Changes in Microbial Community Diversity and the Formation Mechanism of Flavor Metabolites in Industrial-Scale Spontaneous Fermentation of Cabernet Sauvignon Wines
Abstract
1. Introduction
2. Materials and Methods
2.1. Samples
2.2. Physicochemical Analysis
2.3. DNA Extraction and Metagenomic Sequencing
2.4. Metabolomics Analysis of UHPLC–MS/MS
2.5. Data Analysis
3. Results and Discussion
3.1. Dynamics of Physicochemical Factors During Fermentation
3.2. Structure and Composition of Microbial Community During Fermentation
3.3. KEGG Functional Classifications of Microbial Communities During Fermentation
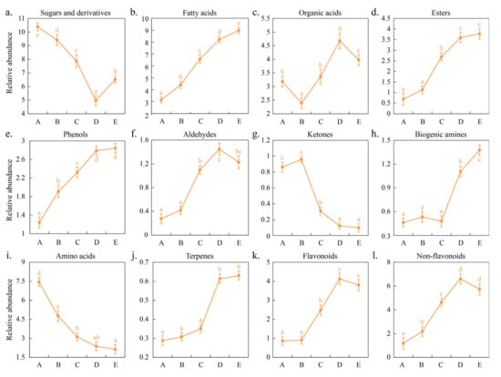
3.4. Evolution of Metabolic Profile During Spontaneous Fermentation
3.5. Potential Analysis of Key Flavor Compound Formation Mechanisms During Spontaneous Fermentation of Cabernet Sauvignon
4. Conclusions
Supplementary Materials
Author Contributions
Funding
Data Availability Statement
Conflicts of Interest
References
- Duley, G.; Ferretti, C.; Morozova, K.; Longo, E.; Imperiale, S.; Ding, Y.; Poggesi, S.; Scampicchio, M.; Boselli, E. How distinctive are ‘Gewürztraminer’ vineyard terroirs in South Tyrol for wine production? A metabolomics-based approach. J. Agric. Food Res. 2024, 18, 101298. [Google Scholar] [CrossRef]
- Liu, Q.; Zhao, X.; Jiang, Z.; Han, X.; Peng, S.; Wang, J. Co-evolutionary dynamics of microbial communities and flavor profiles during natural fermentation of Cabernet Sauvignon and Merlot: A comparative study within a single vineyard. Food Res. Int. 2024, 200, 115517. [Google Scholar] [CrossRef] [PubMed]
- Liu, D.; Legras, J.-L.; Zhang, P.; Chen, D.; Howell, K. Diversity and dynamics of fungi during spontaneous fermentations and association with unique aroma profiles in wine. Int. J. Food Microbiol. 2021, 338, 108983. [Google Scholar] [CrossRef] [PubMed]
- Wei, R.; Ding, Y.; Chen, N.; Wang, L.; Gao, F.; Zhang, L.; Song, R.; Liu, Y.; Li, H.; Wang, H. Diversity and dynamics of microbial communities during spontaneous fermentation of Cabernet Sauvignon (Vitis vinifera L.) from different regions of China and their relationship with the volatile components in the wine. Food Res. Int. 2022, 156, 111372. [Google Scholar] [CrossRef]
- Bagheri, B.; Bauer, F.F.; Cardinali, G.; Setati, M.E. Ecological interactions are a primary driver of population dynamics in wine yeast microbiota during fermentation. Sci. Rep. 2020, 10, 4911. [Google Scholar] [CrossRef]
- Lu, Y.; Sun, F.; Wang, W.; Liu, Y.; Wang, J.; Sun, J. Effects of spontaneous fermentation on the microorganisms diversity and volatile compounds during ‘Marselan’ from grape to wine. LWT-Food Sci. Technol. 2020, 134, 110193. [Google Scholar] [CrossRef]
- Li, R.; Lin, M.; Guo, S.; Yang, S.; Han, X.; Ren, M.; Song, Y.; Du, L.; You, Y.; Zhan, J.; et al. A fundamental landscape of fungal biogeographical patterns across the main Chinese wine-producing regions and the dominating shaping factors. Food Res. Int. 2021, 150 Pt A, 110736. [Google Scholar] [CrossRef]
- Wei, R.; Ding, Y.; Gao, F.; Zhang, L.; Wang, L.; Li, H.; Wang, H. Community succession of the grape epidermis microbes of cabernet sauvignon (Vitis vinifera L.) from different regions in China during fruit development. Int. J. Food Microbiol. 2022, 362, 109475. [Google Scholar] [CrossRef]
- Wei, R.; Wang, L.; Ding, Y.; Zhang, L.; Gao, F.; Chen, N.; Song, Y.; Li, H.; Wang, H. Natural and sustainable wine: A review. Crit. Rev. Food Sci. Nutr. 2023, 63, 8249–8260. [Google Scholar] [CrossRef]
- HanyAbdo, R.C.; MarioVentura, D.P.; HervéAlexandre, M.; Rousseaux, S. The establishment of a fungal consortium in a new winery. Sci. Rep. 2020, 10, 7962. [Google Scholar] [CrossRef]
- Welke, J.E. Fungal and mycotoxin problems in grape juice and wine industries. Curr. Opin. Food Sci. 2019, 29, 7–13. [Google Scholar] [CrossRef]
- Vyviurska, O.; Špánik, I. Assessment of Tokaj varietal wines with comprehensive two-dimensional gas chromatography coupled to high resolution mass spectrometry. Microchem. J. 2020, 152, 104385. [Google Scholar] [CrossRef]
- Magyar, I.; Soós, J. Botrytized wines—Current perspectives. Int. J. Wine Res. 2016, 8, 29–39. [Google Scholar] [CrossRef]
- Beltran, G.; Torija, M.J.; Novo, M.; Ferrer, N.; Poblet, M.; Guillamón, J.M.; Rozès, N.; Mas, A. Analysis of yeast populations during alcoholic fermentation: A six year follow-up study. Syst. Appl. Microbiol. 2002, 25, 287–293. [Google Scholar] [CrossRef]
- Zhao, C.; Su, W.; Mu, Y.; Jiang, L.; Mu, Y. Correlations between microbiota with physicochemical properties and volatile flavor components in black glutinous rice wine fermentation. Food Res. Int. 2020, 138, 109800. [Google Scholar] [CrossRef]
- Morata, A.; Bañuelos, M.A.; Vaquero, C.; Loira, I.; Cuerda, R.; Palomero, F.; González, C.; SuárezLepe, J.A.; Wang, J.; Han, S.; et al. Lachancea thermotolerans as a tool to improve pH in red wines from warm regions. Eur. Food Res. Technol. 2019, 245, 885–894. [Google Scholar] [CrossRef]
- Su, Y.; Heras, J.; Beltran, G.; Gamero, A.; Querol, A.; Guillamón, J. Impact of Nitrogen Addition on Wine Fermentation by S. cerevisiae Strains with Different Nitrogen Requirements. J. Agric. Food Chem. 2021, 69, 6022–6031. [Google Scholar] [CrossRef]
- Wei, R.; Chen, N.; Ding, Y.-t.; Wang, L.; Liu, Y.-h.; Gao, F.-f.; Zhang, L.; Li, H.; Wang, H. Correlations between microbiota with physicochemical properties and volatile compounds during the spontaneous fermentation of Cabernet Sauvignon (Vitis vinifera L.) wine. LWT 2022, 163, 113529. [Google Scholar] [CrossRef]
- Tristezza, M.; Tufariello, M.; Capozzi, V.; Spano, G.; Mita, G.; Grieco, F. The Oenological Potential of Hanseniaspora uvarum in Simultaneous and Sequential Co-fermentation with Saccharomyces cerevisiae for Industrial Wine Production. Front. Microbiol. 2016, 7, 670. [Google Scholar] [CrossRef]
- Osborne, J.P.; Edwards, C.G. Inhibition of malolactic fermentation by Saccharomyces during alcoholic fermentation under low- and high-nitrogen conditions: A study in synthetic media. Aust. J. Grape Wine Res. 2006, 12, 69–78. [Google Scholar] [CrossRef]
- Comitini, F.; Ferretti, R.; Clementi, F.; Mannazzu, I.; Ciani, M. Interactions between Saccharomyces cerevisiae and malolactic bacter. preliminary characterization of a yeast proteinaceous compound(s) active against Oenococcus oeni. J. Appl. Microbiol. 2005, 99, 105–111. [Google Scholar] [CrossRef] [PubMed]
- Guilloux-Benatier, M.; Remize, F.; Gal, L.; Guzzo, J.; Alexandre, H. Effects of yeast proteolytic activity on Oenococcus oeni and malolactic fermentation. FEMS Microbiol. Lett. 2006, 263, 183–188. [Google Scholar] [CrossRef]
- Zara, G.; Nardi, T. Yeast Metabolism and Its Exploitation in Emerging Winemaking Trends: From Sulfite Tolerance to Sulfite Reduction. Fermentation 2021, 7, 57. [Google Scholar] [CrossRef]
- Silva, G.A.R.d.; Oliveira, S.S.d.S.; Lima, S.F.; Nascimento, R.P.d.; Baptista, A.R.d.S.; Fiaux, S.B. The industrial versatility of Gluconobacter oxydans: Current applications and future perspectives. World J. Microbiol. Biotechnol. 2022, 38, 134. [Google Scholar] [CrossRef] [PubMed]
- Bettenfeld, P.; Canals, J.C.i.; Jacquens, L.; Fernandez, O.; Fontaine, F.; Schaik, E.v.; Courty, P.-E.; Trouvelot, S. The microbiota of the grapevine holobiont: A key component of plant health. J. Adv. Res. 2022, 40, 1–15. [Google Scholar] [CrossRef] [PubMed]
- Jones-Moore, H.R.; Jelley, R.E.; Marangon, M.; Fedrizzi, B. The polysaccharides of winemaking: From grape to wine. Trends Food Sci. Technol. 2021, 111, 731–740. [Google Scholar] [CrossRef]
- Liu, S.; Lou, Y.; Li, Y.; Zhao, Y.; Laaksonen, O.; Li, P.; Zhang, J.; Battino, M.; Yang, B.; Gu, Q. Aroma characteristics of volatile compounds brought by variations in microbes in winemaking. Food Chem. 2023, 420, 136075. [Google Scholar] [CrossRef]
- Tsegay, Z.T. Total titratable acidity and organic acids of wines produced from cactus pear (Opuntia-ficus-indica) fruit and Lantana camara (L. Camara) fruit blended fermentation process employed response surface optimization. Food Sci. Nutr. 2020, 8, 4449–4462. [Google Scholar] [CrossRef]
- Yu, W.; Wei, Y.; Long, F.; Zhao, S.; Xiao, Y.; Gao, H. Insights into the dynamic evolution of quality and sensory attributes in red aril wine during fermentation. LWT 2024, 203, 116382. [Google Scholar] [CrossRef]
- Tang, K.; Zhang, X.; Li, J.; Jiang, W.; Xu, Y. Dynamic changes of aroma during Vidal ice wine fermentation. Food Ferment. Ind. 2021, 47, 62–70. [Google Scholar] [CrossRef]
- Macoviciuc, S.; Niculaua, M.; Nechita, C.-B.; Cioroiu, B.-I.; Cotea, V.V. The Correlation between Amino Acids and Biogenic Amines in Wines without Added Sulfur Dioxide. Fermentation 2024, 10, 302. [Google Scholar] [CrossRef]
- Lorenzo, C.; Bordiga, M.; Pérez-Álvarez, E.P.; Travaglia, F.; Arlorio, M.; Salinas, M.R.; Coïsson, J.D.; Garde-Cerdán, T. The impacts of temperature, alcoholic degree and amino acids content on biogenic amines and their precursor amino acids content in red wine. Food Res. Int. 2017, 99, 328–335. [Google Scholar] [CrossRef] [PubMed]
- Belda, I.; Navascués, E.; Marquina, D.; Santos, A.; Calderón, F.; Benito, S. Outlining the influence of non-conventional yeasts in wine ageing over lees. Yeast 2016, 33, 329–338. [Google Scholar] [CrossRef] [PubMed]
- Martınez-Pinilla, O.; Guadalupe, Z.; Hernandez, Z.; Ayestaran, B. Amino acids and biogenic amines in red varietal wines: The role of grape variety, malolactic fermentation and vintage. Eur. Food Res. Technol. 2013, 237, 887–895. [Google Scholar] [CrossRef]
- Rodrıguez-Bencomo, J.J.; Mendez-Siverio, J.J.; Perez-Trujillo, J.P.; Cacho, J. Effect of skin contact on bound aroma and free volatiles of Listan blanco wine. Food Chem. 2008, 110, 214–225. [Google Scholar] [CrossRef]
- Wang, X.; Fan, G.; Peng, Y.; Xu, N.; Xie, Y.; Zhou, H.; Liang, H.; Zhan, J.; Huang, W.; You, Y. Mechanisms and effects of non-Saccharomyces yeast fermentation on the aromatic profile of wine. J. Food Compos. Anal. 2023, 124, 105660. [Google Scholar] [CrossRef]
- Qin, Y.; Xu, H.; Chen, Y.; Lei, J.; Sun, J.; Zhao, Y.; Lian, W.; Zhang, M. Metabolomics-Based Analyses of Dynamic Changes in Flavonoid Profiles in the Black Mulberry Winemaking Process. Foods 2023, 12, 2221. [Google Scholar] [CrossRef]
- Ozdal, T.; Capanoglu, E.; Altay, F. A review on protein–phenolic interactions and associated changes. Food Res. Int. 2013, 51, 954–970. [Google Scholar] [CrossRef]
- Radeka, S.; Orbanic, F.; Rossi, S.; Bestulic, E.; Horvat, I.; Peršurić, A.S.I.; Lukic, I.; Plavša, T.; Bubola, M.; Jeromel, A. Evaluating the Impact of Pre-Fermentative and Post-Fermentative Vinification Technologies on Bioactive Compounds and Antioxidant Activity of Teran Red Wine By-Products. Foods 2024, 13, 3493. [Google Scholar] [CrossRef]
- Jones-Moore, H.R.; Jelley, R.E.; Marangon, M.; Fedrizzi, B. The interactions of wine polysaccharides with aroma compounds, tannins, and proteins, and their importance to winemaking. Food Hydrocoll. 2022, 123, 107150. [Google Scholar] [CrossRef]
- Swiegers, J.H.; Bartowsky, E.J.; Henschke, P.A.; Pretorius, I.S. Yeast and bacterial modulation of wine aroma and flavour. Aust. J. Grape Wine Res. 2005, 11, 139–173. [Google Scholar] [CrossRef]
- Belda, I.; Ruiz, J.; Esteban-Fernández, A.; Navascués, E.; Marquina, D.; Santos, A.; Moreno-Arribas, M.V. Microbial Contribution to Wine Aroma and Its Intended Use for Wine Quality Improvement. Molecules 2017, 22, 189. [Google Scholar] [CrossRef] [PubMed]
- Waterhouse, A.L.; Sacks, G.L.; Jeffery, D.W. Glycolysis. In Understanding Wine Chemistry; John Wiley & Sons: Hoboken, NJ, USA, 2016; pp. 195–204. [Google Scholar] [CrossRef]
- Waterhouse, A.L.; Sacks, G.L.; Jeffery, D.W. Carbohydrates. In Understanding Wine Chemistry; John Wiley & Sons: Hoboken, NJ, USA, 2016; pp. 11–18. [Google Scholar] [CrossRef]
- Waterhouse, A.L.; Sacks, G.L.; Jeffery, D.W. Amino Acid Metabolism. In Understanding Wine Chemistry; John Wiley & Sons: Hoboken, NJ, USA, 2016; pp. 214–222. [Google Scholar] [CrossRef]
- Waterhouse, A.L.; Sacks, G.L.; Jeffery, D.W. Fatty Acid Metabolism. In Understanding Wine Chemistry; John Wiley & Sons: Hoboken, NJ, USA, 2016; pp. 205–213. [Google Scholar] [CrossRef]






Disclaimer/Publisher’s Note: The statements, opinions and data contained in all publications are solely those of the individual author(s) and contributor(s) and not of MDPI and/or the editor(s). MDPI and/or the editor(s) disclaim responsibility for any injury to people or property resulting from any ideas, methods, instructions or products referred to in the content. |
© 2025 by the authors. Licensee MDPI, Basel, Switzerland. This article is an open access article distributed under the terms and conditions of the Creative Commons Attribution (CC BY) license (https://creativecommons.org/licenses/by/4.0/).
Share and Cite
Bai, C.; Fan, B.; Hao, J.; Yao, Y.; Ran, S.; Wang, H.; Li, H.; Wei, R. Changes in Microbial Community Diversity and the Formation Mechanism of Flavor Metabolites in Industrial-Scale Spontaneous Fermentation of Cabernet Sauvignon Wines. Foods 2025, 14, 235. https://doi.org/10.3390/foods14020235
Bai C, Fan B, Hao J, Yao Y, Ran S, Wang H, Li H, Wei R. Changes in Microbial Community Diversity and the Formation Mechanism of Flavor Metabolites in Industrial-Scale Spontaneous Fermentation of Cabernet Sauvignon Wines. Foods. 2025; 14(2):235. https://doi.org/10.3390/foods14020235
Chicago/Turabian StyleBai, Chunyan, Boyuan Fan, Jinmei Hao, Yuan Yao, Shiming Ran, Hua Wang, Hua Li, and Ruteng Wei. 2025. "Changes in Microbial Community Diversity and the Formation Mechanism of Flavor Metabolites in Industrial-Scale Spontaneous Fermentation of Cabernet Sauvignon Wines" Foods 14, no. 2: 235. https://doi.org/10.3390/foods14020235
APA StyleBai, C., Fan, B., Hao, J., Yao, Y., Ran, S., Wang, H., Li, H., & Wei, R. (2025). Changes in Microbial Community Diversity and the Formation Mechanism of Flavor Metabolites in Industrial-Scale Spontaneous Fermentation of Cabernet Sauvignon Wines. Foods, 14(2), 235. https://doi.org/10.3390/foods14020235
