Co-Occurrence and Molecular Characterization of ESBL-Producing and Colistin-Resistant Escherichia coli Isolates from Retail Raw Meat
Abstract
1. Introduction
2. Materials and Methods
2.1. Sample Collection
2.2. Isolation of ESBL E. coli
2.3. Phenotypic Confirmation of ESBL
2.4. DNA Extraction and Molecular Characterization
2.5. Determination of Colistin Resistance
2.6. Detection of Antimicrobial Resistance Profiles
2.7. Statistical Analysis
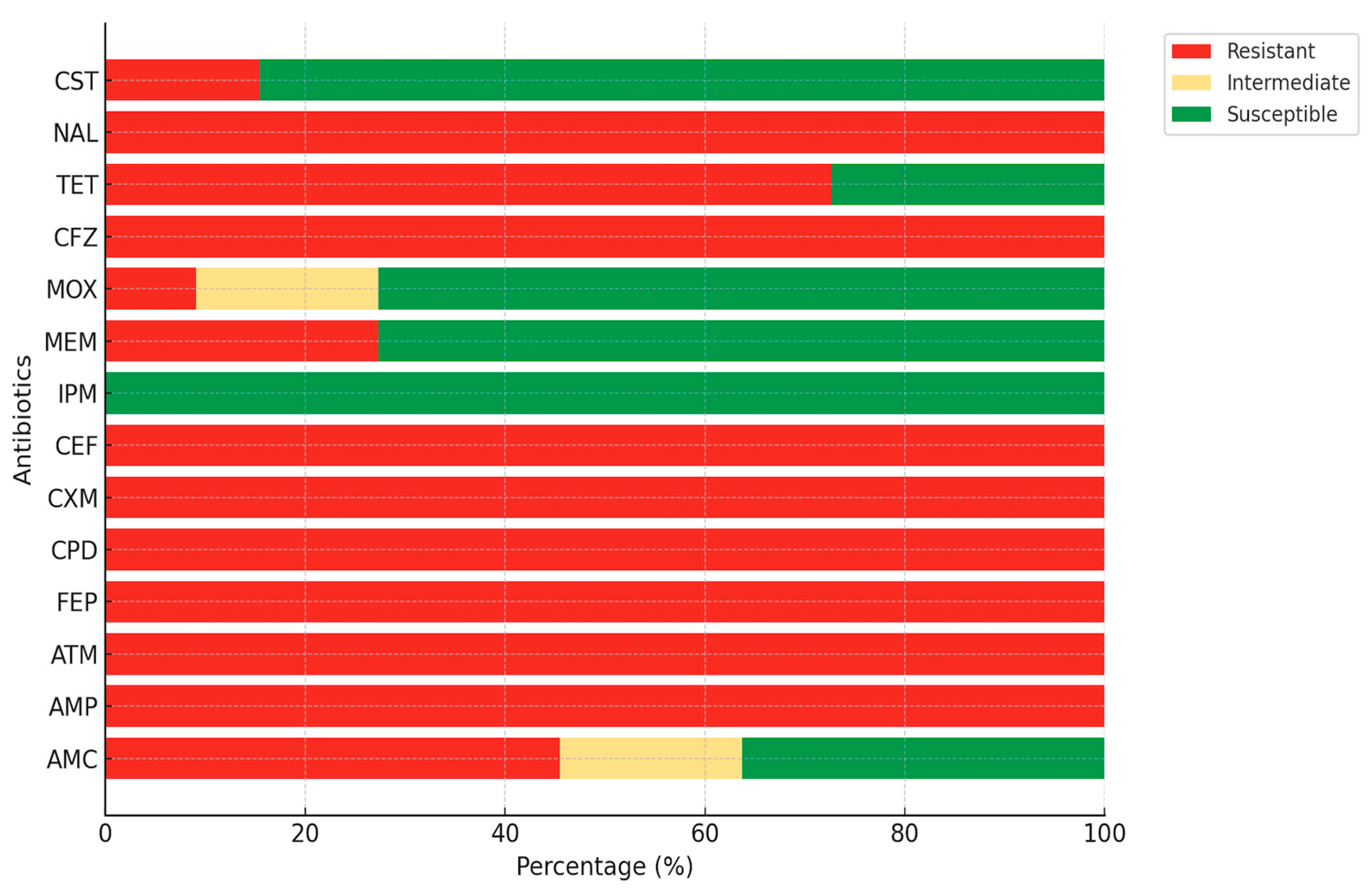
3. Results
4. Discussion
5. Conclusions
Supplementary Materials
Author Contributions
Funding
Institutional Review Board Statement
Informed Consent Statement
Data Availability Statement
Conflicts of Interest
References
- Ribeiro, L.F.; Nespolo, N.M.; Rossi, G.A.M.; Fairbrother, J.M. Exploring extended-spectrum beta-lactamase (ESBL)-producing Escherichia coli in food-producing animals and animal-derived foods. Pathogens 2024, 13, 346. [Google Scholar] [CrossRef] [PubMed]
- Abong’o, B.O.; Momba, M.N. Prevalence and characterization of Escherichia coli O157: H7 isolates from meat and meat products sold in Amathole District, Eastern Cape Province of South Africa. Food Microbiol. 2009, 26, 173–176. [Google Scholar] [CrossRef] [PubMed]
- Jouini, A.; Vinué, L.; Slama, K.B.; Saenz, Y.; Klibi, N.; Hammami, S.; Boudabous, A.; Torres, C. Characterization of CTX-M and SHV extended-spectrum beta-lactamases and associated resistance genes in Escherichia coli strains of food samples in Tunisia. J. Antimicrob. Chemother. 2007, 60, 1137–1141. [Google Scholar] [CrossRef]
- World Health Organization. Prioritization of Pathogens to Guide Discovery, Research and Development of New Antibiotics for Drug-Resistant Bacterial Infections, Including Tuberculosis; WHO: Geneva, Switzerland, 2017; No. WHO/EMP/IAU/2017.12. [Google Scholar]
- Bush, K.; Jacoby, G.A. Updated functional classification of β-lactamases. Antimicrob. Agents Chemother. 2009, 54, 969–976. [Google Scholar] [CrossRef]
- Gniadkowski, M. Evolution of extended-spectrum β-lactamases by mutation. Clin. Microbiol. Infect. 2008, 14, 11–32. [Google Scholar] [CrossRef] [PubMed]
- Rossolini, G.M.; D’andrea, M.M.; Mugnaioli, C. The spread of CTX-M-type extended-spectrum β-lactamases. Clin. Microbiol. Infect. 2008, 14, 33–41. [Google Scholar] [CrossRef]
- Seiffert, S.N.; Hilty, M.; Perreten, V.; Endimiani, A. Extended-spectrum cephalosporin-resistant Gram-negative organisms in livestock: An emerging problem for human health? Drug Resist. Updat. 2013, 16, 22–45. [Google Scholar] [CrossRef]
- Warren, R.E.; Ensor, V.M.; O’Neill, P.; Butler, V.; Taylor, J.; Nye, K.; Harvey, M.; Livermore, D.M.; Woodford, N.; Hawkey, P.M. Imported chicken meat as a potential source of quinolone-resistant Escherichia coli producing extended-spectrum beta-lactamases in the UK. J. Antimicrob. Chemother. 2008, 61, 504–508. [Google Scholar] [CrossRef]
- Dhanji, H.; Murphy, N.M.; Doumith, M.; Durmus, S.; Lee, S.S.; Hope, R.; Woodford, N.; Livermore, D.M. Cephalosporin resistance mechanisms in Escherichia coli isolated from raw chicken imported into the UK. J. Antimicrob. Chemother. 2010, 65, 2534–2537. [Google Scholar] [CrossRef]
- Kawamura, K.; Goto, K.; Nakane, K.; Arakawa, Y. Molecular epidemiology of extended-spectrum beta-lactamases and Escherichia coli isolated from retail foods including chicken meat in Japan. Foodborne Pathog. Dis. 2014, 11, 104–110. [Google Scholar] [CrossRef]
- Xie, M.; Lin, D.; Chen, K.; Chan, E.W.C.; Yao, W.; Chen, S. Molecular characterization of Escherichia coli strains isolated from retail meat that harbor blaCTX-M and fosA3 genes. Antimicrob. Agents Chemother. 2016, 60, 2450–2455. [Google Scholar] [CrossRef] [PubMed][Green Version]
- Dandachi, I.; Chabou, S.; Daoud, Z.; Rolain, J.M. Prevalence and emergence of extended-spectrum cephalosporin-, carbapenem- and colistin-resistant Gram negative bacteria of animal origin in the Mediterranean Basin. Front. Microbiol. 2018, 28, 2299. [Google Scholar] [CrossRef] [PubMed]
- Mikhayel, M.; Leclercq, S.O.; Sarkis, D.; Doublet, B. Occurrence of the Colistin resistance gene mcr-1 and additional antibiotic resistance genes in ESBL/AmpC-producing Escherichia coli from poultry in Lebanon: A nationwide survey. Microbiol. Spectr. 2021, 9, e00025-21. [Google Scholar] [CrossRef] [PubMed]
- Kim, H.Y. Statistical notes for clinical researchers: Sample size calculation 3. Comparison of several means using one-way ANOVA. Restor. Dent. Endod. 2016, 41, 231–234. [Google Scholar] [CrossRef]
- Serdar, C.C.; Cihan, M.; Yücel, D.; Serdar, M.A. Sample size, power and effect size revisited: Simplified and practical approaches in pre-clinical, clinical and laboratory studies. Biochem. Medica 2021, 31, 27–53. [Google Scholar] [CrossRef]
- Ongut, G.; Daloglu, A.E.; Baysan, B.O.; Daglar, D.; Ogunc, D.; Sekercioglu, A.O.; Colak, D.; Gunseren, F. Evaluation of a chromogenic medium for detection of extended-spectrum-beta-lactamase-producing Escherichia coli and Klebsiella pneumoniae strains. Clin. Lab. 2014, 60, 1213–1215. [Google Scholar] [CrossRef]
- CLSI. Performance Standards for Antimicrobial Susceptibility Testing, 33rd ed.; Clinical and Laboratory Standards Institute: Wayne, PA, USA, 2023. [Google Scholar]
- Chen, J.; Griffiths, M.W. PCR differentiation of Escherichia coli from other Gram-negative bacteria using primers derived from the nucleotide sequences flanking the gene encoding the universal stress protein. Lett. Appl. Microbiol. 1998, 27, 369–371. [Google Scholar] [CrossRef]
- Fang, H.; Lundberg, C.; Olsson-Liljequist, B.; Hedin, G.; Lindback, E.; Rosenberg, A. Molecular epidemiological analysis of Escherichia coli isolates producing extended-spectrum beta-lactamases for identification of nosocomial outbreaks in Stockholm, Sweden. J. Clin. Microbiol. 2004, 42, 5917–5920. [Google Scholar] [CrossRef]
- Monstein, H.J.; Ostholm-Balkhed, A.; Nilsson, M.V.; Nilsson, M.; Dornbusch, K.; Nilsson, L.E. Multiplex PCR amplification assay for the detection of blaSHV, blaTEM, and blaCTX-M genes in Enterobacteriaceae. J. Pathol. Microbiol. Immunol. 2007, 115, 1400–1408. [Google Scholar] [CrossRef]
- Ouellette, M.; Bissonnette, L.; Roy, P.H. Precise insertion of antibiotic resistance determinants into Tn21-like transposons: Nucleotide sequence of the OXA-1 beta-lactamase gene. Proc. Natl. Acad. Sci. USA 1987, 84, 7378–7382. [Google Scholar] [CrossRef]
- Boyd, D.A.; Tyler, S.; Christianson, S.; McGeer, A.; Muller, M.P.; Willey, B.M.; Bryce, E.; Gardam, M.; Nordmann, P.; Mulvey, M.R. Complete nucleotide sequence of a 92-kilobase plasmid harboring the CTX-M-15 extendedspectrum beta-lactamase involved in an outbreak in long-term-care facilities in Toronto, Canada. Antimicrob. Agents Chemother. 2004, 48, 3758–3764. [Google Scholar] [CrossRef]
- Fang, H.; Ataker, F.; Hedin, G.; Dornbusch, K. Molecular epidemiology of extended-spectrum beta-lactamases among Escherichia coli isolates collected in a Swedish hospital an dits associated health care facilities from 2001 to 2006. J. Clin. Microbiol. 2008, 46, 707–712. [Google Scholar] [CrossRef]
- Dallenne, C.; Da Costa, A.; Decré, D.; Favier, C.; Arlet, G. Development of a set of multiplex PCR assays for the detection of genes encoding important b- lactamases in Enterobacteriaceae. J. Antimicrob. Chemother. 2010, 65, 490–495. [Google Scholar] [CrossRef]
- Liu, Y.Y.; Wang, Y.; Walsh, T.R.; Yi, L.X.; Zhang, R.; Spencer, J.; Doi, Y.; Tian, G.; Dong, B.; Huang, X.; et al. Emergence of plasmid-mediated colistin resistance mechanism MCR-1 in animals and human beings in China: A microbiological and molecular biological study. Lancet Infect. Dis. 2016, 16, 161–168. [Google Scholar] [CrossRef] [PubMed]
- Xavier, B.B.; Lammens, C.; Butaye, P.; Goossens, H.; Malhotra-Kumar, S. Complete sequence of an IncFII plasmid harbouring the colistin resistance gene mcr-1 isolated from Belgian pig farms. J. Antimicrob. Chemother. 2016, 71, 2342–2344. [Google Scholar] [CrossRef] [PubMed]
- Yin, W.; Li, H.; Shen, Y.; Liu, Z.; Wang, S.; Shen, Z.; Zhang, R.; Walsh, T.R.; Shen, J.; Wang, Y. Novel plasmid-mediated colistin resistance gene mcr-3 in Escherichia coli. MBio 2017, 8, 10–1128. [Google Scholar] [CrossRef] [PubMed]
- EUCAST. The European Committee on Antimicrobial Susceptibility Testing, Breakpoint Tables for Interpretation of MICs and Zone Diameters, version 13.1; EUCAST: Växjö, Sweden, 2023; Available online: https://www.eucast.org/fileadmin/src/media/PDFs/EUCAST_files/Breakpoint_tables/v_13.1_Breakpoint_Tables.pdf (accessed on 18 August 2025).
- Kaesbohrer, A.; Bakran-Lebl, K.; Irrgang, A.; Fischer, J.; Kämpf, P.; Schiffmann, A.; Werckenthin, C.; Busch, M.; Kreienbrock, L.; Hille, K. Diversity in prevalence and characteristics of ESBL/pAmpC producing E. coli in food in Germany. Vet. Microbiol. 2019, 233, 52–60. [Google Scholar] [CrossRef]
- Casella, T.; Nogueira, M.C.L.; Saras, E.; Haenni, M.; Madec, J.Y. High prevalence of ESBLs in retail chicken meat despite reduced use of antimicrobials in chicken production, France. Int. J. Food Microbiol. 2017, 257, 271–275. [Google Scholar] [CrossRef]
- Randall, L.P.; Lodge, M.P.; Elviss, N.C.; Lemma, F.L.; Hopkins, K.L.; Teale, C.J.; Woodford, N. Evaluation of meat, fruit and vegetables from retail stores in five United Kingdom regions as sources of extended-spectrum beta-lactamase (ESBL)-producing and carbapenem-resistant Escherichia coli. Int. J. Food Microbiol. 2017, 241, 283–290. [Google Scholar] [CrossRef]
- Musa, L.; Casagrande Proietti, P.; Branciari, R.; Menchetti, L.; Bellucci, S.; Ranucci, D.; Marenzoni, M.L.; Franciosini, M.P. Antimicrobial susceptibility of Escherichia coli and ESBL-producing Escherichia coli diffusion in conventional, organic and antibiotic-free meat chickens at slaughter. Animals 2020, 10, 1215. [Google Scholar] [CrossRef]
- Klimienė, I.; Virgailis, M.; Kerzienė, S.; Šiugždinienė, R.; Mockeliūnas, R.; Ružauskas, M. Evaluation of genotypical antimicrobial resistance in ESBL producing Escherichia coli phylogenetic groups isolated from retail poultry meat. J. Food Saf. 2018, 38, e12370. [Google Scholar] [CrossRef]
- Hussain, A.; Shaik, S.; Ranjan, A.; Nandanwar, N.; Tiwari, S.K.; Majid, M.; Baddam, R.; Qureshi, I.A.; Semmler, T.; Wieler, L.H.; et al. Risk of transmission of antimicrobial resistant Escherichia coli from commercial broiler and free-range retail chicken in India. Front. Microbiol. 2017, 8, 2120. [Google Scholar] [CrossRef] [PubMed]
- Jensen, L.B.; Hasman, H.; Agersø, Y.; Emborg, H.D.; Aarestrup, F.M. First description of an oxyimino-cephalosporin-resistant, ESBL-carrying Escherichia coli isolated from meat sold in Denmark. J. Antimicrob. Chemother. 2006, 57, 793–794. [Google Scholar] [CrossRef] [PubMed]
- Abraham, S.; Kirkwood, R.N.; Laird, T.; Saputra, S.; Mitchell, T.; Singh, M.; Linn, B.; Abraham, R.J.; Pang, S.; Gordon, D.M.; et al. Dissemination and persistence of extended-spectrum cephalosporin-resistance encoding IncI1-bla CTXM-1 plasmid among Escherichia coli in pigs. ISME J. 2018, 12, 2352–2362. [Google Scholar] [CrossRef]
- Schink, A.K.; Kadlec, K.; Schwarz, S. Analysis of bla CTX-M-carrying plasmids from Escherichia coli isolates collected in the BfT-GermVet study. Appl. Environ. Microbiol. 2011, 77, 7142–7146. [Google Scholar] [CrossRef]
- Saraiva, M.M.S.; Moreira Filho, A.L.B.; Freitas Neto, O.C.; Silva, N.M.V.; Gebreyes, P.W.A.; Oliveira, C.J.B. Off-label use of ceftiofur in one-day chicks triggers a short-term increase of ESBL-producing E. coli in the gut. PLoS ONE 2018, 13, e0203158. [Google Scholar] [CrossRef]
- Verrette, L.; Fairbrother, J.M.; Boulianne, M. Effect of cessation of ceftiofur and substitution with lincomycin-spectinomycin on extended-spectrum-β-lactamase/AmpC genes and multidrug resistance in Escherichia coli from a Canadian broiler production pyramid. Appl. Environ. Microbiol. 2019, 85, e00037-19. [Google Scholar] [CrossRef]
- Mandujano-Hernández, A.; Martínez-Vázquez, A.V.; Paz-González, A.D.; Herrera-Mayorga, V.; Paz-González, A.D.; Herrera-Mayorga, V.; Sánchez-Sánchez, M.; Lara-Ramírez, E.E.; Vázquez, K.; Luna-Santillana, E.D.J.D.; et al. The Global Rise of ESBL-Producing Escherichia coli in the Livestock Sector: A Five-Year Overview. Animals 2024, 14, 2490. [Google Scholar] [CrossRef]
- Kerluku, M.; Jankuloski, D.; Manovska, M.R.; Prodanov, M.; Dimzoska, B.S.; Dodovski, A.; Blagoevska, K. β-Lactamase genes (blaCTX-M, blaSHV, blaTEM, blaOXA1 and blaOXA2) and phylogenetic groups in esbl producing commensal Escherichia coli isolated from faecal samples from dairy farm in the municipality of Debar. Maced. Vet. Rev. 2023, 46, 89–97. [Google Scholar] [CrossRef]
- Martins, J.C.; Pintor-Cora, A.; Alegría, Á.; Santos, J.A.; Herrera-Arias, F. Characterization of ESBL-producing Escherichia spp. and report of an mcr-1 colistin-resistance Escherichia fergusonni strain from minced meat in Pamplona, Colombia. Int. J. Food Microbiol. 2023, 394, 110168. [Google Scholar] [CrossRef]
- Lim, J.S.; Choi, D.S.; Kim, Y.J.; Chon, J.W.; Kim, H.S.; Park, H.J.; Moon, J.-S.; Wee, S.-H.; Seo, K.-H. Characterization of Escherichia coli- producing extended-spectrum beta-lactamase (ESBL) isolated from chicken slaughterhouses in South Korea. Foodborne Pathog. Dis. 2015, 12, 741–748. [Google Scholar] [CrossRef]
- Kola, A.; Kohler, C.; Pfeifer, Y.; Schwab, F.; Kühn, K.; Schulz, K.; Balau, V.; Breitbach, K.; Bast, A.; Witte, W.; et al. High prevalence of extended-spectrum-β-lactamase-producing Enterobacteriaceae in organic and conventional retail chicken meat, Germany. J. Antimicrob. Chemother. 2012, 67, 2631–2634. [Google Scholar] [CrossRef]
- Guo, S.; Aung, K.T.; Leekitcharoenphon, P.; Tay, M.Y.F.; Seow, K.L.G.; Zhong, Y.; Ng, L.C.; Aarestrup, F.M.; Schlundt, J. Prevalence and genomic analysis of ESBL-producing Escherichia coli in retail raw meats in Singapore. J. Antimicrob. Chemother. 2021, 76, 601–605. [Google Scholar] [CrossRef] [PubMed]
- Tanzin, A.Z.; Nath, C.; Nayem, M.R.K.; Sayeed, M.A.; Khan, S.A.; Magalhaes, R.S.; Alawneh, J.I.; Hassan, M.M. Detection and characterisation of colistin-resistant Escherichia coli in broiler meats. Microorganisms 2024, 12, 2535. [Google Scholar] [CrossRef] [PubMed]
- Odoi, J.O.; Takayanagi, S.; Sugiyama, M.; Usui, M.; Tamura, Y.; Asai, T. Prevalence of colistin-resistant bacteria among retail meats in Japan. Food Saf. 2021, 9, 48–56. [Google Scholar] [CrossRef] [PubMed]
- Madni, W.A.; Mohsin, M.; Nawaz, Z.; Muzammil, S.; Zahoor, M.A.; Asif, R. Molecular mechanism of antimicrobial co-resistance Colistin (mcr-1) and ESBLs genes among Escherichia coli isolates from commercial chickens in Pakistan. Braz. J. Biol. 2023, 84, e267494. [Google Scholar] [CrossRef]
- Songsaeng, W.; Am-in, N.; Prapasarakul, N.; Sirichokchatchawan, W. Multidrug-resistant ESBL-producing Escherichia coli coexisting with colistin-resistance genes in pig farms, Central Thailand. Thai J. Vet. Med. 2024, 54, 69–76. [Google Scholar] [CrossRef]
- Johura, F.T.; Tasnim, J.; Barman, I.; Biswas, S.R.; Jubyda, F.T.; Sultana, M.; George, C.M.; Camilli, A.; Seed, K.D.; Ahmed, N.; et al. Colistin-resistant Escherichia coli carrying mcr-1 in food, water, hand rinse, and healthy human gut in Bangladesh. Gut Pathog. 2020, 12, 5. [Google Scholar] [CrossRef]
- Zhao, X.; Chen, H.; Bi, W.; Shan, H.; Wang, J.; Yang, Z. Coexistence and genomics characterization of mcr-1 and extended-spectrum-β-lactamase-producing Escherichia coli, an emerging extensively drug-resistant bacteria from sheep in China. Sci. Total Environ. 2024, 955, 177016. [Google Scholar] [CrossRef]




| Gene Region | Primer Sequence (5′-3′) | Length (bp) | Reference |
|---|---|---|---|
| uspA | 5′CCGATACGCTGCCAATCAGT3′ 5′ACGCAGACCGTAGGCCAGAT3′ | 884 | [19] |
| ESBL | |||
| blaSHV | CTTTATCGGCCCTCACTCAA AGGTGCTCATCATGGGAAAG | 237 | [20] |
| blaTEM | CGCCGCATACACTATTCTCAGAATGA ACGCTCACCGGCTCCAGATTTAT | 445 | [21] |
| blaOXA | ACACAATACATATCAACTTCGC AGTGTGTTTAGAATGGTGATC | 813 | [22] |
| blaCTX-M | ATGTGCAGYACCAGTAARGTKATGGC TGGGTRAARTARGTSACCAGAAYCAGCGG | 593 | [23] |
| blaCTX-M1 | CGTCACGCTGTTGTTAGGAA TCGGTTCGCTTTCACTTTTC | 227 | [20] |
| blaCTX-M2 | GGAGAAAAGTTCGGGAGGTC GCTTATCGCTCTCGCTCTGT | 155 | [24] |
| blaCTX-M9 | ACGTGGCTCAAAGGCAATACCGGCTG GGTAAAATAGGTCA | 174 | [24] |
| blaCTX-M8/25 | AACRCRCAGACGCTCTAC TCGAGCCGGAASGTGTYAT | 326 | [25] |
| MCR | |||
| mcr-1 | CGGTCAGTCCGTTTGTTC CTTGGTCGGTCTGTAGGG | 309 | [26] |
| mcr-2 | TGTTGCTTGTGCCGATTGGA AGATGGTATTGTTGGTTGCTG | 567 | [27] |
| mcr-3 | AAATAAAAATTGTTCCGCTTAT GAATGGAGATCCCCGTTTTT | 930 | [28] |
Disclaimer/Publisher’s Note: The statements, opinions and data contained in all publications are solely those of the individual author(s) and contributor(s) and not of MDPI and/or the editor(s). MDPI and/or the editor(s) disclaim responsibility for any injury to people or property resulting from any ideas, methods, instructions or products referred to in the content. |
© 2025 by the authors. Licensee MDPI, Basel, Switzerland. This article is an open access article distributed under the terms and conditions of the Creative Commons Attribution (CC BY) license (https://creativecommons.org/licenses/by/4.0/).
Share and Cite
Telli, A.E.; Telli, N.; Biçer, Y.; Turkal, G.; Yılmaz, T.; Uçar, G. Co-Occurrence and Molecular Characterization of ESBL-Producing and Colistin-Resistant Escherichia coli Isolates from Retail Raw Meat. Foods 2025, 14, 3573. https://doi.org/10.3390/foods14203573
Telli AE, Telli N, Biçer Y, Turkal G, Yılmaz T, Uçar G. Co-Occurrence and Molecular Characterization of ESBL-Producing and Colistin-Resistant Escherichia coli Isolates from Retail Raw Meat. Foods. 2025; 14(20):3573. https://doi.org/10.3390/foods14203573
Chicago/Turabian StyleTelli, Arife Ezgi, Nihat Telli, Yusuf Biçer, Gamze Turkal, Tahir Yılmaz, and Gürkan Uçar. 2025. "Co-Occurrence and Molecular Characterization of ESBL-Producing and Colistin-Resistant Escherichia coli Isolates from Retail Raw Meat" Foods 14, no. 20: 3573. https://doi.org/10.3390/foods14203573
APA StyleTelli, A. E., Telli, N., Biçer, Y., Turkal, G., Yılmaz, T., & Uçar, G. (2025). Co-Occurrence and Molecular Characterization of ESBL-Producing and Colistin-Resistant Escherichia coli Isolates from Retail Raw Meat. Foods, 14(20), 3573. https://doi.org/10.3390/foods14203573

