Water-Assisted Microwave Processing: Rapid Detoxification and Antioxidant Enhancement in Colored Kidney Beans
Abstract
1. Introduction
2. Materials and Methods
2.1. Materials and Reagents
2.2. Experimental Design
2.3. Antioxidant Capacity Assay
2.4. Spectrophotometric Analysis of Seed Anti-Nutrients
2.5. Metabolite Extraction
2.6. LC-MS/MS-Based Untargeted Metabolomics Analysis
2.7. Data Processing and Statistical Analysis
3. Results
3.1. The Effect of Intermittent Microwave Treatment on Kidney Beans
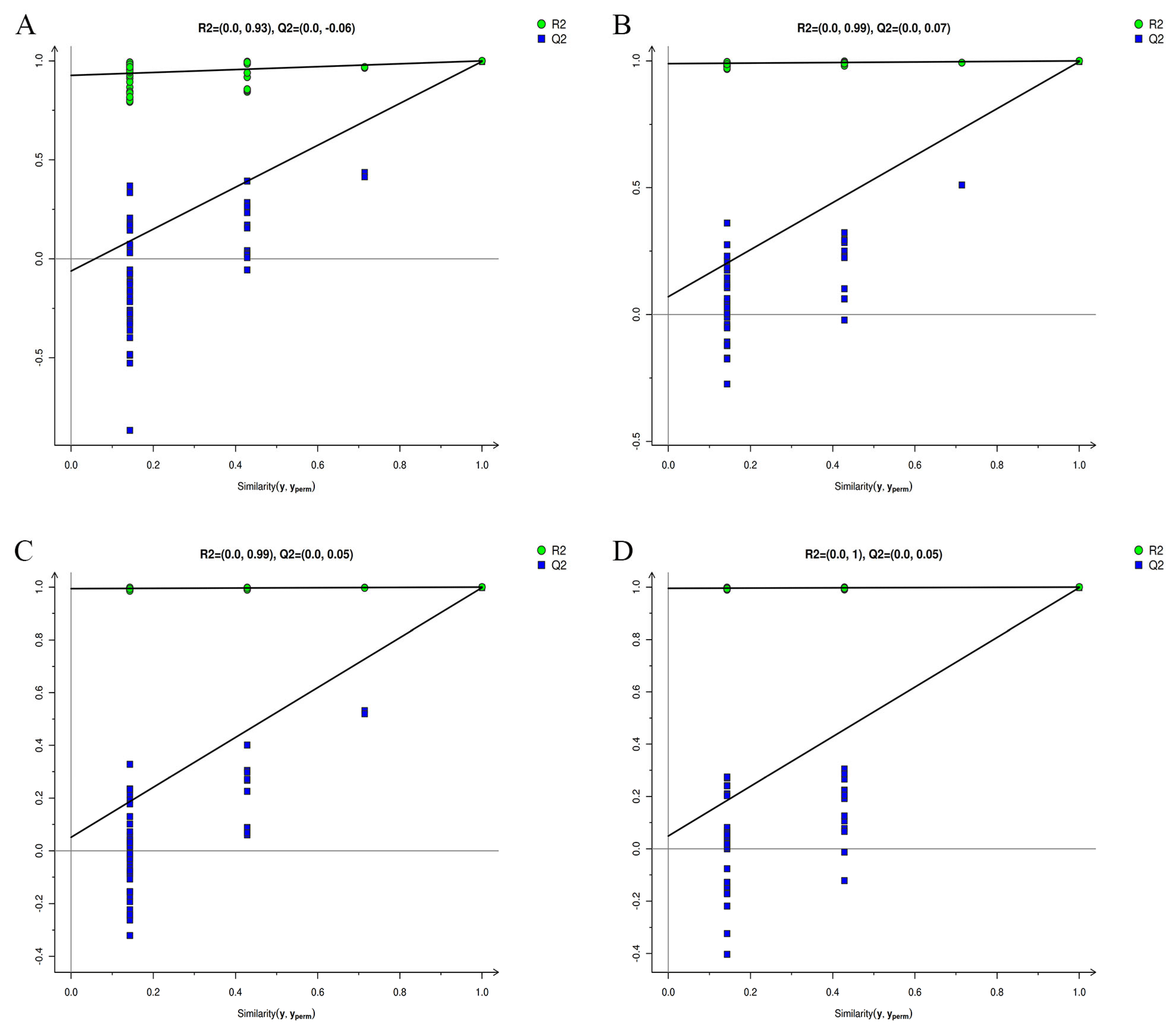
3.2. Metabolite Profiling and Statistical Validation of Microwave-Treated Beans
3.3. The Effect of Microwave Treatment on the Accumulation of DEMs
3.4. Enrichment Analysis of Metabolic Pathways of Different Metabolites
4. Discussion
4.1. Microwave Detoxification Efficacy and Mechanisms in Colored Kidney Beans
4.2. Microwave-Enhanced Antioxidant Accumulation and Underlying Mechanisms
4.3. Microwave Induced Other Bioactive Metabolite Enrichment and Mechanisms
4.4. Limitations and Future Perspectives
5. Conclusions
Supplementary Materials
Author Contributions
Funding
Institutional Review Board Statement
Informed Consent Statement
Data Availability Statement
Acknowledgments
Conflicts of Interest
Abbreviations
| DEMs | Differentially Expressed Metabolites |
| DPPH | 2,2-Diphenyl-1-picrylhydrazyl |
| DW | Dry Weight |
| FC | Fold Change |
| FDR | False Discovery Rate |
| FRAP | Ferric Reducing Antioxidant Power |
| GABA | Gamma-Aminobutyric Acid |
| LC-MS | Liquid Chromatography–Mass Spectrometry |
| MS | Mass Spectrometry |
| OPLS-DA | Orthogonal Partial Least Squares–Discriminant Analysis |
| PCA | Principal Component Analysis |
| WRA | White Raw Bean (Group A) |
| WCA | White Combined-process Bean (Group A) |
| YRB | Yellow Raw Bean (Group B) |
| YCB | Yellow Combined-process Bean (Group B) |
| RRC | Red Raw Bean (Group C) |
| RCC | Red Combined-process Bean (Group C) |
| BRD | Black Raw Bean (Group D) |
| BCD | Black Combined-process Bean (Group D) |
| DPPH | diphenylpicrylhydrazine |
| VIP | Variable Importance in Projection |
References
- Beninger, C.; Hosfield, G. Antioxidant activity of extracts, condensed tannin fractions, and pure flavonoids from Phaseolus vulgaris L. seed coat color genotypes. J. Agric. Food Chem. 2003, 51, 7879–7883. [Google Scholar] [CrossRef]
- Lim, Y.; Kwon, S.; Qu, S.; Kim, D.; Eom, S. Antioxidant contributors in seed, seed coat, and cotyledon of γ-ray-induced soybean mutant lines with different seed coat colors. Antioxidants 2021, 10, 353. [Google Scholar] [CrossRef]
- Shi, J.; Arunasalam, K.; Yeung, D.; Kakuda, Y.; Mittal, G.; Jiang, Y. Saponins from edible legumes: Chemistry, processing, and health benefits. J. Med. Food 2004, 7, 67–78. [Google Scholar] [CrossRef]
- Kumar, S.; Verma, A.; Das, M.; Jain, S.; Dwivedi, P. Clinical complications of kidney bean (Phaseolus vulgaris L.) consumption. Nutrition 2013, 29, 821–827. [Google Scholar] [CrossRef]
- Yasmin, A.; Zeb, A.; Khalil, A.; Paracha, G.; Khattak, A. Effect of processing on anti-nutritional factors of red kidney bean (Phaseolus vulgaris) grains. Food Bioprocess Technol. 2008, 1, 415–419. [Google Scholar] [CrossRef]
- Mbah, B.; Eme, P.; Ogbusu, O. Effect of cooking methods (boiling and roasting) on nutrients and anti-nutrients content of Moringa oleifera seeds. Pak. J. Nutr. 2012, 11, 211. [Google Scholar] [CrossRef]
- Hassan, S.; Ahmad, N.; Ahmad, T.; Imran, M.; Xu, C.; Khan, M. Microwave processing impact on the phytochemicals of sorghum seeds as food ingredient. J. Food Process. Preserv. 2019, 43, e13924. [Google Scholar] [CrossRef]
- Ma, H.; Xu, X.; Wang, S.; Wang, J.; Wang, S. Effects of microwave irradiation of Fagopyrum tataricum seeds on the physicochemical and functional attributes of sprouts. LWT 2022, 165, 113738. [Google Scholar] [CrossRef]
- Kaseke, T.; Opara, U.; Fawole, O. Effect of microwave pretreatment of seeds on the quality and antioxidant capacity of pomegranate seed oil. Foods 2020, 9, 1287. [Google Scholar] [CrossRef]
- Yuenyong, J.; Limkoey, S.; Phuksuk, C.; Winan, T.; Bennett, C.; Jiamyangyuen, S.; Mahatheeranont, S.; Sookwong, P. Enhancing Functional Compounds in Sesame Oil through Acid-Soaking and Microwave-Heating of Sesame Seeds. Foods 2024, 13, 2891. [Google Scholar] [CrossRef]
- Lukacs, M.; Somogyi, T.; Mukite, B.; Vitális, F.; Kovacs, Z.; Rédey, Á.; Stefaniga, T.; Zsom, T.; Kiskó, G.; Zsom-Muha, V. Investigation of the Ultrasonic Treatment-Assisted Soaking Process of Different Red Kidney Beans and Compositional Analysis of the Soaking Water by NIR Spectroscopy. Sensors 2025, 25, 313. [Google Scholar] [CrossRef]
- Thonglit, W.; Suanjan, S.; Chupawa, P.; Inchuen, S.; Duangkhamchan, W. Enhanced Quick-Cooking Red Beans: An Energy-Efficient Drying Method with Hot Air and Stepwise Microwave Techniques. Foods 2024, 13, 763. [Google Scholar] [CrossRef]
- Amarowicz, R.; Pegg, R. Legumes as a source of natural antioxidants. Eur. J. Lipid Sci. Technol. 2008, 110, 865–878. [Google Scholar] [CrossRef]
- Nciri, N.; Cho, N.; Mhamdi, F.; Ismail, H.; Mansour, A.; Sassi, F.; Aissa-Fennira, F. Toxicity assessment of common beans (Phaseolus vulgaris L.) widely consumed by Tunisian population. J. Med. Food 2015, 18, 1049–1064. [Google Scholar] [CrossRef]
- Giuberti, G.; Tava, A.; Mennella, G.; Pecetti, L.; Masoero, F.; Sparvoli, F.; Lo Fiego, A.; Campion, B. Nutrients’ and antinutrients’ seed content in common bean (Phaseolus vulgaris L.) lines carrying mutations affecting seed composition. Agronomy 2019, 9, 317. [Google Scholar] [CrossRef]
- Slavin, M.; Kenworthy, W.; Yu, L. Antioxidant properties, phytochemical composition, and antiproliferative activity of Maryland-grown soybeans with colored seed coats. J. Agric. Food Chem. 2009, 57, 11174–11185. [Google Scholar] [CrossRef]
- Benzie, I.; Strain, J. The ferric reducing ability of plasma (FRAP) as a measure of ‘antioxidant power’: The FRAP assay. Anal. Biochem. 1996, 239, 70–76. [Google Scholar] [CrossRef]
- Brands-Williams, W.; Cuvelier, M.; Berset, C. Use of a free radical method to evaluate antioxidant activity. LWT-Food Sci. Technol. 1995, 28, 25–30. [Google Scholar] [CrossRef]
- Latta, M.; Eskin, M. A simple and rapid colorimetric method for phytate determination. J. Agric. Food Chem. 1980, 28, 1313–1315. [Google Scholar] [CrossRef]
- Makkar, H.; Blümmel, M.; Borowy, N.; Becker, K. Gravimetric determination of tannins and their correlations with chemical and protein precipitation methods. J. Sci. Food Agric. 1993, 61, 161–165. [Google Scholar] [CrossRef]
- Hiai, S.; Oura, H.; Odaka, Y.; Nakajima, T. A colorimetric estimation of ginseng saponins. Planta Med. 1975, 28, 363–369. [Google Scholar] [CrossRef]
- De Vos, R.; Moco, S.; Lommen, A.; Keurentjes, J.; Bino, R.; Hall, R. Untargeted large-scale plant metabolomics using liquid chromatography coupled to mass spectrometry. Nat. Protoc. 2007, 2, 778–791. [Google Scholar] [CrossRef]
- Zhang, X.; Zheng, F.; Zhao, C.; Li, Z.; Li, C.; Xia, Y.; Zheng, S.; Wang, X.; Sun, X.; Zhao, X.; et al. Novel method for comprehensive annotation of plant glycosides based on untargeted LC-HRMS/MS metabolomics. Anal. Chem. 2022, 94, 16604–16613. [Google Scholar] [CrossRef]
- Chambers, M.; Maclean, B.; Burke, R.; Amodei, D.; Ruderman, D.; Neumann, S.; Gatto, L.; Fischer, B.; Pratt, B.; Egertson, J.; et al. A cross-platform toolkit for mass spectrometry and proteomics. Nat. Biotechnol. 2012, 30, 918–920. [Google Scholar] [CrossRef]
- Tautenhahn, R.; Böttcher, C.; Neumann, S. Highly sensitive feature detection for high resolution LC/MS. BMC Bioinform. 2008, 9, 504. [Google Scholar] [CrossRef]
- Kuhl, C.; Tautenhahn, R.; Bottcher, C.; Larson, T.; Neumann, S. CAMERA: An integrated strategy for compound spectra extraction and annotation of liquid chromatography/mass spectrometry data sets. Anal. Chem. 2012, 84, 283–289. [Google Scholar] [CrossRef]
- Thévenot, E.; Roux, A.; Xu, Y.; Ezan, E.; Junot, C. Analysis of the human adult urinary metabolome variations with age, body mass index, and gender by implementing a comprehensive workflow for univariate and OPLS statistical analyses. J. Proteome Res. 2015, 14, 3322–3335. [Google Scholar] [CrossRef]
- Xia, J.; Wishart, D. Using MetaboAnalyst 3.0 for comprehensive metabolomics data analysis. Curr. Protoc. Bioinform. 2016, 55, 14.10.1–14.10.91. [Google Scholar] [CrossRef]
- Xia, J.; Sinelnikov, I.; Han, B.; Wishart, D. MetaboAnalyst 3.0—Making metabolomics more meaningful. Nucleic Acids Res. 2015, 43, W251–W257. [Google Scholar] [CrossRef]
- Patti, G.; Yanes, O.; Siuzdak, G. Innovation: Metabolomics: The apogee of the omics trilogy. Nat. Rev. Mol. Cell Biol. 2012, 13, 263–269. [Google Scholar] [CrossRef]
- Parsons, H.; Ludwig, C.; Günther, U.; Viant, M. Improved classification accuracy in 1- and 2-dimensional NMR metabolomics data using the variance stabilising generalised logarithm transformation. BMC Bioinform. 2007, 8, 234. [Google Scholar] [CrossRef]
- Zhao, Y.; Zhu, H.; Xu, J.; Zhuang, W.; Zheng, B.; Lo, Y.M.; Huang, Z.; Tian, Y. Microwave vacuum drying of lotus (Nelumbo nucifera Gaertn.) seeds: Effects of ultrasonic pretreatment on color, antioxidant activity, and rehydration capacity. LWT 2021, 149, 111603. [Google Scholar] [CrossRef]
- Chávez-Mendoza, C.; Hernández-Figueroa, K.; Sánchez, E. Antioxidant capacity and phytonutrient content in the seed coat and cotyledon of kidney beans (Phaseolus vulgaris L.) from various regions in Mexico. Antioxidants 2018, 8, 5. [Google Scholar] [CrossRef]
- Manikpuri, S.; Kheto, A.; Sehrawat, R.; Gul, K.; Routray, W.; Kumar, L. Microwave irradiation of guar seed flour: Effect on anti-nutritional factors, phytochemicals, in vitro protein digestibility, thermo-pasting, structural, and functional attributes. J. Food Sci. 2024, 89, 2188–2201. [Google Scholar] [CrossRef]
- Suhag, R.; Dhiman, A.; Deswal, G.; Thakur, D.; Sharanagat, V.; Kumar, K.; Kumar, V. Microwave processing: A way to reduce the anti-nutritional factors (ANFs) in food grains. LWT 2021, 150, 111960. [Google Scholar] [CrossRef]
- Wainaina, I.; Wafula, E.; Sila, D.; Kyomugasho, C.; Grauwet, T.; Van Loey, A.; Hendrickx, M. Thermal treatment of common beans (Phaseolus vulgaris L.): Factors determining cooking time and its consequences for sensory and nutritional quality. Compr. Rev. Food Sci. Food Saf. 2021, 20, 3690–3718. [Google Scholar] [CrossRef]
- Đurović, S.; Nikolić, B.; Luković, N.; Jovanović, J.; Stefanović, A.; Šekuljica, N.; Mijin, D.; Knežević-Jugović, Z. The impact of high-power ultrasound and microwave on the phenolic acid profile and antioxidant activity of the extract from yellow soybean seeds. Ind. Crops Prod. 2018, 122, 223–231. [Google Scholar] [CrossRef]
- Nagao, N.; Sakuma, Y.; Funakoshi, T.; Itani, T. Variation in antioxidant capacity of the seven azuki bean (Vigna angularis) varieties with different seed coat color. Plant Prod. Sci. 2023, 26, 164–173. [Google Scholar] [CrossRef]
- Jia, C.; Tang, L.; Huang, F.; Deng, Q.; Huang, Q.; Zheng, M.; Tang, H.; Yu, X.; Cheng, C. Effect of ultrasound or microwave-assisted germination on nutritional properties in flaxseed (Linum usitatissimum L.) with enhanced antioxidant activity. ACS Food Sci. Technol. 2021, 1, 1456–1463. [Google Scholar] [CrossRef]
- Ma, H.; Xu, X.; Wang, S.; Wang, J.; Peng, W. Effects of microwave irradiation on the expression of key flavonoid biosynthetic enzyme genes and the accumulation of flavonoid products in Fagopyrum tataricum sprouts. J. Cereal Sci. 2021, 101, 103275. [Google Scholar] [CrossRef]
- Xu, L.; Zhu, C.; Liu, T.; Karrar, E.; Ouyang, Y.; Li, D. Effect of microwave heating on lipid composition, chemical properties and antioxidant activity of oils from Trichosanthes kirilowii seed. Food Res. Int. 2022, 159, 111643. [Google Scholar] [CrossRef]
- Cho, K.; Ha, T.; Lee, Y.; Seo, W.; Kim, J.; Ryu, H.; Jeong, S.H.; Kang, Y.M.; Lee, J.H. Soluble phenolics and antioxidant properties of soybean (Glycine max L.) cultivars with varying seed coat colours. J. Funct. Foods 2013, 5, 1065–1076. [Google Scholar] [CrossRef]
- Hou, D.; Tang, J.; Feng, Q.; Niu, Z.; Shen, Q.; Wang, L.; Zhou, S. Gamma-aminobutyric acid (GABA): A comprehensive review of dietary sources, enrichment technologies, processing effects, health benefits, and its applications. Crit. Rev. Food Sci. Nutr. 2024, 64, 8852–8874. [Google Scholar] [CrossRef]
- Sawicka, A.; Renzi, G.; Olek, R. The bright and the dark sides of L-carnitine supplementation: A systematic review. J. Int. Soc. Sports Nutr. 2020, 17, 49. [Google Scholar] [CrossRef]
- Franco, R.; Reyes-Resina, I.; Navarro, G. Dopamine in health and disease: Much more than a neurotransmitter. Biomedicines 2021, 9, 109. [Google Scholar] [CrossRef]
- Zou, D.; Zhao, Z.; Li, L.; Min, Y.; Zhang, D.; Ji, A.; Jiang, C.; Wei, X.; Wu, X. A comprehensive review of spermidine: Safety, health effects, absorption and metabolism, food materials evaluation, physical and chemical processing, and bioprocessing. Compr. Rev. Food Sci. Food Saf. 2022, 21, 2820–2842. [Google Scholar] [CrossRef]
- Yaman, M. Determination and evaluation in terms of healthy nutrition of the pyridoxal, pyridoxine and pyridoxamine forms of vitamin B6 in animal-derived foods. Eur. J. Sci. Technol. 2019, 15, 611–617. [Google Scholar] [CrossRef]
- Sampedro, A.; Rodríguez-Granger, J.; Ceballos, J.; Aliaga, L. Pantothenic acid: An overview focused on medical aspects. Eur. Sci. J. 2015, 11, 21. [Google Scholar]
- Serezani, C.; Ballinger, M.; Aronoff, D.; Peters-Golden, M. Cyclic AMP: Master regulator of innate immune cell function. Am. J. Respir. Cell Mol. Biol. 2008, 39, 127–132. [Google Scholar] [CrossRef]
- Ghallab, D.; Ghareeb, D.; Goda, D. Integrative metabolomics and chemometrics depict the metabolic alterations of differently processed red kidney beans (Phaseolus vulgaris L.) and in relation to in-vitro anti-diabetic efficacy. Food Res. Int. 2024, 192, 114786. [Google Scholar] [CrossRef]
- Bento, J.; Ribeiro, P.; Silva, L.; Alves Filho, E.; Bassinello, P.; Brito, E.; Caliari, M.; Júnior, M.S.S. Chemical profile of colorful bean (Phaseolus vulgaris L.) flours: Changes influenced by the cooking method. Food Chem. 2021, 356, 129718. [Google Scholar] [CrossRef] [PubMed]
- Li, W.; Kim, E.; Lee, D.; Choi, Y.; Lee, J.; Lee, S.; Lee, G.A.; Yoo, E. Flower Color and Seed Coat Color as a Phenotypic Marker: Correlations with Fatty Acid Composition, Antioxidant Properties, and Metabolite Profiles in Safflower (Carthamus tinctorius L.). Int. J. Mol. Sci. 2025, 26, 3105. [Google Scholar] [CrossRef] [PubMed]
- Ahmed, I.; Özcan, M.; Uslu, N.; Karrar, E.; Aljuhaimi, F. The Effect of Water-and Ultrasonic Bath Systems on Bioactive Compounds and Fatty Acid Compositions of Unroasted and Roasted Pumpkin Seeds. Foods 2025, 14, 2740. [Google Scholar] [CrossRef] [PubMed]








| Total Metabolites | Up | Down | Total DE | |
|---|---|---|---|---|
| WCA/WRA (P) | 7374 | 3792 | 621 | 4413 |
| WCA/WRA (N) | 8842 | 3870 | 1176 | 5046 |
| YCB/YRB (P) | 7374 | 3555 | 986 | 4541 |
| YCB/YRB (N) | 8842 | 3443 | 1622 | 5065 |
| RCC/RRC (P) | 7374 | 3685 | 1201 | 4886 |
| RCC/RRC (N) | 8842 | 3667 | 1775 | 5442 |
| BCD/BRD (P) | 7374 | 3754 | 931 | 4685 |
| BCD/BRD (N) | 8842 | 3812 | 1232 | 5044 |
| Ionic Mode | Sample Groups | pre | R2X (cum) | R2Y (cum) | Q2 (cum) |
|---|---|---|---|---|---|
| Positive ion mode (POS) | WCA_vs_WRA | 1 + 1 + o | 0.696 | 1 | 0.997 |
| Negative ion mode (NEG) | WCA_vs_WRA | 1 + 1 + o | 0.672 | 1 | 0.997 |
| Positive ion mode (POS) | YCB_vs_YRB | 1 + 1 + o | 0.687 | 1 | 0.997 |
| Negative ion mode (NEG) | YCB_vs_YRB | 1 + 1 + o | 0.664 | 1 | 0.997 |
| Positive ion mode (POS) | RCC_vs_RRC | 1 + 1 + o | 0.734 | 1 | 0.998 |
| Negative ion mode (NEG) | RCC_vs_RRC | 1 + 1 + o | 0.72 | 1 | 0.998 |
| Positive ion mode (POS) | BCD_vs_BRD | 1 + 1 + o | 0.708 | 1 | 0.998 |
| Negative ion mode (NEG) | BCD_vs_BRD | 1 + 1 + o | 0.662 | 1 | 0.996 |
| Num | DEMs | Fold Change (FC) Values | |||
|---|---|---|---|---|---|
| WCA/WRA | YCB/YRB | RCC/RRC | BCD/BRD | ||
| 1 | Quercetin | 26.64 | 13.75 | 83.72 | 30.89 |
| 2 | Cyanidin | 2.69 | 38.82 | 106.38 | 5.4 |
| 3 | Luteolin | 51.46 | 142.74 | 94.42 | 106.92 |
| 4 | Gallic acid | 52.33 | 101.74 | 132.34 | 78.04 |
| 5 | Caffeate (Caffeic acid) | 4.65 | 5.71 | 4.63 | 5.13 |
| 6 | Protocatechuic acid | 29.64 | 19.67 | 37.66 | 18.03 |
| 7 | Glutathione (GSH) | 51.13 | 901.99 | 171.47 | 761.77 |
| 8 | Dopamine | 10.92 | 36.28 | 130.05 | 8.92 |
| 9 | Epinephrine | 14.72 | 22.96 | 89.83 | 23.1 |
| 10 | Norepinephrine | 4.73 | 5.66 | 26.63 | 13.66 |
| 11 | Hydroquinone | 52.82 | 72.38 | 156.37 | 44.56 |
| 12 | Ferulate (Ferulic acid) | 3.24 | 2.28 | 11.66 | 2.76 |
| 13 | Sinapic acid | - | - | 4.79 | 2.33 |
| 14 | 3,4-Dihydroxyphenylglycol | 1.7 | - | 4.89 | 4.11 |
| 15 | trans-2-Hydroxycinnamate | 11.89 | 10.34 | 25.41 | 9.62 |
| 16 | 4-Hydroxycinnamic acid | 83.88 | 73.35 | 193.53 | 43.15 |
| 17 | Uric acid | 19.44 | 14.93 | 46.51 | 26.41 |
| 18 | L-Dopa | 27 | 31.21 | 93.14 | 27.77 |
| 19 | Eriodictyol chalcone | - | 0.64 | 4.53 | 5.04 |
| 20 | Scopoletin | 13.9 | 5.28 | 26.79 | 6.86 |
| 21 | Syringin | 205.23 | 12.72 | 17.73 | 489.09 |
Disclaimer/Publisher’s Note: The statements, opinions and data contained in all publications are solely those of the individual author(s) and contributor(s) and not of MDPI and/or the editor(s). MDPI and/or the editor(s) disclaim responsibility for any injury to people or property resulting from any ideas, methods, instructions or products referred to in the content. |
© 2025 by the authors. Licensee MDPI, Basel, Switzerland. This article is an open access article distributed under the terms and conditions of the Creative Commons Attribution (CC BY) license (https://creativecommons.org/licenses/by/4.0/).
Share and Cite
Yu, S.; Zhang, Y.; Zhang, Y.; Zhang, C.; Liu, X.; Wang, Y.; Meng, F.; Yu, L. Water-Assisted Microwave Processing: Rapid Detoxification and Antioxidant Enhancement in Colored Kidney Beans. Foods 2025, 14, 3557. https://doi.org/10.3390/foods14203557
Yu S, Zhang Y, Zhang Y, Zhang C, Liu X, Wang Y, Meng F, Yu L. Water-Assisted Microwave Processing: Rapid Detoxification and Antioxidant Enhancement in Colored Kidney Beans. Foods. 2025; 14(20):3557. https://doi.org/10.3390/foods14203557
Chicago/Turabian StyleYu, Song, Yutao Zhang, Yifei Zhang, Chunyu Zhang, Xinran Liu, Yingjie Wang, Fandi Meng, and Lihe Yu. 2025. "Water-Assisted Microwave Processing: Rapid Detoxification and Antioxidant Enhancement in Colored Kidney Beans" Foods 14, no. 20: 3557. https://doi.org/10.3390/foods14203557
APA StyleYu, S., Zhang, Y., Zhang, Y., Zhang, C., Liu, X., Wang, Y., Meng, F., & Yu, L. (2025). Water-Assisted Microwave Processing: Rapid Detoxification and Antioxidant Enhancement in Colored Kidney Beans. Foods, 14(20), 3557. https://doi.org/10.3390/foods14203557
