]
- Poerio, G.L.; Blakey, E.; Hostler, T.J.; Veltri, T. More than a feeling: Autonomous sensory meridian response (ASMR) is characterized by reliable changes in affect and physiology. PLoS ONE 2018, 13, e0196645. [Google Scholar] [CrossRef]
- Shoemaker, V.A. Unpopular Opinion: In Defense of ASMR Eating and Mukbang Videos. The Harvard Crimson. 2020. Available online: https://www.thecrimson.com/article/2020/5/7/in-defense-of-mukbangs/ (accessed on 9 October 2025).
- Leonor, F.; Lake, J.; Guerra, M. Effect of nostalgia triggered by sound on flavor perception. In Experiencing Food, Designing Dialogues; CRC Press: Boca Raton, FL, USA, 2018; pp. 37–40. [Google Scholar]
- Spence, C.; Wang, Q. Assessing the impact of closure type on wine ratings and mood. Beverages 2017, 3, 52. [Google Scholar] [CrossRef]
- Marian, V.; Hayakawa, S.; Schroeder, S.R. Cross-modal interaction between auditory and visual input impacts memory retrieval. Front. Neurosci. 2021, 15, 661477. [Google Scholar] [CrossRef]
- Fiegel, A.; Meullenet, J.F.; Harrington, R.J.; Humble, R.; Seo, H.S. Background music genre can modulate flavor pleasantness and overall impression of food stimuli. Appetite 2014, 76, 144–152. [Google Scholar] [CrossRef]
- Vroomen, J.; de Gelder, B. Sound enhances visual perception: Cross-modal effects of auditory organization on vision. J. Exp. Psychol. Hum. Percept. Perform. 2000, 26, 1583–1590. [Google Scholar] [CrossRef] [PubMed]
- Aksenova, D.; Cai, W.; Gebbels, M. Multisensory prosumption: How cooking classes shape perceptions of destinations. Int. J. Contemp. Hosp. Manag. 2022, 34, 3417–3439. [Google Scholar] [CrossRef]
- Keating, M.; Łapińska, J. From cookbooks to ASMR: Significance of sound and hearing in culinary recipes. Senses Soc. 2023, 18, 317–328. [Google Scholar] [CrossRef]
- Wheeler, M.E.; Petersen, S.E.; Buckner, R.L. Memory’s echo: Vivid remembering reactivates sensory-specific cortex. Proc. Natl. Acad. Sci. USA 2000, 97, 11125–11129. [Google Scholar] [CrossRef] [PubMed]
- Soto-Faraco, S.; Spence, C. Crossmodal semantics in memory: Scoping review and meta-analyses of multisensory effects in short-term and episodic memory systems. Psychol. Bull. 2025, 151, 861–891. [Google Scholar] [CrossRef]
- Matusz, P.J.; Wallace, M.T.; Murray, M.M. A multisensory perspective on object memory. Neuropsychologia 2017, 105, 243–252. [Google Scholar] [CrossRef]
- Thelen, A.; Murray, M.M. The efficacy of single-trial multisensory memories. Multisens. Res. 2013, 26, 483–502. [Google Scholar] [CrossRef]
- Faul, F.; Erdfelder, E.; Buchner, A.; Lang, A.G. Statistical power analyses using G*Power 3.1: Tests for correlation and regression analyses. Behav. Res. Methods 2009, 41, 1149–1160. [Google Scholar] [CrossRef]
- Zhou, J. Research on the relieving effect of ASMR chewing sounds on anxiety in food video. Int. J. Educ. Humanit. 2023, 8, 89–91. [Google Scholar] [CrossRef]
- Masuda, M.; Yamaguchi, Y.; Arai, K.; Okajima, K. Effect of auditory information on food recognition. IEICE Tech. Rep. 2008, 108, 123–126. [Google Scholar]
- Endo, H.; Ino, S.; Fujisaki, W. Texture-dependent effects of pseudo-chewing sound on perceived food texture and evoked feelings in response to nursing care foods. Appetite 2017, 116, 493–501. [Google Scholar] [CrossRef]
- Morquecho-Campos, P.; de Graaf, K.; Boesveldt, S. Smelling our appetite? The influence of food odors on congruent appetite, food preferences and intake. Food Qual. Prefer. 2020, 85, 103959. [Google Scholar] [CrossRef]
- Zhang, T.; Chmara, M.; Spence, C. Eudaimonia in sourdough: Understanding well-being in the sensory experiences of artisanal activities. Appl. Res. Qual. Life 2025, 20, 685–707. [Google Scholar] [CrossRef]
- Van Drie, M. The food. In The Bloomsbury Handbook of the Anthropology of Sound; Schulze, H., Ed.; Bloomsbury Academic: New York, NY, USA, 2020; pp. 129–146. ISBN 978-01-9850-970-7. [Google Scholar]
- Cabal-Prieto, A.; Teodoro-Bernabé, G.; Coria-Rincón, C.; Sánchez-Arellano, L.; Ramón-Canul, L.G.; Rodríguez-Miranda, J.; Prinyawiwatkul, W.; Juárez-Barrientos, J.M.; Herrera-Corredor, J.A.; Ramírez-Rivera, E.D.J. Development of a memories vocabulary (MemVOC) for food products using coffee as a model. Food Sci. Tech. 2022, 42, e44221. [Google Scholar]
- Rey, L.; Désoche, C.; Saive, A.L.; Thévenet, M.; Garcia, S.; Tillmann, B.; Plailly, J. Episodic memory and recognition are influenced by cues’ sensory modality: Comparing odours, music and faces using virtual reality. Memory 2023, 31, 1113–1133. [Google Scholar] [CrossRef]
- Okray, Z.; Jacob, P.F.; Stern, C.; Desmond, K.; Otto, N.; Talbot, C.B.; Vargas-Gutierrez, P.; Waddell, S. Multisensory learning binds neurons into a cross-modal memory engram. Nature 2023, 617, 777–784. [Google Scholar] [CrossRef]
- Lee, D.; Wan, C. The impact of mukbang live streaming commerce on consumers’ overconsumption behavior. J. Interact. Mark. 2023, 58, 198–221. [Google Scholar] [CrossRef]
- Kim, B. ASMR in Advertising and Its Effects: The Moderating Role of Product Involvement and Brand Familiarity. Master’s Thesis, University of Texas at Austin, Austin, TX, USA, 2020. [Google Scholar]
- Vickers, Z.M. Relationships of chewing sounds to judgments of crispness, crunchiness and hardness. J. Food Sci. 1982, 47, 121–124. [Google Scholar] [CrossRef]
- Vickers, Z.M. Pleasantness of food sounds. J. Food Sci. 1983, 48, 783–786. [Google Scholar] [CrossRef]
- Poerio, G.L.; Succi, A.; Swart, T.; Romei, V.; Gillmeister, H. From touch to tingles: Assessing ASMR triggers and their consistency over time with the ASMR Trigger Checklist (ATC). Conscious. Cogn. 2023, 115, 103584. [Google Scholar] [CrossRef] [PubMed]
- Demattè, M.L.; Pojer, N.; Endrizzi, I.; Corollaro, M.L.; Betta, E.; Aprea, E.; Charles, M.; Biasioli, F.; Zampini, M.; Gasperi, F. Effects of the sound of the bite on apple perceived crispness and hardness. Food Qual. Prefer. 2014, 38, 58–64. [Google Scholar] [CrossRef]
- Vickers, Z.M. The relationships of pitch, loudness and eating technique to judgments of the crispness and crunchiness of food sounds. J. Texture Stud. 1985, 16, 85–95. [Google Scholar] [CrossRef]
- Vickers, Z.M. Crispness and crunchiness—Textural attributes with auditory components. In Food Texture: Instrumental and Sensory Measurement; Moskowitz, H.R., Ed.; Dekker: New York, NY, USA, 1987; pp. 145–166. [Google Scholar]
- Vickers, Z.M. Sensory, acoustical, and force-deformation measurements of potato chip crispness. J. Food Sci. 1987, 52, 138–140. [Google Scholar] [CrossRef]
- Galloway, K.; Fuller, R. “Unmute” bread: Listening, improvising, and performing with sourdough in quarantine. Crit. Stud. Improvis. 2021, 14, 1–16. [Google Scholar]




| Dimension | 1 = Very Slightly or Not at All, 2 = A Little, 3 = Moderately, 4 = Quite a Bit, 5 = Extremely | |
|---|---|---|
| Comfort | To what extent do you agree or disagree with the following statements: | The sound is comforting. | 
| Recognition | I can recognize the sound. | |
| Annoyance | The sound is annoying. | |
| Appetizingness | The sound makes me hungry. | |
| Use of vision | Please indicate how much your senses contributed to your experience. “sight” | |
| Use of hearing | Please indicate how much your senses contributed to your experience. “sound” | |
| Variable | Soundtrack | Workshop | Online | ||
|---|---|---|---|---|---|
| Pre M (SD) | Post M (SD) | Pre M (SD) | Post M (SD) | ||
| Recognition | Chewing | 4.31 (1.15) | 4.71 (0.82) | 4.50 (0.80) | 4.27 (1.19) | 
| Cutting | 4.08 (1.27) | 4.90 (0.31) | 3.12 (1.42) | 3.58 (1.32) | |
| Stroking | 3.02 (1.51) | 4.33 (0.95) | 2.69 (1.29) | 3.42 (1.19) | |
| Comfort | Chewing | 1.87 (0.94) | 3.06 (1.24) | 1.29 (0.57) | 1.67 (1.02) | 
| Cutting | 1.69 (1.19) | 2.67 (1.31) | 1.33 (0.76) | 1.92 (1.04) | |
| Stroking | 2.85 (1.20) | 3.60 (1.14) | 2.06 (1.16) | 2.40 (1.14) | |
| Annoyance | Chewing | 2.90 (1.32) | 2.31 (1.22) | 4.00 (1.10) | 3.52 (1.53) | 
| Cutting | 2.98 (1.41) | 2.65 (1.34) | 3.63 (1.31) | 3.19 (1.40) | |
| Stroking | 1.75 (0.91) | 1.48 (0.77) | 2.58 (1.40) | 2.23 (1.29) | |
| Hunger/Appetite | Chewing | 2.21 (1.22) | 2.75 (1.10) | 1.75 (0.99) | 2.08 (1.27) | 
| Cutting | 1.85 (1.07) | 2.69 (1.15) | 1.31 (0.61) | 2.12 (1.21) | |
| Stroking | 2.42 (1.38) | 2.77 (1.29) | 1.60 (1.03) | 2.02 (1.20) | |
| Variable | Procedure | Workshop M (SD) | Online M (SD) | 
|---|---|---|---|
| Vision | Mixing | 4.29 (0.90) | 3.63 (0.82) | 
| Folding | 4.35 (0.91) | 3.56 (0.87) | |
| Bread Baked | 4.15 (1.01) | 4.04 (0.71) | |
| Hearing | Mixing | 2.63 (1.23) | 3.88 (1.00) | 
| Folding | 1.90 (1.06) | 3.79 (0.87) | |
| Bread Baked | 4.23 (0.97) | 3.92 (0.88) | 
| Soundtrack | DV | Means (SE) | Interaction | Contrast Within Workshop | Contrast Within Online | |||
|---|---|---|---|---|---|---|---|---|
| Pre | Post | |||||||
| Workshop | Online | Workshop | Online | |||||
| Chewing | Recognition | 4.24 (0.15) | 4.57 (0.14) | 4.71 (0.16) | 4.27 (0.15) | F(1,95) = 9.17 p = 0.003 | F(1,95) = 7.39 p = 0.008 | F(1,95) = 3.27 p = 0.074 | 
| Comfort | 1.85 (0.11) | 1.31 (0.11) | 3.04 (0.17) | 1.69 (0.16) | F(1,95) = 12.75 p = 0.002 | F(1,95) = 59.64 p < 0.001 | F(1,95) = 6.73 p = 0.011 | |
| Annoyance | 2.96 (0.19) | 3.94 (0.18) | 2.42 (0.21) | 3.42 (0.21) | F(1,95) = 0.01 p = 0.928 | F(1,95) = 6.92 p = 0.010 | F(1,95) = 6.83 p = 0.010 | |
| Appetizingness | 2.11 (0.17) | 1.84 (0.16) | 2.77 (0.19) | 2.06 (0.18) | F(1,95) = 3.01 p = 0.086 | F(1,95) = 14.25 p < 0.001 | F(1,95) = 1.65 p = 0.202 | |
| Cutting | Recognition | 4.04 (0.20) | 3.15 (0.19) | 4.86 (0.15) | 3.61 (0.15) | F(1,95) = 1.61 p = 0.208 | F(1,95) = 18.05 p < 0.001 | F(1,95) = 6.23 p = 0.014 | 
| Comfort | 1.56 (0.14) | 1.44 (0.13) | 2.56 (0.18) | 2.02 (0.17) | F(1,95) = 2.92 p = 0.091 | F(1,95) = 34.76 p < 0.001 | F(1,95) = 12.55 p < 0.011 | |
| Annoyance | 3.19 (0.20) | 3.44 (0.19) | 2.75 (0.21) | 3.10 (0.20) | F(1,95) = 0.12 p = 0.730 | F(1,95) = 4.94 p = 0.029 | F(1,95) = 3.22 p = 0.076 | |
| Appetizingness | 1.80 (0.13) | 1.36 (0.13) | 2.75 (0.18) | 2.06 (0.17) | F(1,95) = 1.05 p = 0.309 | F(1,95) = 31.59 p < 0.001 | F(1,95) = 18.57 p < 0.001 | |
| Stroking | Recognition | 3.01 (0.21) | 2.70 (0.20) | 4.33 (0.17) | 3.43 (0.16) | F(1,95) = 3.98 p = 0.049 | F(1,95) = 41.76 p < 0.001 | F(1,95) = 13.65 p < 0.001 | 
| Comfort | 2.77 (0.18) | 2.13 (0.17) | 3.65 (0.18) | 2.36 (0.17) | F(1,95) = 7.45 p = 0.008 | F(1,95) = 29.39 p < 0.001 | F(1,95) = 2.19 p = 0.143 | |
| Annoyance | 1.84 (0.19) | 2.49 (0.18) | 1.51 (0.17) | 2.21 (0.16) | F(1,95) = 0.05 p = 0.827 | F(1,95) = 4.45 p = 0.038 | F(1,95) = 3.50 p = 0.065 | |
| Appetizingness | 2.40 (0.18) | 1.61 (0.17) | 2.89 (0.18) | 1.91 (0.17) | F(1,95) = 0.47 p = 0.496 | F(1,95) = 6.55 p = 0.012 | F(1,95) = 2.65 p = 0.107 | |
| Variables | Comfort | Recognition | Annoyance | Appetizingness | Use of Vision | Use of Hearing | 
|---|---|---|---|---|---|---|
| Comfort | 1.00 | |||||
| Recognition | 0.38 *** | 1.00 | ||||
| Annoyance | −0.46 *** | −0.14 | 1.00 | |||
| Appetizingness | 0.53 *** | 0.31 ** | −0.44 ** | 1.00 | ||
| Use of vision | 0.23 * | 0.15 | −0.23 | 0.07 | 1.00 | |
| Use of hearing | −0.13 | −0.19 | −0.010 | −0.04 | −0.09 | 1.00 | 
| Disclaimer/Publisher’s Note: The statements, opinions and data contained in all publications are solely those of the individual author(s) and contributor(s) and not of MDPI and/or the editor(s). MDPI and/or the editor(s) disclaim responsibility for any injury to people or property resulting from any ideas, methods, instructions or products referred to in the content. | 
© 2025 by the authors. Licensee MDPI, Basel, Switzerland. This article is an open access article distributed under the terms and conditions of the Creative Commons Attribution (CC BY) license (https://creativecommons.org/licenses/by/4.0/).
Share and Cite
Zhang, T.; Chmara, M.; Spence, C. Audiovisual Integration Enhances Customer Perception of Artisanal Bread Sounds. Foods 2025, 14, 3714. https://doi.org/10.3390/foods14213714
Zhang T, Chmara M, Spence C. Audiovisual Integration Enhances Customer Perception of Artisanal Bread Sounds. Foods. 2025; 14(21):3714. https://doi.org/10.3390/foods14213714
Chicago/Turabian StyleZhang, Tianyi, Maciej Chmara, and Charles Spence. 2025. "Audiovisual Integration Enhances Customer Perception of Artisanal Bread Sounds" Foods 14, no. 21: 3714. https://doi.org/10.3390/foods14213714
APA StyleZhang, T., Chmara, M., & Spence, C. (2025). Audiovisual Integration Enhances Customer Perception of Artisanal Bread Sounds. Foods, 14(21), 3714. https://doi.org/10.3390/foods14213714
 
        




 
       