Analysis of Sensory Attributes and Purchasing Decisions of Plant-Based Beverages of Young Consumers in Poland on a Vegan and Traditional Diet
Abstract
1. Introduction
2. Materials and Methods
2.1. Study Design
2.2. Material
2.3. Methods
2.3.1. Survey Analysis
Experimental Conditions
Participants
2.3.2. Sensory Analysis
Experimental Conditions
Participants
Methods
2.3.3. Data Analysis
3. Results and Discussion
3.1. The Survey Analysis
3.1.1. Factors Influencing Young Consumers’ Behaviour of Consuming Plant-Based Beverages
3.1.2. Analysis of the Most Commonly Consumed Plant-Based Beverages
3.1.3. Analysis of Decision Factors When Choosing a Plant-Based Beverage
3.2. Sensory Analysis
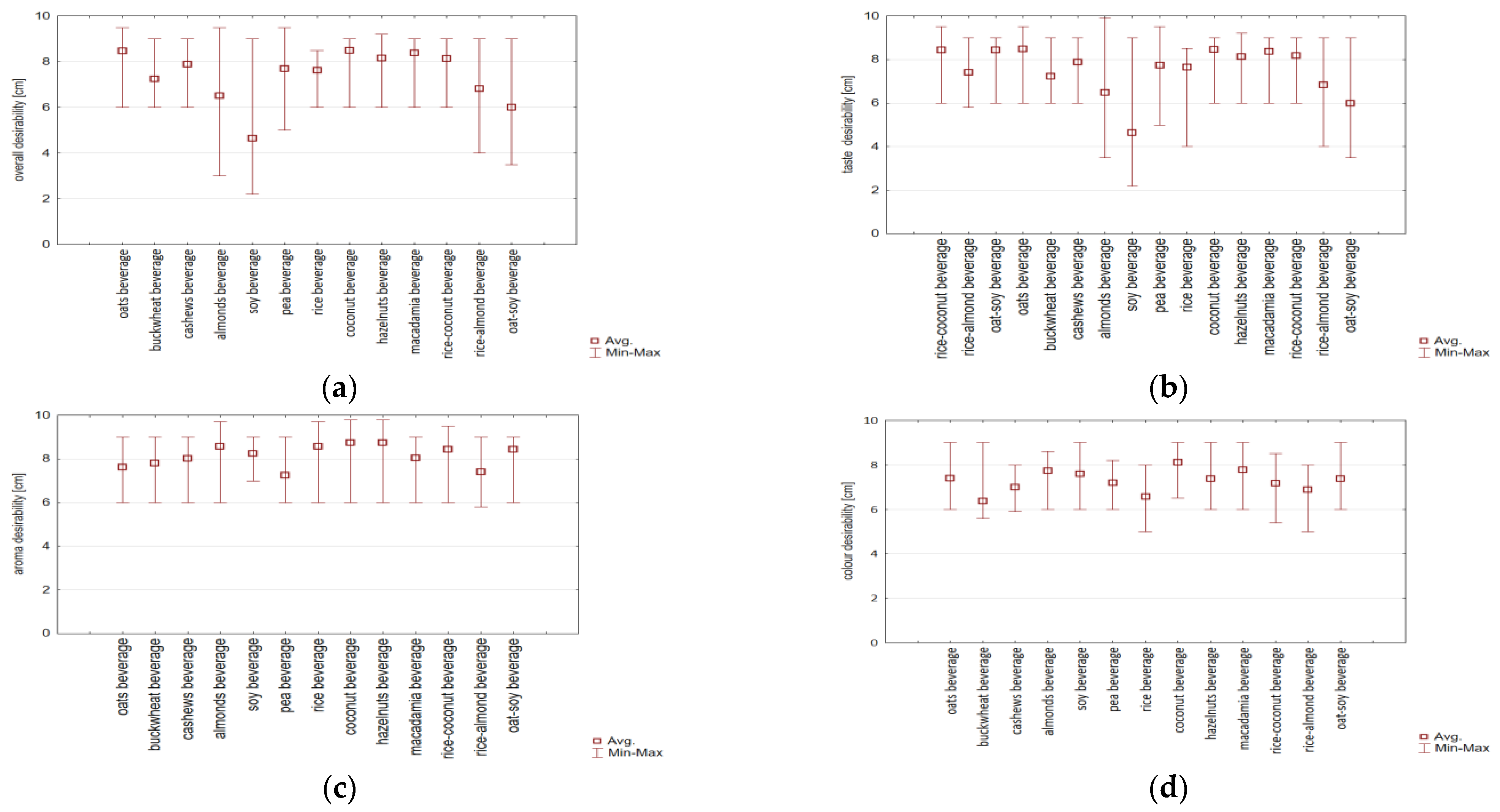
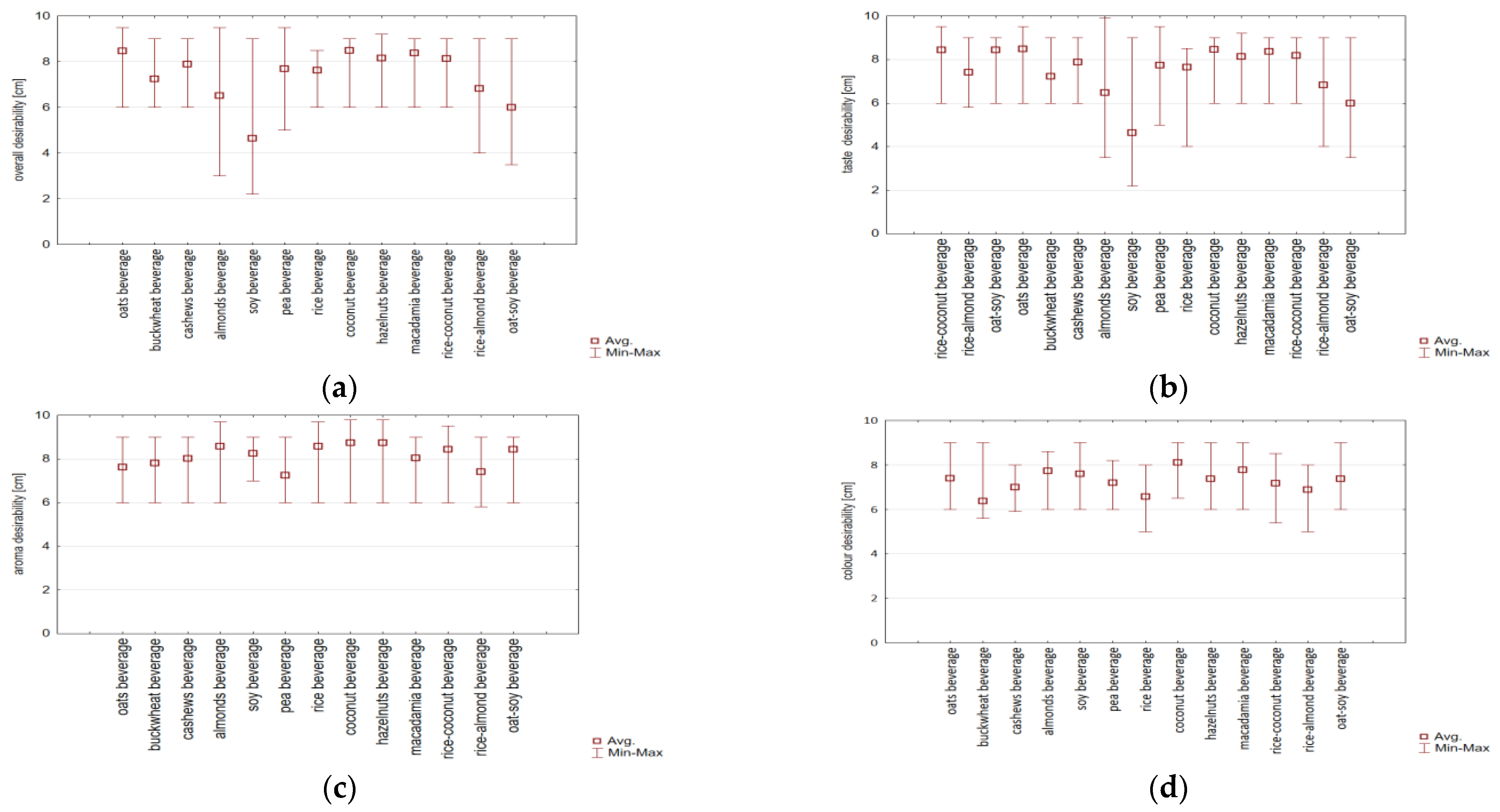
3.2.1. Sensory Consumer Results
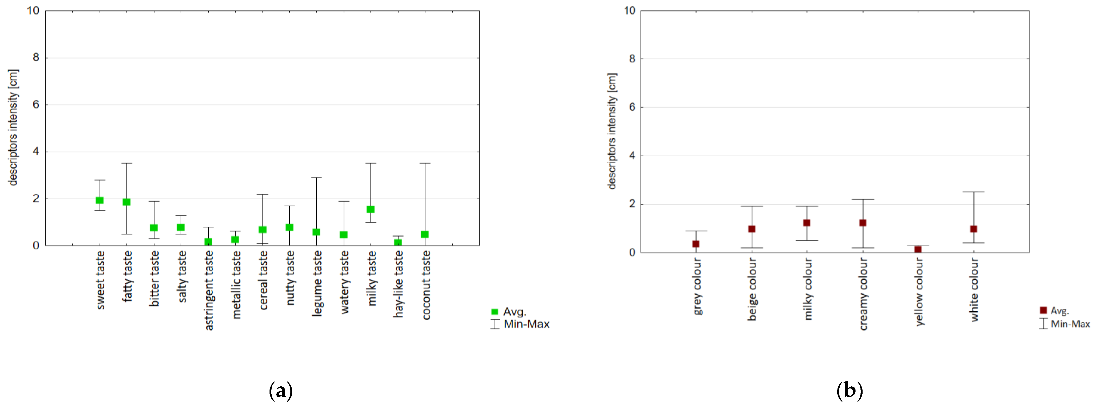
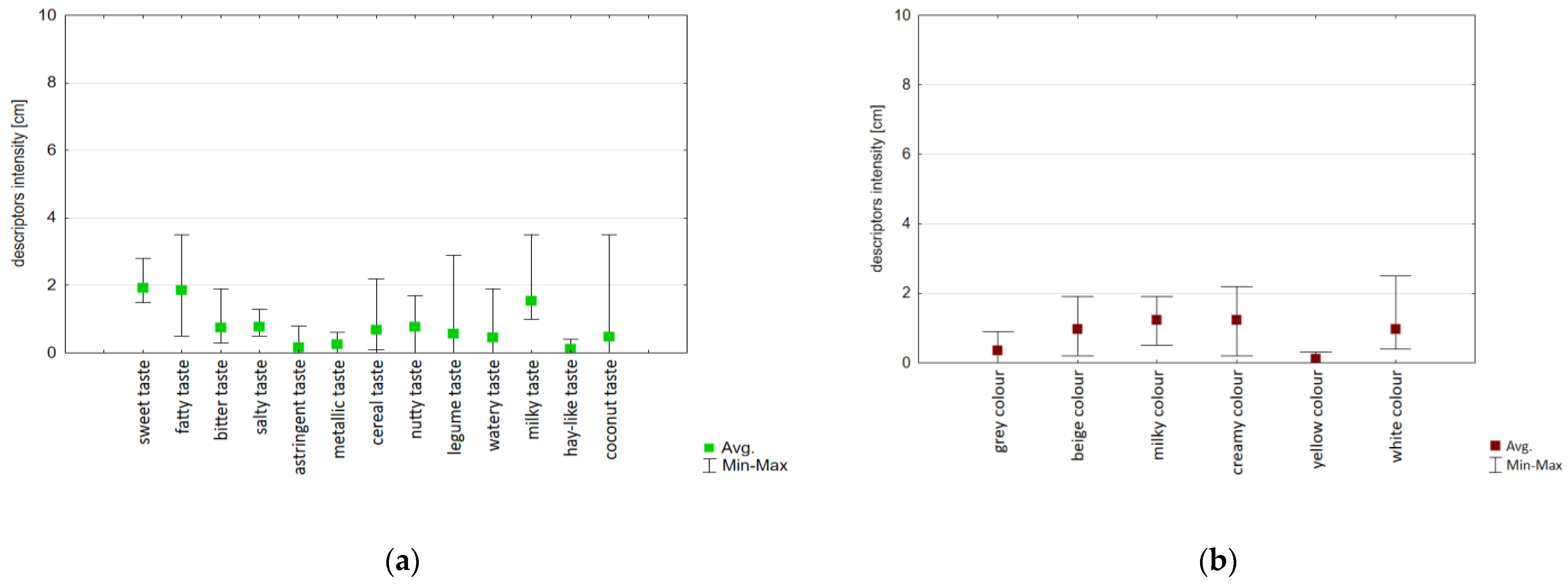
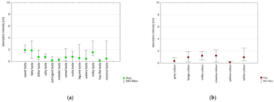
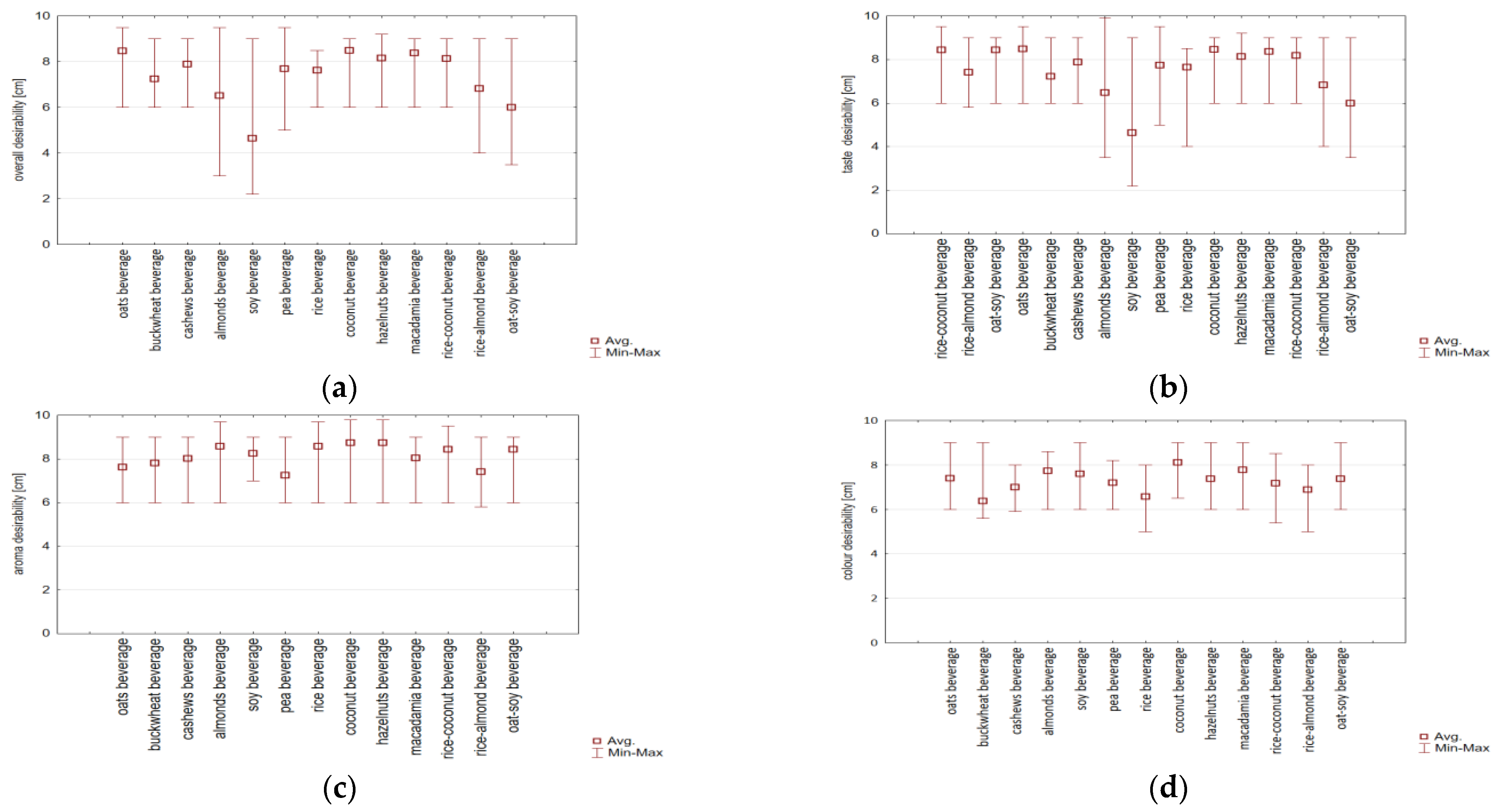
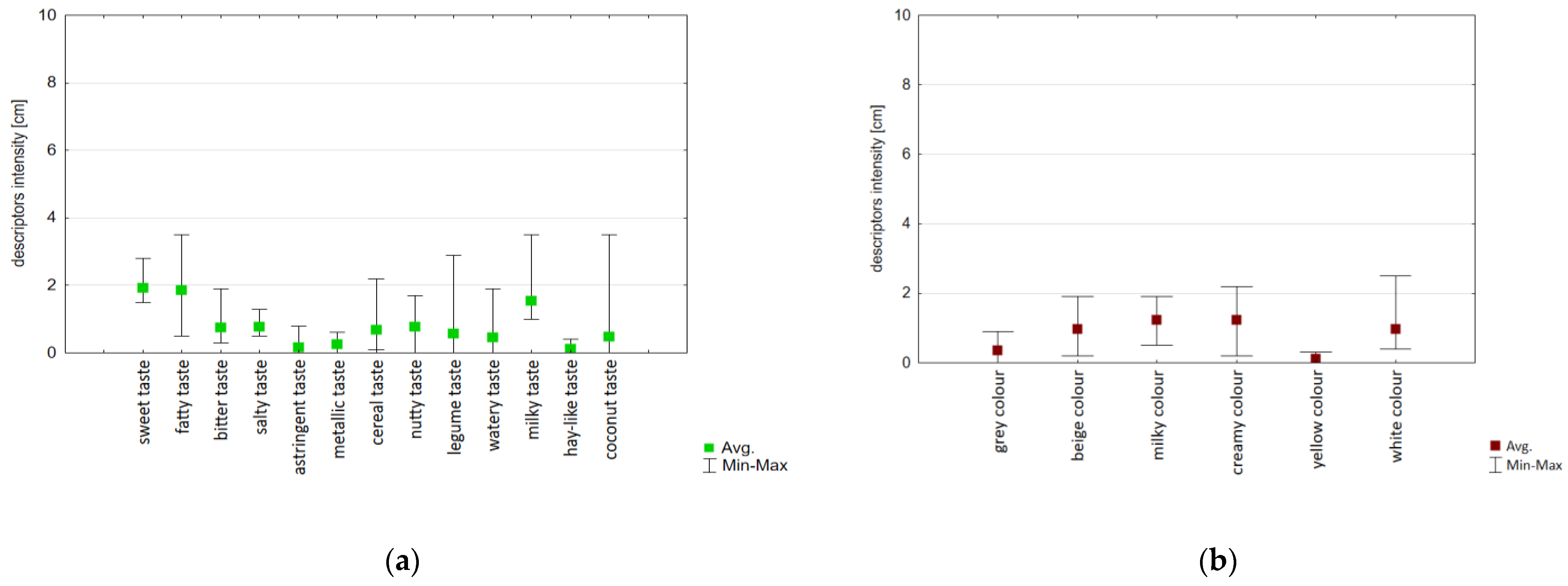
3.2.2. Sensory Profiling Results
3.2.3. Relationships Between Descriptive and Consumer Desirability Data
4. Conclusions
Supplementary Materials
Author Contributions
Funding
Institutional Review Board Statement
Informed Consent Statement
Data Availability Statement
Conflicts of Interest
References
- Geburt, K.; Albrecht, E.H.; Pointke, M.; Pawelzik, E.; Gerken, M.; Traulsen, I. A Comparative Analysis of Plant-Based Milk Alternatives Part 1: Composition, Sensory, and Nutritional Value. Sustainability 2022, 14, 7996. [Google Scholar] [CrossRef]
- Vaikma, H.; Kaleda, A.; Rosend, J.; Rosenvald, S. Market Mapping of Plant-Based Milk Alternatives by Using Sensory (RATA) and GC Analysis. Future Foods 2021, 4, 100049. [Google Scholar] [CrossRef]
- Adamczyk, D.; Jaworska, D.; Affeltowicz, D.; Maison, D. Plant-Based Dairy Alternatives: Consumers’ Perceptions, Motivations, and Barriers—Results from a Qualitative Study in Poland, Germany, and France. Nutrients 2022, 14, 2171. [Google Scholar] [CrossRef] [PubMed]
- Sneha Mali|Plant Based Beverage Market Report 2025 (Global Edition). Available online: https://www.cognitivemarketresearch.com/plant-based-beverage-market-report#author_details (accessed on 24 October 2025).
- Sethi, S.; Tyagi, S.K.; Anurag, R.K. Plant-Based Milk Alternatives an Emerging Segment of Functional Beverages: A Review. J. Food Sci. Technol. 2016, 53, 3408–3423. [Google Scholar] [CrossRef] [PubMed]
- Vanga, S.K.; Raghavan, V. How Well Do Plant Based Alternatives Fare Nutritionally Compared to Cow’s Milk? J. Food Sci. Technol. 2018, 55, 10–20. [Google Scholar] [CrossRef] [PubMed]
- Tangyu, M.; Muller, J.; Bolten, C.J.; Wittmann, C. Fermentation of Plant-Based Milk Alternatives for Improved Flavour and Nutritional Value. Appl. Microbiol. Biotechnol. 2019, 103, 9263–9275. [Google Scholar] [CrossRef]
- Acquah, J.B.; Amissah, J.G.N.; Affrifah, N.S.; Wooster, T.J.; Danquah, A.O. Consumer Perceptions of Plant Based Beverages: The Ghanaian Consumer’s Perspective. Future Foods 2023, 7, 100229. [Google Scholar] [CrossRef]
- Smyth, P.P.A. Iodine, Seaweed, and the Thyroid. Eur. Thyroid. J. 2021, 10, 101–108. [Google Scholar] [CrossRef]
- Walther, B.; Guggisberg, D.; Badertscher, R.; Egger, L.; Portmann, R.; Dubois, S.; Haldimann, M.; Kopf-Bolanz, K.; Rhyn, P.; Zoller, O.; et al. Comparison of Nutritional Composition between Plant-Based Drinks and Cow’s Milk. Front. Nutr. 2022, 9, 988707. [Google Scholar] [CrossRef]
- Bucher, T.; Müller, B.; Siegrist, M. What Is Healthy Food? Objective Nutrient Profile Scores and Subjective Lay Evaluations in Comparison. Appetite 2015, 95, 408–414. [Google Scholar] [CrossRef]
- Geburt, K.; Albrecht, E.H.; Pointke, M.; Pawelzik, E.; Gerken, M.; Traulsen, I. A Comparative Analysis of Plant-Based Milk Alternatives Part 2: Environmental Impacts. Sustainability 2022, 14, 8424. [Google Scholar] [CrossRef]
- Appiani, M.; Cattaneo, C.; Laureati, M. Sensory Properties and Consumer Acceptance of Plant-Based Meat, Dairy, Fish and Eggs Analogs: A Systematic Review. Front. Sustain. Food Syst. 2023, 7, 1268068. [Google Scholar] [CrossRef]
- Pramudya, R.C.; Lee, J.; Chapko, M.J.; Lee, K.R.; Lee, S.; Lee, J.Y.; Tokar, T.; Seo, H.S. Variations in U.S. Consumers’ Acceptability of Commercially-Available Rice-Based Milk Alternatives with Respect to Sensory Attributes and Food Neophobia Traits. J. Sens. Stud. 2019, 34, e12496. [Google Scholar] [CrossRef]
- Jaeger, S.R.; Giacalone, D. Barriers to Consumption of Plant-Based Beverages: A Comparison of Product Users and Non-Users on Emotional, Conceptual, Situational, Conative and Psychographic Variables. Food Res. Int. 2021, 144, 110363. [Google Scholar] [CrossRef] [PubMed]
- Giacalone, D.; Clausen, M.P.; Jaeger, S.R. Understanding Barriers to Consumption of Plant-Based Foods and Beverages: Insights from Sensory and Consumer Science. Curr. Opin. Food Sci. 2022, 48, 100919. [Google Scholar] [CrossRef]
- Cardello, A.V.; Llobell, F.; Giacalone, D.; Roigard, C.M.; Jaeger, S.R. Plant-Based Alternatives vs Dairy Milk: Consumer Segments and Their Sensory, Emotional, Cognitive and Situational Use Responses to Tasted Products. Food Qual. Prefer. 2022, 100, 104599. [Google Scholar] [CrossRef]
- Pritulska, N.; Motuzka, I.; Koshelnyk, A.; Motuzka, O.; Yashchenko, L.; Jarossová, M.; Krnáčová, P.; Wyka, J.; Malczyk, E.; Habánová, M. Consumer Preferences on the Market of Plant-Based Milk Analogues. Potravin. Slovak J. Food Sci. 2021, 15, 131–142. [Google Scholar] [CrossRef]
- PN-EN ISO 8589; Sensory Analysis. General Guidance for the Design Studio of Sensory Analysis. Polish Committee for Standardization: Warszawa, Poland, 2010.
- ISO 13299; Sensory Analysis—Methodology—General Guidance for Establishing a Sensory Profile. International Organization for Standarization: Geneva, Switzerland, 2016.
- Madeira, D.S.S.; Sousa, B.H.G.d.; Abreu, V.K.G.; Lemos, T.d.O.; Reis, A.S.; Maciel, M.C.G.; Dutra, R.P.; Pereira, A.L.F. Production and Stability of Plant-Based Fermented Beverages Using Babassu Coconut (Attalea speciosa) and Cashew Apple (Anacardium occidentale) Sweetened with Various Polyols. J. Food Compos. Anal. 2025, 146, 107901. [Google Scholar] [CrossRef]
- Zaremba, A.; Jędrusek-Golińska, A.; Kobus-Cisowska, J.; Szymandera-Buszka, K. Consumer Behavior towards Plant-Based Drinks as Milk Alternatives. Agric. Advis. 2023, 111, 60–79. [Google Scholar]
- Boaitey, A.; Minegishi, K. Determinants of Household Choice of Dairy and Plant-Based Milk Alternatives: Evidence from a Field Survey. J. Food Prod. Mark. 2020, 26, 639–653. [Google Scholar] [CrossRef]
- Rai, S.R.; Pachisia, J.; Singh, S. A Study on the Acceptability of Plant-Based Milk and Curd among the Lactose Intolerant People Residing in Kolkata. Int. J. Health Sci. Res. 2018, 8, 12. [Google Scholar]
- Haas, R.; Schnepps, A.; Pichler, A.; Meixner, O. Cow Milk versus Plant-Based Milk Substitutes: A Comparison of Product Image and Motivational Structure of Consumption. Sustainability 2019, 11, 5046. [Google Scholar] [CrossRef]
- Anjos, O.; Pires, P.C.P.; Gonçalves, J.; Estevinho, L.M.; Mendonça, A.G.; Guiné, R.P.F. Plant-Based Beverages: Consumption Habits, Perception and Knowledge on a Sample of Portuguese Citizens. Foods 2024, 13, 3235. [Google Scholar] [CrossRef]
- Ammann, J.; Grande, A.; Inderbitzin, J.; Guggenbühl, B. Understanding Swiss Consumption of Plant-Based Alternatives to Dairy Products. Food Qual. Prefer. 2023, 110, 104947. [Google Scholar] [CrossRef]
- Ramsing, R.; Santo, R.; Kim, B.F.; Altema-Johnson, D.; Wooden, A.; Chang, K.B.; Semba, R.D.; Love, D.C. Dairy and Plant-Based Milks: Implications for Nutrition and Planetary Health. Curr. Environ. Health Rep. 2023, 10, 291–302. [Google Scholar] [CrossRef] [PubMed]
- Sharma, N.; Yeasmen, N.; Dubé, L.; Orsat, V. A Review on Current Scenario and Key Challenges of Plant-Based Functional Beverages. Food Biosci. 2024, 60, 104320. [Google Scholar] [CrossRef]
- Aydar, E.F.; Tutuncu, S.; Ozcelik, B. Plant-Based Milk Substitutes: Bioactive Compounds, Conventional and Novel Processes, Bioavailability Studies, and Health Effects. J. Funct. Foods 2020, 70, 103975. [Google Scholar] [CrossRef]
- Baş, M.; Kahriman, M.; Ayakdas, G.; Hajhamidiasl, L.; Koseoglu, S.K. Driving Factors Influencing the Decision to Purchase Plant-Based Beverages: A Sample from Türkiye. Foods 2024, 13, 1760. [Google Scholar] [CrossRef]
- Cummins, E.; Lane, K. Consumer Knowledge and Perceptions of the Nutrition Content, Sustainability and Price of Non- Dairy, Plant-Based Milk Products: A Mixed-Methods Approach. Proc. Nutr. Soc. 2023, 82, 3408. [Google Scholar] [CrossRef]
- Mohd Azman, N.M.; Muhammad, R.; Ramli, N.; Abu Bakar, S.K. A Review of Product Knowledge and Determinants of Consumer Purchase Intention on Plant-Based Meat Products in Malaysia. Environ. -Behav. Proc. J. 2023, 8, 157–163. [Google Scholar] [CrossRef]
- Pope, D.H.; Karlsson, J.O.; Baker, P.; McCoy, D. Examining the Environmental Impacts of the Dairy and Baby Food Industries: Are First-Food Systems a Crucial Missing Part of the Healthy and Sustainable Food Systems Agenda Now Underway? Int. J. Env. Res. Public Health 2021, 18, 12678. [Google Scholar] [CrossRef]
- Moss, R.; Barker, S.; Falkeisen, A.; Gorman, M.; Knowles, S.; McSweeney, M.B. An Investigation into Consumer Perception and Attitudes towards Plant-Based Alternatives to Milk. Food Res. Int. 2022, 159, 111648. [Google Scholar] [CrossRef]
- Pointke, M.; Ohlau, M.; Risius, A.; Pawelzik, E. Plant-Based Only: Investigating Consumers’ Sensory Perception, Motivation, and Knowledge of Different Plant-Based Alternative Products on the Market. Foods 2022, 11, 2339. [Google Scholar] [CrossRef]
- Camacho-Teodocio, J.D.; Gallardo-Velázquez, T.; Osorio-Revilla, G.; Castañeda-Pérez, E.; Velázquez-Contreras, C.; Cornejo-Mazón, M.; Hernández-Martínez, D.M. Macadamia (Macadamia integrifolia) Nut-Based Beverage: Physicochemical Stability and Nutritional and Antioxidant Properties. Beverages 2024, 10, 58. [Google Scholar] [CrossRef]
- Lamas, D.L.; Álvarez, S.T. Development of Snacks Based on Macadamia integrifolia Nuts Enriched with Omega-3. Food Chem. Adv. 2023, 3, 100564. [Google Scholar] [CrossRef]
- Piqueras-Fiszman, B.; Spence, C. Sensory Expectations Based on Product-Extrinsic Food Cues: An Interdisciplinary Review of the Empirical Evidence and Theoretical Accounts. Food Qual. Prefer. 2015, 40, 165–179. [Google Scholar] [CrossRef]
- Mäkinen, O.E.; Wanhalinna, V.; Zannini, E.; Arendt, E.K. Foods for Special Dietary Needs: Non-Dairy Plant-Based Milk Substitutes and Fermented Dairy-Type Products. Crit. Rev. Food Sci. Nutr. 2016, 56, 339–349. [Google Scholar] [CrossRef]
- Aschemann-Witzel, J.; Gantriis, R.F.; Fraga, P.; Perez-Cueto, F.J.A. Plant-Based Food and Protein Trend from a Business Perspective: Markets, Consumers, and the Challenges and Opportunities in the Future. Crit. Rev. Food Sci. Nutr. 2020, 61, 3119–3128. [Google Scholar] [CrossRef]
- Andrés, V.; Tenorio, M.D.; Villanueva, M.J. Sensory Profile, Soluble Sugars, Organic Acids, and Mineral Content in Milk- and Soy-Juice Based Beverages. Food Chem. 2015, 173, 1100–1106. [Google Scholar] [CrossRef] [PubMed]
- Irondi, E.A.; Aina, H.T.; Imam, Y.T.; Bankole, A.O.; Anyiam, A.F.; Elemosho, A.O.; Kareem, B.; Adewumi, T.O. Plant-Based Milk Substitutes: Sources, Production, and Nutritional, Nutraceutical and Sensory Qualities. Front. Food Sci. Technol. 2025, 5, 1593870. [Google Scholar] [CrossRef]
- Yao, Y.; He, W.; Cai, X.; Bekhit, A.E.D.A.; Xu, B. Sensory, Physicochemical and Rheological Properties of Plant-Based Milk Alternatives Made from Soybean, Peanut, Adlay, Adzuki Bean, Oat and Buckwheat. Int. J. Food Sci. Technol. 2022, 57, 4868–4878. [Google Scholar] [CrossRef]







| Men | Women | Total Group | |||
|---|---|---|---|---|---|
| Vegan | Omnivorous | Vegan | Omnivorous | ||
| Number of Participants [%], | |||||
| several times a day | 4 | 0 | 12 | 1 | 4 | 
| once a day | 14 | 3 | 13 | 6 | 9 | 
| several times a week | 17 | 11 | 18 | 19 | 16 | 
| once a week | 27 | 5 | 39 | 18 | 22 | 
| several times a month | 32 | 7 | 5 | 0 | 11 | 
| once a month | 6 | 4 | 7 | 21 | 10 | 
| several times a year | 0 | 19 | 6 | 20 | 11 | 
| less often/never | 0 | 51 | 0 | 15 | 17 | 
| Pearson’s chi-squared test | diet | p < 0.0001 | |||
| gender | p = 0.385 | ||||
| Comparable Indicators | p-Value | Results of Analysis | |
|---|---|---|---|
| PRICE | |||
| diet | Women | p < 0.05 | impact of diet | 
| Men | p < 0.05 | impact of diet | |
| gender | Vegan diet | p = 0.912 | no impact of diet | 
| Omnivorous diet | p < 0.05 | impact of gender | |
| FRIENDS’ OPINION | |||
| diet | Women | p < 0.05 | impact of diet | 
| Men | p < 0.05 | impact of diet | |
| gender | Vegan diet | p < 0.05 | impact of gender | 
| Omnivorous diet | p < 0.05 | impact of gender | |
| SENSORY VALUES | |||
| diet | Women | p < 0.05 | impact of diet | 
| Men | p < 0.05 | impact of diet | |
| gender | Vegan diet | p < 0.05 | impact of gender | 
| Omnivorous diet | p < 0.05 | impact of gender | |
| NUTRITIONAL VALUE | |||
| diet | Women | p < 0.05 | impact of diet | 
| Men | p < 0.05 | impact of diet | |
| gender | Vegan diet | p < 0.05 | impact of gender | 
| Omnivorous diet | p < 0.05 | impact of gender | |
| PACKAGING | |||
| diet | Women | p = 0.117 | no impact of diet | 
| Men | p < 0.05 | impact of diet | |
| gender | Vegan diet | p < 0.05 | impact of gender | 
| Omnivorous diet | p < 0.05 | impact of gender | |
| Sensory Attributes | Consumer Desirability | |||
|---|---|---|---|---|
| Vegan | Omnivore | |||
| Women | Men | Women | Men | |
| taste | 0.964 | 0.996 | 0.997 | 0.997 | 
| aroma | 0.105 | 0.083 | 0.040 | 0.213 | 
| colour | 0.007 | −0.007 | −0.024 | 0.040 | 
| Sensory Attributes | Taste Desirability | Overall Desirability | ||
|---|---|---|---|---|
| F1 | F2 | F1 | F2 | |
| Taste | ||||
| sweet taste | 0.490 | –0.076 | 0.491 | –0.075 | 
| fatty taste | 0.881 * | 0.230 | 0.883 * | 0.258 | 
| bitter taste | –0.480 | –0.145 | –0.480 | –0.145 | 
| salty taste | 0.697 | 0.460 | 0.697 | 0.460 | 
| astringent taste | –0.459 | 0.791 * | –0.458 | 0.795 * | 
| metallic taste | –0.061 | 0.256 | –0.061 | 0.256 | 
| cereal taste | –0.444 | –0.279 | –0.444 | –0.279 | 
| nutty taste | 0.462 | –0.012 | 0.462 | –0.012 | 
| legume taste | –0.202 | 0.928 * | –0.202 | 0.903 * | 
| watery taste | –0.562 | –0.338 | –0.562 | –0.338 | 
| milky taste | 0.902 * | –0.009 | 0.902 * | –0.009 | 
| hay-like taste | –0.515 | 0.710 | –0.516 | 0.710 | 
| coconut taste | 0.812 * | 0.058 | 0.803 * | 0.059 | 
| Disclaimer/Publisher’s Note: The statements, opinions and data contained in all publications are solely those of the individual author(s) and contributor(s) and not of MDPI and/or the editor(s). MDPI and/or the editor(s) disclaim responsibility for any injury to people or property resulting from any ideas, methods, instructions or products referred to in the content. | 
© 2025 by the authors. Licensee MDPI, Basel, Switzerland. This article is an open access article distributed under the terms and conditions of the Creative Commons Attribution (CC BY) license (https://creativecommons.org/licenses/by/4.0/).
Share and Cite
Szymandera-Buszka, K.; Jankowska, A.; Jędrusek-Golińska, A.; Jarzębski, M.; Karwik, A.; Anioła, J.; Wieruszewski, M.; Lasota, A.; Pawlicz, J. Analysis of Sensory Attributes and Purchasing Decisions of Plant-Based Beverages of Young Consumers in Poland on a Vegan and Traditional Diet. Foods 2025, 14, 3672. https://doi.org/10.3390/foods14213672
Szymandera-Buszka K, Jankowska A, Jędrusek-Golińska A, Jarzębski M, Karwik A, Anioła J, Wieruszewski M, Lasota A, Pawlicz J. Analysis of Sensory Attributes and Purchasing Decisions of Plant-Based Beverages of Young Consumers in Poland on a Vegan and Traditional Diet. Foods. 2025; 14(21):3672. https://doi.org/10.3390/foods14213672
Chicago/Turabian StyleSzymandera-Buszka, Krystyna, Agata Jankowska, Anna Jędrusek-Golińska, Maciej Jarzębski, Aleksandra Karwik, Jacek Anioła, Marek Wieruszewski, Agnieszka Lasota, and Jarosław Pawlicz. 2025. "Analysis of Sensory Attributes and Purchasing Decisions of Plant-Based Beverages of Young Consumers in Poland on a Vegan and Traditional Diet" Foods 14, no. 21: 3672. https://doi.org/10.3390/foods14213672
APA StyleSzymandera-Buszka, K., Jankowska, A., Jędrusek-Golińska, A., Jarzębski, M., Karwik, A., Anioła, J., Wieruszewski, M., Lasota, A., & Pawlicz, J. (2025). Analysis of Sensory Attributes and Purchasing Decisions of Plant-Based Beverages of Young Consumers in Poland on a Vegan and Traditional Diet. Foods, 14(21), 3672. https://doi.org/10.3390/foods14213672
 
        




 
       