Valorization of Camel Milk Residue (CMR) into Hypoglycemic Peptides: An RSM-ANN Modeling Approach
Abstract
1. Introduction
2. Materials and Methods
2.1. Materials
2.2. Preparation of CMR Peptides
2.3. Screening and Design of Experiments for RSM Modeling
2.4. Ann Modeling
2.5. Peptide Content Analysis
2.6. Kjeldahl Nitrogen Determination
2.7. Integrated Bacterial Proportion Quantification
2.8. MW Distribution Analysis
2.9. Amino Acid Analysis
2.10. Purification of CMR
2.11. Determination of α-Amylase- and α-Glucosidase-Inhibitory Activities
2.12. Inhibition Stability of CMR
2.12.1. Impact of Ionic Strength on Stability of Various Fractions
2.12.2. Impact of pH on Stability of Various Fractions
2.12.3. Impact of Temperature on Stability of Various Fractions
2.12.4. Impact of Organic Solvents on Stability of Various Fractions
2.13. Peptide Characterization
2.14. Statistical Analysis
3. Results and Discussion
3.1. Comparative Modeling of CMR Production Using Response Surface Methodology and Artificial Neural Networks
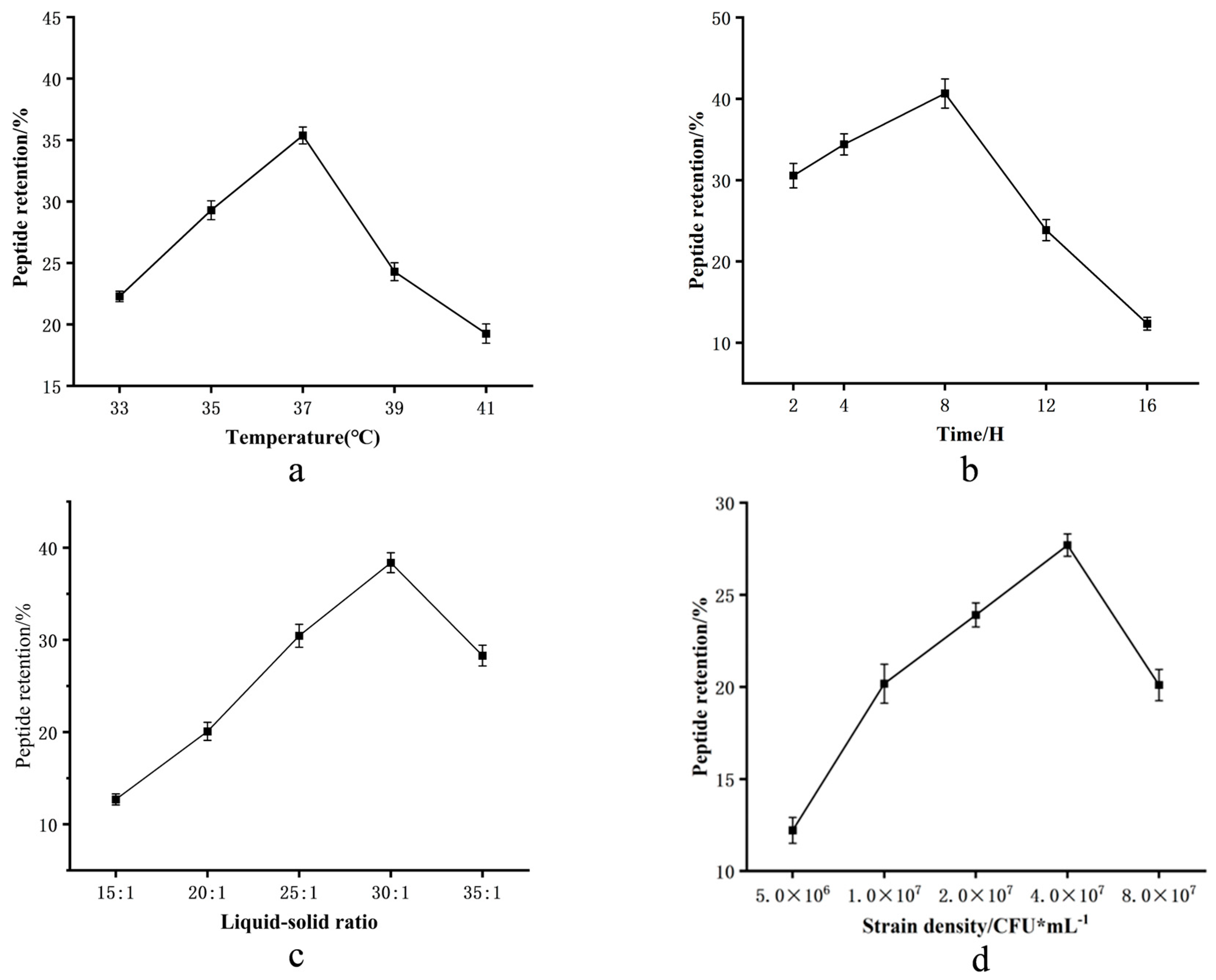
3.1.1. Screening of Dominant Strains and Determination of Their Optimal Proportions
3.1.2. Measurement of Protein Hydrolysis
3.1.3. Homogeneous Design for Strain Ratio Optimization
3.1.4. Results of RSM and Analysis of Variance
| Degree of Hydrolysis/% | ||
|---|---|---|
| Source | F-Value | p-Value |
| Model | 12.17 | <0.0001 ** |
| A-Fermentation time | 1.09 | 0.0314 * |
| B-Temperature | 2.14 | 0.0165 * |
| C-ratio | 0.0865 | 0.0077 * |
| D-Inoculum amount | 26.71 | <0.0001 ** |
| AB | 0.0154 | 0.0903 |
| AC | 0.9244 | 0.0093 * |
| AD | 0.0217 | 0.0088 * |
| BC | 0.1193 | 0.0735 |
| BD | 2.36 | 0.1468 |
| CD | 0.2164 | <0.0001 ** |
| A2 | 83.99 | <0.0001 ** |
| B2 | 78.15 | <0.0001 ** |
| C2 | 57.53 | <0.0001 ** |
| D2 | 26.09 | 0.0002 * |
| Lack of fit | 1.41 | 0.4161 ns |
| R2 | 0.9241 | |
| Adj.R2 | 0.9033 | |
| Pred.R2 | 0.8421 | |
| Adeq. Precision | 10.6988 | |
| C.V.% | 1.2911 | |
3.1.5. ANN Modeling and Comparison with RSM

3.1.6. Optimization and Validation
| CMR | Molecular Weight (%) | |||
|---|---|---|---|---|
| <1 KDa | 1–3 KDa | 3–10 KDa | >10 KDa | |
| 0 h | 6.42 | 4.08 | 40.26 | 51.07 |
| 8 h | 91.27 | 6.13 | 2.1 | 0.51 |
| 18 h | 92.21 | 5.84 | 1.6 | 0.36 |
3.1.7. Molecular Weight Distribution

3.1.8. Amino Acids Content
3.2. The α-Amylase and α-Glycosidase Inhibition Rate of Various Fractions
| Name/(mg/mL) | 0 h | 8 h | 18 h |
|---|---|---|---|
| Asp | 0.1735 | 0.1522 | 0.1356 |
| Glu | 0.1559 | 0.1799 | 0.1703 |
| Gly | 0.1141 | 0.0829 | 0.0854 |
| His | 0.0363 | 0.4042 | 0.3431 |
| Arg | 0.0542 | 0.0234 | 0.0147 |
| Thr * | 0.0573 | 0.0677 | 0.0626 |
| Ala # | 0.1520 | 0.2123 | 0.1876 |
| Pro # | 0.0670 | 0.1667 | 0.1743 |
| Tyr | 0.0423 | 0.0588 | 0.0356 |
| Val *# | 0.0970 | 0.1243 | 0.1277 |
| Met *# | 0.0472 | 0.1202 | 0.1034 |
| Cys | 0.0039 | 0.0694 | 0.0589 |
| Ile *# | 0.0336 | 0.0469 | 0.0415 |
| Leu *# | 0.0838 | 0.1207 | 0.1034 |
| Phe *# | 0.0332 | 0.0571 | 0.0329 |
| Lys * | 0.2043 | 0.2535 | 0.2459 |
| Total amino acids | 1.356 | 2.140 | 1.923 |
3.3. Inhibition Stability
3.3.1. Ionic Strength-Dependent Stability Profiling of Fractionated CMR
3.3.2. pH-Dependent Stability Profiling of Fractionated CMR
3.3.3. Temperature-Dependent Stability Profiling of Fractionated CMR

3.3.4. Organic Solvents-Dependent Stability Profiling of Fractionated CMR
3.4. Structural Characterization of Peptides
3.4.1. UV
3.4.2. FT-IR
4. Conclusions
Author Contributions
Funding
Data Availability Statement
Acknowledgments
Conflicts of Interest
References
- Custom Market Insights. [Latest] Global Camel Milk Products Market Size/Share Worth USD 34.90 Billion by 2034 at a 9.44% CAGR: Custom Market Insights (Analysis, Outlook, Leaders, Report, Trends, Forecast, Segmentation, Growth Rate, Value, SWOT Analysis). 2025. Available online: https://culturewiresomalia.com/article/833020474-latest-global-camel-milk-products-market-size-share-worth-usd-34-90-billion-by-2034-at-a-9-44-cagr-custom-market-insights-analysis-outlook (accessed on 7 August 2025).
- Jilo, K.; Tegegne, D. Chemical Composition and Medicinal Values of Camel Milk. Int. J. Res. Stud. Biosci. 2016, 4, 13–25. [Google Scholar] [CrossRef]
- Althnaibat, R.M.; Bruce, H.L.; Wu, J.; Gänzle, M.G. Bioactive peptides in hydrolysates of bovine and camel milk proteins: A review of studies on peptides that reduce blood pressure, improve glucose homeostasis, and inhibit pathogen adhesion. Food Res. Int. 2024, 175, 113748. [Google Scholar] [CrossRef]
- Alshuniaber, M.; Alhaj, O.; Abdallah, Q.; Jahrami, H. Effects of camel milk hydrolysate on blood pressure and biochemical parameters in fructose-induced hypertensive rats. Nutr. Food Sci. 2021, 52, 292–307. [Google Scholar] [CrossRef]
- Herrera-Lavados, C.; Tabilo-Munizaga, G.; Carvajal-Mena, N.; Jara-Quijada, E.; Martínez-Oyanedel, J.; Pérez-Won, M. Obtaining bioactive peptides by enhancing enzymatic hydrolysis of salmon by-product proteins through pulsed electric fields (PEF). Food Res. Int. 2025, 208, 116103. [Google Scholar] [CrossRef]
- Marzouk, M.A.; Elsayed, M.M.; Shehab, W.S.; Fawzy, S.M.; Mohammed, S.M.; Razek, M.A.A.; Khedr, G.E.; Elsayed, D.A. Dual α-amylase and α-glucosidase inhibition by 1,2,4-triazole derivatives for diabetes treatment. Sci. Rep. 2025, 15, 27172. [Google Scholar]
- He, M.; Liu, C.; Zhang, X.; Chen, X.; Olatunji, O.J.; Suttikhana, I.; Le, T.D.; Ashaolu, T.J. Insights into the physicochemical and functional characteristics of biologically active food-derived peptides. J. Funct. Foods 2025, 131, 106964. [Google Scholar] [CrossRef]
- Lv, M.; Liu, X.; Liu, R.; Aihaiti, A.; Hong, J.; Zheng, L.; Xing, J.; Cui, Y.; Wang, L. Analysis of the antioxidant efficacy substances in fermented black mulberry juice and their preventive effects on oxidative stress in C2C12 cells. Food Chem. 2025, 473, 142988. [Google Scholar] [CrossRef]
- Lv, M.; Liu, X.; Liu, R.; Aihaiti, A.; Hong, J.; Zheng, L.; Xing, J.; Cui, Y.; Wang, L. Untargeted metabolomics reveals flavor and metabolic changes in mixed Lactobacillus-fermented black mulberry juice. Food Chem. X 2025, 27, 102367. [Google Scholar] [CrossRef]
- Yang, J.; Hong, J.; Aihaiti, A.; Mu, Y.; Yin, X.; Zhang, M.; Liu, X.; Wang, L. Preparation of sea buckthorn (Hippophae rhamnoides L.) seed meal peptide by mixed fermentation and its effect on volatile compounds and hypoglycemia. Front. Nutr. 2024, 11, 1355116. [Google Scholar] [CrossRef]
- Zhao, Y.; Liu, R.; Mu, Y.; Lv, M.; Xing, J.; Zheng, L.; Aihaiti, A.; Wang, L. Study on the Mechanisms of Flavor Compound Changes During the Lactic Fermentation Process of Peach and Apricot Mixed Juice. Foods 2024, 13, 3835. [Google Scholar] [CrossRef]
- Ma, X.; Fan, X.; Wang, D.; Li, X.; Wang, X.; Yang, J.; Qiu, C.; Liu, X.; Pang, G.; Abra, R.; et al. Study on preparation of chickpea peptide and its effect on blood glucose. Front. Nutr. 2022, 9, 988628. [Google Scholar] [CrossRef]
- Karishma, S.; Deivayanai, V.C.; Thamarai, P.; Saravanan, A.; Vickram, A.S.; Ragini, Y.P. Mechanistic insights and ANN modeling of eriochrome black and basic orange dye adsorption using surface activated algal-manila tamarind seed biomass. Sustain. Chem. One World 2025, 7, 100084. [Google Scholar] [CrossRef]
- Xu, Q.; Gao, Y.; Yang, W.; Yan, J.; Geng, X.; Xiong, J. Optimisation of supramolecular solvent microextraction of multiple benzimidazole from freshwater fish using RSM and ANN-GA methodology based on the comprehensive score M evaluated by the entropy weight method. Food Chem. 2025, 489, 144999. [Google Scholar] [CrossRef] [PubMed]
- Zhang, P.; Xiao, D.; Liu, W.; Hu, J.; Li, X.; Wang, X.; Tang, C. In-situ one-step extraction of rhubarb anthraquinones using TBAB–polyol deep eutectic solvents: A green process optimized by a hybrid RSM–ANN–GA approach. LWT 2025, 224, 117839. [Google Scholar] [CrossRef]
- Shu, Z.; Wang, G.; Jing, Y.; Jiao, C.; Sun, L.; Huang, H.; Li, Y.; Zhang, J. Enhancement of Apostichopus japonicus peptide flavor through bacterial and enzyme co-fermentation (BECF) and the identification of novel antioxidant peptides in the fermented product. Food Chem. X 2025, 27, 102323. [Google Scholar] [CrossRef] [PubMed]
- Wang, Y.; Noman, A.; Zhang, C.; Al-Dalali, S.; Abed, S.M. Effects of ultrasound pretreatment on the enzymolysis of hybrid sturgeon (Huso dauricus × Acipenser schrenckii) protein and the structural, functional, and antioxidant properties of hydrolysates. LWT 2023, 188, 115421. [Google Scholar] [CrossRef]
- Zhao, Y.; Li, Z.; Yan, Y.; Wen, Y.; Ning, Y.; Li, Z.; Wang, H. Discriminant analysis of a mixture of pathogenic bacteria into different types and proportions by surface-enhanced Raman scattering spectroscopy combined with chemometric methods. Vib. Spectrosc. 2024, 132, 103692. [Google Scholar] [CrossRef]
- Mu, Y.; Maimaitiyiming, R.; Hong, J.; Wang, Y.; Zhao, Y.; Liu, R.; Wang, L.; Chen, K.; Aihaiti, A. Study on Fermentation Preparation, Stability, and Angiotensin-Converting Enzyme Inhibitory Activity of Tomato Pomace Peptide. Foods 2025, 14, 145. [Google Scholar] [CrossRef]
- Huang, Y.; Richardson, S.J.; Brennan, C.S.; Kasapis, S. Mechanistic insights into α-amylase inhibition, binding affinity and structural changes upon interaction with gallic acid. Food Hydrocoll. 2024, 148, 109467. [Google Scholar] [CrossRef]
- Chattopadhyay, K.; Xavier, K.A.M.; Porayil, L.; Balange, A.K.; Nayak, B.B. Effects of chitosan molecular weight on proteins and lipids interactions in fish mince emulsion sausages. Int. J. Biol. Macromol. 2025, 319, 145562. [Google Scholar] [CrossRef]
- Xu, K.; Chen, L.; Wu, C.; Wang, H.; Wu, F.; Pu, J.; Zhang, Y. From Logs to Bags: A Metabolic Blueprint of Sanghuang Cultivation Revealed by UPLC-Q-TOF-MS/MS and Amino Acid Profiling. Molecules 2025, 30, 2829. [Google Scholar] [CrossRef] [PubMed]
- Sun, J.; LaMei, X.; Ansi, W.A.; Fan, M.; Li, Y.; Qian, H.; Fan, L.; Wang, L. Metabolic profiling and amino acid evolution in fermented oats: Insights from UPLC-MS/MS and PLS-DA analysis. Food Biosci. 2025, 66, 106172. [Google Scholar] [CrossRef]
- Sadeghi, M.; Miroliaei, M.; Ghanadian, M.; Szumny, A.; Rahimmalek, M. Exploring the inhibitory properties between biflavonoids and α-glucosidase; computational and experimental approaches. Int. J. Biol. Macromol. 2023, 253, 127380. [Google Scholar] [CrossRef]
- Yarnpakdee, S.; Benjakul, S.; Kristinsson, H.G.; Kishimura, H. Antioxidant and sensory properties of protein hydrolysate derived from Nile tilapia (Oreochromis niloticus) by one- and two-step hydrolysis. J. Food Sci. Technol. 2015, 52, 3336–3349. [Google Scholar] [CrossRef] [PubMed][Green Version]
- Yang, L.; Lv, C.; Guo, X.; Liang, R. Donkey-Hide Gelatin Peptide-Iron Complexes: Structural Characterization, Enhanced Iron Solubility Under Simulated Digestion, and Dual Iron Chelation-Antioxidant Functions. Foods 2025, 14, 2117. [Google Scholar] [CrossRef]
- Li, H.; Yu, M.; He, J.; Wu, M.; Li, Y.; Luo, M.; Wang, K.; Li, Y.; Zhu, Y.; Li, Q.; et al. Improving Performance and Stability of Solution-Processed Organic Poly-gridofluorene Light-Emitting Diodes via Deuterated Solvents. J. Phys. Chem. Lett. 2025, 16, 5636–5643. [Google Scholar] [CrossRef]
- Paprocki, M.; Sørensen, K.K.; Jensen, K.J. pH Controlled transient cyclization of peptides for increased stability towards oral delivery. Chem. Eur. J. 2024, 31, e202403503. [Google Scholar] [CrossRef]
- Gammoudi, N.; Mabrouk, M.; Bouhemda, T.; Nagaz, K.; Ferchichi, A. Modeling and optimization of capsaicin extraction from Capsicum annuum L. using response surface methodology (RSM), artificial neural network (ANN), and Simulink simulation. Ind. Crops Prod. 2021, 171, 113869. [Google Scholar] [CrossRef]
- Guan, T.; Yin, X.; Jiang, Y.; Li, Y.; Rao, Y.; Shao, J.; Liu, Y.; Tian, L.; Mao, Y.; Wang, X. Study on the preparation of compound mold enhanced Xiaoqu and its effect on the yield and flavor of Qingxiangxing baijiu. Food Chem. X 2025, 29, 102721. [Google Scholar] [CrossRef]
- Liu, X.; Lv, M.; Maimaitiyiming, R.; Chen, K.; Tuerhong, N.; Yang, J.; Aihaiti, A.; Wang, L. Development of fermented sea buckthorn (Hippophae rhamnoides L.) juice and investigation of its antioxidant and antimicrobial activity. Front. Nutr. 2023, 10, 1120748. [Google Scholar] [CrossRef]
- Hou, D.; Feng, Q.; Niu, Z.; Wang, L.; Yan, Z.; Zhou, S. Promising mung bean proteins and peptides: A comprehensive review of preparation technologies, biological activities, and their potential applications. Food Biosci. 2023, 55, 102972. [Google Scholar] [CrossRef]
- Rong, Y.; Yu, X.; Hong, K. Synergistic Effect Enhances Aromatic Profile in Beer Brewing Through Mixed-Culture Fermentation of Pichia kluyveri and Saccharomyces cerevisiae var. diastaticus. Fermentation 2025, 11, 148. [Google Scholar] [CrossRef]
- Zhao, L.; Gao, P.; Zhang, Y.; Wang, X.; Yue, C.; Bai, C.; Wu, W.; Zhang, Y.; Zhao, Z. Measurement of degree of hydrolysis and molecular weight distribution of protein hydrolysates by liquid chromatography-mass spectrometry. Talanta 2024, 268, 125347. [Google Scholar] [CrossRef]
- Zheng, K.; Wu, Y.; Dai, Q.; Yan, X.; Liu, Y.; Sun, D.; Yu, Z.; Jiang, S.; Ma, Q.; Jiang, W. Extraction, identification, and molecular mechanisms of α-glucosidase inhibitory peptides from defatted Antarctic krill (Euphausia superba) powder hydrolysates. Int. J. Biol. Macromol. 2024, 266, 131126. [Google Scholar] [CrossRef]
- Goyal, N.; Hajare, S.N.; Gautam, S. Release of an encrypted, highly potent ACE-inhibitory peptide by enzymatic hydrolysis of moth bean (Vigna aconitifolia) protein. Front. Nutr. 2023, 10, 1167259. [Google Scholar] [CrossRef]
- Ye, G.; Wu, T.; Li, Z.; Teng, M.; Ma, L.; Qin, M.; Zhao, P.; Fu, Q. Preparation and characterization of novel composite nanoparticles using zein and hyaluronic acid for efficient delivery of naringenin. Food Chem. 2023, 417, 135890. [Google Scholar] [CrossRef]
- Chen, J.; Lin, C.; Yang, L.; Liu, Y.; Su, G.; Zhang, Y.; Liu, W.; Zhao, M.; Zhao, X.; Huang, L.; et al. Influence of catechin-PAYCS interactions on gastrointestinal structural and bioactivity stability: Key mechanisms in digestive enzymes inhibition. Food Chem. 2025, 490, 145132. [Google Scholar] [CrossRef] [PubMed]
- Chen, X.; Wu, Y.C.; Gong, P.X.; Li, H.J. Co-assembly of foxtail millet prolamin-lecithin/alginate sodium in citric acid–potassium phosphate buffer for delivery of quercetin. Food Chem. 2022, 381, 132268. [Google Scholar] [CrossRef] [PubMed]
- Gong, Y.; Feng, M.; Sun, J. Effect of different thermal processing methods and thermal core temperatures on the protein structure and in vitro digestive characteristics of beef. Food Chem. 2025, 464, 141751. [Google Scholar] [CrossRef] [PubMed]
- Wang, K.; Luo, Q.; Hong, H.; Liu, H.; Luo, Y. Novel antioxidant and ACE inhibitory peptide identified from Arthrospira platensis protein and stability against thermal/pH treatments and simulated gastrointestinal digestion. Food Res. Int. 2021, 139, 109908. [Google Scholar] [CrossRef]
- Song, N.; Yao, H.; Ma, T.; Wang, T.; Shi, K.; Tian, Y.; Zhang, B.; Zhu, S.; Zhang, Y.; Guan, S. Decreasing the dielectric constant and water uptake by introducing hydrophobic cross-linked networks into co-polyimide films. Appl. Surf. Sci. 2019, 480, 990–997. [Google Scholar] [CrossRef]
- Zhang, Q.; Yuan, L.; Kong, Y.; Xiong, Z.; Bao, Y.; Gao, R. Changes in texture, flavor, and protein digestion of low-salt chickpea surimi composite gel: Based on Kanto cooking model and peptidomics. Food Chem. X 2025, 29, 102756. [Google Scholar] [CrossRef]
- Ducrocq, M.; Morel, M.H.; Anton, M.; Micard, V.; Guyot, S.; Beaumal, V.; Solé-Jamault, V.; Boire, A. Biochemical and physical–chemical characterisation of leaf proteins extracted from Cichorium endivia leaves. Food Chem. 2022, 381, 132254. [Google Scholar] [CrossRef]
- Zhang, R.; Ye, S.; Guo, Y.; Wu, M.; Jiang, S.; He, J. Studies on the interaction between homological proteins and anthocyanins from purple sweet potato (PSP): Structural characterization, binding mechanism and stability. Food Chem. 2023, 400, 134050. [Google Scholar] [CrossRef]
- Gielnik, M.; Szymanska, A.; Dong, X.; Jarvet, J.; Svedruzic, Z.M.; Graslund, A.; Kozak, M.; Warmlander, S.K. Prion Protein Octarepeat Domain Forms Transient β-Sheet Structures upon Residue-Specific Binding to Cu(II) and Zn(II) Ions. Biochemistry 2023, 62, 1689–1705. [Google Scholar] [CrossRef]







| No. | L. casei X1 (%) | L. fermentum X2 (%) | L. thermophilus X3 (%) | L. paracasei X4 (%) |
|---|---|---|---|---|
| 1 | 15 | 17 | 20 | 29 |
| 2 | 16 | 18 | 21 | 30 |
| 3 | 17 | 19 | 22 | 31 |
| 4 | 18 | 20 | 23 | 32 |
| 5 | 19 | 21 | 24 | 33 |
| 6 | 20 | 22 | 25 | 34 |
| 7 | 21 | 23 | 26 | 35 |
| 8 | 22 | 24 | 27 | 36 |
| 9 | 23 | 25 | 28 | 37 |
| 10 | 24 | 26 | 29 | 38 |
| Parameters | RSM | ANN |
|---|---|---|
| R2 | 0.9241 | 0.9469 |
| RMSE | 5.582 | 5.676 |
| AAD(%) | 2.027 | 1.996 |
Disclaimer/Publisher’s Note: The statements, opinions and data contained in all publications are solely those of the individual author(s) and contributor(s) and not of MDPI and/or the editor(s). MDPI and/or the editor(s) disclaim responsibility for any injury to people or property resulting from any ideas, methods, instructions or products referred to in the content. |
© 2025 by the authors. Licensee MDPI, Basel, Switzerland. This article is an open access article distributed under the terms and conditions of the Creative Commons Attribution (CC BY) license (https://creativecommons.org/licenses/by/4.0/).
Share and Cite
He, H.; Cai, Y.; Ren, Y.; Han, S.; Wang, L.; Yin, X.; Ablat, A.; Yili, A.; Wali, A.; Aisa, H. Valorization of Camel Milk Residue (CMR) into Hypoglycemic Peptides: An RSM-ANN Modeling Approach. Foods 2025, 14, 3086. https://doi.org/10.3390/foods14173086
He H, Cai Y, Ren Y, Han S, Wang L, Yin X, Ablat A, Yili A, Wali A, Aisa H. Valorization of Camel Milk Residue (CMR) into Hypoglycemic Peptides: An RSM-ANN Modeling Approach. Foods. 2025; 14(17):3086. https://doi.org/10.3390/foods14173086
Chicago/Turabian StyleHe, Han, Yubin Cai, Yingying Ren, Shuyan Han, Liang Wang, Xuefeng Yin, Ayzohra Ablat, Abulimiti Yili, Ahmidin Wali, and HajiAkber Aisa. 2025. "Valorization of Camel Milk Residue (CMR) into Hypoglycemic Peptides: An RSM-ANN Modeling Approach" Foods 14, no. 17: 3086. https://doi.org/10.3390/foods14173086
APA StyleHe, H., Cai, Y., Ren, Y., Han, S., Wang, L., Yin, X., Ablat, A., Yili, A., Wali, A., & Aisa, H. (2025). Valorization of Camel Milk Residue (CMR) into Hypoglycemic Peptides: An RSM-ANN Modeling Approach. Foods, 14(17), 3086. https://doi.org/10.3390/foods14173086

