Process Optimization for Production of Persimmon Wine with Lower Methanol
Abstract
1. Introduction
2. Materials and Methods
2.1. Starters and Activation
2.2. Raw Material Heat Treatment
2.3. Persimmon Winemaking
2.4. The Effects of Critical Factors on Persimmon Wine
2.5. Analysis of Basic Physicochemical Properties
2.6. Analysis of Volatile Aromas
2.7. Statistical Analysis
3. Results
3.1. Basic Characteristics of the Chosen Persimmon Fruits
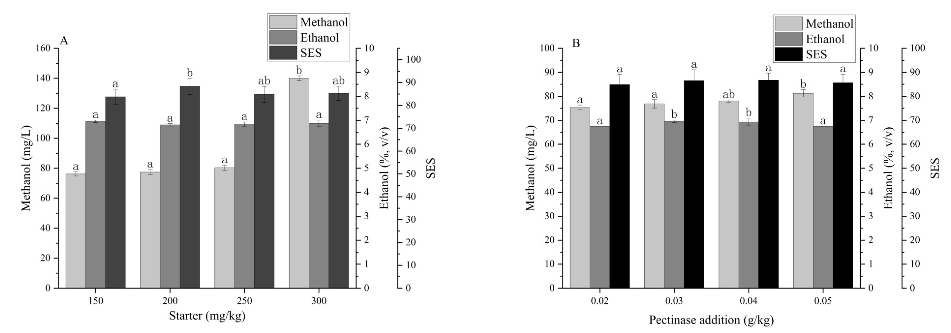
3.2. Starter Choice Influences Methanol Content in Persimmon Wine
3.3. Pectinase Choice Impacts Methanol, Juice Yield and Ethanol Level
3.4. Effect of Pretreatment on Persimmon Wine
3.5. Optimal Fermentation Conditions for Persimmon Wine
3.5.1. The Effects of Starter, Pectinase and Sucrose Dosage, and Temperature
3.5.2. Optimization of Persimmon Wine Production via Orthogonal Experiments
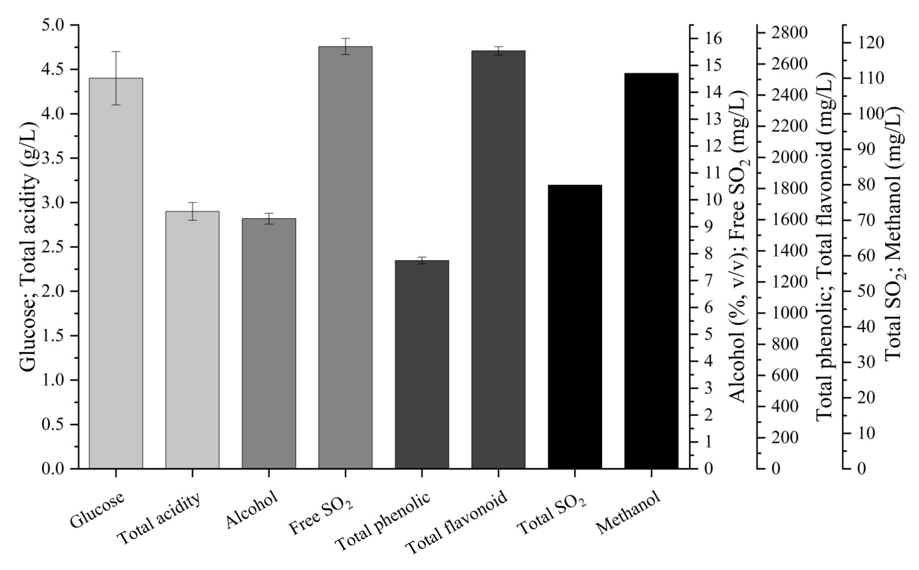
3.6. Basic Chemical Characteristics and Volatile Aromas of the Persimmon Wine
4. Conclusions
Supplementary Materials
Author Contributions
Funding
Institutional Review Board Statement
Informed Consent Statement
Data Availability Statement
Acknowledgments
Conflicts of Interest
References
- Zou, B.; Wu, J.; Yu, Y. Evolution of the antioxidant capacity and phenolic contents of persimmon during fermentation. Food Sci. Biotechnol. 2017, 26, 563–571. [Google Scholar] [CrossRef]
- Wang, Z.; Hao, Q.; An, X.; Chitrakar, B.; Li, J.; Zhao, Z.; Ao, C.; Sun, J. Optimization of Mopan persimmon wine fermentation with pectinase and analysis of its mechanism of action. Foods 2023, 12, 1246. [Google Scholar] [CrossRef]
- Del Bubba, M.; Giordani, E.; Pippucci, L.; Cincinelli, A.; Checchini, L.; Galvan, P. Changes in tannins, ascorbic acid and sugar content in astringent persimmons during on-tree growth and ripening and in response to different postharvest treatments. J. Food Compos. Anal. 2009, 22, 668–677. [Google Scholar] [CrossRef]
- Veberic, R.; Jurhar, J.; Mikulic-Petkovsek, M.; Stampar, F.; Schmitzer, V. Comparative study of primary and secondary metabolites in 11 cultivars of persimmon fruit (Diospyros kaki L.). Food Chem. 2010, 119, 477–483. [Google Scholar] [CrossRef]
- Jimenez-Sanchez, C.; Lozano-Sanchez, J.; Marti, N.; Saura, D.; Valero, M.; Segura-Carretero, A.; Fernandez-Gutierrez, A. Characterization of polyphenols, sugars, and other polar compounds in persimmon juices produced under different technologies and their assessment in terms of compositional variations. Food Chem. 2015, 182, 282–291. [Google Scholar] [CrossRef] [PubMed]
- An, X.W.; Wang, Z.J.; Li, J.M.; Nie, X.Y.; Liu, K.X.; Zhang, Y.F.; Zhao, Z.H.; Chitrakar, B.; Ao, C.W. Analysis of flavor-related compounds in fermented persimmon beverages stored at different temperatures. LWT—Food Sci. Technol. 2022, 163, 15. [Google Scholar] [CrossRef]
- Gonzáles, E.A.; Agrasar, A.T.; Castro, L.P. Production and characterization of distilled alcoholic beverages obtained by solid-state fermentation of black Mulberry (Morus nigra L.) and Black Currant (Ribes nigrum L.). J. Agric. Food Chem. 2010, 58, 2529–2535. [Google Scholar] [CrossRef]
- Cabaroglu, T. Methanol contents of Turkish varietal wines and effect of processing. Food Control. 2005, 16, 177–181. [Google Scholar] [CrossRef]
- Liang, M.; Liang, Y.; Wu, X.; Zhou, S.; Jiang, J. Mutation breeding of Saccharomyces cerevisiae with lower methanol content and the effects of pectinase, cellulase and glycine in sugar cane spirits. J. Sci. Food Agric. 2015, 95, 1949–1955. [Google Scholar] [CrossRef]
- Han, Y.; Du, J. Relationship of the methanol production, pectin and pectinase activity during apple wine fermentation and aging. Food Res. Int. 2022, 159, 111645. [Google Scholar] [CrossRef]
- Singleton, V.L.; Rossi, J.A. Colorimetry of total phenolics with phosphomolybdic-phosphotungstic acid reagents. Am. J. Enol. Viticult. 1965, 16, 144–158. [Google Scholar] [CrossRef]
- Singleton, V.L.; Orthofer, R.; Lamuela-Raventos, R.M. Analysis of total phenols and other oxidation substrates and antioxidants by means of Folin-Ciocalteu reagent. Methods Enzymol. 1999, 299, 152–178. [Google Scholar]
- Stockham, K.; Sheard, A.; Paimin, R.; Buddhadasa, S.; Duong, S.; Orbell, J.D.; Murdoch, T. Comparative studies on the antioxidant properties and polyphenolic content of wine from different growing regions and vintages, a pilot study to investigate chemical markers of climate changes. Food Chem. 2013, 140, 500–506. [Google Scholar] [CrossRef] [PubMed]
- Garaguso, I.; Nardini, M. Polyphenols content, phenolics profile and antioxidant activity of organic red wines produced without sulfur dioxide/sulfites addition in comparison to conventional red wines. Food Chem. 2015, 179, 336–342. [Google Scholar] [CrossRef] [PubMed]
- McCready, R.; McComb, E.J.A.C. Extraction and determination of total pectic materials in fruits. Anal. Chem. 1952, 24, 1986–1988. [Google Scholar] [CrossRef]
- Li, N.; Wang, L.; Yin, J.; Ma, N.; Tao, Y. Adjustment of impact odorants in Hutai-8 rose wine by co-fermentation of Pichia fermentans and Saccharomyces cerevisiae. Food Res. Int. 2022, 153, 110959. [Google Scholar] [CrossRef] [PubMed]
- González-Neves, G.; Gil, G.; Favre, G.; Baldi, C.; Hernández, N.; Traverso, S. Influence of winemaking procedure and grape variety on the colour and composition of young red wines. S. Afr. J. Enol. Vitic. 2013, 34, 138–146. [Google Scholar] [CrossRef]
- Deak, I.; Habschied, K.; Mesić, J.; Babić, J.; Kovačević, D.; Nedović, V.; Mastanjević, K. The influence of fermenting starter on the sensory properties of Graševina wine. Foods 2021, 10, 2752. [Google Scholar] [CrossRef]
- Wu, Y.; Li, Z.; Zou, S.; Dong, L.; Lin, X.; Chen, Y.; Zhang, S.; Ji, C.; Liang, H. Chemical composition and flavor characteristics of cider fermented with Saccharomyces cerevisiae and non-Saccharomyces cerevisiae. Foods 2023, 12, 3565. [Google Scholar] [CrossRef] [PubMed]
- Zhang, H.; Woodams, E.E.; Hang, Y.D. Influence of pectinase treatment on fruit spirits from apple mash, juice and pomace. Process. Biochem. 2011, 46, 1909–1913. [Google Scholar] [CrossRef]
- Oszmianski, J.; Wojdylo, A.; Kolniak, J. Effect of pectinase treatment on extraction of antioxidant phenols from pomace, for the production of puree-enriched cloudy apple juices. Food Chem. 2011, 127, 623–631. [Google Scholar] [CrossRef]
- Moreno-Pérez, A.; Vila-López, R.; Fernández-Fernández, J.; Martínez-Cutillas, A.; Gil-Muñoz, R. Influence of cold pre-fermentation treatments on the major volatile compounds of three wine varieties. Food Chem. 2013, 139, 770–776. [Google Scholar] [CrossRef]
- Erten, H.; Tanguler, H.; Cabaroglu, T. The Influence of Inoculum Level on Fermentation and Flavour Compounds of White Wines Made from cv. Emir. J. Inst. Brew. 2015, 112, 232–236. [Google Scholar] [CrossRef]
- Štefan, A.; Magdaléna, V.; Jaroslav, J. Influence of sugar and ethanol content and color of wines on the sensory evaluation: From wine competition “Nemčiňany Wine Days” in Slovak Republic (2013–2016). Erwerbs-Obstbau 2020, 62, 9–16. [Google Scholar]
- Du, Q.; Ye, D.; Zang, X. Effect of low temperature on the shaping of yeast-derived metabolite compositions during wine fermentation. Food Res. Int. 2022, 162, 112016. [Google Scholar] [CrossRef]
- Guerrini, L.; Corti, F.; Angeloni, G.; Masella, P.; Spadi, A.; Calamai, L.; Parenti, A. The effects of destemming/crushing and pressing conditions in rose wine production. Aust. J. Grape Wine R. 2022, 9853264. [Google Scholar] [CrossRef]
- Veríssimo, C.M.; Alcntara, R.L.; Lima, L.L. Impact of chemical profile on sensory evaluation of tropical red wines. Int. J. Food Sci. Tech. 2021, 56, 3588–3599. [Google Scholar] [CrossRef]
- Ruan, S.; Yang, X.; Chen, Q. Characterization of volatile aroma compounds in litchi (Heiye) wine and distilled spirit. Food Sci. Nutri. 2021, 9, 5914–5927. [Google Scholar]
- Arcari, S.G.; Caliari, V.; Sganzerla, M.; Godoy, H.T. Volatile composition of Merlot red wine and its contribution to the aroma: Optimization and validation of analytical method. Int. J. Pure Appl. Anal. Chem. 2017, 174, 752–766. [Google Scholar] [CrossRef]
- Liu, G.M.; Sun, G.; He, X.M.; Tang, Y.Y. Fermentation process optimization and chemical constituent analysis on longan (Dimocarpus longan Lour.) wine. Food Chem. 2018, 256, 268–279. [Google Scholar] [CrossRef]





| Entrys | Total Acidity (%, w/w) | pH | Total Flavonoids (mg/g) | Total Phenols (mg/g) | Reducing Sugar (%, w/w) | Total Sugars (%, w/w) | Pectin (g/kg) |
|---|---|---|---|---|---|---|---|
| Huojing | 0.20 ± 0.00 b | 5.8 ± 0.0 d | 3.0 ± 0.1 a | 3.6 ± 0.0 a | 22.3 ± 0.2 d | 30.6 ± 1.4 d | 32.1 ± 0.0 bc |
| Huoguan | 0.29 ± 0.00 e | 5.1 ± 0.0 a | 49.4 ± 0.4 c | 41.2 ± 0.7 d | 12.8 ± 0.0 a | 14.2 ± 0.6 a | 27.8 ± 0.7 ab |
| Maokui | 0.24 ± 0.00 d | 5.3 ± 0.0 b | 13.9 ± 0.7 b | 10.1 ± 0.2 b | 13.3 ± 0.3 b | 15.4 ± 0.9 b | 24.5 ± 0.4 a |
| Jianshi | 0.22 ± 0.00 c | 5.4 ± 0.0 c | 50.0 ± 0.2 c | 34.7 ± 0.5 c | 19.6 ± 0.0 c | 25.8 ± 1.0 c | 25.2 ± 1.2 a |
| Tishi | 0.19 ± 0.00 a | 6.1 ± 0.0 e | 62.9 ± 0.3 d | 46.2 ± 2.0 e | 22.9 ± 0.1 e | 33.2 ± 2.4 e | 36.8 ± 3.7 c |
| Heat Treatment | Reducing Sugar (g/L) | Ethanol (%, v/v) | Methanol (mg/L) | Juice Yield (%, w/w) | Total Phenolic (mg/L) | Total Flavonoid (mg/L) |
|---|---|---|---|---|---|---|
| P-Soleibo (P1) | ||||||
| MT-P1 | 4.5 ± 0.4 c | 6.8 ± 0.1 c | 597.1 ± 18.4 f | 65.3 | 268.7 ± 12.4 a | 252.3 ± 4.3 a |
| CT-P1 | 6.1 ± 0.1 d | 6.2 ± 0.1 b | 538 ± 42.9 e | 55.6 | 1684.7 ± 22.6 c | 2456.5 ± 128.6 e |
| P1-MT | 3.7 ± 0.2 a | 6.9 ± 0.2 b | 280.1 ± 29.3 c | 65.0 | 399.6 ± 19.2 b | 640.4 ± 64.3 b |
| P1-CT | 4.7 ± 0.0 c | 6.6 ± 0.1 b | 135 ± 5.3 ab | 58.7 | 2146.6 ± 46.3 e | 2150.3 ± 287.3 d |
| P-Laffort (P3) | ||||||
| MT-P3 | 4.2 ± 0.0 bc | 6.5 ± 0.1 b | 446 ± 43.7 d | 68 | 244.8 ± 7.9 a | 73.4 ± 25.7 a |
| CT-P3 | 6.3 ± 0.0 d | 7.2 ± 0.1 c | 417.5 ± 12.8 d | 61.9 | 1948.8 ± 16.9 d | 2929.5 ± 128.6 f |
| P3-MT | 3.7 ± 0.4 ab | 6.5 ± 0.2 a | 149.1 ± 6 b | 69.7 | 393.2 ± 25.9 b | 1319.5 ± 72.9 c |
| P3-CT | 4.5 ± 0.2 c | 6.6 ± 0.1 b | 77.7 ± 1.3 a | 65.4 | 2246.3 ± 29.3 f | 2926.5 ± 30.0 f |
| No. | A | B | C | Sensory Evaluation Scores | Methanol (mg/L) |
|---|---|---|---|---|---|
| 1 | 1 | 1 | 1 | 80.8 | 79.3 |
| 2 | 1 | 2 | 2 | 82.9 | 83.7 |
| 3 | 1 | 3 | 3 | 83.1 | 138.2 |
| 4 | 1 | 4 | 4 | 84.8 | 154 |
| 5 | 2 | 1 | 2 | 84.1 | 139.5 |
| 6 | 2 | 2 | 1 | 84 | 72.7 |
| 7 | 2 | 3 | 4 | 84.3 | 154.7 |
| 8 | 2 | 4 | 3 | 85.8 | 87.5 |
| 9 | 3 | 1 | 3 | 85.4 | 82.3 |
| 10 | 3 | 2 | 4 | 87.4 | 91.2 |
| 11 | 3 | 3 | 1 | 87.8 | 132.8 |
| 12 | 3 | 4 | 2 | 88 | 95.3 |
| 13 | 4 | 1 | 4 | 87.3 | 84.1 |
| 14 | 4 | 2 | 3 | 85.6 | 90.4 |
| 15 | 4 | 3 | 2 | 86 | 83.3 |
| 16 | 4 | 4 | 1 | 87 | 106.5 |
| K1 | 455.2 | 385.2 | 391.3 | ||
| K2 | 454.4 | 401.8 | 401.8 | Methanol | A4B3C1 |
| K3 | 401.6 | 398.4 | 398.4 | ||
| K4 | 364.3 | 443.3 | 484 | ||
| R | 22.725 | 14.525 | 23.175 | ||
| K1 | 331.6 | 337.6 | 339.6 | SES | A3B4C4 |
| K2 | 338.2 | 339.9 | 341 | ||
| K3 | 348.6 | 341.2 | 339.9 | ||
| K4 | 345.9 | 345.6 | 343.8 | ||
| R | 4.25 | 2 | 1.05 |
| Factor | Sum of Squares of Deviations | Free | Mean Square | F Values | p Values |
|---|---|---|---|---|---|
| A | 1464.597 | 3 | 488.199 | 0.550 | 0.667 |
| B | 4098.467 | 3 | 1366.156 | 1.538 | 0.299 |
| C | 1428.107 | 3 | 476.036 | 0.536 | 0.675 |
| Error | 5330.634 | 6 | 888.439 |
| Factor | Sum of Squares of Deviations | Free | Mean Square | F Values | p Values |
|---|---|---|---|---|---|
| s | 44.487 | 3 | 14.829 | 17.197 | 0.002 |
| B | 8.487 | 3 | 2.829 | 3.281 | 0.100 |
| C | 2.747 | 3 | 0.916 | 1.062 | 0.432 |
| Error | 5.174 | 6 | 0.862 |
Disclaimer/Publisher’s Note: The statements, opinions and data contained in all publications are solely those of the individual author(s) and contributor(s) and not of MDPI and/or the editor(s). MDPI and/or the editor(s) disclaim responsibility for any injury to people or property resulting from any ideas, methods, instructions or products referred to in the content. |
© 2024 by the authors. Licensee MDPI, Basel, Switzerland. This article is an open access article distributed under the terms and conditions of the Creative Commons Attribution (CC BY) license (https://creativecommons.org/licenses/by/4.0/).
Share and Cite
Wei, J.; Li, Y.; Liu, Y.; Liu, S.; Yang, X.; Wang, X. Process Optimization for Production of Persimmon Wine with Lower Methanol. Foods 2024, 13, 748. https://doi.org/10.3390/foods13050748
Wei J, Li Y, Liu Y, Liu S, Yang X, Wang X. Process Optimization for Production of Persimmon Wine with Lower Methanol. Foods. 2024; 13(5):748. https://doi.org/10.3390/foods13050748
Chicago/Turabian StyleWei, Jinwen, Yajun Li, Yijuan Liu, Silin Liu, Xiaobing Yang, and Xue Wang. 2024. "Process Optimization for Production of Persimmon Wine with Lower Methanol" Foods 13, no. 5: 748. https://doi.org/10.3390/foods13050748
APA StyleWei, J., Li, Y., Liu, Y., Liu, S., Yang, X., & Wang, X. (2024). Process Optimization for Production of Persimmon Wine with Lower Methanol. Foods, 13(5), 748. https://doi.org/10.3390/foods13050748

