Grape Skin Composting Process to Recycle Food Waste: Kinetics and Optimization
Abstract
1. Introduction
2. Materials and Methods
2.1. Materials
2.1.1. Grape Skin
2.1.2. Chemicals
2.2. Methods
2.2.1. Composting Process
2.2.2. Physicochemical Analysis of the Compost Samples
Moisture and Dry Matter Content of Compost Samples
Total Organic Matter and Ash Content of Compost Samples
Carbon and Nitrogen Content of Compost Samples
pH, Conductivity and Total Dissolved Solids of Compost Samples
Color Change of the Compost Samples and Compost Extracts
2.2.3. Microbiological Analysis of the Composting Process
2.2.4. Study of the Germination Index (GI)
2.2.5. Bulk Density and Porosity of the Compost
2.2.6. Statistical Analysis
2.2.7. Organic Matter Degradation Kinetics
2.2.8. Optimization of Composting Process Conditions Using Response Surface Method
3. Results and Discussion
3.1. Composting Temperature
3.2. Physicochemical Analysis of the Compost Samples
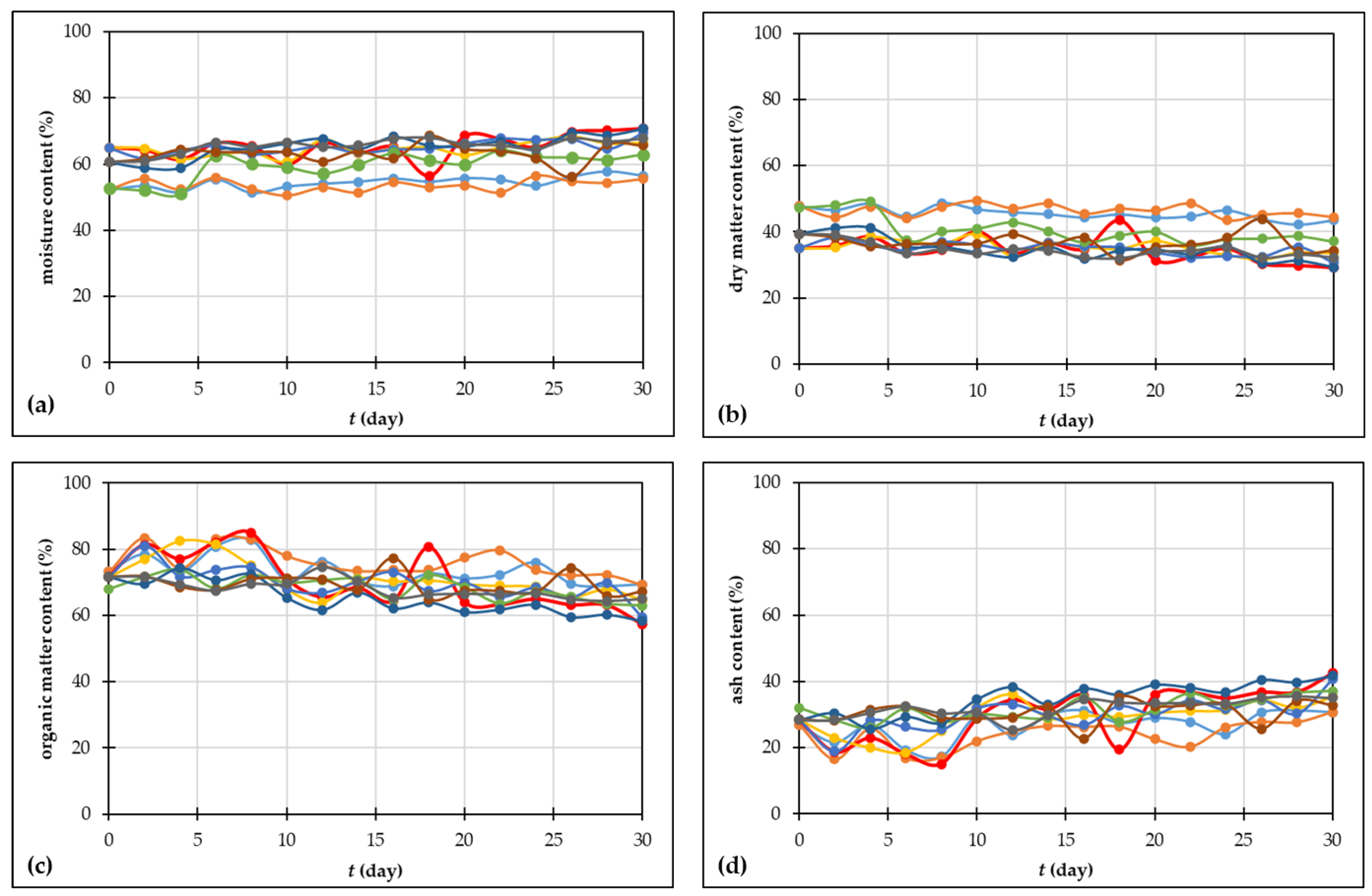
3.2.1. Moisture Content and Dry Matter Content
3.2.2. Organic Matter Content and Ash Content
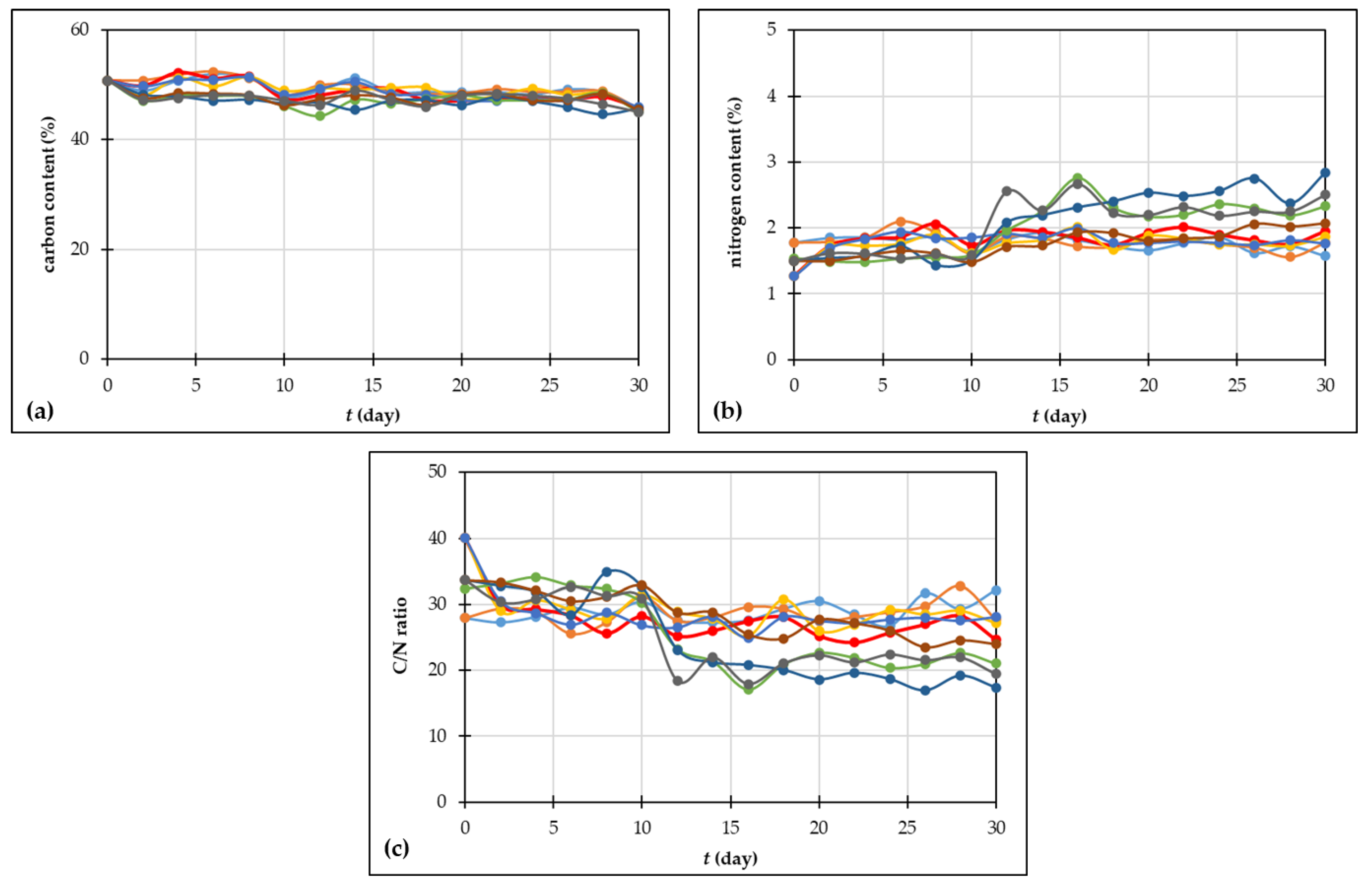
3.2.3. Total Carbon and Nitrogen Content, C/N Ratio
3.2.4. Total Color Change of Compost Samples and Corresponding Extracts
3.2.5. pH, Total Dissolved Solids and Conductivity
3.3. Microbiology of the Composting Process
3.4. Germination Index (GI)
3.5. Bulk Density and Porosity of Compost
3.6. Kinetics of Organic Matter Degradation
3.7. Optimization of Composting Conditions
4. Conclusions
Supplementary Materials
Author Contributions
Funding
Institutional Review Board Statement
Informed Consent Statement
Data Availability Statement
Acknowledgments
Conflicts of Interest
References
- Moreno, A.D.; Ballesteros, M.; Negro, M.J. Biorefineries for the Valorization of Food Processing Waste. In The Interaction of Food Industry and Environment, 1st ed.; Galanakis, C., Ed.; Academic Press: London, UK, 2020; pp. 155–190. ISBN 9780128164495. [Google Scholar]
- Chowdhary, P.; Gupta, A.; Gnansounou, E.; Pandey, A.; Chaturvedi, P. Current Trends and Possibilities for Exploitation of Grape Pomace as a Potential Source for Value Addition. Environ. Pollut. 2021, 278, 116796. [Google Scholar] [CrossRef]
- Perra, M.; Bacchetta, G.; Muntoni, A.; De Gioannis, G.; Castangia, I.; Rajha, H.N.; Manca, M.L.; Manconi, M. An Outlook on Modern and Sustainable Approaches to the Management of Grape Pomace by Integrating Green Processes, Biotechnologies and Advanced Biomedical Approaches. J. Funct. Foods 2022, 98, 105276. [Google Scholar] [CrossRef]
- Spinei, M.; Oroian, M. The Potential of Grape Pomace Varieties as a Dietary Source of Pectic Substances. Foods 2021, 10, 867. [Google Scholar] [CrossRef]
- Ahmad, B.; Yadav, V.; Yadav, A.; Rahman, M.U.; Yuan, W.Z.; Li, Z.; Wang, X. Integrated Biorefinery Approach to Valorize Winery Waste: A Review from Waste to Energy Perspectives. Sci. Total Environ. 2020, 719, 137315. [Google Scholar] [CrossRef]
- Sayara, T.; Basheer-Salimia, R.; Hawamde, F.; Sánchez, A. Recycling of Organic Wastes through Composting: Process Performance and Compost Application in Agriculture. Agronomy 2020, 10, 1838. [Google Scholar] [CrossRef]
- Waqas, M.; Hashim, S.; Humphries, U.W.; Ahmad, S.; Noor, R.; Shoaib, M.; Naseem, A.; Hlaing, P.T.; Lin, H.A. Composting Processes for Agricultural Waste Management: A Comprehensive Review. Processes 2023, 11, 731. [Google Scholar] [CrossRef]
- Siles-Castellano, A.B.; López, M.J.; López-González, J.A.; Suárez-Estrella, F.; Jurado, M.M.; Estrella-González, M.J.; Moreno, J. Comparative Analysis of Phytotoxicity and Compost Quality in Industrial Composting Facilities Processing Different Organic Wastes. J. Clean. Prod. 2020, 252, 119820. [Google Scholar] [CrossRef]
- Kulcu, R. New Kinetic Modelling Parameters for Composting Process. J. Mater. Cycles Waste Manag. 2016, 18, 734–741. [Google Scholar] [CrossRef]
- Qasim, W.; Moon, B.E.; Okyere, F.G.; Khan, F.; Nafees, M.; Kim, H.T. Influence of Aeration Rate and Reactor Shape on the Composting of Poultry Manure and Sawdust. J. Air Waste Manag. Assoc. 2019, 69, 633–645. [Google Scholar] [CrossRef] [PubMed]
- Oviedo-Ocaña, E.R.; Abendroth, C.; Domínguez, I.C.; Sánchez, A.; Dornack, C. Life Cycle Assessment of Biowaste and Green Waste Composting Systems: A Review of Applications and Implementation Challenges. Waste Manag. 2023, 171, 350–364. [Google Scholar] [CrossRef] [PubMed]
- Siles-Castellano, A.B.; López-González, J.A.; Suárez-Estrella, F.; López, M.J.; Jurado, M.M.; Estrella-González, M.J. Compost Quality and Sanitation on Industrial Scale Composting of Municipal Solid Waste and Sewage Sludge. Appl. Sci. 2021, 11, 7525. [Google Scholar] [CrossRef]
- Ghanney, P.; Yeboah, S.; Anning, D.K.; Yang, H.; Wang, Y.; Qiu, H. Moisture-Induced Effects on Lignocellulosic and Humification Fractions in Aerobically Composted Straw and Manure. Fermentation 2023, 9, 551. [Google Scholar] [CrossRef]
- Waqas, M.; Nizami, A.S.; Aburiazaiza, A.S.; Barakat, M.A.; Rashid, M.I.; Ismail, I.M.I. Optimizing the Process of Food Waste Compost and Valorizing Its Applications: A Case Study of Saudi Arabia. J. Clean. Prod. 2018, 176, 426–438. [Google Scholar] [CrossRef]
- Baptista, M.; Antunes, F.; Silveira, A. Diagnosis and Optimization of the Composting Process in Full-Scale Mechanical-Biological Treatment Plants. Waste Manag. Res. 2011, 29, 565–573. [Google Scholar] [CrossRef]
- Mohammad, N.; Alam, M.Z.; Kabashi, N.A. Optimization of Effective Composting Process of Oil Palm Industrial Waste by Lignocellulolytic Fungi. J. Mater. Cycles Waste Manag. 2015, 17, 91–98. [Google Scholar] [CrossRef]
- Paredes, C.; Moreno-Caselles, J.; Agulló, E.; Andreu-Rodriguez, J.; Torres-Climent, A.; Bustamante, M.A. Optimization of Medlar Pruning Waste Composting Process by Cattle Manure Addition. Commun. Soil Sci. Plant Anal. 2015, 46, 228–237. [Google Scholar] [CrossRef]
- Sarkar, S.; Pal, S.; Chanda, S. Optimization of a Vegetable Waste Composting Process with a Significant Thermophilic Phase. Procedia Environ. Sci. 2016, 35, 435–440. [Google Scholar] [CrossRef]
- Abdel-Rahman, M.A.; Hassan, S.E.D.; El-Din, M.N.; Azab, M.S.; El-Belely, E.F.; Alrefaey, H.M.A.; Elsakhawy, T. One-Factor-at-a-Time and Response Surface Statistical Designs for Improved Lactic Acid Production from Beet Molasses by Enterococcus Hirae Ds10. SN Appl. Sci. 2020, 2, 573. [Google Scholar] [CrossRef]
- Bezerra, M.A.; Santelli, R.E.; Oliveira, E.P.; Villar, L.S.; Escaleira, L.A. Response Surface Methodology (RSM) as a Tool for Optimization in Analytical Chemistry. Talanta 2008, 76, 965–977. [Google Scholar] [CrossRef]
- Riswanto, F.D.O.; Rohman, A.; Pramono, S.; Martono, S. Application of Response Surface Methodology as Mathematical and Statistical Tools in Natural Product Research. J. Appl. Pharm. Sci. 2019, 9, 125–133. [Google Scholar] [CrossRef]
- Brzezińska, R.; Wirkowska-Wojdyła, M.; Piasecka, I.; Górska, A. Application of Response Surface Methodology to Optimize the Extraction Process of Bioactive Compounds Obtained from Coffee Silverskin. Appl. Sci. 2023, 13, 5388. [Google Scholar] [CrossRef]
- Iqbal, M.K.; Nadeem, A.; Sherazi, F.; Khan, R.A. Optimization of Process Parameters for Kitchen Waste Composting by Response Surface Methodology. Int. J. Environ. Sci. Technol. 2015, 12, 1759–1768. [Google Scholar] [CrossRef]
- Sayara, T.; Sarrà, M.; Sánchez, A. Optimization and Enhancement of Soil Bioremediation by Composting Using the Experimental Design Technique. Biodegradation 2010, 21, 345–356. [Google Scholar] [CrossRef] [PubMed]
- Cabeza, I.O.; López, R.; Ruiz-Montoya, M.; Díaz, M.J. Maximising Municipal Solid Waste-Legume Trimming Residue Mixture Degradation in Composting by Control Parameters Optimization. J. Environ. Manag. 2013, 128, 266–273. [Google Scholar] [CrossRef] [PubMed]
- Mohd Sokri, S.S.; Tee, T.P.; Nurin, A.M.Y.; Azhar, S.; Nayan, N.; Hj Suyub, I.B. Optimization on Co-Composting of Horse Manure with Pineapple Waste Composition Using Response Surface Methodology (RSM). IOP Conf. Ser. Earth Environ. Sci. 2023, 1160, 012026. [Google Scholar] [CrossRef]
- Younesi, H.; Mahdad, F.; Bahramifar, N.; Hadavifar, M. Optimization of Compost Leachate Treatment Using Advanced Oxidation Process (H2O2/UV). Modares Civ. Eng. J. 2017, 17, 247–258. [Google Scholar]
- Sharma, D.; Yadav, K.D.; Kumar, S. Biotransformation of Flower Waste Composting: Optimization of Waste Combinations Using Response Surface Methodology. Bioresour. Technol. 2018, 270, 198–207. [Google Scholar] [CrossRef]
- Kazemi, K.; Zhang, B.; Lye, L.M.; Cai, Q.; Cao, T. Design of Experiment (DOE) Based Screening of Factors Affecting Municipal Solid Waste (MSW) Composting. Waste Manag. 2016, 58, 107–117. [Google Scholar] [CrossRef]
- Sokač Cvetnić, T.; Krog, K.; Benković, M.; Jurina, T.; Valinger, D.; Radojčić Redovniković, I.; Gajdoš Kljusurić, J.; Jurinjak Tušek, A. Application of Near-Infrared Spectroscopy for Monitoring and/or Control of Composting Processes. Appl. Sci. 2023, 13, 6419. [Google Scholar] [CrossRef]
- Xie, S.; Tran, H.T.; Pu, M.; Zhang, T. Transformation Characteristics of Organic Matter and Phosphorus in Composting Processes of Agricultural Organic Waste: Research Trends. Mater. Sci. Energy Technol. 2023, 6, 331–342. [Google Scholar] [CrossRef]
- Duan, H.; Ji, M.; Xie, Y.; Shi, J.; Liu, L.; Zhang, B.; Sun, J. Exploring the Microbial Dynamics of Organic Matter Degradation and Humification during Co-Composting of Cow Manure and Bedding Material Waste. Sustainability 2021, 13, 3035. [Google Scholar] [CrossRef]
- Hamelers, H.V.M. Modeling Composting Kinetics: A Review of Approaches. Rev. Environ. Sci. Biotechnol. 2004, 3, 331–342. [Google Scholar] [CrossRef]
- Aviezer, Y.; Lahav, O. Determining the Kinetic Constants Leading to Mineralization of Dilute Carbamazepine and Estradiol-Containing Solutions under Continuous Supercritical Water Oxidation Conditions. J. Hazard. Mater. 2022, 422, 126797. [Google Scholar] [CrossRef]
- Abu Qdais, H.; Al-Widyan, M. Evaluating Composting and Co-Composting Kinetics of Various Agro-Industrial Wastes. Int. J. Recycl. Org. Waste Agric. 2016, 5, 273–280. [Google Scholar] [CrossRef]
- Ebrahimzadeh, R.; Ghazanfari Moghaddam, A.; Sarcheshmehpour, M.; Mortezapour, H. A Novel Kinetic Modeling Method for the Stabilization Phase of the Composting Process for Biodegradation of Solid Wastes. Waste Manag. Res. 2017, 35, 1226–1236. [Google Scholar] [CrossRef] [PubMed]
- De Medina-Salas, L.; Castillo-González, E.; Giraldi-Díaz, M.R.; Blanco-Pérez, B. Reaction Kinetics in the Vermicomposting Process of Peach Waste. Life 2022, 12, 1290. [Google Scholar] [CrossRef] [PubMed]
- Baptista, M.; Antunes, F.; Gonçalves, M.S.; Morvan, B.; Silveira, A. Composting Kinetics in Full-Scale Mechanical-Biological Treatment Plants. Waste Manag. 2010, 30, 1908–1921. [Google Scholar] [CrossRef]
- Ezemagu, I.G.; Ejimofor, M.I.; Menkiti, M.C.; Diyoke, C. Biofertilizer Production via Composting of Digestate Obtained from Anaerobic Digestion of Post Biocoagulation Sludge Blended with Saw Dust: Physiochemical Characterization and Kinetic Study. Environ. Chall. 2021, 5, 100288. [Google Scholar] [CrossRef]
- Ugak, M.A.M.; Aji, N.A.S.; Yaser, A.Z.; Lamaming, J.; Rajin, M.; Saalah, S. Food Waste-Dry Leaves Composting: Mixture Formulation, Turning Frequency and Kinetic Analysis. Borneo Sci. J. Sci. Technol. 2023, 43. [Google Scholar] [CrossRef]
- Yu, H.; Huang, G.H. Effects of Sodium Acetate as a PH Control Amendment on the Composting of Food Waste. Bioresour. Technol. 2009, 100, 2005–2011. [Google Scholar] [CrossRef]
- Chan, M.T.; Selvam, A.; Wong, J.W.C. Reducing Nitrogen Loss and Salinity during “struvite” Food Waste Composting by Zeolite Amendment. Bioresour. Technol. 2016, 200, 838–844. [Google Scholar] [CrossRef] [PubMed]
- Waqas, M.; Nizami, A.S.; Aburiazaiza, A.S.; Barakat, M.A.; Ismail, I.M.I.; Rashid, M.I. Optimization of Food Waste Compost with the Use of Biochar. J. Environ. Manag. 2018, 216, 70–81. [Google Scholar] [CrossRef] [PubMed]
- Lovreškov, L.; Radojčić Redovniković, I.; Limić, I.; Potočić, N.; Seletković, I.; Marušić, M.; Butorac, L.; Jurinjak Tušek, A.; Jakovljević, T. Are Foliar Nutrition Status and Indicators of Oxidative Stress Associated with Tree Defoliation of Four Mediterranean. Plants 2022, 11, 3484. [Google Scholar] [CrossRef] [PubMed]
- Palechor-Tróchez, J.J.; Ordoñez Santos, L.E.; Villada-Castillo, H.S. Relationship between Color CIELab and Total Organic Carbon in Compost. Adv. Mater. Sci. Eng. 2018, 2018. [Google Scholar] [CrossRef]
- Sokač, T.; Šalić, A.; Kučić Grgić, D.; Šabić Runjavec, M.; Vidaković, M.; Jurinjak Tušek, A.; Horvat, Đ.; Juras Krnjak, J.; Vuković Domanovac, M.; Zelić, B. An Enhanced Composting Process with Bioaugmentation: Mathematical Modelling and Process Optimization. Waste Manag. Res. 2021, 40, 745–753. [Google Scholar] [CrossRef]
- Hashemi, S.; Boudaghpour, S.; Han, M. Evaluation of Different Natural Additives Effects on the Composting Process of Source Separated Feces in Resource-Oriented Sanitation Systems. Ecotoxicol. Environ. Saf. 2019, 185, 109667. [Google Scholar] [CrossRef]
- Buljat, A.M.; Jurina, T.; Tušek, A.J.; Valinger, D.; Kljusuric, J.G.; Benkovic, M. Applicability of Foam Mat Drying Process for Production of Instant Cocoa Powder Enriched with Lavender Extract. Food Technol. Biotechnol. 2019, 57, 159–170. [Google Scholar] [CrossRef]
- Khater, E.S.G. Some Physical and Chemical Properties of Compost. Int. J. Waste Resour. 2015, 5, 72–79. [Google Scholar] [CrossRef]
- Sangamithirai, K.M.; Jayapriya, J.; Hema, J.; Manoj, R. Evaluation of In-Vessel Co-Composting of Yard Waste and Development of Kinetic Models for Co-Composting. Int. J. Recycl. Org. Waste Agric. 2015, 4, 157–165. [Google Scholar] [CrossRef]
- Azim, K.; Soudi, B.; Boukhari, S.; Perissol, C.; Roussos, S.; Thami Alami, I. Composting Parameters and Compost Quality: A Literature Review. Org. Agric. 2018, 8, 141–158. [Google Scholar] [CrossRef]
- Insam, H.; de Bertoldi, M. Chapter 3 Microbiology of the Composting Process. Waste Manag. Ser. 2007, 8, 25–48. [Google Scholar] [CrossRef]
- Perra, M.; Cuena-Lombraña, A.; Bacchetta, G.; Manca, M.L.; Manconi, M.; Maroun, R.G.; Muntoni, A.; Tuberoso, C.I.G.; Gil, K.A.; De Gioannis, G. Combining Different Approaches for Grape Pomace Valorization: Polyphenols Extraction and Composting of the Exhausted Biomass. Sustainability 2022, 14, 10690. [Google Scholar] [CrossRef]
- Oviedo-Ocaña, E.R.; Hernández-gómez, A.M.; Ríos, M.; Portela, A.; Sánchez-torres, V.; Domínguez, I.; Komilis, D. A Comparison of Two-stage and Traditional Co-composting of Green Waste and Food Waste Amended with Phosphate Rock and Sawdust. Sustainability 2021, 13, 1109. [Google Scholar] [CrossRef]
- Jain, M.S.; Daga, M.; Kalamdhad, A.S. Variation in the Key Indicators during Composting of Municipal Solid Organic Wastes. Sustain. Environ. Res. 2019, 1, 9. [Google Scholar] [CrossRef]
- Zahrim, A.Y.; Leong, P.S.; Ayisah, S.R.; Janaun, J.; Chong, K.P.; Cooke, F.M.; Haywood, S.K. Composting Paper and Grass Clippings with Anaerobically Treated Palm Oil Mill Effluent. Int. J. Recycl. Org. Waste Agric. 2016, 5, 221–230. [Google Scholar] [CrossRef]
- Paradelo, R.; Moldes, A.B.; Barral, M.T. Evolution of Organic Matter during the Mesophilic Composting of Lignocellulosic Winery Wastes. J. Environ. Manag. 2013, 116, 18–26. [Google Scholar] [CrossRef]
- Onwosi, C.O.; Igbokwe, V.C.; Odimba, J.N.; Eke, I.E.; Nwankwoala, M.O.; Iroh, I.N.; Ezeogu, L.I. Composting Technology in Waste Stabilization: On the Methods, Challenges and Future Prospects. J. Environ. Manag. 2017, 190, 140–157. [Google Scholar] [CrossRef] [PubMed]
- Diaz, M.J.; Madejon, E.; Lopez, F.; Lopez, R.; Cabrera, F. Optimization of the Rate Vinasse/Grape Marc for Co-Composting Process. Process Biochem. 2002, 37, 1143–1150. [Google Scholar] [CrossRef]
- Abdallah, S.E.; Mazrou, Y.S.A.; Elsakhawy, T.; Elgarhy, R.; Elmetwalli, A.H.; Elsayed, S.; Elmessery, W.M. Optimizing the In-Vessel Composting Process of Sugarbeet Dry-Cleaning Residue. Agriculture 2022, 12, 427. [Google Scholar] [CrossRef]
- Anda, M.; Syed Omar, S.R.; Shamshuddin, J.; Fauziah, C.I. Changes in Properties of Composting Rice Husk and Their Effects on Soil and Cocoa Growth. Commun. Soil Sci. Plant Anal. 2008, 39, 2221–2249. [Google Scholar] [CrossRef]
- Diaz, L.F.; Savage, G.M. Chapter 4 Factors That Affect the Process. Waste Manag. Ser. 2007, 8, 49–65. [Google Scholar] [CrossRef]
- Kavdir, Y.; Ilay, R.; Camci Cetin, S.; Buyukcan, M.B.; Kavdir, I. Monitoring Composting Process of Olive Oil Solid Waste Using FT-NIR Spectroscopy. Commun. Soil Sci. Plant Anal. 2020, 51, 816–828. [Google Scholar] [CrossRef]
- Barros, E.S.C.; de Amorim, M.C.C.; Olszevski, N.; Silva, P.T.d.S.e. Composting of Winery Waste and Characteristics of the Final Compost According to Brazilian Legislation. J. Environ. Sci. Health-Part B Pestic Food Contam Agric. Wastes 2021, 56, 447–457. [Google Scholar] [CrossRef] [PubMed]
- Alkoaik, F.N. Integrating Aeration and Rotation Processes to Accelerate Composting of Agricultural Residues. PLoS ONE 2019, 14, e0220343. [Google Scholar] [CrossRef] [PubMed]
- Khan, M.A.I.; Ueno, K.; Horimoto, S.; Komai, F.; Someya, T.; Inoue, K.; Tanaka, K.; Ono, Y. CIELAB Color Variables as Indicators of Compost Stability. Waste Manag. 2009, 29, 2969–2975. [Google Scholar] [CrossRef]
- Hemidat, S.; Jaar, M.; Nassour, A.; Nelles, M. Monitoring of Composting Process Parameters: A Case Study in Jordan. Waste Biomass Valorization 2018, 9, 2257–2274. [Google Scholar] [CrossRef]
- Fan, T.; Zhang, X.; Wan, Y.; Deng, R.; Zhu, H.; Wang, X.; Wang, S.; Wang, X. Effect of Different Livestock Manure Ratios on the Decomposition Process of Aerobic Composting of Wheat Straw. Agronomy 2023, 13, 2916. [Google Scholar] [CrossRef]
- Rastogi, M.; Nandal, M.; Khosla, B. Microbes as Vital Additives for Solid Waste Composting. Heliyon 2020, 6, e03343. [Google Scholar] [CrossRef]
- Gong, B.; Zhong, X.; Chen, X.; Li, S.; Hong, J.; Mao, X.; Liao, Z. Manipulation of Composting Oxygen Supply to Facilitate Dissolved Organic Matter (DOM) Accumulation Which Can Enhance Maize Growth. Chemosphere 2021, 273, 129729. [Google Scholar] [CrossRef]
- Kong, Y.; Wang, G.; Chen, W.; Yang, Y.; Ma, R.; Li, D.; Shen, Y.; Li, G.; Yuan, J. Phytotoxicity of Farm Livestock Manures in Facultative Heap Composting Using the Seed Germination Index as Indicator. Ecotoxicol. Environ. Saf. 2022, 247, 114251. [Google Scholar] [CrossRef]
- Wang, G.; Yang, Y.; Kong, Y.; Ma, R.; Yuan, J.; Li, G. Key Factors Affecting Seed Germination in Phytotoxicity Tests during Sheep Manure Composting with Carbon Additives. J. Hazard. Mater. 2022, 421, 126809. [Google Scholar] [CrossRef]
- Agnew, J.M.; Leonard, J.J. The Physical Properties of Compost. Compost. Sci. Util. 2003, 11, 238–264. [Google Scholar] [CrossRef]
- Abad, M.; Noguera, P.; Burés, S. National Inventory of Organic Wastes for Use as Growing Media for Ornamental Potted Plant Production: Case Study in Spain. Bioresour. Technol. 2001, 77, 197–200. [Google Scholar] [CrossRef]
- E Papraćanin, I.P. Mathematical Modeling and Simulation of the Composting Process in a Pilot Reactor. Bull Chem. Technol. Bosnia Herzeg. 2017, 47, 39–48. [Google Scholar]
- Yang, Z.; Muhayodin, F.; Larsen, O.C.; Miao, H.; Xue, B.; Rotter, V.S. A Review of Composting Process Models of Organic Solid Waste with a Focus on the Fates of C, N, P, and K. Processes 2021, 9, 473. [Google Scholar] [CrossRef]
- Rossetti, I.; Conte, F.; Ramis, G. Kinetic Modelling of Biodegradability Data of Commercial Polymers Obtained under Aerobic Composting Conditions. Eng 2021, 2, 54–68. [Google Scholar] [CrossRef]
- Asadu, C.O.; Egbuna, S.O.; Chime, T.O.; Eze, C.N.; Kevin, D.; Mbah, G.O.; Ezema, A.C. Survey on Solid Wastes Management by Composting: Optimization of Key Process Parameters for Biofertilizer Synthesis from Agro Wastes Using Response Surface Methodology (RSM). Artif. Intell. Agric. 2019, 3, 52–61. [Google Scholar] [CrossRef]
- Ajmal, M.; Aiping, S.; Awais, M.; Ullah, M.S.; Saeed, R.; Uddin, S.; Ahmad, I.; Zhou, B.; Zihao, X. Optimization of Pilot-Scale in-Vessel Composting Process for Various Agricultural Wastes on Elevated Temperature by Using Taguchi Technique and Compost Quality Assessment. Process. Saf. Environ. Prot. 2020, 140, 34–45. [Google Scholar] [CrossRef]








| Experiment | Moisture Content (%) | Air Flow Rate (L/min) |
|---|---|---|
| 1 | 50 | 0.50 |
| 2 | 50 | 1.25 |
| 3 | 65 | 0.88 |
| 4 | 65 | 1.40 |
| 5 | 65 | 0.35 |
| 6 | 50 | 2.00 |
| 7 | 57.5 | 1.70 |
| 8 | 57.5 | 0.43 |
| 9 | 57.5 | 1.06 |
| Experiment | Bulk Density ± S.D. (kg/m3) | Porosity ± S.D. (%) |
|---|---|---|
| 1 | 323.466 ± 0.281 d | 73.388 ± 1.947 a |
| 2 | 323.803 ± 2.863 d | 73.563 ± 6.823 a |
| 3 | 388.119 ± 18.086 b | 63.777 ± 7.256 a |
| 4 | 393.146 ± 8.830 b | 64.862 ± 5.703 a |
| 5 | 396.708 ± 1.471 b | 63.509 ± 4.252 a |
| 6 | 384.481 ± 2.140 b | 66.613 ± 8.725 a |
| 7 | 368.571 ± 3.635 b,c | 65.668 ± 1.346 a |
| 8 | 358.508 ± 7.283 c | 68.209 ± 2.128 a |
| 9 | 428.805 ± 12.190 a | 61.257 ± 7.917 a |
| Exp. | k (1/day) | OM0 (%) | R2 | R2adj | RMSE | c2 | EF | |
|---|---|---|---|---|---|---|---|---|
| Organic matter degradation | 1 | 0.0035 ± 0.0014 | 77.2451 ± 1.8158 | 0.9148 | 0.8686 | 1.4083 | 1.4412 | 0.8908 |
| 2 | 0.0032 ± 0.0013 | 79.7421 ± 1.8338 | 0.9281 | 0.8852 | 1.5169 | 1.8323 | 0.8834 | |
| 3 | 0.0093 ± 0.0023 | 80.4016 ± 2.9808 | 0.8798 | 0.8248 | 1.2285 | 1.8286 | 0.8668 | |
| 4 | 0.0056 ± 0.0016 | 77.1831 ± 2.0334 | 0.8752 | 0.8691 | 2.3197 | 2.6231 | 0.8042 | |
| 5 | 0.0052 ± 0.0013 | 75.3750 ± 1.7064 | 0.8256 | 0.8570 | 2.2491 | 2.2260 | 0.8364 | |
| 6 | 0.0037 ± 0.0010 | 72.2391 ± 1.2717 | 0.8826 | 0.8032 | 1.3768 | 1.3332 | 0.8439 | |
| 7 | 0.0073 ± 0.0010 | 72.5545 ± 1.2172 | 0.8887 | 0.8358 | 2.2731 | 2.3592 | 0.8887 | |
| 8 | 0.0014 ± 0.0013 | 70.9778 ± 1.5802 | 0.8680 | 0.8100 | 1.3753 | 2.3279 | 0.8688 | |
| 9 | 0.0034 ± 0.0008 | 71.5794 ± 0.9761 | 0.8976 | 0.8470 | 1.0316 | 1.3099 | 0.8919 |
| Source | SS | df | MS | F | p |
|---|---|---|---|---|---|
| β1 | 266.279 | 1 | 266.279 | 39.4026 | 0.00001 |
| β2 | 42.870 | 1 | 42.870 | 6.3438 | 0.02146 |
| β11 | 116.637 | 1 | 116.637 | 17.2593 | 0.00060 |
| β22 | 44.350 | 1 | 44.350 | 6.5626 | 0.01961 |
| β12 | 0.481 | 1 | 0.481 | 0.0711 | 0.04273 |
| Lack-of-fit | 173.625 | 3 | 57.875 | 8.5640 | 0.09611 |
| Pure error | 121.642 | 18 | 6.758 | ||
| Total SS | 624.234 | 26 |
Disclaimer/Publisher’s Note: The statements, opinions and data contained in all publications are solely those of the individual author(s) and contributor(s) and not of MDPI and/or the editor(s). MDPI and/or the editor(s) disclaim responsibility for any injury to people or property resulting from any ideas, methods, instructions or products referred to in the content. |
© 2024 by the authors. Licensee MDPI, Basel, Switzerland. This article is an open access article distributed under the terms and conditions of the Creative Commons Attribution (CC BY) license (https://creativecommons.org/licenses/by/4.0/).
Share and Cite
Sokač Cvetnić, T.; Krog, K.; Lisak Jakopović, K.; Valinger, D.; Gajdoš Kljusurić, J.; Benković, M.; Jurina, T.; Jakovljević, T.; Radojčić Redovniković, I.; Jurinjak Tušek, A. Grape Skin Composting Process to Recycle Food Waste: Kinetics and Optimization. Foods 2024, 13, 824. https://doi.org/10.3390/foods13060824
Sokač Cvetnić T, Krog K, Lisak Jakopović K, Valinger D, Gajdoš Kljusurić J, Benković M, Jurina T, Jakovljević T, Radojčić Redovniković I, Jurinjak Tušek A. Grape Skin Composting Process to Recycle Food Waste: Kinetics and Optimization. Foods. 2024; 13(6):824. https://doi.org/10.3390/foods13060824
Chicago/Turabian StyleSokač Cvetnić, Tea, Korina Krog, Katarina Lisak Jakopović, Davor Valinger, Jasenka Gajdoš Kljusurić, Maja Benković, Tamara Jurina, Tamara Jakovljević, Ivana Radojčić Redovniković, and Ana Jurinjak Tušek. 2024. "Grape Skin Composting Process to Recycle Food Waste: Kinetics and Optimization" Foods 13, no. 6: 824. https://doi.org/10.3390/foods13060824
APA StyleSokač Cvetnić, T., Krog, K., Lisak Jakopović, K., Valinger, D., Gajdoš Kljusurić, J., Benković, M., Jurina, T., Jakovljević, T., Radojčić Redovniković, I., & Jurinjak Tušek, A. (2024). Grape Skin Composting Process to Recycle Food Waste: Kinetics and Optimization. Foods, 13(6), 824. https://doi.org/10.3390/foods13060824

