Ergosterol Modulates Physicochemical Properties and Conformational Changes in High-Moisture Soy-Wheat Protein Extrudates
Abstract
1. Introduction
2. Materials and Methods
2.1. Materials
2.2. High-Moisture Extrusion Process
2.3. Rheological Measurements
2.4. Extrusion Response Parameters
2.5. Color Properties
2.6. Texture Profile Analysis (TPA)
2.7. Fibrous Degree
2.8. Water Holding Capacity (WHC) and Oil Holding Capacity (OHC)
2.9. Microstructure Observation
2.10. Particle Size Distribution (PSD)
2.11. Thermal Properties
2.12. Fourier Transformed Infrared Spectroscopy (FTIR)
2.13. Intrinsic Fluorescence Spectroscopy
2.14. In Vitro Protein Digestibility
2.15. Statistical Analysis
3. Results and Discussion
3.1. Rheological Properties Analysis
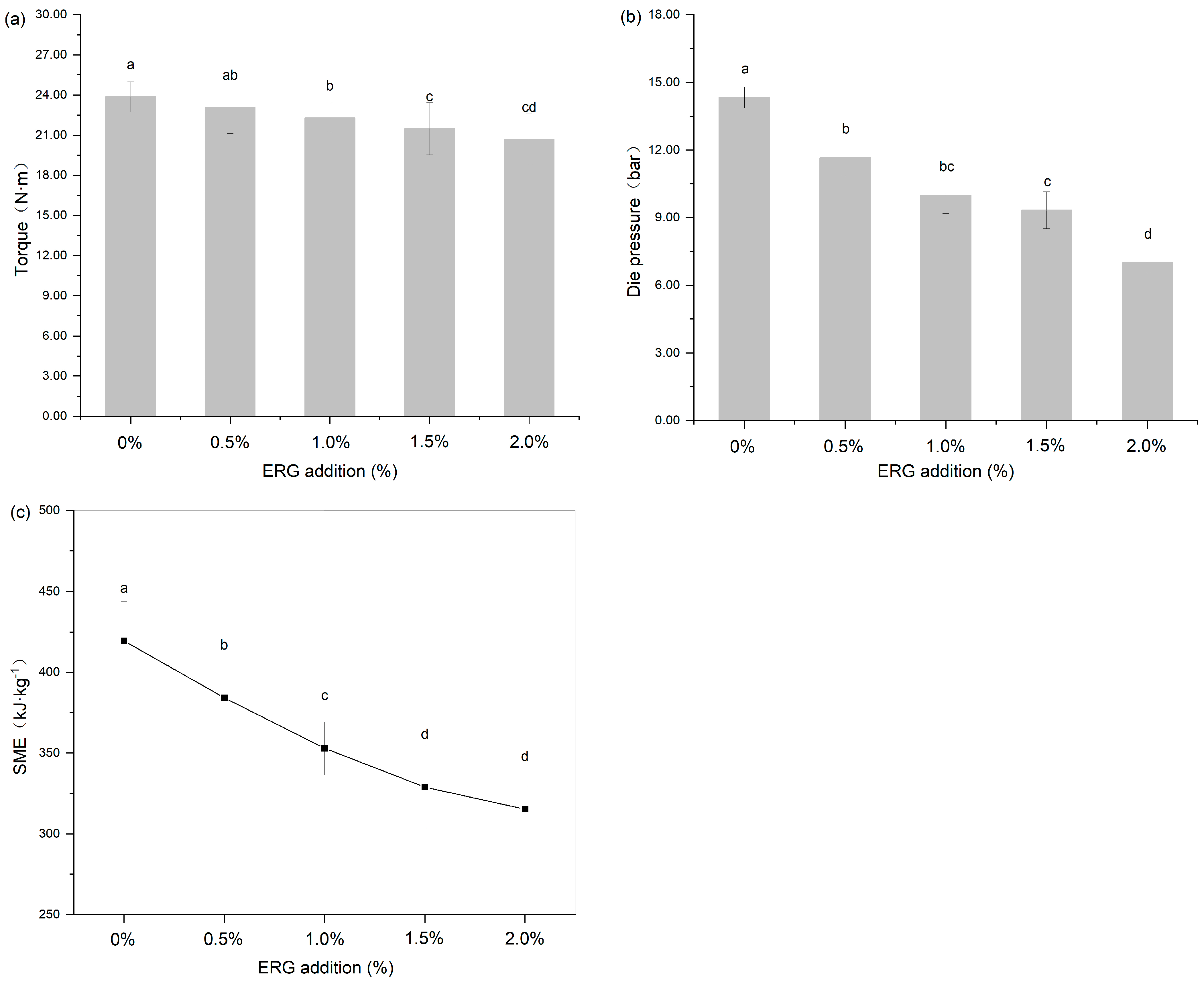
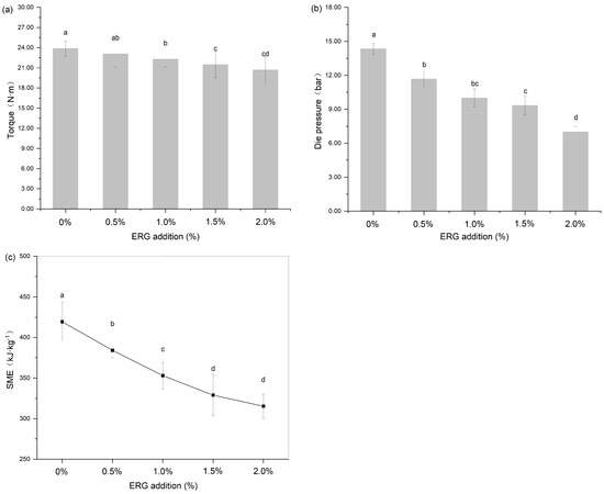
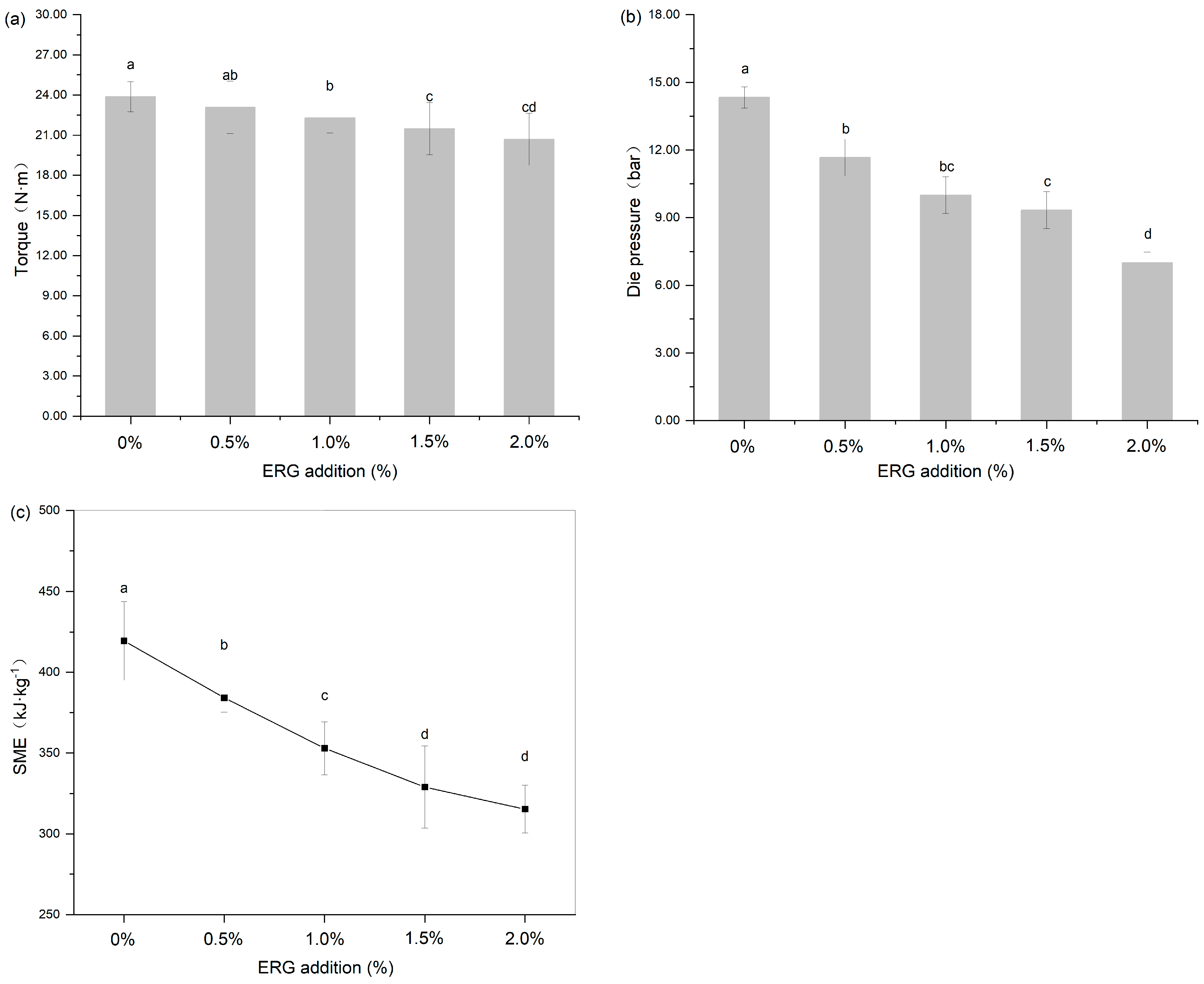
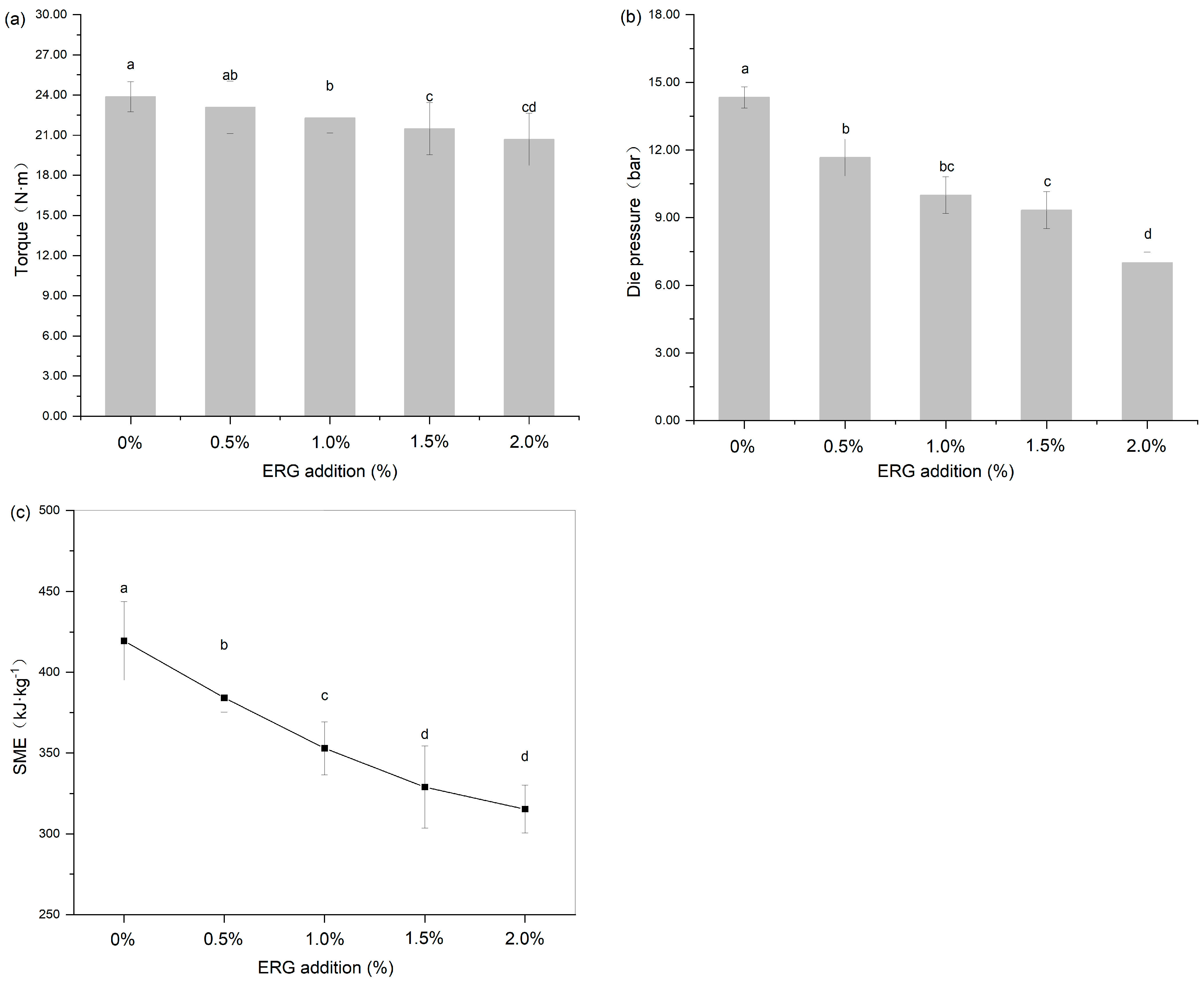
3.2. Extrusion Response Parameters Analysis
3.3. Color Properties Analysis
3.4. Textural Properties Analysis
3.5. Water Holding Capacity (WHC) and Oil Holding Capacity (OHC) Analysis
3.6. Microstructure and Visual Observation
3.7. Particle Size Distribution
3.8. Thermal Behavior Analysis
3.9. Fourier Transformed Infrared Spectroscopy (FTIR) Analysis
3.10. Intrinsic Fluorescence Spectroscopy Analysis
3.11. In Vitro Protein Digestibility
3.12. Interrelationship Between Structure, Hydration, and Digestibility
4. Conclusions
Author Contributions
Funding
Institutional Review Board Statement
Informed Consent Statement
Data Availability Statement
Conflicts of Interest
References
- Lee, J.-S.; Choi, I.; Han, J. Construction of Rice Protein-Based Meat Analogues by Extruding Process: Effect of Substitution of Soy Protein with Rice Protein on Dynamic Energy, Appearance, Physicochemical, and Textural Properties of Meat Analogues. Food Res. Int. 2022, 161, 111840. [Google Scholar] [CrossRef]
- Sun, Z.; Zhang, W.; Zhang, F.; Chiu, I.; Li, D.; Wu, X.; Yang, T.; Gao, Y.; Zheng, H. Physicochemical Modulation of Soy-Hemp-Wheat Protein Meat Analogues Prepared by High-Moisture Extrusion Using Transglutaminase. Food Res. Int. 2025, 208, 116229. [Google Scholar] [CrossRef]
- Van Der Weele, C.; Feindt, P.; Jan Van Der Goot, A.; Van Mierlo, B.; Van Boekel, M. Meat Alternatives: An Integrative Comparison. Trends Food Sci. Technol. 2019, 88, 505–512. [Google Scholar] [CrossRef]
- Zhang, K.; Li, D.; Chiu, I.; Guo, X.; Sun, Z.; Wu, X.; Liu, D.; Chen, H.; Yang, T.; Gao, Y.; et al. Mechanistic Insights into Curdlan-Induced Fibrous Structure Formation in Soybean Protein and Wheat Gluten Extrudates via Dead-Stop Operation and Rheological Characterization. Food Hydrocoll. 2025, 162, 110998. [Google Scholar] [CrossRef]
- Hossain Brishti, F.; Chay, S.Y.; Muhammad, K.; Rashedi Ismail-Fitry, M.; Zarei, M.; Karthikeyan, S.; Caballero-Briones, F.; Saari, N. Structural and Rheological Changes of Texturized Mung Bean Protein Induced by Feed Moisture during Extrusion. Food Chem. 2021, 344, 128643. [Google Scholar] [CrossRef]
- Alam, A.N.; Hwang, Y.-H.; Samad, A.; Joo, S.-T. Fabrication of Gelatin-Based Hybrid Films Using Solvent-Casting and Electrospinning to Enhance the Quality Characteristics and Shelf Life of Meat Analog. Food Biosci. 2025, 72, 107415. [Google Scholar] [CrossRef]
- Pietsch, V.L.; Emin, M.A.; Schuchmann, H.P. Process Conditions Influencing Wheat Gluten Polymerization during High Moisture Extrusion of Meat Analog Products. J. Food Eng. 2017, 198, 28–35. [Google Scholar] [CrossRef]
- Dou, W.; Zhang, X.; Zhao, Y.; Zhang, Y.; Jiang, L.; Sui, X. High Moisture Extrusion Cooking on Soy Proteins: Importance Influence of Gums on Promoting the Fiber Formation. Food Res. Int. 2022, 156, 111189. [Google Scholar] [CrossRef] [PubMed]
- Zhang, J.; Li, T.; Chen, Q.; Liu, H.; Kaplan, D.L.; Wang, Q. Application of Transglutaminase Modifications for Improving Protein Fibrous Structures from Different Sources by High-Moisture Extruding. Food Res. Int. 2023, 166, 112623. [Google Scholar] [CrossRef]
- Sun, M.; Sun, Z.; Wu, X.; Li, D.; Gao, Y.; Zheng, H. Effect of Fatty Acid Chain Length on Physicochemical Properties and Structural Characteristics of High-Moisture Meat Analogues Based on Soy-Hemp-Wheat Protein. Food Chem. 2025, 475, 143353. [Google Scholar] [CrossRef]
- Peng, H.; Zhang, J.; Wang, S.; Qi, M.; Yue, M.; Zhang, S.; Song, J.; Wang, C.; Zhang, D.; Wang, X.; et al. High Moisture Extrusion of Pea Protein: Effect of l-Cysteine on Product Properties and the Process Forming a Fibrous Structure. Food Hydrocoll. 2022, 129, 107633. [Google Scholar] [CrossRef]
- Lin, K.; Wang, Y.; Du, P.; Dong, P.; Guo, Y.; Cao, J.; Cheng, Y.; Cheng, F.; Zhao, W.; Feng, C.; et al. Ergosterol at Oil–Water Interface: W/O Emulsion Stability and Interfacial Behavior. LWT 2025, 226, 117979. [Google Scholar] [CrossRef]
- Zhabinskii, V.N.; Drasar, P.; Khripach, V.A. Structure and Biological Activity of Ergostane-Type Steroids from Fungi. Molecules 2022, 27, 2103. [Google Scholar] [CrossRef]
- Galván-Hernández, A.; Kobayashi, N.; Hernández-Cobos, J.; Antillón, A.; Nakabayashi, S.; Ortega-Blake, I. Morphology and Dynamics of Domains in Ergosterol or Cholesterol Containing Membranes. Biochim. Biophys. Acta BBA—Biomembr. 2020, 1862, 183101. [Google Scholar] [CrossRef]
- Chen, Q.; Zhang, J.; Zhang, Y.; Wang, Q. Effect of Fatty Acid Saturation Degree on the Rheological Properties of Pea Protein and Its High-Moisture Extruded Product Quality. Food Chem. 2022, 390, 133139. [Google Scholar] [CrossRef]
- Gao, Y.; Lian, W.; Zhang, H.; Zhu, Y.; Huang, Y.; Liu, L.; Zhu, X. Mechanism of L-Cysteine-Induced Fibrous Structural Changes of Soybean Protein at Different High-Moisture Extrusion Zones. Int. J. Biol. Macromol. 2024, 268, 131621. [Google Scholar] [CrossRef]
- Chen, Q.; Zhang, J.; Liu, H.; Li, T.; Wang, Q. Mechanism of High-Moisture Extruded Protein Fibrous Structure Formation Based on the Interactions among Pea Protein, Amylopectin, and Stearic Acid. Food Hydrocoll. 2023, 136, 108254. [Google Scholar] [CrossRef]
- Brodkorb, A.; Egger, L.; Alminger, M.; Alvito, P.; Assunção, R.; Ballance, S.; Bohn, T.; Bourlieu-Lacanal, C.; Boutrou, R.; Carrière, F.; et al. INFOGEST Static in Vitro Simulation of Gastrointestinal Food Digestion. Nat. Protoc. 2019, 14, 991–1014. [Google Scholar] [CrossRef]
- Wang, Y.; Zheng, Z.; Zhang, C.; Wu, C.; Tan, C.-P.; Liu, Y. Comparative Structural, Digestion and Absorption Characterization of Three Common Extruded Plant Proteins. Food Res. Int. 2024, 177, 113852. [Google Scholar] [CrossRef] [PubMed]
- Jiang, L.; Zhang, H.; Zhang, J.; Liu, S.; Tian, Y.; Cheng, T.; Guo, Z.; Wang, Z. Improve the Fiber Structure and Texture Properties of Plant-Based Meat Analogues by Adjusting the Ratio of Soy Protein Isolate (SPI) to Wheat Gluten (WG). Food Chem. X 2024, 24, 101962. [Google Scholar] [CrossRef]
- Wang, Y.; Guo, Y.; Dong, P.; Lin, K.; Du, P.; Cao, J.; Cheng, Y.; Cheng, F.; Yun, S.; Feng, C. Water-in-Oil Pickering Emulsion Using Ergosterol as an Emulsifier Solely. Food Res. Int. 2024, 186, 114374. [Google Scholar] [CrossRef]
- Zhang, R.; Han, Y.; McClements, D.J.; Xu, D.; Chen, S. Production, Characterization, Delivery, and Cholesterol-Lowering Mechanism of Phytosterols: A Review. J. Agric. Food Chem. 2022, 70, 2483–2494. [Google Scholar] [CrossRef]
- Xia, W.; Ma, L.; Chen, X.; Li, X.; Zhang, Y. Physicochemical and Structural Properties of Composite Gels Prepared with Myofibrillar Protein and Lecithin at Various Ionic Strengths. Food Hydrocoll. 2018, 82, 135–143. [Google Scholar] [CrossRef]
- Wittek, P.; Ellwanger, F.; Karbstein, H.P.; Emin, M.A. Morphology Development and Flow Characteristics during High Moisture Extrusion of a Plant-Based Meat Analogue. Foods 2021, 10, 1753. [Google Scholar] [CrossRef]
- Faisal, S.; Zhang, J.; Meng, S.; Shi, A.; Li, L.; Wang, Q.; Maleki, S.J.; Adhikari, B. Effect of High-Moisture Extrusion and Addition of Transglutaminase on Major Peanut Allergens Content Extracted by Three Step Sequential Method. Food Chem. 2022, 385, 132569. [Google Scholar] [CrossRef]
- Chen, Q.; Zhang, J.; Zhang, Y.; Meng, S.; Wang, Q. Rheological Properties of Pea Protein Isolate-Amylose/Amylopectin Mixtures and the Application in the High-Moisture Extruded Meat Substitutes. Food Hydrocoll. 2021, 117, 106732. [Google Scholar] [CrossRef]
- Zhang, J.; Liu, L.; Jiang, Y.; Faisal, S.; Wei, L.; Cao, C.; Yan, W.; Wang, Q. Converting Peanut Protein Biomass Waste into “Double Green” Meat Substitutes Using a High-Moisture Extrusion Process: A Multiscale Method to Explore a Process for Forming a Meat-Like Fibrous Structure. J. Agric. Food Chem. 2019, 67, 10713–10725. [Google Scholar] [CrossRef]
- Zahari, I.; Ferawati, F.; Helstad, A.; Ahlström, C.; Östbring, K.; Rayner, M.; Purhagen, J.K. Development of High-Moisture Meat Analogues with Hemp and Soy Protein Using Extrusion Cooking. Foods 2020, 9, 772. [Google Scholar] [CrossRef] [PubMed]
- Saldanha Do Carmo, C.; Knutsen, S.H.; Malizia, G.; Dessev, T.; Geny, A.; Zobel, H.; Myhrer, K.S.; Varela, P.; Sahlstrøm, S. Meat Analogues from a Faba Bean Concentrate Can Be Generated by High Moisture Extrusion. Future Foods 2021, 3, 100014. [Google Scholar] [CrossRef]
- Al-Mazaideh, G.M.; Al-Swailmi, F.K.; Parrey, M.U.R. Molecular Docking Evaluation of the Desert Truffles as Potent Antifungal Inhibitors. J. Pharm. Res. Int. 2021, 33, 36–48. [Google Scholar] [CrossRef]
- Wi, G.; Bae, J.; Kim, H.; Cho, Y.; Choi, M.-J. Evaluation of the Physicochemical and Structural Properties and the Sensory Characteristics of Meat Analogues Prepared with Various Non-Animal Based Liquid Additives. Foods 2020, 9, 461. [Google Scholar] [CrossRef]
- Chiang, J.H.; Loveday, S.M.; Hardacre, A.K.; Parker, M.E. Effects of Soy Protein to Wheat Gluten Ratio on the Physicochemical Properties of Extruded Meat Analogues. Food Struct. 2019, 19, 100102. [Google Scholar] [CrossRef]
- Hu, A.; Zhou, H.; Guo, F.; Wang, Q.; Zhang, J. Three-Dimensional Porous Fibrous Structural Morphology Changes of High-Moisture Extruded Soy Protein Under the Effect of Moisture Content. Food Hydrocoll. 2025, 159, 110600. [Google Scholar] [CrossRef]
- Mazaheri Tehrani, M.; Ehtiati, A.; Sharifi Azghandi, S. Application of Genetic Algorithm to Optimize Extrusion Condition for Soy-Based Meat Analogue Texturization. J. Food Sci. Technol. 2017, 54, 1119–1125. [Google Scholar] [CrossRef]
- Jiménez, A.; Fabra, M.J.; Talens, P.; Chiralt, A. Phase Transitions in Starch Based Films Containing Fatty Acids. Effect on Water Sorption and Mechanical Behaviour. Food Hydrocoll. 2013, 30, 408–418. [Google Scholar] [CrossRef]
- Yao, J.; Zhou, Y.; Chen, X.; Ma, F.; Li, P.; Chen, C. Effect of Sodium Alginate with Three Molecular Weight Forms on the Water Holding Capacity of Chicken Breast Myosin Gel. Food Chem. 2018, 239, 1134–1142. [Google Scholar] [CrossRef] [PubMed]
- Hou, Y.; Xia, S.; Ma, C.; Xue, C.; Jiang, X. Effects of the Soy Protein to Wheat Gluten Ratio on the Physicochemical and Structural Properties of Alaska Pollock Surimi-Based Meat Analogs by High Moisture Extrusion. Food Res. Int. 2023, 173, 113469. [Google Scholar] [CrossRef] [PubMed]
- Xia, S.; Song, J.; Ma, C.; Hao, T.; Hou, Y.; Shen, S.; Li, K.; Ma, L.; Xue, Y.; Xue, C.; et al. Effects of Moisture Content and Processing Temperature on the Strength and Orientation Regulation of Fibrous Structures in Meat Analogues. Food Hydrocoll. 2023, 145, 109113. [Google Scholar] [CrossRef]
- Liu, H.; Xu, Y.; Zu, S.; Wu, X.; Shi, A.; Zhang, J.; Wang, Q.; He, N. Effects of High Hydrostatic Pressure on the Conformational Structure and Gel Properties of Myofibrillar Protein and Meat Quality: A Review. Foods 2021, 10, 1872. [Google Scholar] [CrossRef] [PubMed]
- Vivian, J.T.; Callis, P.R. Mechanisms of Tryptophan Fluorescence Shifts in Proteins. Biophys. J. 2001, 80, 2093–2109. [Google Scholar] [CrossRef]
- Zhang, B.; Kang, X.; Cheng, Y.; Cui, B.; Abd El-Aty, A.M. Impact of High Moisture Contents on the Structure and Functional Properties of Pea Protein Isolate During Extrusion. Food Hydrocoll. 2022, 127, 107508. [Google Scholar] [CrossRef]
- Zhao, X.; Bai, Y.; Xing, T.; Xu, X.; Zhou, G. Use of an Isoelectric Solubilization/Precipitation Process to Modify the Functional Properties of PSE (Pale, Soft, Exudative)-Like Chicken Meat Protein: A Mechanistic Approach. Food Chem. 2018, 248, 201–209. [Google Scholar] [CrossRef] [PubMed]
- Zhao, Y.; Zhang, X.; Li, K.; Shen, S.; Li, J.; Liu, X. Formation Mechanism of Yeast-Soy Protein Extrudates during High-Moisture Extrusion and Their Digestive Properties. Food Hydrocoll. 2023, 145, 109093. [Google Scholar] [CrossRef]










| ERG Content (%) | L* | a* | b* | Browning Index (BI) |
|---|---|---|---|---|
| 0 | 61.79 ± 0.41 c | 2.26 ± 0.12 a | 18.09 ± 0.46 c | 36.59 ± 0.64 a |
| 0.5 | 68.35 ± 0.44 b | 0.78 ± 0.05 c | 20.21 ± 0.26 a | 35.05 ± 0.52 b |
| 1 | 69.18 ± 0.71 a | 1.05 ± 0.04 b | 20.20 ± 0.15 a | 34.82 ± 0.22 b |
| 1.5 | 69.79 ± 0.28 a | 0.63 ± 0.14 c | 19.22 ± 0.28 b | 32.11 ± 0.75 c |
| 2 | 69.59 ± 0.28 a | 1.06 ± 0.15 b | 19.26 ± 0.35 b | 32.79 ± 1.18 c |
| ERG Content (%) | Fibrous Degree | Hardness (g) | Springiness | Chewiness (g) |
|---|---|---|---|---|
| 0 | 1.20 ± 0.02 c | 3901.79 ± 248.51 a | 0.97 ± 0.02 a | 3176.04 ± 260.94 a |
| 0.5 | 1.54 ± 0.07 a | 2549.57 ± 324.26 b | 0.94 ± 0.04 a | 2120.13 ± 283.72 b |
| 1 | 1.60 ± 0.03 a | 2347.91 ± 78.00 bc | 0.96 ± 0.01 a | 1887.50 ± 5.81 bc |
| 1.5 | 1.44 ± 0.03 b | 1991.89 ± 370.90 c | 0.96 ± 0.09 a | 1581.37 ± 134.73 c |
| 2 | 1.40 ± 0.03 b | 1439.46 ± 274.65 d | 0.96 ± 0.03 a | 1157.00 ± 268.17 d |
Disclaimer/Publisher’s Note: The statements, opinions and data contained in all publications are solely those of the individual author(s) and contributor(s) and not of MDPI and/or the editor(s). MDPI and/or the editor(s) disclaim responsibility for any injury to people or property resulting from any ideas, methods, instructions or products referred to in the content. |
© 2025 by the authors. Licensee MDPI, Basel, Switzerland. This article is an open access article distributed under the terms and conditions of the Creative Commons Attribution (CC BY) license (https://creativecommons.org/licenses/by/4.0/).
Share and Cite
Gao, Y.; Yan, S.; Chen, K.; Chen, Q.; Li, B.; Li, J. Ergosterol Modulates Physicochemical Properties and Conformational Changes in High-Moisture Soy-Wheat Protein Extrudates. Foods 2025, 14, 3627. https://doi.org/10.3390/foods14213627
Gao Y, Yan S, Chen K, Chen Q, Li B, Li J. Ergosterol Modulates Physicochemical Properties and Conformational Changes in High-Moisture Soy-Wheat Protein Extrudates. Foods. 2025; 14(21):3627. https://doi.org/10.3390/foods14213627
Chicago/Turabian StyleGao, Yang, Song Yan, Kaixin Chen, Qing Chen, Bo Li, and Jialei Li. 2025. "Ergosterol Modulates Physicochemical Properties and Conformational Changes in High-Moisture Soy-Wheat Protein Extrudates" Foods 14, no. 21: 3627. https://doi.org/10.3390/foods14213627
APA StyleGao, Y., Yan, S., Chen, K., Chen, Q., Li, B., & Li, J. (2025). Ergosterol Modulates Physicochemical Properties and Conformational Changes in High-Moisture Soy-Wheat Protein Extrudates. Foods, 14(21), 3627. https://doi.org/10.3390/foods14213627

