Optimization of Enzymatic Hydrolysis and Fermentation Processing for Set-Type Oat Yogurt with Favorable Acidity and Coagulated Texture
Abstract
1. Introduction
2. Methods and Materials
2.1. Materials
2.2. Preparation of Oat Yogurt
2.2.1. Enzymatic Hydrolysis of Oat Flour
2.2.2. Heating of Oat Hydrolysate and Oat Flour Mixture
2.2.3. Fermentation and Ripening of Oat Yogurt
2.3. Experimental Optimization Design
2.4. Determination of DE Value of Enzymatic Hydrolysate
2.5. Water-Holding Capacity (WHC)
2.6. Determination of pH Value and Titratable Acidity of Oat Yogurt
2.7. Microbiological Determination of Oat Yogurt
2.8. Texture Profile Analysis of Oat Yogurt
2.9. Steady Shear Rheological Analysis of Oat Yogurt
2.10. Dynamic Shear Rheological Analysis of Oat Yogurt
2.11. Quantification of EPSs
2.12. Electronic Tongue Analysis
2.13. Statistical Analysis
3. Results and Discussions
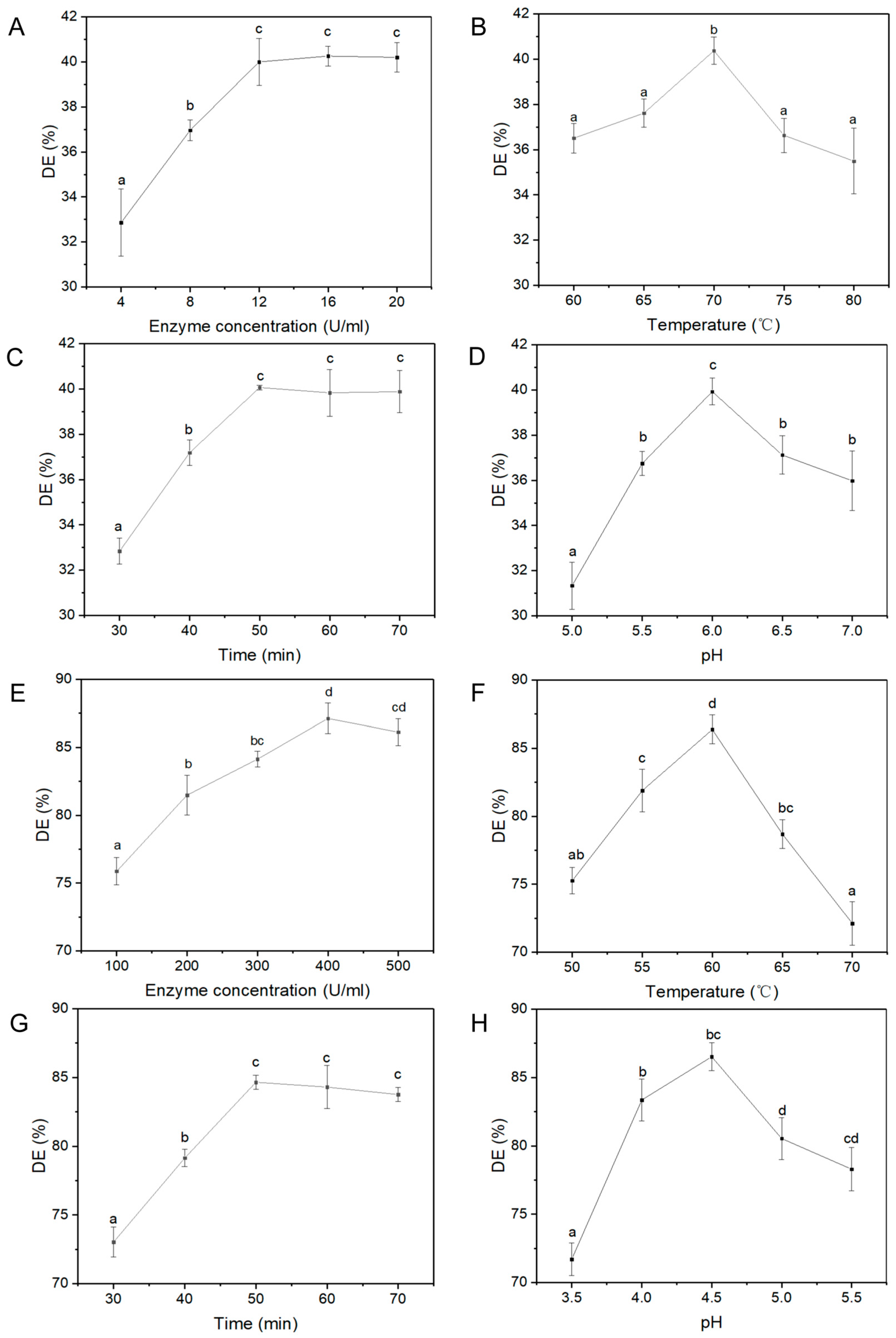
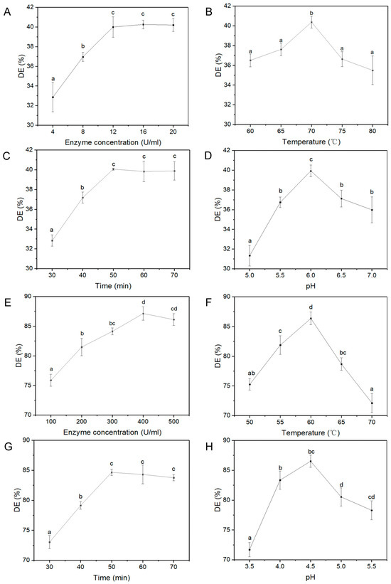
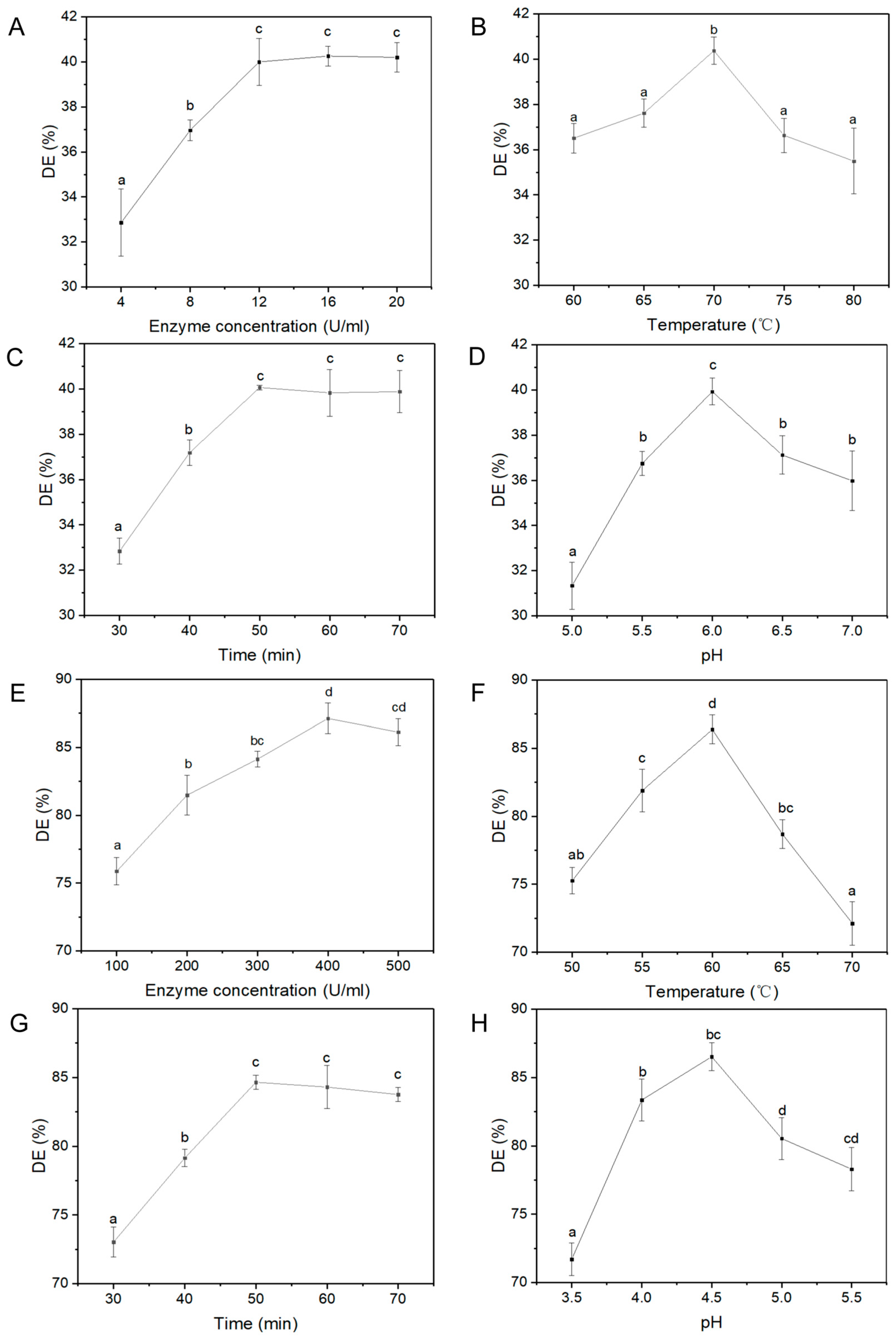
3.1. Effect of Enzymatic Hydrolysis on the DE Value of Oat Hydrolysate
3.2. Influence of Oat Flour on the Stability of Set-Type Oat Yogurt
3.3. Influence of Culture Strains on the Quality of Set-Type Oat Yogurt
3.4. Effect of Fermentation on Quality of Set-Type Oat Yogurt
3.5. Effect of Fermentation on the Rheological Properties of Set-Type Oat Yogurt
3.6. Optimization of Acidity and Cohesiveness of Set-Type Oat Yogurt by RSM
3.7. Taste Attributes of Optimal Set-Type Oat Yogurt
3.8. The Key Role of EPSs in Set-Type Oat Yogurt Quality
4. Conclusions
Supplementary Materials
Author Contributions
Funding
Data Availability Statement
Acknowledgments
Conflicts of Interest
References
- Ayivi, R.D.; Ibrahim, S.A. Lactic Acid Bacteria: An Essential Probiotic and Starter Culture for the Production of Yoghurt. Int. J. Food Sci. Technol. 2022, 57, 7008–7025. [Google Scholar] [CrossRef]
- Vanga, S.K.; Raghavan, V. How Well Do Plant Based Alternatives Fare Nutritionally Compared to Cow’s Milk? J. Food Sci. Technol. 2018, 55, 10–20. [Google Scholar] [CrossRef] [PubMed]
- Montemurro, M.; Pontonio, E.; Coda, R.; Rizzello, C.G. Plant-Based Alternatives to Yogurt: State-of-the-Art and Perspectives of New Biotechnological Challenges. Foods 2021, 10, 316. [Google Scholar] [CrossRef] [PubMed]
- Craig, W.J.; Brothers, C.J. Nutritional Content and Health Profile of Non-Dairy Plant-Based Yogurt Alternatives. Nutrients 2021, 13, 4069. [Google Scholar] [CrossRef]
- Rafique, H.; Dong, R.; Wang, X.; Alim, A.; Aadil, R.M.; Li, L.; Zou, L.; Hu, X. Dietary-Nutraceutical Properties of Oat Protein and Peptides. Front. Nutr. 2022, 9, 950400. [Google Scholar] [CrossRef] [PubMed]
- Sim, S.Y.J.; Srv, A.; Chiang, J.H.; Henry, C.J. Plant Proteins for Future Foods: A Roadmap. Foods 2021, 10, 1967. [Google Scholar] [CrossRef]
- Li, S.; Ye, A.; Singh, H. Effects of seasonal variations on the quality of set yogurt, stirred yogurt, and Greek-style yogurt. J. Dairy Sci. 2021, 104, 1424–1432. [Google Scholar] [CrossRef] [PubMed]
- Bernat, N.; Chafer, M.; Gonzalez-Martinez, C.; Rodriguez-Garcia, J.; Chiralt, A. Optimisation of oat milk formulation to obtain fermented derivatives by using probiotic Lactobacillus reuteri microorganisms. Food Sci. Technol. Int. 2015, 21, 145–157. [Google Scholar] [CrossRef]
- Wayllace, N.M. Microbial Glucoamylases: Structural and Functional Properties and Biotechnological Uses. World J. Microbiol. Biotechnol. 2023, 39, 293. [Google Scholar] [CrossRef] [PubMed]
- Jeske, S.; Zannini, E.; Arendt, E.K. Past, present and future: The strength of plant-based dairy substitutes based on gluten-free raw materials. Food Res. Int. 2018, 110, 42–51. [Google Scholar] [CrossRef]
- Berthold-Pluta, A.M.; Pluta, A.S.; Garbowska, M.; Stasiak-Różańska, L. Exopolysaccharide-Producing Lactic Acid Bacteria–Health-Promoting Properties And Application In The Dairy Industry. PostępyMikrobiologii-Adv. Microbiol. 2019, 58, 191–204. [Google Scholar] [CrossRef]
- Wang, Y.; Tian, Y.; Zhong, Y.; Suleiman, M.A.; Feller, G.; Westh, P.; Blennow, A.; Møller, M.S.; Svensson, B. Improved Hydrolysis of Granular Starches by a Psychrophilic α-Amylase Starch Binding Domain-Fusion. J. Agric. Food Chem. 2023, 71, 9040–9050. [Google Scholar] [CrossRef] [PubMed]
- You, Y. Remarkable Improvement in the Storage Stability of Maltodextrin through 1,4-α-Glucan Branching Enzyme Modi-fication. Food Hydrocoll. 2023, 141, 108696. [Google Scholar] [CrossRef]
- Raikos, V.; Juskaite, L.; Vas, F.; Hayes, H.E. Physicochemical properties, texture, and probiotic survivability of oat-based yogurt using aquafaba as a gelling agent. Food Sci. Nutr. 2020, 8, 6426–6432. [Google Scholar] [CrossRef]
- Kalyas, A.; Ürkek, B. Effect of Flaxseed Powder on Physicochemical, Rheological, Microbiological and Sensory Properties of Yoghurt. Braz. Arch. Biol. Technol 2022, 65, e22210012. [Google Scholar] [CrossRef]
- GB 4789.35-2023; National Food Safety Standard: Food Microbiological Examination: Examination of Lactic Acid Bacteria. National Health Commission of the People’s Republic of China, and State Administration for Market Regulation of the People’s Republic of China: Beijing, China, 2023.
- Dan, T.; Hu, H.; Tian, J.; He, B.; Tai, J.; He, Y. Influence of Different Ratios of Lactobacillus delbrueckii subsp. bulgaricus and Streptococcus thermophilus on Fermentation Characteristics of Yogurt. Molecules 2023, 28, 2123. [Google Scholar] [CrossRef]
- Foroutanparsa, S.; Brüls, M.; Maljaars, C.E.P.; Tas, R.P.; Voets, I.K. Spatial distribution of αs1-caseins and β-caseins in milk gels acidified with glucono-δ-lactone. Food Hydrocoll. 2023, 139, 108506. [Google Scholar] [CrossRef]
- Ziarno, M.; Zaręba, D.; Ścibisz, I.; Kozłowska, M. Texture and Water Holding Capacity of Oat Drinks Fermented with Lactic Acid Bacteria, Bifidobacteria and Propionibacterium. Int. J. Food Prop. 2024, 27, 106–122. [Google Scholar] [CrossRef]
- Arab, M.; Yousefi, M.; Khanniri, E.; Azari, M.; Ghasemzadeh-Mohammadi, V.; Mollakhalili-Meybodi, N. A Comprehensive Review on Yogurt Syneresis: Effect of Processing Conditions and Added Additives. J. Food Sci. Technol. 2023, 60, 1656–1665. [Google Scholar] [CrossRef]
- Brüls, M.; Foroutanparsa, S.; Maljaars, C.E.P.; Olsthoorn, M.; Tas, R.P.; Voets, I.K. Investigating the Impact of Exopolysaccharides on Yogurt Network Mechanics and Syneresis through Quantitative Microstructural Analysis. Food Hydrocoll. 2024, 150, 109629. [Google Scholar] [CrossRef]
- Nikitina, E.; Petrova, T.; Vafina, A.; Ezhkova, A.; Nait Yahia, M.; Kayumov, A. Textural and Functional Properties of Skimmed and Whole Milk Fermented by Novel Lactiplantibacillus plantarum AG10 Strain Isolated from Silage. Fermentation 2022, 8, 290. [Google Scholar] [CrossRef]
- GB 19302-2010; National Food Safety Standard Fermented Milk. Ministry of Health of the People’s Republic of China: Beijing, China, 2010.
- Park, S. Structural, Rheological Properties and Antioxidant Activities Analysis of the Exopolysaccharide Produced by Rhizobium leguminosarum bv. viciae VF39. Int. J. Biol. Macromol. 2024, 257, 128811. [Google Scholar] [CrossRef] [PubMed]
- Dhakal, D.; Younas, T.; Bhusal, R.P.; Devkota, L.; Li, L.; Zhang, B.; Dhital, S. The effect of probiotic strains on the proteolytic activity and peptide profiles of lupin oat-based yoghurt. Food Hydrocoll. 2024, 149, 109570. [Google Scholar] [CrossRef]
- Gupta, S.; Abu-Ghannam, N. Probiotic Fermentation of Plant Based Products: Possibilities and Opportunities. Crit. Rev. Food Sci. Nutr. 2012, 52, 183–199. [Google Scholar] [CrossRef] [PubMed]
- Meybodi, N.M.; Mortazavian, A.M.; Arab, M.; Nematollahi, A. Probiotic viability in yoghurt: A review of influential factors. Int. Dairy J. 2020, 109, 104793. [Google Scholar] [CrossRef]
- Hossain, S.; Khetra, Y.; Dularia, C.; Meena, G.S.; Arora, S. Symbiotic Fermentation Study of Acetobacter orientalis and Lactic Acid Bacteria for Lactobionic Acid Enriched Yoghurt Production. Food Biosci. 2023, 53, 102612. [Google Scholar] [CrossRef]
- Yang, Z.; Li, S.; Zhang, X.; Zeng, X.; Li, D.; Zhao, Y.; Zhang, J. Capsular and Slime-Polysaccharide Production by Lactobacillus rhamnosus JAAS8 Isolated from Chinese Sauerkraut: Potential Application in Fermented Milk Products. J. Biosci. Bioeng. 2010, 110, 53–57. [Google Scholar] [CrossRef]
- Dangi, N.; Yadav, B.S.; Yadav, R.B. Pasting, Rheological, Thermal and Gel Textural Properties of Pearl Millet Starch as Modified by Guar Gum and Its Acid Hydrolysate. Int. J. Biol. Macromol. 2019, 139, 387–396. [Google Scholar] [CrossRef] [PubMed]
- Hewage, A.; Olatunde, O.O.; Nimalaratne, C.; House, J.D.; Aluko, R.E.; Bandara, N. Improved Protein Extraction Technology Using Deep Eutectic Solvent System for Producing High Purity Fava Bean Protein Isolates at Mild Conditions. Food Hydrocoll. 2024, 147, 109283. [Google Scholar] [CrossRef]
- Qin, Y.; Wang, M.; Jiang, H.; Wang, X.; Yin, H.; Yu, Z.; Wang, J.; Han, R.; Yang, Y.; Fan, R. Divergence in physicochemical and microstructural properties of set-type yogurt derived from bean proteins and animal milks: An inquiry into substitution viability. LWT 2024, 193, 115689. [Google Scholar] [CrossRef]
- Greis, M.; Sainio, T.; Katina, K.; Nolden, A.A.; Kinchla, A.J.; Seppä, L.; Partanen, R. Physicochemical Properties and Mouthfeel in Commercial Plant-Based Yogurts. Foods 2022, 11, 941. [Google Scholar] [CrossRef]
- Korcz, E.; Varga, L.; Kerényi, Z. Relationship between total cell counts and exopolysaccharide production of Streptococcus thermophilus T9 in reconstituted skim milk. LWT 2021, 148, 111775. [Google Scholar] [CrossRef]
- Gilbert, A.; Turgeon, S.L. Studying Stirred Yogurt Microstructure and Its Correlation to Physical Properties: A Review. Food Hydrocoll. 2021, 121, 106970. [Google Scholar] [CrossRef]







| Serial Number | A: Enzyme Concentration | B: Temperature | C: Time | D: pH | DE Value |
|---|---|---|---|---|---|
| 1 | 1 | 1 | 1 | 1 | 37.67 |
| 2 | 2 | 1 | 2 | 2 | 40.76 |
| 3 | 3 | 1 | 3 | 3 | 41.69 |
| 4 | 2 | 2 | 1 | 3 | 42.73 |
| 5 | 3 | 2 | 2 | 1 | 40.16 |
| 6 | 1 | 2 | 3 | 2 | 41.01 |
| 7 | 3 | 3 | 1 | 2 | 37.47 |
| 8 | 1 | 3 | 2 | 3 | 37.94 |
| 9 | 2 | 3 | 3 | 1 | 37.79 |
| K1 | 116.62 | 120.12 | 117.87 | 115.62 | |
| K2 | 121.28 | 123.90 | 118.86 | 119.24 | |
| K3 | 119.32 | 113.20 | 120.49 | 122.36 | |
| K avg1 | 38.87 | 40.04 | 39.29 | 38.54 | |
| K avg2 | 40.43 | 41.30 | 39.62 | 39.75 | |
| K avg3 | 39.77 | 37.73 | 40.16 | 40.79 | |
| Optimal level | A2 | B2 | C3 | D3 | |
| Best combination | A2B2C3D3 | ||||
| Serial Number | A: Enzyme Concentration | B: Temperature | C: Time | D: pH | DE Value |
|---|---|---|---|---|---|
| 1 | 1 | 1 | 1 | 1 | 81.02 |
| 2 | 2 | 1 | 2 | 2 | 84.61 |
| 3 | 3 | 1 | 3 | 3 | 82.95 |
| 4 | 2 | 2 | 1 | 3 | 87.92 |
| 5 | 3 | 2 | 2 | 1 | 87.11 |
| 6 | 1 | 2 | 3 | 2 | 87.45 |
| 7 | 3 | 3 | 1 | 2 | 81.86 |
| 8 | 1 | 3 | 2 | 3 | 80.07 |
| 9 | 2 | 3 | 3 | 1 | 82.79 |
| K1 | 250.47 | 252.07 | 253.42 | 252.36 | |
| K2 | 256.02 | 262.97 | 252.49 | 256.29 | |
| K3 | 254.45 | 245.90 | 255.03 | 252.29 | |
| K avg1 | 83.49 | 84.02 | 84.47 | 84.12 | |
| K avg2 | 85.34 | 87.66 | 84.16 | 85.43 | |
| K avg3 | 84.82 | 81.97 | 85.01 | 84.10 | |
| Optimal level | A2 | B2 | C3 | D2 | |
| Best combination | A2B2C3D2 | ||||
| Runs | A: Inoculation Volume (%) | B: Solid–Liquid Ratio (%) | C: Temperature (°C) | Acidity (°T) | pH | Cohesiveness (Ratio) | Apparent Viscosity (Pa·s) |
|---|---|---|---|---|---|---|---|
| 1 | 0.100 | 7 | 37 | 58.20 | 3.44 | 0.47 | 1202.0 |
| 2 | 0.100 | 7 | 47 | 55.70 | 3.48 | 0.46 | 825.1 |
| 3 | 0.050 | 9 | 42 | 63.20 | 3.40 | 0.47 | 2884.0 |
| 4 | 0.075 | 7 | 42 | 68.60 | 3.37 | 0.50 | 1273.0 |
| 5 | 0.050 | 7 | 47 | 45.00 | 3.60 | 0.45 | 800.5 |
| 6 | 0.100 | 9 | 42 | 72.70 | 3.28 | 0.50 | 3264.0 |
| 7 | 0.075 | 5 | 37 | 46.00 | 3.58 | 0.42 | 337.6 |
| 8 | 0.075 | 5 | 47 | 44.50 | 3.61 | 0.43 | 260.4 |
| 9 | 0.075 | 7 | 42 | 67.10 | 3.35 | 0.51 | 1328. |
| 10 | 0.050 | 7 | 37 | 51.50 | 3.52 | 0.47 | 902.0 |
| 11 | 0.075 | 7 | 42 | 66.60 | 3.36 | 0.50 | 1300.0 |
| 12 | 0.075 | 7 | 42 | 66.60 | 3.37 | 0.51 | 1338.0 |
| 13 | 0.100 | 5 | 42 | 59.30 | 3.43 | 0.47 | 416.4 |
| 14 | 0.050 | 5 | 42 | 57.10 | 3.46 | 0.47 | 319.7 |
| 15 | 0.075 | 7 | 42 | 68.60 | 3.34 | 0.51 | 1340.0 |
| 16 | 0.075 | 9 | 47 | 52.10 | 3.50 | 0.43 | 2728.0 |
| 17 | 0.075 | 9 | 37 | 60.10 | 3.42 | 0.47 | 3075.0 |
| Source | Sum of Squares | Degrees of Freedom | Mean Square | F-Value | p-Value | Significance |
|---|---|---|---|---|---|---|
| Model | 1257.43 | 9 | 139.71 | 109.92 | <0.0001 | Significant |
| A | 105.85 | 1 | 105.85 | 83.28 | <0.0001 | |
| B | 212.18 | 1 | 212.18 | 166.93 | <0.0001 | |
| C | 42.78 | 1 | 42.78 | 33.66 | 0.0007 | |
| AB | 13.32 | 1 | 13.32 | 10.48 | 0.0143 | |
| AC | 4.00 | 1 | 4.00 | 3.15 | 0.1193 | |
| BC | 10.56 | 1 | 10.56 | 8.31 | 0.0236 | |
| A2 | 6.58 | 1 | 6.58 | 5.18 | 0.0571 | |
| B2 | 42.44 | 1 | 42.44 | 33.39 | 0.0007 | |
| C2 | 784.52 | 1 | 784.52 | 617.21 | <0.0001 | |
| Residual | 8.90 | 7 | 1.27 | |||
| Lack of fit | 4.70 | 3 | 1.57 | 1.49 | 0.3448 | Not significant |
| Pure error | 4.20 | 4 | 1.05 | |||
| Cor total | 1266.33 | 16 | ||||
| R2 | 0.9930 | Std. Dev. | 1.13 | |||
| Adj R2 | 0.9839 | Mean | 58.99 | |||
| Pred R2 | 0.9355 | C.V. % | 1.91 | |||
| Adeqprecision | 33.3646 | Press | 81.72 |
Disclaimer/Publisher’s Note: The statements, opinions and data contained in all publications are solely those of the individual author(s) and contributor(s) and not of MDPI and/or the editor(s). MDPI and/or the editor(s) disclaim responsibility for any injury to people or property resulting from any ideas, methods, instructions or products referred to in the content. |
© 2024 by the authors. Licensee MDPI, Basel, Switzerland. This article is an open access article distributed under the terms and conditions of the Creative Commons Attribution (CC BY) license (https://creativecommons.org/licenses/by/4.0/).
Share and Cite
Xu, W.; Wu, X.; Xia, C.; Guo, Z.; Zhai, Z.; Cheng, Y.; Qiu, J. Optimization of Enzymatic Hydrolysis and Fermentation Processing for Set-Type Oat Yogurt with Favorable Acidity and Coagulated Texture. Foods 2024, 13, 4180. https://doi.org/10.3390/foods13244180
Xu W, Wu X, Xia C, Guo Z, Zhai Z, Cheng Y, Qiu J. Optimization of Enzymatic Hydrolysis and Fermentation Processing for Set-Type Oat Yogurt with Favorable Acidity and Coagulated Texture. Foods. 2024; 13(24):4180. https://doi.org/10.3390/foods13244180
Chicago/Turabian StyleXu, Wenjie, Xinzhu Wu, Chen Xia, Zicong Guo, Zhengyuan Zhai, Yongqiang Cheng, and Ju Qiu. 2024. "Optimization of Enzymatic Hydrolysis and Fermentation Processing for Set-Type Oat Yogurt with Favorable Acidity and Coagulated Texture" Foods 13, no. 24: 4180. https://doi.org/10.3390/foods13244180
APA StyleXu, W., Wu, X., Xia, C., Guo, Z., Zhai, Z., Cheng, Y., & Qiu, J. (2024). Optimization of Enzymatic Hydrolysis and Fermentation Processing for Set-Type Oat Yogurt with Favorable Acidity and Coagulated Texture. Foods, 13(24), 4180. https://doi.org/10.3390/foods13244180

