Changes in the Volatile Profile, Fruity Flavor, and Rancidity in Virgin Olive Oils During Storage by Targeted and Untargeted Analytical Approaches
Abstract
1. Introduction
2. Materials and Methods
2.1. Reagents
2.2. Olive Oil Samples
2.3. Sensory Analysis
2.4. Sample Preparation for Headspace Analysis
2.5. HS-GC–IMS Analysis of VOO Samples
2.6. SPME-GC–MS Analysis of VOO Samples
2.7. FGC Analysis of the Volatile Fraction
2.8. Data Analysis
3. Results
3.1. Sensory Analysis Results
3.2. HS-GC–IMS Results
3.3. SPME-GC–MS Results
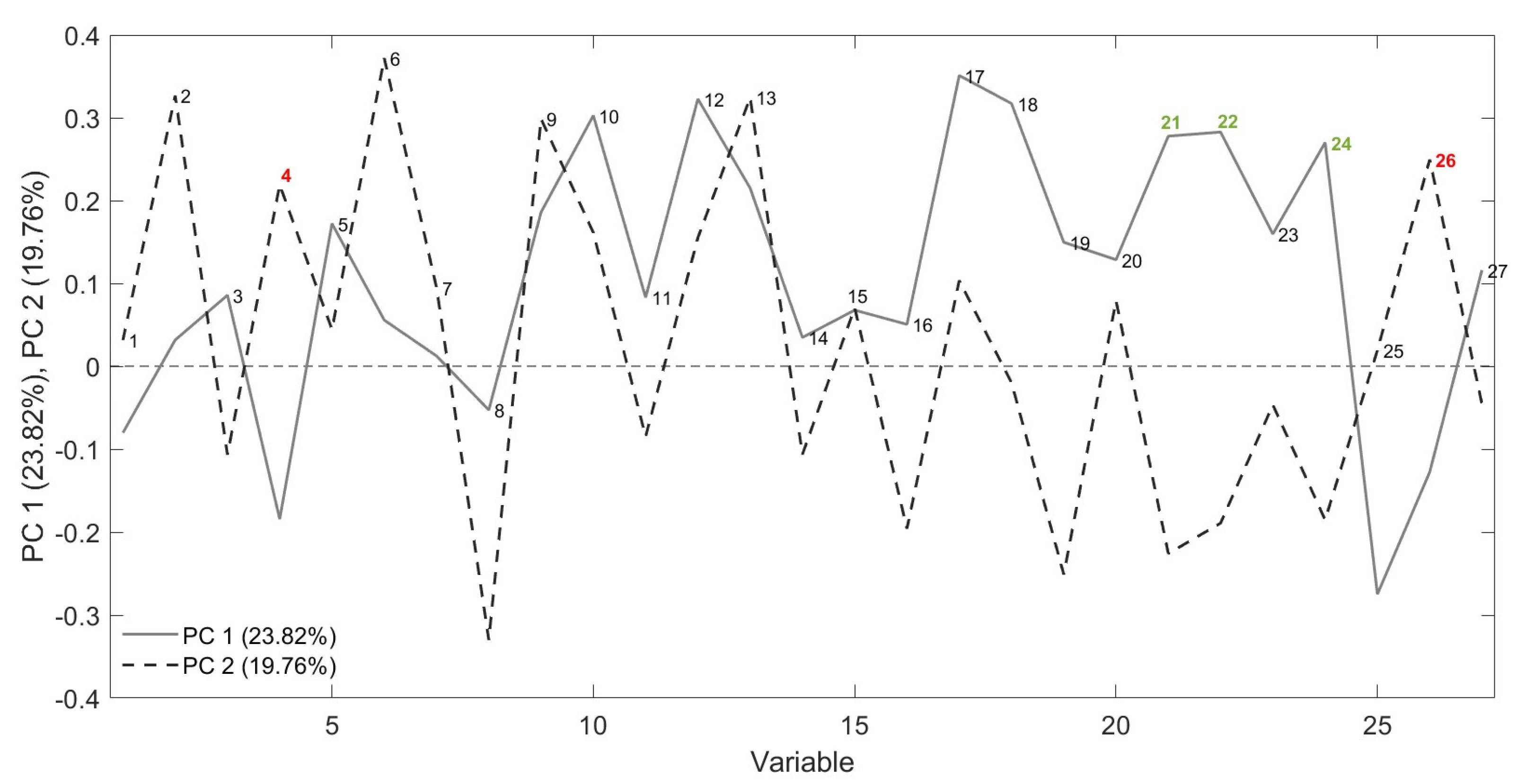
3.4. FGC Results
3.5. Correlations Between HS-GC–IMS, FGC, and SPME/GC–MS Data
4. Conclusions
Supplementary Materials
Author Contributions
Funding
Institutional Review Board Statement
Informed Consent Statement
Data Availability Statement
Acknowledgments
Conflicts of Interest
Abbreviations
| HS-GC–IMS | Headspace gas chromatography–ion mobility spectrometry |
| FGC | Flash gas chromatography |
| EU | European Union |
| EVOO | Extra virgin olive oil |
| VOO | Virgin olive oil |
| IN | Inconsistent |
| LOO | Lampante olive oil |
| IOC | International Olive Council |
| LRI | Linear retention indices |
| SPME-GC–MS | Solid-phase microextraction-gas chromatography–mass spectrometry |
| FID | Flame ionization detector |
| PCA | Principal Component Analysis |
| PLS-DA | Partial least squares discriminant analysis |
| LOX | Lipoxygenases |
| VOC | Volatile compound |
| PDO | Protected Designation of Origin |
References
- Regulation (EU) no 1169/2011 of the European Parliament and of the Council of 25 October 2011 on the Provision of Food Information to Consumers, Amending Regulations (EC) No 1924/2006 and (EC) No 1925/2006 of the European Parliament and of the Council, and Repealing Commission Directive 87/250/EEC, Council Directive 90/496/EEC, Commission Directive 1999/10/EC, Directive 2000/13/EC of the European Parliament and of the Council, Commission Directives 2002/67/EC and 2008/5/EC and Commission Regulation (EC) No 608/2004. Available online: https://eur-lex.europa.eu/eli/reg/2011/1169/2018-01-01 (accessed on 30 October 2024).
- Martín-Torres, S.; Tello-Jiménez, J.A.; López-Blanco, R.; González-Casado, A.; Cuadros-Rodríguez, L. Multivariate stability monitoring and shelf-life models of deterioration of vegetable oils under real time ageing conditions–Extra virgin olive oil as a main case of study. Food Packag. Shelf Life 2023, 37, 101070. [Google Scholar] [CrossRef]
- Commission Delegated Regulation (EU). 2022/2104 of 29 July 2022 Supplementing Regulation (EU) No 1308/2013 of the European Parliament and of the Council as Regards Marketing Standards for Olive Oil, and Repealing Commission Regulation (EEC) No 2568/91 and Commission Implementing Regulation (EU) No 29/2012. Official Journal of the European Union: Brussels, Belgium, 2022. Available online: https://eur-lex.europa.eu/legal-content/EN/TXT/?uri=CELEX%3A32022R2104 (accessed on 4 November 2024).
- Commission Implementing Regulation (EU) 2022/2105 of 29 July 2022 Laying down Rules on Conformity Checks of Marketing Standards for Olive Oil and Methods of Analysis of the Characteristics of Olive Oil. Off. J. Eur. Union 2022, L284, 23–48. Available online: https://eur-lex.europa.eu/eli/reg_impl/2022/2105/oj (accessed on 31 October 2024).
- Calligaris, S.; Lucci, P.; Milani, A.; Rovellini, P.; Lagazio, C.; Conte, L.; Nicoli, M.C. Application of accelerated shelf-life test (ASLT) procedure for the estimation of the shelf-life of extra virgin olive oils: A validation study. Food Packag. Shelf Life 2022, 34, 100990. [Google Scholar] [CrossRef]
- Seifollahi, F.; Eikani, M.H.; Khandan, N. Optimization of operating conditions for lampante olive oil deacidification by short path molecular distillation: Waste valorization approach. J. Clean. Prod. 2024, 454, 142304. [Google Scholar] [CrossRef]
- Garcia-Oliveira, P.; Jimenez-Lopez, C.; Lourenço-Lopes, C.; Chamorro, F.; Pereira, A.G.; Carrera-Casais, A.; Fraga-Corral, M.; Carpena, M.; Simal-Gandara, J.; Prieto, M.A. Evolution of flavors in extra virgin olive oil shelf-life. Antioxidants 2021, 10, 368. [Google Scholar] [CrossRef]
- Fiorini, D.; Boarelli, M.C.; Conti, P.; Alfei, B.; Caprioli, G.; Ricciutelli, M.; Sagratini, G.; Fedeli, D.; Gabbianelli, R.; Pacetti, D. Chemical and sensory differences between high price and low price extra virgin olive oils. Int. Food Res. 2018, 105, 65–75. [Google Scholar] [CrossRef]
- Mancebo-Campos, V.; Salvador, M.D.; Fregapane, G. Modelling virgin olive oil potential shelf-life from antioxidants and lipid oxidation progress. Antioxidants 2022, 11, 539. [Google Scholar] [CrossRef]
- Kanavouras, A.; Hernandez-Munoz, P.; Coutelieris, F.A. Packaging of olive oil: Quality issues and shelf life predictions. Food Rev. Int. 2006, 22, 381–404. [Google Scholar] [CrossRef]
- Esposto, S.; Selvaggini, R.; Taticchi, A.; Veneziani, G.; Sordini, B.; Servili, M. Quality evolution of extra-virgin olive oils according to their chemical composition during 22 months of storage under dark conditions. Food Chem. 2020, 311, 126044. [Google Scholar] [CrossRef]
- Morales, M.T.; Przybylski, R. Olive oil oxidation. In Handbook of Olive Oil: Analysis and Properties; Aparicio, R., Harwood, J., Eds.; Springer: Boston, MA, USA, 2013; pp. 479–522. ISBN 9781461477778. [Google Scholar]
- Angerosa, F. Influence of volatile compounds on virgin olive oil quality evaluated by analytical approaches and sensor panels. Eur. J. Lipid Sci. Technol. 2002, 104, 639–660. [Google Scholar] [CrossRef]
- Vichi, S.; Castellote, A.I.; Pizzale, L.; Conte, L.S.; Buxaderas, S.; López-Tamames, E. Analysis of virgin olive oil volatile compounds by headspace solid-phase microextraction coupled to gas chromatography with mass spectrometric and flame ionization detection. J. Chromatogr. A 2003, 983, 19–33. [Google Scholar] [CrossRef]
- Romero, I.; García-González, D.L.; Aparicio-Ruiz, R.; Morales, M.T. Validation of SPME–GCMS method for the analysis of virgin olive oil volatiles responsible for sensory defects. Talanta 2015, 134, 394–401. [Google Scholar] [CrossRef]
- Lechhab, T.; Lechhab, W.; Trovato, E.; Salmoun, F.; Mondello, L.; Cacciola, F. Screening of the volatile composition of Moroccan olive oils by using SPME/GC-MS-FID over a two-year period: A pedoclimatic discrimination. Horticulturae 2022, 8, 925. [Google Scholar] [CrossRef]
- Cecchi, L.; Migliorini, M.; Mulinacci, N. Virgin olive oil volatile compounds: Composition, sensory characteristics, analytical approaches, quality control, and authentication. J. Agric. Food Chem. 2021, 69, 2013–2040. [Google Scholar] [CrossRef]
- Ugolini, T.; Mattagli, F.; Melani, F.; Zanoni, B.; Migliorini, M.; Trapani, S.; Giambanelli, E.; Parenti, A.; Mulinacci, N.; Cecchi, L. HS-SPME-GC-MS and Chemo-metrics for the Quality Control and Clustering of Monovarietal Extra Virgin Olive Oil: A 3-Year Study on Terpenes and Pentene Dimers of Italian Cultivars. J. Agric. Food Chem. 2024, 72, 11124–11139. [Google Scholar] [CrossRef]
- Garrido-Delgado, R.; Dobao-Prieto, M.M.; Arce, L.; Aguilar, J.; Cumplido, J.L.; Valcarcel, M. Ion mobility spectrometry versus classical physico-chemical analysis for assessing the shelf life of extra virgin olive oil according to container type and storage conditions. J. Agric. Food Chem. 2015, 63, 2179–2188. [Google Scholar] [CrossRef]
- Capitain, C.; Weller, P. Non-targeted screening approaches for profiling of volatile organic compounds based on gas chromatography-ion mobility spectroscopy (GC-IMS) and machine learning. Molecules 2021, 26, 5457. [Google Scholar] [CrossRef]
- Barbieri, S.; Cevoli, C.; Bendini, A.; Quintanilla-Casas, B.; García-González, D.L.; Gallina Toschi, T. Flash gas chromatography in tandem with chemometrics: A rapid screening tool for quality grades of virgin olive oils. Foods 2020, 9, 862. [Google Scholar] [CrossRef]
- Damiani, T.; Cavanna, D.; Serani, A.; Dall’Asta, C.; Suman, M. GC-IMS and FGC-Enose fingerprint as screening tools for revealing extra virgin olive oil blending with soft-refined olive oils: A feasibility study. Microchem. J. 2020, 159, 105374. [Google Scholar] [CrossRef]
- Casadei, E.; Valli, E.; Bendini, A.; Barbieri, S.; Tucci, R.; Ferioli, F.; Gallina Toschi, T. Valorization of monovarietal Nostrana di Brisighella extra virgin olive oils: Focus on bioactive compounds. Front. Nutr. 2024, 11, 1353832. [Google Scholar] [CrossRef]
- International Olive Council (IOC). Sensory Analysis of Olive Oil—Method for the Organoleptic Assessment of Virgin Olive Oil; International Olive Council (IOC): Madrid, Spain, 2018. [Google Scholar]
- Casadei, E.; Valli, E.; Aparicio-Ruiz, R.; Ortiz-Romero, C.; García-González, D.L.; Vichi, S.; Quintanilla-Casas, B.; Tres, A.; Bendini, A.; Gallina Toschi, T. Peer inter-laboratory validation study of a harmonized SPME-GC-FID method for the analysis of selected volatile compounds in virgin olive oils. Food Control 2021, 123, 107823. [Google Scholar] [CrossRef]
- Aparicio-Ruiz, R.; Ortiz-Romero, C.; Casadei, E.; García-González, D.L.; Servili, M.; Selvaggini, R.; Lacoste, F.; Escobessa, J.; Vichi, S.; Quintanilla-Casas, B.; et al. Collaborative peer validation of a harmonized SPME-GC-MS method for analysis of selected volatile compounds in virgin olive oils. Food Control 2022, 135, 108756. [Google Scholar] [CrossRef]
- Valli, E.; Panni, F.; Casadei, E.; Barbieri, S.; Cevoli, C.; Bendini, A.; García-González, D.L.; Gallina Toschi, T. An HS-GC-IMS method for the quality classification of virgin olive oils as screening support for the panel test. Foods 2020, 9, 657. [Google Scholar] [CrossRef]
- Morales, M.T.; Luna, G.; Aparicio, R. Comparative study of virgin olive oil sensory defects. Food Chem. 2005, 91, 293–301. [Google Scholar] [CrossRef]
- Morales, M.T.; Aparicio-Ruiz, R.; Aparicio, R. Chromatographic Methodologies: Compounds for Olive Oil Odor Issues. In Handbook of Olive Oil: Analysis and Properties; Aparicio, R., Harwood, J., Eds.; Springer: Boston, MA, USA, 2015; pp. 261–309. ISBN 9781461477778. [Google Scholar]
- Ríos-Reina, R.; Aparicio-Ruiz, R.; Morales, M.T.; García-González, D.L. Contribution of Specific Volatile Markers to Green and Ripe Fruity Attributes in Extra Virgin Olive Oils Studied with Three Analytical Methods. Food Chem. 2023, 399, 133942. [Google Scholar] [CrossRef]
- The LRI and Odour Database on the Web. Available online: https://www.odour.org.uk/lriindex.html?i=1 (accessed on 4 July 2024).
- Genovese, A.; Caporaso, N.; Sacchi, R. Flavor Chemistry of Virgin Olive Oil: An Overview. Appl. Sci. 2021, 11, 1639. [Google Scholar] [CrossRef]
- Melucci, D.; Bendini, A.; Tesini, F.; Barbieri, S.; Zappi, A.; Vichi, S.; Conte, L.; Gallina Toschi, T. Rapid direct analysis to discriminate geographic origin of extra virgin olive oils by flash gas chromatography electronic nose and chemometrics. Food Chem. 2016, 204, 263–273. [Google Scholar] [CrossRef]
- De Santis, D.; Ferri, S.; Milana, G.; Turchetti, G.; Modesti, M. Stability of monovarietal Sicilian olive oils under different storage condition: Chemical composition, sensory characteristics, and consumer preference. Heliyon 2024, 10, 9. [Google Scholar] [CrossRef]
- Freitas, F.; Cabrita, M.J.; da Silva, M.G. Early Identification of Olive Oil Defects throughout Shelf Life. Separations 2024, 11, 167. [Google Scholar] [CrossRef]
- Asami, D.K.; Hong, Y.J.; Barrett, D.M.; Mitchell, A.E. Comparison of the total phenolic and ascorbic acid content of freeze-dried and air-dried marionberry, strawberry, and corn grown using conventional, organic, and sustainable agricultural practices. J. Agric. Food Chem. 2003, 51, 1237–1241. [Google Scholar] [CrossRef]
- Chinnici, F.; Bendini, A.; Gaiani, A.; Riponi, C. Radical scavenging activities of peels and pulps from cv. Golden Delicious apples as related to their phenolic composition. J. Agric. Food Chem. 2004, 52, 4684–4689. [Google Scholar] [CrossRef]
- Pino, C.; Sepulveda, B.; Tapia, F.; Saavedra, J.; Garcia-Gonzalez, D.L.; Romero, N. The Impact of Mild Frost Occurring at Different Harvesting Times on the Volatile and Phenolic Composition of Virgin Olive Oil. Antioxidants 2022, 11, 852. [Google Scholar] [CrossRef]
- Carrapiso, A.I.; Rubio, A.; Sánchez-Casas, J.; Martín, L.; Martínez-Cañas, M.; de Miguel, C. Effect of the organic production and the harvesting method on the chemical quality and the volatile compounds of virgin olive oil over the harvesting season. Foods 2020, 9, 1766. [Google Scholar] [CrossRef]
- Aparicio-Ruiz, R.; Casadei, E.; Ortiz-Romero, C.; García-González, D.L.; Servili, M.; Selvaggini, R.; Lacoste, F.; Escobessa, J.; Vichi, S.; Quintanilla-Casas, B.; et al. Method for the analysis of volatile compounds in virgin olive oil by SPME-GC-MS or SPME-GC-FID. MethodsX 2023, 10, 101972. [Google Scholar] [CrossRef]
- Sanmartin, C.; Venturi, F.; Sgherri, C.; Nari, A.; Macaluso, M.; Flamini, G.; Quartacci, M.F.; Taglieri, I.; Andrich, G.; Zinnai, A. The effects of packaging and storage temperature on the shelf-life of extra virgin olive oil. Heliyon 2018, 4, e00888. [Google Scholar] [CrossRef]
- Ul Hassan, M.N.; Zainal, Z.; Ismail, I. Green leaf volatiles: Biosynthesis, biological functions and their applications in biotechnology. Plant Biotechnol. J. 2015, 13, 727–739. [Google Scholar] [CrossRef]
- Angerosa, F.; Servili, M.; Selvaggini, R.; Taticchi, A.; Esposto, S.; Montedoro, G. Volatile compounds in virgin olive oil: Occurrence and their relationship with the quality. J. Chromatogr. A 2004, 1054, 17–31. [Google Scholar] [CrossRef]
- Lima, A.F.; da Silva Oliveira, W.; de Oliveira Garcia, A.; Vicente, E.; Godoy, H.T. Identifying markers volatiles in Brazilian virgin oil by multiple headspace solid-phase microextraction, and chemometrics tools. Food Res. Int. 2023, 167, 112697. [Google Scholar] [CrossRef]
- Brilhante, N.S.; Faria-Machado, A.F.; Antoniassi, R.; Gama, P.E.; Bizzo, H.R. Monitoring the Profile of Volatile Compounds During the Storage of Extra Virgin Olive Oils Produced in Brazil from the Koroneiki Variety Using the HS-SPME Technique. Food Anal. Methods 2022, 15, 1508–1520. [Google Scholar] [CrossRef]
- Malheiro, R.; Casal, S.; Rodrigues, N.; Renard, C.M.; Pereira, J.A. Volatile changes in cv. Verdeal Transmontana olive oil: From the drupe to the table, including storage. Food Res. Int. 2018, 106, 374–382. [Google Scholar] [CrossRef]
- Li, X.; Wang, S.C. Shelf life of extra virgin olive oil and its prediction models. J. Food Qual. 2018, 2018, 1639260. [Google Scholar] [CrossRef]
- Frankel, E.N. Volatile lipid oxidation products. Prog. Lipid Res. 1983, 22, 1–33. [Google Scholar] [CrossRef]
- Caipo, L.; Sandoval, A.; Sepúlveda, B.; Fuentes, E.; Valenzuela, R.; Metherel, A.H.; Romero, N. Effect of storage conditions on the quality of arbequina extra virgin olive oil and the impact on the composition of flavor-related compounds (phenols and volatiles). Foods 2021, 10, 2161. [Google Scholar] [CrossRef] [PubMed]
- Gungoren, M. Phytochemical Factor Analysis of Some Extra Virgin Olive Oils (Olivae oleum) and the Effects of Storage Under Different Conditions—Simulating General Consumer Behavior. Food Anal. Methods 2024, 17, 1754–1769. [Google Scholar] [CrossRef]
- Raffo, A.; Bucci, R.; D’Aloise, A.; Pastore, G. Combined effects of reduced malaxation oxygen levels and storage time on extra-virgin olive oil volatiles investigated by a novel chemometric approach. Food Chem. 2015, 182, 257–267. [Google Scholar] [CrossRef]










| Sample | EVOO vs. No-EVOO | LOO vs. No-LOO | LOO vs. VOO | EVOO vs. VOO | Resulting Category |
|---|---|---|---|---|---|
| 1A_T0_VS | 0.79 | 0.13 | 0.07 | 0.86 | EVOO |
| 1B_T0_VS | 0.77 | 0.11 | 0.06 | 0.89 | EVOO |
| 2A_T0_VS | 0.73 | 0.31 | 0.17 | 0.71 | EVOO |
| 2B_T0_VS | 0.85 | 0.31 | 0.11 | 0.89 | EVOO |
| 3A_T0_VS | 0.73 | 0.31 | 0.18 | 0.70 | EVOO |
| 3B_T0_VS | 0.88 | 0.18 | 0.06 | 0.88 | EVOO |
| 4A_T0_VS | 0.74 | 0.31 | 0.18 | 0.69 | EVOO |
| 4B_T0_VS | 0.88 | 0.31 | 0.18 | 0.85 | EVOO |
| 1A_T6_VS | 0.82 | 0.08 | 0.07 | 0.93 | EVOO |
| 1B_T6_VS | 0.87 | 0.07 | 0.08 | 0.96 | EVOO |
| 1A_T6_VB | 0.80 | 0.10 | 0.06 | 0.88 | EVOO |
| 1B_T6_VB | 0.89 | 0.07 | 0.11 | 0.94 | EVOO |
| 2A_T6_VS | 0.76 | 0.16 | 0.07 | 0.81 | EVOO |
| 2B_T6_VS | 0.86 | 0.13 | 0.06 | 0.92 | EVOO |
| 3A_T6_VS | 0.78 | 0.31 | 0.18 | 0.78 | EVOO |
| 3B_T6_VS | 0.91 | 0.08 | 0.08 | 0.92 | EVOO |
| 4A_T6_VS | 0.78 | 0.31 | 0.18 | 0.74 | EVOO |
| 4B_T6_VS | 0.90 | 0.28 | 0.08 | 0.90 | EVOO |
| 4A_T6_VB | 0.80 | 0.25 | 0.11 | 0.79 | EVOO |
| 4B_T6_VB | 0.90 | 0.24 | 0.08 | 0.92 | EVOO |
| 1A_T12_VS | 0.64 | 0.21 | 0.51 | 0.35 | IN |
| 1B_T12_VS | 0.85 | 0.09 | 0.23 | 0.92 | EVOO |
| 1A_T12_VB | 0.67 | 0.14 | 0.23 | 0.28 | IN |
| 1B_T12_VB | 0.84 | 0.08 | 0.18 | 0.88 | EVOO |
| 2A_T12_VS | 0.64 | 0.10 | 0.06 | 0.47 | IN |
| 2B_T12_VS | 0.43 | 0.16 | 0.40 | 0.21 | VOO * |
| 3A_T12_VS | 0.55 | 0.07 | 0.07 | 0.19 | IN |
| 3B_T12_VS | 0.88 | 0.07 | 0.18 | 0.71 | EVOO |
| 4A_T12_VS | 0.74 | 0.19 | 0.10 | 0.62 | EVOO |
| 4B_T12_VS | 0.79 | 0.07 | 0.10 | 0.33 | IN |
| 4A_T12_VB | 0.59 | 0.08 | 0.06 | 0.29 | IN |
| 4B_T12_VB | 0.80 | 0.12 | 0.07 | 0.51 | EVOO |
| Volatile Markers | T0 | T6 | T12 |
|---|---|---|---|
| Concentration (mg/kg) | |||
| pentanal | 0.00 a | 0.10 b | 0.22 c |
| hexanal | 0.71 a | 1.18 b | 2.20 c |
| (E)-2-heptenal | 0.00 a | 0.00 a | 0.056 b |
| nonanal | 0.00 a | 0.05 b | 0.06 b |
| (E,E)-2,4-heptadienal | 0.00 a | 0.07 b | 0.24 c |
| formic acid | 0.00 a | 0.00 a | 1.09 b |
| propanoic acid | 0.00 a | 0.00 a | 0.07 b |
| 4,8-dimethyl-1,7-nonadiene | 0.74 a | 0.69 a | 0.00 b |
| (Z)-3-hexenal | 0.60 a | 0.28 b | 0.13 c |
| (Z)-3-hexenyl acetate | 0.04 a | 0.00 b | 0.00 b |
| VOC | Peak Number | FGC Retention Time | r |
|---|---|---|---|
| methanol | 2 | 20.57 | 0.77 |
| ethanol | 3 | 22.63 | 0.72 |
| (Σ) 3-ethyl-1,5-octadiene | 4 | 24.46 | 0.72 |
| (Z)-3-hexenyl acetate | 21 | 95.76 | 0.76 |
Disclaimer/Publisher’s Note: The statements, opinions and data contained in all publications are solely those of the individual author(s) and contributor(s) and not of MDPI and/or the editor(s). MDPI and/or the editor(s) disclaim responsibility for any injury to people or property resulting from any ideas, methods, instructions or products referred to in the content. |
© 2025 by the authors. Licensee MDPI, Basel, Switzerland. This article is an open access article distributed under the terms and conditions of the Creative Commons Attribution (CC BY) license (https://creativecommons.org/licenses/by/4.0/).
Share and Cite
Tucci, R.; Cevoli, C.; Bendini, A.; Barbieri, S.; Casadei, E.; Valli, E.; Gallina Toschi, T. Changes in the Volatile Profile, Fruity Flavor, and Rancidity in Virgin Olive Oils During Storage by Targeted and Untargeted Analytical Approaches. Foods 2025, 14, 1884. https://doi.org/10.3390/foods14111884
Tucci R, Cevoli C, Bendini A, Barbieri S, Casadei E, Valli E, Gallina Toschi T. Changes in the Volatile Profile, Fruity Flavor, and Rancidity in Virgin Olive Oils During Storage by Targeted and Untargeted Analytical Approaches. Foods. 2025; 14(11):1884. https://doi.org/10.3390/foods14111884
Chicago/Turabian StyleTucci, Rosalba, Chiara Cevoli, Alessandra Bendini, Sara Barbieri, Enrico Casadei, Enrico Valli, and Tullia Gallina Toschi. 2025. "Changes in the Volatile Profile, Fruity Flavor, and Rancidity in Virgin Olive Oils During Storage by Targeted and Untargeted Analytical Approaches" Foods 14, no. 11: 1884. https://doi.org/10.3390/foods14111884
APA StyleTucci, R., Cevoli, C., Bendini, A., Barbieri, S., Casadei, E., Valli, E., & Gallina Toschi, T. (2025). Changes in the Volatile Profile, Fruity Flavor, and Rancidity in Virgin Olive Oils During Storage by Targeted and Untargeted Analytical Approaches. Foods, 14(11), 1884. https://doi.org/10.3390/foods14111884

