Deterministic and Probabilistic Risk Assessment of Chlorpyrifos Residues via Consumption of Tomato and Cucumber in Armenia
Abstract
1. Introduction
2. Materials and Methods
2.1. Sampling and Analyses
2.2. Dietary Exposure Assessment and Risk Characterization
3. Results
3.1. CPF Occurrence in Tomato and Cucumber
3.2. Chronic and Acute Dietary Exposure to CPF
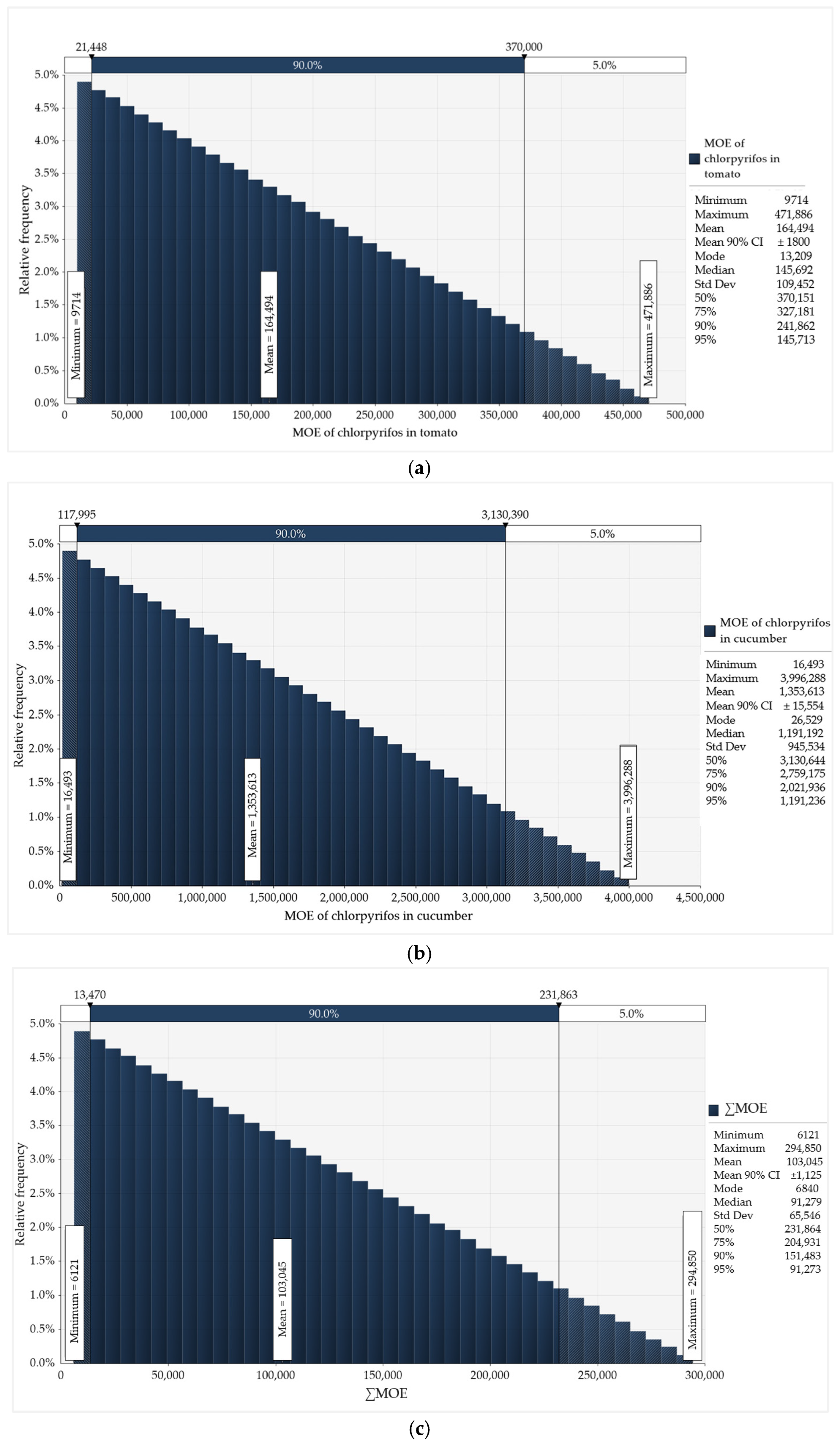
3.3. Deterministic and Probabilistic Risk Assessment of CPF
4. Discussion
4.1. CPF Residues in Tomato and Cucumber
4.2. CPF Dietary Exposure
4.3. CPF Risk to Consumers of Tomato and Cucumber
5. Conclusions
Author Contributions
Funding
Institutional Review Board Statement
Informed Consent Statement
Data Availability Statement
Conflicts of Interest
Abbreviations
| ADI | Acceptable Daily Intake; |
| ARfD | Acute Reference Dose; |
| BW | Body Weight; |
| CENS | Center for Ecological-Noosphere Studies; |
| CI | Confidence Interval; |
| CPF | Chlorpyrifos; |
| DNT | Developmental Neurotoxicity; |
| EAEU | Eurasian Economic Union; |
| EC | European Commission; |
| ED | Endocrine Disruption; |
| EDI | Estimated Daily Intake; |
| EFSA | European Food Safety Authority; |
| HBGV | Health-Based Guidance Value; |
| HI | Hazard Index; |
| HQ | Hazard Quotient; |
| IPCS | International Programme on Chemical Safety; |
| LOAEL | Lowest Observed Adverse Effect Level; |
| MOE | Margin of Exposure; |
| MRL | Maximum Residue Limit; |
| RASFF | Rapid Alert System for Food and Feed; |
| SOPs | Standard Operational Procedures; |
| US EPA | United States Environmental Protection Agency; |
| WHO | World Health Organization. |
References
- Nandi, N.K.; Vyas, A.; Akhtar, M.J.; Kumar, B. The growing concern of chlorpyrifos exposures on human and environmental health. Pestic. Biochem. Physiol. 2022, 185, 105138. [Google Scholar] [CrossRef]
- Wołejko, E.; Łozowicka, B.; Jabłońska-Trypuć, A.; Pietruszyńska, M.; Wydro, U. Chlorpyrifos Occurrence and Toxicological Risk Assessment: A Review. Int. J. Environ. Res. Public Health 2022, 19, 12209. [Google Scholar] [CrossRef]
- Foong, S.Y.; Ma, N.L.; Lam, S.S.; Peng, W.; Low, F.; Lee, B.H.; Alstrup, A.K.O.; Sonne, C. A recent global review of hazardous chlorpyrifos pesticide in fruit and vegetables: Prevalence, remediation and actions needed. J. Hazard. Mater. 2020, 400, 123006. [Google Scholar] [CrossRef]
- Tudi, M.; Yang, L.; Wang, L.; Lv, J.; Gu, L.; Li, H.; Peng, W.; Yu, Q.; Ruan, H.; Li, Q.; et al. Environmental and human health hazards from chlorpyrifos, pymetrozine and avermectin application in China under a climate change scenario: A comprehensive review. Agriculture 2023, 13, 1683. [Google Scholar] [CrossRef]
- Mackay, D.; Giesy, J.P.; Solomon, K.R. Fate in the environment and long-range atmospheric transport of the organophosphorus insecticide, chlorpyrifos and its oxon. In Ecological Risk Assessment for Chlorpyrifos in Terrestrial and Aquatic Systems in the United States; Springer: New York, NY, USA, 2014; pp. 35–76. [Google Scholar]
- Johanif, N.; Hartz, K.E.H.; Figueroa, A.E.; Weston, D.P.; Lee, D.; Lydy, M.J.; Connon, R.E.; Poynton, H.C. Bioaccumulation potential of chlorpyrifos in resistant Hyalella azteca: Implications for evolutionary toxicology. Environ. Pollut. 2021, 289, 117900. [Google Scholar] [CrossRef] [PubMed]
- Ore, O.T.; Adeola, A.O.; Bayode, A.A.; Adedipe, D.T.; Nomngongo, P.N. Organophosphate pesticide residues in environmental and biological matrices: Occurrence, distribution and potential remedial approaches. Environ. Chem. Ecotoxicol. 2023, 5, 9–23. [Google Scholar] [CrossRef]
- John, E.M.; Shaike, J.M. Chlorpyrifos: Pollution and remediation. Environ. Chem. Lett. 2015, 13, 269–291. [Google Scholar] [CrossRef]
- World Health Organization (WHO). The WHO Recommended Classification of Pesticides by Hazard and Guidelines to Classification (2019 ed.). International Programme on Chemical Safety. 2019. Available online: https://apps.who.int/iris/bitstream/10665/332193/9789240005662-eng.pdf (accessed on 7 July 2025).
- Lasagna, M.; Ventura, C.; Hielpos, M.S.; Mardirosian, M.N.; Martín, G.; Miret, N.; Randi, N.; Núñez, M.; Cocca, C. Endocrine disruptor chlorpyrifos promotes migration, invasion, and stemness phenotype in 3D cultures of breast cancer cells and induces a wide range of pathways involved in cancer progression. Environ. Res. 2022, 204, 111989. [Google Scholar] [CrossRef]
- Ur Rahman, H.U.; Asghar, W.; Nazir, W.; Sandhu, M.A.; Ahmed, A.; Khalid, N. A comprehensive review on chlorpyrifos toxicity with special reference to endocrine disruption: Evidence of mechanisms, exposures and mitigation strategies. Sci. Total Environ. 2021, 755, 142649. [Google Scholar] [CrossRef] [PubMed]
- Ismanto, A.; Hadibarata, T.; Ayu Kristanti, R.; Maslukah, L.; Safinatunnajah, N.; Kusumastuti, W. Endocrine disrupting chemicals (EDCs) in environmental matrices: Occurrence, fate, health impact, physio-chemical and bioremediation technology. Environ. Pollut. 2022, 302, 119061. [Google Scholar] [CrossRef]
- World Health Organization (WHO). Inventory of Evaluations Performed by the Joint Meeting on Pesticide Residues (JMPR). Chlorpyrifos. 2021. Available online: https://apps.who.int/pesticide-residues-jmpr-database/pesticide?name=CHLORPYRIFOS (accessed on 7 July 2025).
- Tarazona, J.V.; González-Caballero, M.d.C.; Alba-Gonzalez, M.d.; Pedraza-Diaz, S.; Cañas, A.; Dominguez-Morueco, N.; Esteban-López, M.; Cattaneo, I.; Katsonouri, A.; Makris, K.C.; et al. Improving the Risk Assessment of Pesticides through the Integration of Human Biomonitoring and Food Monitoring Data: A Case Study for Chlorpyrifos. Toxics 2022, 10, 313. [Google Scholar] [CrossRef] [PubMed]
- European Food Safety Authority (EFSA). Statement on the available outcomes of the human health assessment in the context of the pesticides peer review of the active substance chlorpyrifos. EFSA J. 2019, 17, e05809. [Google Scholar] [PubMed]
- European Commission (EC). Active substance: Chlorpyrifos. Available online: https://ec.europa.eu/food/plant/pesticides/eu-pesticides-database/start/screen/active-substances/details/548 (accessed on 7 July 2025).
- European Commission (EC). Food Safety. Chlorpyrifos & Chlorpyrifos-methyl. Available online: https://food.ec.europa.eu/plants/pesticides/approval-active-substances-safeners-and-synergists/renewal-approval/chlorpyrifos-chlorpyrifos-methyl_en (accessed on 7 July 2025).
- Commission Regulation (EU) 2020/1085 of 23 July 2020 amending Annexes II and V to Regulation (EC) No 396/2005 of the European Parliament and of the Council as Regards Maximum Residue Levels for Chlorpyrifos and Chlorpyrifos-methyl in or on Certain Products. Available online: https://eur-lex.europa.eu/eli/reg/2020/1085/oj/eng (accessed on 8 July 2025).
- US Environmental Protection Agency (EPA). Ingredients Used in Pesticide Products. Chlorpyrifos. Available online: https://www.epa.gov/ingredients-used-pesticide-products/chlorpyrifos#basic (accessed on 8 July 2025).
- US Environmental Protection Agency (EPA). Revised Human Health Risk Assessment on Chlorpyrifos. Available online: https://www.epa.gov/ingredients-used-pesticide-products/revised-human-health-risk-assessment-chlorpyrifos (accessed on 8 July 2025).
- Stockholm Convention on Persistent Organic Pollutants (POPs). Twentieth meeting of the Persistent Organic Pollutants Review Committee (POPRC.20), Rome, Italy, from 23 to 27 September 2024. Available online: https://chm.pops.int/TheConvention/POPsReviewCommittee/Meetings/POPRC20/Overview/tabid/9850/Default.aspx (accessed on 9 July 2025).
- Rapid Alert System for Food and Feed (RASFF) Window. Available online: https://webgate.ec.europa.eu/rasff-window/screen/search?searchQueries=eyJkYXRlIjp7InN0YXJ0UmFuZ2UiOiIiLCJlbmRSYW5nZSI6IiJ9LCJjb3VudHJpZXMiOnt9LCJ0eXBlIjp7fSwibm90aWZpY2F0aW9uU3RhdHVzIjp7fSwicHJvZHVjdCI6eyJwcm9kdWN0Q2F0ZWdvcnkiOltbMTg0NDhdXX0sInJpc2siOnt9LCJyZWZlcmVuY2UiOiIiLCJzdWJqZWN0IjoiY2hsb3JweXJpZm9zIn0%3D (accessed on 10 July 2025).
- Tadevosyan, A.; Tadevosyan, N.; Kelly, K.; Gibbs, S.G.; Rautiainen, R.H. Pesticide use practices in rural Armenia. J. Agromed. 2013, 18, 293–303. [Google Scholar] [CrossRef]
- Magnusson, B.; Svensson, C.; Rydberg, T. Stability of pesticide residues on vegetables during food processing. Food Chem. 2015, 187, 504–512. [Google Scholar]
- Mehrabi, F.; Heshmati, A.; Mahdavi, V.; Sharifi, A.; Nili-Ahmadabadi, A.; Mousavi Khaneghah, A. Changes in residues of malathion and chlorpyrifos during various pickled cucumber processing. J. Food Compos. Anal. 2025, 140, 107209. [Google Scholar] [CrossRef]
- Armstat. Statistical Committee of the Republic of Armenia. RA National Food Balances by Food Commodity Groups/Food Commodity, Indicator and Year. 2025. Available online: https://statbank.armstat.am/pxweb/en/ArmStatBank/ArmStatBank__7%20Food%20Security/FS-1-2023.px/table/tableViewLayout1/?rxid=9ba7b0d1-2ff8-40fa-a309-fae01ea885bb/ (accessed on 8 July 2025).
- Beglaryan, M.; Pipoyan, D.; Tepanosyan, G.; Sahakyan, L. Toxic element contents and associated multi-medium health risk assessment in an area under continuous agricultural use. Environ. Monit. Assess. 2022, 194, 184. [Google Scholar] [CrossRef]
- Fochi, I.; Ciceri, E.; Huebschmann, H.J. Fast GC-MS/MS for High Throughput Pesticides Analysis. Thermo Sci. Appl. Note 2010, 52027, 1–8. [Google Scholar]
- World Health Organization; Food and Agriculture Organization of the United Nations. Dietary Exposure Assessment of Chemicals in Food. In Proceedings of the Report of a Joint FAO/FAO Consultation, Annapolis, MD, USA, 2–6 May 2005. Available online: https://apps.who.int/iris/handle/10665/44027 (accessed on 10 July 2025).
- van der Voet, H.; Kruisselbrink, J.; van Lenthe, M.; de Boer, W.; Meewisse, A. Cumulative Risks from Combined Exposure to Multiple Pesticide Residues in Fruit and Vegetables; Wageningen University & Research, Biometris: Wageningen, The Netherlands, 2021; Available online: https://research.wur.nl/en/publications/cumulative-risks-from-combined-exposure-to-multiple-pesticide-res (accessed on 19 July 2025).
- EAEU. Technical Regulation of the Customs Union TR CU 021/2011 “On the Safety of Food Products”. Approved by the Commission of the Customs Union on 9 December 2011, No. 880. Available online: https://www.rustandard.com/images/CU_TR/TR_CU_021.2011_Safety_of_Food_Products.pdf (accessed on 15 July 2025).
- EAEU. Uniform Sanitary and Epidemiological and Hygienic Requirements for Products Subject to Sanitary and Epidemiological Supervision (Control). Approved by Decision of the Customs Union Commission No. 299 dated 28 May 2010. Available online: https://food.ec.europa.eu/document/download/c032397b-b4cf-4537-b657-ad0e3a04c13a_en?filename=ia_eu-ru_sps-req_req_san-epi_chap-2_1_en.pdf (accessed on 15 July 2025).
- International Pollutants Elimination Network (IPEN). Chlorpyrifos: Country Situation Report. 2021. Available online: https://ipen.org/documents/situation-report-chlorpyrifos-india (accessed on 18 July 2025).
- Bitencourt de Morais Valentim, J.M.; Fagundes, T.R.; Okamoto Ferreira, M.; Lonardoni Micheletti, P.; Broto Oliveira, G.E.; Cremer Souza, M.; Geovana Leite Vacario, B.; Silva, J.C.d.; Scandolara, T.B.; Gaboardi, S.C.; et al. Monitoring residues of pesticides in food in Brazil: A multiscale analysis of the main contaminants, dietary cancer risk estimative and mechanisms associated. Front. Public Health 2023, 11, 1130893. [Google Scholar] [CrossRef]
- Elgueta, S.; Valenzuela, M.; Fuentes, M.; Meza, P.; Manzur, J.P.; Liu, S.; Zhao, G.; Correa, A. Pesticide residues and health risk assessment in tomatoes and lettuces from farms of Metropolitan region Chile. Molecules 2020, 25, 355. [Google Scholar] [CrossRef]
- French Agency for Food, Environmental and Occupational Health & Safety; France, Regulated Products Assessment Department, Residues and Food Safety Unit; Chatzidimitriou, E.; Mienne, A.; Pierlot, S.; Noel, L.; Sarda, X. Assessment of combined risk to pesticide residues through dietary exposure. EFSA J. 2019, 17, e170910. [Google Scholar]
- Si, W.; Song, Y.; Guo, C.; Huang, Z.; Chen, L.; Xu, F.; Bai, B.; Huo, K.; Wang, S. Multi-model risk assessment of pesticide residues in seasonal fruits based on integrated targeted/non-targeted screening: Implications for vulnerable populations. Food Chem. X 2025, 28, 102599. [Google Scholar] [CrossRef] [PubMed]
- European Food Safety Authority (EFSA); Craig, P.S.; Dujardin, B.; Hart, A.; Hernández-Jerez, A.F.; Hougaard Bennekou, S.; Kneuer, C.; Ossendorp, B.; Pedersen, R.; Wolterink, G.; et al. Cumulative dietary risk characterisation of pesticides that have acute effects on the nervous system. EFSA J. 2020, 18, e06087. [Google Scholar]
- Golge, O.; Hepsag, F.; Kabak, B. Health risk assessment of selected pesticide residues in green pepper and cucumber. Food Chem. Toxicol. 2018, 121, 51–64. [Google Scholar] [CrossRef] [PubMed]
- Samadi, M.T.; Shokoohi, R.; Karami, M.; Leili, M.; Heshmati, A.; Khamutian, S. Risk Analysis of Exposure to Chlorpyrifos and Diazinon from Greenhouse-Grown Tomatoes during Pre-Harvest Interval and Post-Harvest Processing. J. Agric. Sci. Technol. 2022, 24, 407–418. [Google Scholar]
- Kermani, M.; Alipour, V.; Teshnizi, S.H.; Arabameri, M.; Hosseini, H.; Khaneghah, A.M. A Global Systematic Review, Meta-Analysis, and Health Risk Assessment on the Quantity of Malathion, Diazinon, and Chlorpyrifos in Vegetables. Foods 2023, 12, 3783. [Google Scholar] [CrossRef]


| CPF Residue Levels (mg/kg) | Studied Vegetables | |
|---|---|---|
| Tomato | Cucumber | |
| % of N/D samples | 85.0% | 71.4% |
| Mean ± SD | 0.003 ± 0 | 0.003 ± 0.001 |
| Minimum | 0.003 | 0.002 |
| Maximum | 0.003 | 0.005 |
| Studied Vegetables | Identified Groups of Consumers | Percentage (%) of Consumers in Each Group | Chronic EDI of CPF (mg/kg bw/day) | |
|---|---|---|---|---|
| Mean EDI | EDI Range (Min–Max) | |||
| Tomato | All consumers | 100 (1188 respondents) | 1.26 × 10−5 | 6.35 × 10−7–3.09 × 10−5 |
| Group 1 | 19.19 | 3.99 × 10−6 | ≤6.60 × 10−6 | |
| Group 2 | 23.23 | 7.71 × 10−6 | 7.10 × 10−6–7.72 × 10−6 | |
| Group 3 | 32.24 | 1.37 × 10−5 | 7.87 × 10−6–1.54 × 10−5 | |
| Group 4 | 6.82 | 1.89 × 10−5 | 1.65 × 10−5–1.93 × 10−5 | |
| Group 5 | 18.52 | 2.49 × 10−5 | ≥1.98 × 10−5 | |
| Cucumber | All consumers | 100 (1194 respondents) | 6.99 × 10−6 | 7.48 × 10−8–1.82 × 10−5 |
| Group 1 | 21.86 | 1.58 × 10−6 | ≤2.92 × 10−6 | |
| Group 2 | 8.54 | 4.33 × 10−6 | 3.21 × 10−6–4.55 × 10−6 | |
| Group 3 | 29.65 | 6.54 × 10−6 | 4.86 × 10−6–8.94 × 10−6 | |
| Group 4 | 18.51 | 9.49 × 10−6 | 8.96 × 10−6–1.14 × 10−5 | |
| Group 5 | 21.44 | 1.50 × 10−5 | ≥1.17 × 10−5 | |
| Cumulative chronic exposure (∑EDI) | 1.96 × 10−5 | 7.09 × 10−7–4.91 × 10−5 | ||
| Studied Vegetables | Identified Groups of Consumers | Percentage (%) of Consumers in Each Group | Acute EDI of CPF (mg/kg bw/day) | |
|---|---|---|---|---|
| Mean EDI | EDI Range (Min–Max) | |||
| Tomato | All consumers | 100 (1181 respondents) | 1.57 × 10−5 | 3.86 × 10−6–3.47 × 10−5 |
| Group 1 | 19.19 | 7.18 × 10−6 | ≤7.72 × 10−6 | |
| Group 2 | 23.23 | 1.12 × 10−5 | 7.87 × 10−6–1.16 × 10−5 | |
| Group 3 | 32.24 | 1.54 × 10−5 | 1.23 × 10−5–1.54 × 10−5 | |
| Group 4 | 6.82 | 1.92 × 10−5 | 1.70 × 10−5–1.93 × 10−5 | |
| Group 5 | 18.52 | 2.57 × 10−5 | ≥2.08 × 10−5 | |
| Cucumber | All consumers | 100 (1172 respondents) | 8.52 × 10−6 | 1.14 × 10−6–1.82 × 10−5 |
| Group 1 | 21.86 | 4.09 × 10−6 | ≤4.55 × 10−6 | |
| Group 2 | 8.54 | 6.80 × 10−6 | 5.68 × 10−6–6.82 × 10−6 | |
| Group 3 | 29.65 | 9.09 × 10−6 | 8.18 × 10−6–9.09 × 10−6 | |
| Group 4 | 18.51 | 1.30 × 10−5 | 1.05 × 10−5–1.36 × 10−5 | |
| Group 5 | 21.44 | 1.72 × 10−5 | ≥1.59 × 10−5 | |
| Cumulative acute exposure (∑EDI) | 2.42 × 10−5 | 5.00 × 10−6–5.29 × 10−5 | ||
| Studied Vegetables | Identified Groups of Consumers | Margin of Exposure (MOE) of CPF | |
|---|---|---|---|
| Mean MOE | MOE Range (Min–Max) | ||
| Tomato | All consumers | 2.38 × 104 | 9.72 × 103–4.73 × 105 |
| Group 1 | 7.52 × 104 | ≤4.55 × 104 | |
| Group 2 | 3.89 × 104 | 3.89 × 104–4.23 × 104 | |
| Group 3 | 2.18 × 104 | 1.94 × 104–3.81 × 104 | |
| Group 4 | 1.59 × 104 | 1.55 × 104–1.82 × 104 | |
| Group 5 | 1.21 × 104 | ≥1.52 × 103 | |
| Cucumber | All consumers | 4.29 × 104 | 4.01 × 104–1.65 × 106 |
| Group 1 | 1.90 × 105 | ≤1.03 × 105 | |
| Group 2 | 6.92 × 104 | 6.60 × 104–9.33 × 104 | |
| Group 3 | 4.59 × 104 | 3.35 × 104–6.17 × 104 | |
| Group 4 | 3.16 × 104 | 2.64 × 104–3.35 × 104 | |
| Group 5 | 2.00 × 104 | ≥ 2.57 × 104 | |
| Cumulative chronic risk (∑MOE) | 1.53 × 104 | 4.23 × 103–6.12 × 105 | |
| Studied Vegetables | Identified Groups of Consumers | Hazard Quotient (HQ) of CPF | |
|---|---|---|---|
| Mean HQ | HQ Range (Min–Max) | ||
| Tomato | All consumers | 0.16 | 0.04–0.35 |
| Group 1 | 0.07 | ≤0.08 | |
| Group 2 | 0.11 | 0.08–0.12 | |
| Group 3 | 0.15 | 0.12–0.15 | |
| Group 4 | 0.19 | 0.17–0.19 | |
| Group 5 | 0.26 | ≥0.21 | |
| Cucumber | All consumers | 0.09 | 0.01–0.18 |
| Group 1 | 0.04 | ≤0.05 | |
| Group 2 | 0.07 | 0.06–0.07 | |
| Group 3 | 0.09 | 0.08–0.09 | |
| Group 4 | 0.13 | 0.10–0.14 | |
| Group 5 | 0.17 | ≥0.16 | |
| Cumulative acute risk (∑HQ = HI) | 0.24 | 0.05–0.53 | |
Disclaimer/Publisher’s Note: The statements, opinions and data contained in all publications are solely those of the individual author(s) and contributor(s) and not of MDPI and/or the editor(s). MDPI and/or the editor(s) disclaim responsibility for any injury to people or property resulting from any ideas, methods, instructions or products referred to in the content. |
© 2025 by the authors. Licensee MDPI, Basel, Switzerland. This article is an open access article distributed under the terms and conditions of the Creative Commons Attribution (CC BY) license (https://creativecommons.org/licenses/by/4.0/).
Share and Cite
Beglaryan, M.; Kareyan, T.; Khachatryan, M.; Harutyunyan, B.; Pipoyan, D. Deterministic and Probabilistic Risk Assessment of Chlorpyrifos Residues via Consumption of Tomato and Cucumber in Armenia. Foods 2025, 14, 2871. https://doi.org/10.3390/foods14162871
Beglaryan M, Kareyan T, Khachatryan M, Harutyunyan B, Pipoyan D. Deterministic and Probabilistic Risk Assessment of Chlorpyrifos Residues via Consumption of Tomato and Cucumber in Armenia. Foods. 2025; 14(16):2871. https://doi.org/10.3390/foods14162871
Chicago/Turabian StyleBeglaryan, Meline, Taron Kareyan, Monika Khachatryan, Bagrat Harutyunyan, and Davit Pipoyan. 2025. "Deterministic and Probabilistic Risk Assessment of Chlorpyrifos Residues via Consumption of Tomato and Cucumber in Armenia" Foods 14, no. 16: 2871. https://doi.org/10.3390/foods14162871
APA StyleBeglaryan, M., Kareyan, T., Khachatryan, M., Harutyunyan, B., & Pipoyan, D. (2025). Deterministic and Probabilistic Risk Assessment of Chlorpyrifos Residues via Consumption of Tomato and Cucumber in Armenia. Foods, 14(16), 2871. https://doi.org/10.3390/foods14162871

