Measuring Viscosity and Consistency in Thickened Liquids for Dysphagia: Is There a Correlation Between Different Methods?
Abstract
1. Introduction
2. Materials and Methods
2.1. Materials
2.2. Sample Preparation
2.3. Rheological Measurements
2.4. Empirical Thickness Tests
2.4.1. Line Spread Test
2.4.2. Bostwick Consistometer
2.4.3. Ford Cup
2.5. Statistical Analysis
3. Results and Discussion
3.1. Effect of Concentration on Viscosity
3.2. Effect of Time After Sample Preparation on Viscosity
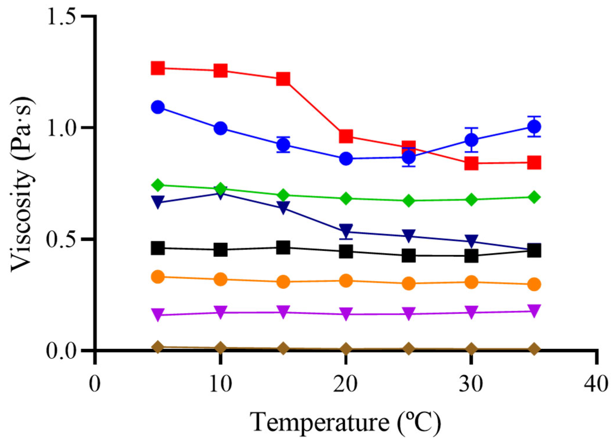
3.3. Effect of Temperature on Viscosity
3.4. Flow Behavior
3.5. Correlation Between Viscosity Measurement Methods
4. Conclusions
Author Contributions
Funding
Data Availability Statement
Acknowledgments
Conflicts of Interest
References
- Cichero, J.A.Y. Thickening Agents Used for Dysphagia Management: Effect on Bioavailability of Water, Medication and Feelings of Satiety. Nutr. J. 2013, 12, 54. [Google Scholar] [CrossRef] [PubMed]
- Rofes, L.; Arreola, V.; Mukherjee, R.; Swanson, J.; Clavé, P. The Effects of a Xanthan Gum-Based Thickener on the Swallowing Function of Patients with Dysphagia. Aliment. Pharmacol. Ther. 2014, 39, 1169–1179. [Google Scholar] [CrossRef] [PubMed]
- Garcia, J.M.; Chambers, E.; Cook, K. Visualizing the Consistency of Thickened Liquids with Simple Tools: Implications for Clinical Practice. Am. J. Speech Lang. Pathol. 2018, 27, 270–277. [Google Scholar] [CrossRef] [PubMed]
- Garcia, J.M.; Chambers IV, E.; Molander, M. Thickened Liquids: Practice Patterns of Speech-Language Pathologists. Am. J. Speech Lang. Pathol. 2005, 14, 4–13. [Google Scholar] [CrossRef]
- Hanson, B.; O’Leary, M.T.; Smith, C.H. The Effect of Saliva on the Viscosity of Thickened Drinks. Dysphagia 2012, 27, 10–19. [Google Scholar] [CrossRef]
- Kim, H.; Hwang, H.I.; Song, K.W.; Lee, J. Sensory and Rheological Characteristics of Thickened Liquids Differing Concentrations of a Xanthan Gum-Based Thickener. J. Texture Stud. 2017, 48, 571–585. [Google Scholar] [CrossRef]
- Moret-Tatay, A.; Rodríguez-García, J.; Martí-Bonmatí, E.; Hernando, I.; Hernández, M.J. Commercial Thickeners Used by Patients with Dysphagia: Rheological and Structural Behaviour in Different Food Matrices. Food Hydrocoll. 2015, 51, 318–326. [Google Scholar] [CrossRef]
- Hadde, E.K.; Chen, J. Shear and Extensional Rheological Characterization of Thickened Fluid for Dysphagia Management. J. Food Eng. 2019, 245, 18–23. [Google Scholar] [CrossRef]
- Cichero, J.A.Y.; Lam, P.; Steele, C.M.; Hanson, B.; Chen, J.; Dantas, R.O.; Duivestein, J.; Kayashita, J.; Lecko, C.; Murray, J.; et al. Development of International Terminology and Definitions for Texture-Modified Foods and Thickened Fluids Used in Dysphagia Management: The IDDSI Framework. Dysphagia 2017, 32, 293–314. [Google Scholar] [CrossRef]
- Newman, R.; Vilardell, N.; Clavé, P.; Speyer, R. Effect of Bolus Viscosity on the Safety and Efficacy of Swallowing and the Kinematics of the Swallow Response in Patients with Oropharyngeal Dysphagia: White Paper by the European Society for Swallowing Disorders (ESSD). Dysphagia 2016, 31, 232. [Google Scholar] [CrossRef]
- Giura, L.; Urtasun, L.; Belarra, A.; Ansorena, D.; Astiasarán, I. Exploring Tools for Designing Dysphagia-Friendly Foods: A Review. Foods 2021, 10, 1334. [Google Scholar] [CrossRef] [PubMed]
- O’Leary, M.; Hanson, B.; Smith, C.H. Variation of the Apparent Viscosity of Thickened Drinks. Int. J. Lang. Commun. Disord. 2011, 46, 17–29. [Google Scholar] [CrossRef] [PubMed]
- Wang, Q.; Shi, A.; Shah, F. Rheology Instruments for Food Quality Evaluation. In Evaluation Technologies for Food Quality; Woodhead Publishing: Cambridge, UK, 2019; pp. 465–490. [Google Scholar] [CrossRef]
- Nicosia, M.A.; Robbins, J.A. The Usefulness of the Line Spread Test as a Measure of Liquid Consistency. Dysphagia 2007, 22, 306–311. [Google Scholar] [CrossRef] [PubMed]
- Park, J.H.; Kim, H.G.; Oh, B.M.; Lee, M.W.; Hwang, I.K.; Lee, S.U.; Han, T.R. Comparison of Different Gum-Based Thickeners Using a Viscometer and Line Spread Test: A Preliminary Study. Ann. Rehabil. Med. 2014, 38, 94–100. [Google Scholar] [CrossRef]
- Garcia, J.M.; Chambers, E.; Noll, K.S. Gravity Flow Test Comparisons for Mildly Thick Consistency. J. Texture Stud. 2020, 51, 308–313. [Google Scholar] [CrossRef]
- Alves, D.C.; Alves, N.A.; Dantas, R.O. Consistency Stability of Water Thickened with Maltodextrin, Xanthan Gum and Potassium Chloride. J. Texture Stud. 2017, 48, 530–533. [Google Scholar] [CrossRef]
- Quinchia, L.A.; Valencia, C.; Partal, P.; Franco, J.M.; Brito-de la Fuente, E.; Gallegos, C. Linear and Non-Linear Viscoelasticity of Puddings for Nutritional Management of Dysphagia. Food Hydrocoll. 2011, 25, 586–593. [Google Scholar] [CrossRef]
- Garin, N.; De Pourcq, J.T.; Martín-Venegas, R.; Cardona, D.; Gich, I.; Mangues, M.A. Viscosity Differences between Thickened Beverages Suitable for Elderly Patients with Dysphagia. Dysphagia 2014, 29, 483–488. [Google Scholar] [CrossRef]
- Wakita, M.; Masui, H.; Ichimaru, S.; Amagai, T. Determinant Factors of the Viscosity of Enteral Formulas. Nutr. Clin. Pract. 2012, 27, 82–90. [Google Scholar] [CrossRef]
- Clavé, P.; Arreola, V.; Romea, M.; Medina, L.; Palomera, E.; Serra-Prat, M. Accuracy of the Volume-Viscosity Swallow Test for Clinical Screening of Oropharyngeal Dysphagia and Aspiration. Clin. Nutr. 2008, 27, 806–815. [Google Scholar] [CrossRef]
- Watanabe, E.; Yamagata, Y.; Kogirima, M.; Miyamoto, K.I.; Kayashita, J. Development of a Simple and Objective Evaluation Method for Thickened Liquids Using Funnels. J. Texture Stud. 2017, 48, 198–204. [Google Scholar] [CrossRef] [PubMed]
- Kongjaroen, A.; Methacanon, P.; Gamonpilas, C. On the Assessment of Shear and Extensional Rheology of Thickened Liquids from Commercial Gum-Based Thickeners Used in Dysphagia Management. J. Food Eng. 2022, 316, 110820. [Google Scholar] [CrossRef]
- Creech, T.N.; Bailey-Van Kuren, M.; Sparks, J.; Becker, S.B.; Kou, R.S.N.; Wnek, O.C.; Scarborough, D.R. A Comparison of Measurements of a Pediatric Supplement. Dysphagia 2019, 34, 257–268. [Google Scholar] [CrossRef] [PubMed]
- Brooks, L.; Liao, J.; Ford, J.; Harmon, S.; Breedveld, V. Thickened Liquids Using Pureed Foods for Children with Dysphagia: IDDSI and Rheology Measurements. Dysphagia 2022, 37, 578–590. [Google Scholar] [CrossRef]
- Sei, H.; Yasuda, K.; Asayama, R.; Tanaka, K.; Oba, S.; Shidahara, M.; Hato, N. Development of a Simple Evaluation Instrument for Liquid Thickness Measurement. J. Texture Stud. 2022, 53, 81–85. [Google Scholar] [CrossRef]
- Hamada, Y.; Yoshida, T.; Kurihara, Y.; Watanabe, K. Handy Kitchen Liquid Food Viscometer Using a DC Motor as Actuator and Sensor. IEEE Access 2023, 11, 79096–79104. [Google Scholar] [CrossRef]
- Côté, C.; Giroux, A.; Villeneuve-Rhéaume, A.; Gagnon, C.; Germain, I. Is IDDSI an Evidence-Based Framework? A Relevant Question for the Frail Older Population. Geriatrics 2020, 5, 82. [Google Scholar] [CrossRef]
- Anil, M.; Durmus, Y.; Tarakci, Z. Effects of Different Concentrations of Guar, Xanthan and Locust Bean Gums on Physicochemical Quality and Rheological Properties of Corn Flour Tarhana. Nutr. Food Sci. 2021, 51, 137–150. [Google Scholar] [CrossRef]
- Kumai, Y.; Suzuki, I.; Tousen, Y.; Kondo, T.; Kayashita, J.; Chiba, T.; Furusho, T.; Takebayashi, J. Reliability in Viscosity Measurement of Thickening Agents for Dysphagia Management: Are Results Obtained by Cone-and-Plate Rheometers Reproducible between Laboratories? J. Texture Stud. 2022, 53, 315–322. [Google Scholar] [CrossRef]
- ISO 2431:2019; Paints and Varnishes—Determination of Flow Time by Use of Flow Cups. International Organization for Standardization: Geneva, Switzerland, 2019.
- Calmarza-Chueca, F.; Sánchez-Gimeno, A.C.; Raso-Pueyo, J.; Arbones-Mainar, J.M.; Caverni-Muñoz, A.; Sanz-Arque, A.; Sanz-Paris, A. Rheological Properties and Stability of Thickeners for Clinical Use. Nutrients 2022, 14, 3455. [Google Scholar] [CrossRef]
- National Dysphagia Diet Task Force (NDD). National Dysphagia Diet: Standardization for Optimal Care; American Dietetic Association: Chicago, IL, USA, 2002. [Google Scholar]
- Calmarza-Chueca, F.; Cristina-Sánchez-Gimeno, A.; Perez-Nogueras, J.; Caverni-Muñoz, A.; Sanz-Arque, A.; Arbones-Mainar, J.M.; Sanz-Paris, A. Institutionalized Elderly Are Able to Detect Small Viscosity Variations in Thickened Water with Gum-Based Thickeners: Should Texture Classifications Be Reviewed? BMC Geriatr. 2021, 21, 647. [Google Scholar] [CrossRef] [PubMed]
- Abu-Ghanem, S.; Chen, S.; Amin, M.R. Oropharyngeal Dysphagia in the Elderly: Evaluation and Prevalence. Curr. Otorhinolaryngol. Rep. 2020, 8, 34–42. [Google Scholar] [CrossRef]
- Sopade, P.A.; Halley, P.J.; Cichero, J.A.Y.; Ward, L.C. Rheological Characterisation of Food Thickeners Marketed in Australia in Various Media for the Management of Dysphagia. I: Water and Cordial. J. Food Eng. 2007, 79, 69–82. [Google Scholar] [CrossRef]







| IDDSI Level | Level 0 | Level 1–2 | Level 3 | Level 4 |
| Description | Thin | Slightly thick/Nectar-like | Moderately thick/Honey-like | Extremely thick/Pudding-like |
| Viscosity range (Pa·s) | 0.001–0.050 | 0.051–0.350 | 0.351–1.750 | >1.751 |
| GG | 0.5 | 1.0–1.5 | 2.4 | |
| XG | 0.5–1.0 | 1.5–4.0 | ||
| GG/XG | 0.5–1.0 | 1.5–2.0 | 2.5–4.0 | |
| M | 10.0–50.0 | |||
| M/GG/XG | 10.0 | 40.0–50.0 | ||
| CT | 0.5 | 1.0–4.0 | 4.5–8.5 |
Disclaimer/Publisher’s Note: The statements, opinions and data contained in all publications are solely those of the individual author(s) and contributor(s) and not of MDPI and/or the editor(s). MDPI and/or the editor(s) disclaim responsibility for any injury to people or property resulting from any ideas, methods, instructions or products referred to in the content. |
© 2025 by the authors. Licensee MDPI, Basel, Switzerland. This article is an open access article distributed under the terms and conditions of the Creative Commons Attribution (CC BY) license (https://creativecommons.org/licenses/by/4.0/).
Share and Cite
Marín-Sánchez, J.; Gimeno-Ruiz, S.; Berzosa, A.; Raso, J.; Sánchez-Gimeno, C. Measuring Viscosity and Consistency in Thickened Liquids for Dysphagia: Is There a Correlation Between Different Methods? Foods 2025, 14, 2384. https://doi.org/10.3390/foods14132384
Marín-Sánchez J, Gimeno-Ruiz S, Berzosa A, Raso J, Sánchez-Gimeno C. Measuring Viscosity and Consistency in Thickened Liquids for Dysphagia: Is There a Correlation Between Different Methods? Foods. 2025; 14(13):2384. https://doi.org/10.3390/foods14132384
Chicago/Turabian StyleMarín-Sánchez, Javier, Sofía Gimeno-Ruiz, Alejandro Berzosa, Javier Raso, and Cristina Sánchez-Gimeno. 2025. "Measuring Viscosity and Consistency in Thickened Liquids for Dysphagia: Is There a Correlation Between Different Methods?" Foods 14, no. 13: 2384. https://doi.org/10.3390/foods14132384
APA StyleMarín-Sánchez, J., Gimeno-Ruiz, S., Berzosa, A., Raso, J., & Sánchez-Gimeno, C. (2025). Measuring Viscosity and Consistency in Thickened Liquids for Dysphagia: Is There a Correlation Between Different Methods? Foods, 14(13), 2384. https://doi.org/10.3390/foods14132384

