Structural, Physicochemical, and Functional Properties of Waxy and Non-Waxy Foxtail Millet Starches
Abstract
1. Introduction
2. Materials and Methods
2.1. Materials
2.2. Proximate Composition
2.3. Amylose Content (AC)
2.4. Molecular Weight (Mw)
2.5. Granule Structure
2.6. Relative Crystallinity
2.7. Short-Range Molecular Order
2.8. Water Solubility (Sw) and Swelling Power (Sp)
2.9. Thermal Properties
2.10. Pasting Properties
2.11. Rheological Properties
2.11.1. Steady Shear Test
2.11.2. Steady Recovery Test
2.12. In Vitro Digestibility
2.13. Statistical Analysis
3. Results and Discussion
3.1. Proximate Composition
3.2. Amylose Content (AC) and Molecular Weight (Mw)
3.3. Granule Structure
3.4. X-Ray Diffraction (XRD)
3.5. Short-Range Molecular Order
3.6. Water Solubility (Sw) and Swelling Power (Sp)
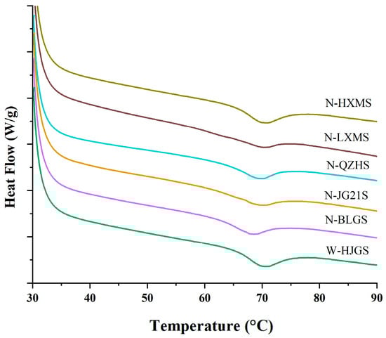
3.7. Thermal Properties
3.8. Pasting Properties
3.9. Rheological Properties
3.10. In Vitro Starch Digestibility
4. Conclusions
Supplementary Materials
Author Contributions
Funding
Institutional Review Board Statement
Informed Consent Statement
Data Availability Statement
Conflicts of Interest
References
- Yang, L.; Wang, Y.; Li, P.; Weng, J.; Zhao, W.; Jia, Y.; Liu, J. Effect of wet ball milling on nutritional quality and physicochemical properties of non-waxy and waxy foxtail millet. Food Chem. 2025, 486, 144554. [Google Scholar] [CrossRef] [PubMed]
- Dey, A.; Dutta, D.; Singh, A.; Sit, N. Physicochemical and functional properties of starches isolated from different millets. Meas. Food 2024, 15, 100188. [Google Scholar] [CrossRef]
- Pan, X.; Liu, C.; Zhang, S.; Ma, R.; Tian, Y. Starches from different botanical sources for cell scaffolds and optimization of 3D printing bio-ink composition. Int. J. Biol. Macromol. 2025, 320, 146049. [Google Scholar] [CrossRef]
- Xing, B.; Yang, X.S.; Zou, L.; Liu, J.K.; Liang, Y.Q.; Li, M.Z.; Zhang, Z.; Wang, N.; Ren, G.X.; Zhang, L.Z.; et al. Starch chain-length distributions determine cooked foxtail millet texture and starch physicochemical properties. Carbohyd. Polym. 2023, 320, 121240. [Google Scholar] [CrossRef]
- Singh, N.; Singh, J.; Sodhi, N.S. Morphological, thermal, rheological and noodle-making properties of potato and corn starch. J. Sci. Food Agric. 2002, 82, 1376–1383. [Google Scholar] [CrossRef]
- Gebre, B.A.; Xu, Z.K.; Ma, M.T.; Lakew, B.; Sui, Z.Q.; Corke, H. Relationships among structure, physicochemical properties and in vitro digestibility of starches from ethiopian food barley varieties. Foods 2024, 13, 1198. [Google Scholar] [CrossRef]
- Jiang, F.; Du, C.W.; Guo, Y.; Fu, J.Y.; Jiang, W.Q.; Du, S.K. Physicochemical and structural properties of starches isolated from quinoa varieties. Food Hydrocoll. 2020, 101, 105515. [Google Scholar] [CrossRef]
- Zhang, X.Y.; Shen, Q.; Yang, Y.; Zhang, F.; Wang, C.; Liu, Z.Y.; Zhao, Q.Y.; Wang, X.R.; Diao, X.M.; Cheng, R.H. Structural, functional and mechanistic insights uncover the role of starch in foxtail millet cultivars with different congee-making quality. Int. J. Biol. Macromol. 2023, 242, 125107. [Google Scholar] [CrossRef]
- Chang, L.; Dang, Y.Y.; Yang, M.; Liu, Y.J.; Ma, J.; Liang, J.B.; Li, R.; Zhang, R.; Du, S.K. Effects of Lactobacillus plantarum fermentation on the structure, physicochemical properties, and digestibility of foxtail millet starches. Int. J. Biol. Macromol. 2024, 270, 132496. [Google Scholar] [CrossRef]
- Wang, H.; Fu, Y.X.; Zhao, Q.Y.; Liu, Z.Y.; Wang, C.; Xue, Y.; Shen, Q. Effects of heat-treated starch and protein from foxtail millet (Setaria italica) on type 2 diabetic mice. Food Chem. 2022, 404, 134735. [Google Scholar] [CrossRef]
- Babu, C.S.; Mohan, R.J.; Parimalavalli, R. Effect of single and dual-modifications on stability and structural characteristics of foxtail millet starch. Food Chem. 2019, 271, 457–465. [Google Scholar] [CrossRef]
- Zhang, Y.J.; Zhu, K.X.; He, S.Z.; Tan, L.H.; Kong, X.Q. Characterizations of high purity starches isolated from five different jackfruit cultivars. Food Hydrocoll. 2016, 52, 785–794. [Google Scholar] [CrossRef]
- Vamadevan, V.; Bertoft, E. Observations on the impact of amylopectin and amylose structure on the swelling of starch granules. Food Hydrocoll. 2020, 103, 105663. [Google Scholar] [CrossRef]
- Zhong, Y.Y.; Qu, J.Z.; Li, Z.H.; Tian, Y.; Zhu, F.; Blennow, A.; Liu, X.X. Rice starch multi-level structure and functional relationships. Carbohyd. Polym. 2022, 275, 118777. [Google Scholar] [CrossRef] [PubMed]
- Liang, W.X.; Ding, L.; Guo, K.; Liu, Y.; Wen, X.X.; Kirkensgaard, J.J.K.; Khakimov, B.; Enemark-Rasmussen, K.; Hebelstrup, K.H.; Herburger, K.; et al. The relationship between starch structure and digestibility by time-course digestion of amylopectin-only and amylose-only barley starches. Food Hydrocoll. 2023, 139, 108491. [Google Scholar] [CrossRef]
- Ji, Y.; Seetharaman, K.; White, P.J. Optimizing a small-scale corn-starch extraction method for use in the laboratory. Cereal Chem. 2004, 81, 55–58. [Google Scholar] [CrossRef]
- AOAC. Official Methods of Analysis of AOAC International, 18th ed.; AOAC International: Rockville, MA, USA, 2005; pp. 90022–90025. [Google Scholar]
- AACC. AACC Method 61-03.01, Amylose Content of Milled Rice; AACC International: St. Paul, MN, USA, 1999. [Google Scholar]
- You, S.Y.; Lim, S.T.; Lee, J.H.; Chung, H.J. Impact of molecular and crystalline structures on in vitro digestibility of waxy rice starches. Carbohyd. Polym. 2014, 112, 729–735. [Google Scholar] [CrossRef]
- Zhang, X.Y.; Wu, Z.Q.; Liu, X.X.; Wang, Y.H.; Huang, W.Y.; Ma, M.T.; Sui, Z.Q.; Corke, H. Removal of internal lipids enhances the effect of proanthocyanidins on maize starch retrogradation. Int. J. Biol. Macromol. 2024, 283, 137025. [Google Scholar] [CrossRef]
- Soler, A.; Valenzuela-Díaz, E.D.; Velazquez, G.; Huerta-Ruelas, J.A.; Morales-Sanchez, E.; Hernandez-Gama, R.; Mendez-Montealvo, G. Double helical order and functional properties of acid-hydrolyzed maize starches with different amylose content. Carbohydr. Res. 2020, 490, 107956. [Google Scholar] [CrossRef]
- Du, S.K.; Jiang, H.X.; Ai, Y.F.; Jane, J.L. Physicochemical properties and digestibility of common bean (Phaseolus vulgaris L.) starches. Carbohyd. Polym. 2014, 108, 200–205. [Google Scholar] [CrossRef] [PubMed]
- Zhao, Y.B.; Li, Y.X.; Liu, Q.; Chen, Q.; Sun, F.D.; Kong, B.H. Investigating the rheological properties and 3D printability of tomato-starch paste with different levels of xanthan gum. Int. J. Biol. Macromol. 2024, 257, 128430. [Google Scholar] [CrossRef]
- Achayuthakan, P.; Suphantharika, M. Pasting and rheological properties of waxy corn starch as affected by guar gum and xanthan gum. Carbohyd. Polym. 2008, 71, 9–17. [Google Scholar] [CrossRef]
- Choi, H.W.; Kim, H.S. Hydroxypropylation and acetylation of rice starch: Effects of starch protein content. Food Sci. Biotechnol. 2022, 31, 1169–1177. [Google Scholar] [CrossRef]
- Castro-Campos, F.G.; Esquivel-Fajardo, E.A.; Morales-Sánchez, E.; Rodríguez-García, M.E.; Barron-Garcia, O.Y.; Ramirez-Gutierrez, C.F.; Loarca-Piña, G.; Gaytán-Martínez, M. Resistant Starch Type 5 Formation by High Amylopectin Starch–Lipid Interaction. Foods 2024, 13, 3888. [Google Scholar] [CrossRef]
- Yang, Q.H.; Zhang, W.L.; Li, J.; Gong, X.W.; Feng, B.L. Physicochemical properties of starches in proso (Non-waxy and waxy) and foxtail millets (Non-waxy and waxy). Molecules 2019, 24, 1743. [Google Scholar] [CrossRef]
- Chang, L.; Zhao, N.; Jiang, F.; Ji, X.H.; Feng, B.L.; Liang, J.B.; Yu, X.Z.; Du, S.K. Structure, physicochemical, functional and digestibility properties of non-waxy and waxy proso millet starches. Int. J. Biol. Macromol. 2023, 224, 594–603. [Google Scholar] [CrossRef] [PubMed]
- Surendra Babu, A.; Ayofemi Olalekan, A.S.; Hegde, S.V.; Jaganmohan, R. Lorenzo, J.M., Bangar, S.P., Eds.; Chapter 8—Foxtail millet starch: Structure, functionality, and applications. In Non-Conventional Starch Sources; Academic Press: Cambridge, MA, USA, 2024; pp. 225–251. [Google Scholar]
- Hu, W.X.; Liao, L.S.; Shi, L.; Su, Q.R.; Fu, J.Y.; Yu, X.Z.; Du, S.K. Oxidation and carboxymethylation of starch nanocrystals: Crystalline structure, dispersibility, dispersion stability, and protein loading efficiency study. Int. J. Biol. Macromol. 2025, 304, 140845. [Google Scholar] [CrossRef] [PubMed]
- Hu, X.T.; Huang, Z.H.; Zeng, Z.L.; Deng, C.; Luo, S.J.; Liu, C.M. Improving resistance of crystallized starch by narrowing molecular weight distribution. Food Hydrocoll. 2020, 103, 105641. [Google Scholar] [CrossRef]
- Sun, X.X.; Sun, Z.Z.; Saleh, A.S.M.; Zhao, K.; Ge, X.Z.; Shen, H.S.; Zhang, Q.; Yuan, L.; Yu, X.Z.; Li, W.H. Understanding the granule, growth ring, blocklets, crystalline and molecular structure of normal and waxy wheat A- and B- starch granules. Food Hydrocoll. 2021, 121, 107034. [Google Scholar] [CrossRef]
- Qi, Y.Y.; Wang, N.; Yu, J.L.; Wang, S.; Wang, S.J.; Copeland, L. Insights into structure-function relationships of starch from foxtail millet cultivars grown in China. Int. J. Biol. Macromol. 2020, 155, 1176–1183. [Google Scholar] [CrossRef]
- Ye, F.Y.; Li, J.F.; Zhao, G.H. Physicochemical properties of different-sized fractions of sweet potato starch and their contributions to the quality of sweet potato starch. Food Hydrocoll. 2020, 108, 106023. [Google Scholar] [CrossRef]
- Bangar, S.P.; Ashogbon, A.O.; Dhull, S.B.; Thirumdas, R.; Kumar, M.; Hasan, M.; Chaudhary, V.; Pathem, S. Proso-millet starch: Properties, functionality, and applications. Int. J. Biol. Macromol. 2021, 190, 960–968. [Google Scholar] [CrossRef] [PubMed]
- Mahajan, P.; Bera, M.B.; Panesar, P.S.; Chauhan, a. millet starch: A review. Int. J. Biol. Macromol. 2021, 180, 61–79. [Google Scholar] [CrossRef]
- Dhital, S.; Warren, F.J.; Butterworth, P.J.; Ellis, P.R.; Gidley, M.J. Mechanisms of starch digestion by α-amylase-structural basis for kinetic properties. Crit. Rev. Food Sci. 2017, 57, 875–892. [Google Scholar] [CrossRef] [PubMed]
- Mondal, D.; Awana, M.; Aggarwal, S.; Das, D.; Thomas, B.; Singh, S.P.; Satyavathi, T.; Sundaram, R.M.; Anand, A.; Singh, A.; et al. Microstructure, matrix interactions, and molecular structure are the key determinants of inherent glycemic potential in pearl millet (Pennisetum glaucum). Food Hydrocoll. 2022, 127, 107481. [Google Scholar] [CrossRef]
- Rodriguez-Garcia, M.E.; Delgado, J.M.; Ramirez-Gutierrez, C.F.; Ramirez-Cardona, M.; Millan-Malo, B.M.; Londoño-Restrepo, S.M. Crystalline structures of the main components of starch. Curr. Opin. Food Sci. 2021, 37, 107–111. [Google Scholar] [CrossRef]
- Govindaraju, I.; Zhuo, G.Y.; Chakraborty, I.; Melanthota, S.K.; Mal, S.S.; Sarmah, B.; Baruah, V.J.; Mahato, K.K.; Mazumder, N. Investigation of structural and physico-chemical properties of rice starch with varied amylose content: A combined microscopy, spectroscopy, and thermal study. Food Hydrocoll. 2022, 122, 107093. [Google Scholar] [CrossRef]
- Romero-García, M.; Cabrera-Ramírez, A.H.; Villamiel, M.; Morales-Sánchez, E.; Mendoza, S.; Rodríguez-García, M.E.; Gaytán-Martínez, M. Impact of extrusion cycles on the multi-scale structure, physicochemical properties, and functional behavior of high amylose starch. Int. J. Biol. Macromol. 2025, 315, 144338. [Google Scholar] [CrossRef]
- Warren, F.; Gidley, M.; Flanagan, B. Infrared spectroscopy as a tool to characterise starch ordered structure—A joint FTIR–ATR, NMR, XRD and DSC study. Carbohyd. Polym. 2016, 139, 35–42. [Google Scholar] [CrossRef] [PubMed]
- Bello-Pérez, L.A.; Ottenhof, M.A.; Agama-Acevedo, E.; Farhat, I.A. Effect of storage time on the retrogradation of banana starch extrudate. J. Agric. Food Chem. 2005, 53, 1081–1086. [Google Scholar] [CrossRef]
- Rubens, P.; Snauwaert, J.; Heremans, K.; Stute, R. In situ observation of pressure-induced gelation of starches studied with FTIR in the diamond anvil cell. Carbohyd. Polym. 1999, 39, 231–235. [Google Scholar] [CrossRef]
- Punia, S.; Kumar, M.; Siroha, K.; Kennedy, J.F.; Dhull, S.B.; Whiteside, W.S. Pearl millet grain as an emerging source of starch: A review on its structure, physicochemical properties, functionalization, and industrial applications. Carbohyd. Polym. 2021, 260, 117776. [Google Scholar] [CrossRef] [PubMed]
- Tood, H.; Chen, C.J.; Zhu, F. Relationship between physicochemical properties and molecular structure of barley starch with different size distributions. Food Chem. 2025, 145796, in press. [Google Scholar]
- Chang, Q.; Zheng, B.D.; Zhang, Y.; Zeng, H.L. A comprehensive review of the factors influencing the formation of retrograded starch. Int. J. Biol. Macromol. 2021, 186, 163–173. [Google Scholar] [CrossRef]
- Gebre, B.A.; Zhang, C.C.; Li, Z.J.; Sui, Z.Q.; Corke, H. Impact of starch chain length distributions on physicochemical properties and digestibility of starches. Food Chem. 2024, 435, 137641. [Google Scholar] [CrossRef]
- Yu, S.F.; Ma, Y.; Sun, D.W. Impact of amylose content on starch retrogradation and texture of cooked milled rice during storage. J. Cereal Sci. 2009, 50, 139–144. [Google Scholar] [CrossRef]
- Velazquez, G.; Ramirez-Gutierrez, C.F.; Mendez-Montealvo, G.; Velazquez-Castillo, R.; Morelos-Medina, L.F.; Morales-Sánchez, E.; Gaytán-Martínez, M.; Rodríguez-García, M.E.; Contreras-Jiménez, B. Effect of long-term retrogradation on the crystallinity, vibrational and rheological properties of potato, corn, and rice starches. Food Chem. 2025, 477, 143455. [Google Scholar] [CrossRef]
- Gong, Y.Q.; Xiao, S.Z.; Yao, Z.H.; Deng, H.J.; Chen, X.; Tao, Y. Factors and modification techniques enhancing starch gel structure and their applications in foods: A review. Food Chem. X 2024, 24, 102045. [Google Scholar] [CrossRef] [PubMed]
- Dangi, N.; Yadav, B.S.; Yadav, R.B. Pasting, rheological, thermal and gel textural properties of pearl millet starch as modified by guar gum and its acid hydrolysate. Int. J. Biol. Macromol. 2019, 139, 387–396. [Google Scholar] [CrossRef]
- Wang, J.; Yu, L.; Xie, F.W.; Chen, L.; Li, X.X.; Liu, H.S. Rheological properties and phase transition of corn starches with different amylose/amylopectin ratios under shear stress. Starch-Starke 2010, 62, 667–675. [Google Scholar] [CrossRef]
- Li, G.T.; Zhu, F. Rheological properties in relation to molecular structure of quinoa starch. Int. J. Biol. Macromol. 2018, 114, 767–775. [Google Scholar] [CrossRef] [PubMed]
- Zhang, H.X.; Chen, Z.G.; Han, Y.; Ke, H. The molecular mechanisms and new classification of resistant starch—A review. Curr. Res. Food Sci. 2025, 10, 101023. [Google Scholar] [CrossRef] [PubMed]
- Pan, L.X.; Chen, F.; Yang, Y.; Li, Q.F.; Fan, X.L.; Zhao, D.S.; Liu, Q.Q.; Zhang, C.Q. The underlying starch structures of rice grains with different digestibilities but similarly high amylose contents. Food Chem. 2022, 379, 132071. [Google Scholar] [CrossRef] [PubMed]




| Starch Sample | Moisture (%) | Total Starch (%) | Protein (%) | Lipid (%) | Ash (%) | Amylose Content (%) | Mw (×105 g/mol) | FWHM |
|---|---|---|---|---|---|---|---|---|
| N-HXMS | 2.85 ± 0.11 d | 95.77 ± 0.24 ab | 0.52 ± 0.04 bc | 0.49 ± 0.02 a | 0.33 ± 0.04 a | 33.60 ± 0.12 a | 2.45 ± 0.09 b | 3.704 ± 0.010 b |
| N-LXMS | 3.60 ± 0.07 c | 95.56 ± 0.30 b | 0.46 ± 0.18 cd | 0.28 ± 0.09 b | 0.08 ± 0.01 c | 32.91 ± 0.04 b | 2.68 ± 0.05 b | 3.902 ± 0.010 a |
| N-QZHS | 2.51 ± 0.02 e | 96.28 ± 0.19 a | 0.81 ± 0.09 a | 0.22 ± 0.01 b | 0.17 ± 0.03 bc | 32.40 ± 0.15 b | 2.81 ± 0.09 b | 3.640 ± 0.005 c |
| N-JG21S | 3.93 ± 0.18 b | 95.05 ± 0.02 b | 0.33 ± 0.07 d | 0.32 ± 0.03 b | 0.35 ± 0.09 a | 33.71 ± 0.49 a | 2.08 ± 0.06 b | 3.704 ± 0.005 b |
| N-BLGS | 3.49 ± 0.05 c | 94.99 ± 0.17 b | 0.68 ± 0.10 ab | 0.61 ± 0.17 a | 0.18 ± 0.01 bc | 34.04 ± 0.04 a | 1.01 ± 0.02 b | 3.654 ± 0.005 c |
| W-HJGS | 4.44 ± 0.09 a | 94.38 ± 0.99 c | 0.37 ± 0.02 cd | 0.56 ± 0.11 a | 0.24 ± 0.10 b | 0.88 ± 0.00 c | 34.93 ± 3.71 a | 3.697 ± 0.005 b |
| Starch Sample | Particle Size Distribution | R1047/1022 | |
|---|---|---|---|
| Particle Size Distribution Range (μm) | Average Particle Size (μm) | ||
| N-HXMS | 0.16–18.86 | 8.94 ± 0.06 a | 0.843 ± 0.003 c |
| N-LXMS | 0.13–22.73 | 8.90 ± 0.12 ab | 0.785 ± 0.001 e |
| N-QZHS | 0.04–22.73 | 8.39 ± 0.65 b | 0.767 ± 0.008 f |
| N-JG21S | 0.13–22.73 | 8.68 ± 0.07 ab | 0.805 ± 0.000 d |
| N-BLGS | 0.04–18.86 | 8.95 ± 0.55 a | 0.853 ± 0.006 b |
| W-HJGS | 0.31–22.73 | 8.44 ± 0.14 ab | 0.863 ± 0.003 a |
| Starch Sample | Water Solubility (%) | Swelling Power (g/g) |
|---|---|---|
| N-HXMS | 10.01 ± 0.11 b | 20.22 ± 0.57 b |
| N-LXMS | 8.73 ± 0.43 cd | 19.87 ± 0.14 bc |
| N-QZHS | 8.57 ± 0.14 d | 18.86 ± 0.02 c |
| N-JG21S | 8.96 ± 0.23 cd | 18.79 ± 0.63 c |
| N-BLGS | 9.30 ± 0.21 c | 19.43 ± 0.58 bc |
| W-HJGS | 92.30 ± 0.09 a | 22.76 ± 0.28 a |
| Starch Sample | To (°C) | Tp (°C) | Tc (°C) | ΔH (J/g) | Rr (%) |
|---|---|---|---|---|---|
| N-HXMS | 63.57 ± 0.00 bc | 69.57 ± 0.36 b | 78.40 ± 0.77 a | 9.73 ± 0.39 b | 32.48 ± 0.66 b |
| N-LXMS | 63.55 ± 0.69 bc | 69.76 ± 0.14 ab | 75.95 ± 1.06 c | 7.19 ± 0.87 c | 30.64 ± 0.10 c |
| N-QZHS | 64.32 ± 0.31 b | 69.54 ± 0.36 b | 77.85 ± 0.28 ab | 11.05 ± 0.42 b | 31.33 ± 0.02 bc |
| N-JG21S | 62.85 ± 0.29 c | 69.43 ± 0.13 b | 77.85 ± 0.05 ab | 10.39 ± 0.22 b | 34.40 ± 0.86 a |
| N-BLGS | 62.96 ± 0.33 c | 68.02 ± 0.04 c | 76.57 ± 0.64 bc | 10.27 ± 0.67 b | 34.42 ± 0.42 a |
| W-HJGS | 65.39 ± 0.30 a | 70.14 ± 0.01 a | 79.22 ± 0.53 a | 12.58 ± 0.07 a | 22.78 ± 1.13 d |
| Starch Sample | Pasting Temperature (°C) | Peak Viscosity (cP) | Breakdown (cP) | Final Viscosity (cP) | Setback (cP) |
|---|---|---|---|---|---|
| N-HXMS | 82.40 ± 0.05 a | 3198 ± 5 a | 1303 ± 25 b | 3676 ± 46 a | 1782 ± 26 a |
| N-LXMS | 78.37 ± 0.03 d | 3161 ± 23 a | 1251 ± 89 bc | 3639 ± 49 a | 1729 ± 38 b |
| N-QZHS | 79.13 ± 0.04 c | 2839 ± 52 c | 1163 ± 12 cd | 3291 ± 87 d | 1614 ± 23 c |
| N-JG21S | 79.98 ± 0.04 b | 2847 ± 25 bc | 1042 ± 1 e | 3390 ± 21 c | 1585 ± 5 c |
| N-BLGS | 79.10 ± 0.00 c | 2932 ± 61 b | 1078 ± 46 de | 3491 ± 29 b | 1636 ± 14 c |
| W-HJGS | 76.70 ± 0.00 e | 2874 ± 54 bc | 1638 ± 54 a | 1495 ± 14 e | 259 ± 15 d |
| Starch Sample | τ0 (Pa) | K (Pa·s n) | n | R2 | Hysteresis Loop Relative Area (kPa/s) | Shear Recovery (%) |
|---|---|---|---|---|---|---|
| N-HXMS | 22.32 ± 1.48 b | 5.40 ± 0.12 c | 0.41 ± 0.01 d | 0.993 | 12.43 ± 0.79 c | 53.29 ± 3.43 b |
| N-LXMS | 26.59 ± 0.67 a | 1.59 ± 0.28 f | 0.56 ± 0.00 a | 0.995 | 4.92 ± 0.33 e | 57.97 ± 0.61 a |
| N-QZHS | 15.17 ± 0.91 c | 14.89 ± 0.36 b | 0.29 ± 0.00 e | 0.992 | 16.77 ± 1.28 a | 51.73 ± 2.39 c |
| N-JG21S | 5.00 ± 0.01 d | 16.61 ± 1.03 a | 0.28 ± 0.00 e | 0.995 | 14.84 ± 2.11 b | 49.15 ± 0.86 d |
| N-BLGS | 27.13 ± 1.18 a | 2.91 ± 0.41 d | 0.49 ± 0.01 c | 0.996 | 7.06 ± 0.52 d | 58.70 ± 1.88 a |
| W-HJGS | 0.00 ± 0.00 e | 2.28 ± 0.62 e | 0.53 ± 0.01 b | 0.975 | 3.67 ± 0.13 f | 48.22 ± 0.74 d |
| Starch Sample | RDS (%) | SDS (%) | RS (%) |
|---|---|---|---|
| N-HXMS | 46.37 ± 0.18 c | 28.03 ± 0.14 c | 25.61 ± 0.04 c |
| N-LXMS | 38.64 ± 0.83 e | 30.20 ± 1.00 b | 31.17 ± 0.18 a |
| N-QZHS | 49.74 ± 0.46 b | 33.66 ± 0.33 a | 16.61 ± 0.13 e |
| N-JG21S | 42.21 ± 0.49 d | 33.19 ± 0.00 a | 24.61 ± 0.49 d |
| N-BLGS | 43.06 ± 0.24 d | 30.14 ± 0.25 b | 26.81 ± 0.00 b |
| W-HJGS | 58.58 ± 0.35 a | 27.41 ± 0.79 c | 14.01 ± 0.44 f |
Disclaimer/Publisher’s Note: The statements, opinions and data contained in all publications are solely those of the individual author(s) and contributor(s) and not of MDPI and/or the editor(s). MDPI and/or the editor(s) disclaim responsibility for any injury to people or property resulting from any ideas, methods, instructions or products referred to in the content. |
© 2025 by the authors. Licensee MDPI, Basel, Switzerland. This article is an open access article distributed under the terms and conditions of the Creative Commons Attribution (CC BY) license (https://creativecommons.org/licenses/by/4.0/).
Share and Cite
Fan, Y.; Chang, L.; Yao, Y.; Dan, Q.; Zhang, P.; Li, X.; Yu, X.; Du, S. Structural, Physicochemical, and Functional Properties of Waxy and Non-Waxy Foxtail Millet Starches. Foods 2025, 14, 3034. https://doi.org/10.3390/foods14173034
Fan Y, Chang L, Yao Y, Dan Q, Zhang P, Li X, Yu X, Du S. Structural, Physicochemical, and Functional Properties of Waxy and Non-Waxy Foxtail Millet Starches. Foods. 2025; 14(17):3034. https://doi.org/10.3390/foods14173034
Chicago/Turabian StyleFan, Yuting, Lei Chang, Yang Yao, Qin Dan, Pingping Zhang, Xinyi Li, Xiuzhu Yu, and Shuangkui Du. 2025. "Structural, Physicochemical, and Functional Properties of Waxy and Non-Waxy Foxtail Millet Starches" Foods 14, no. 17: 3034. https://doi.org/10.3390/foods14173034
APA StyleFan, Y., Chang, L., Yao, Y., Dan, Q., Zhang, P., Li, X., Yu, X., & Du, S. (2025). Structural, Physicochemical, and Functional Properties of Waxy and Non-Waxy Foxtail Millet Starches. Foods, 14(17), 3034. https://doi.org/10.3390/foods14173034

