Riboflavin- and Dextran-Producing Weissella confusa FS54 B2: Characterization and Testing for Development of Fermented Plant-Based Beverages
Abstract
1. Introduction
2. Materials and Methods
2.1. Bacterial Strains and Growth Conditions
2.2. Isolation of the FS54 B2 Strain
2.3. Analysis of RF and Dextran Production by FS54 and FS54 B2 Strains
2.4. Detection of Dextranase Activity
2.5. Genomic DNA Extraction, PCR Amplification and DNA Sequencing of the FMN Riboswitches
2.6. Fermentations of Plant-Based Beverages
2.7. Analysis of RF Present in the Beverages
2.8. Analysis of Sugar Metabolic Fluxes
2.9. Analysis of Dextran Present in the Beverages
2.10. Statistical Analysis
3. Results
3.1. Isolation and Initial Testing of the W. confusa FS54 B2 Strain
3.2. Analysis of the RF and Dextran Production of the W. confusa FS54 B2 and FS54 Strains in Synthetic Growth Media
3.3. Genetic Analysis of the RF-Overproducing FS54 B2 Strain
3.4. Fermentations of Plant-Based Beverages with the W. confusa FS54 B2 and FS54 Strains
3.4.1. Detection of RF in the Beverages
3.4.2. Detection of Dextran in the Beverages
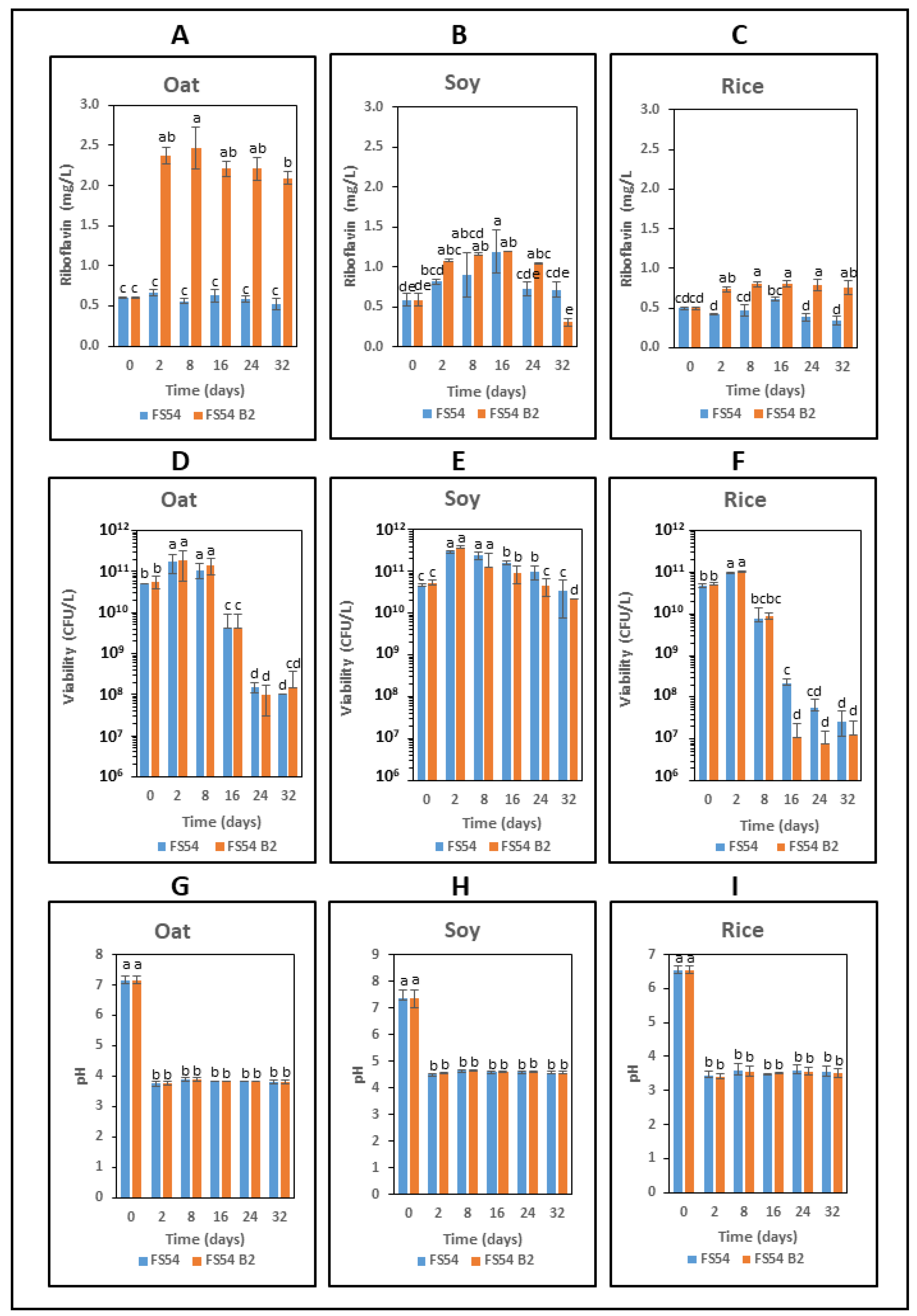
3.4.3. Analysis of Evolution of the RF, the pH and the Cell Viability During Fermentation and Storage of the Drinks
3.5. Metabolic Profiling of Plant-Based Beverages After Fermentation with the W. confusa FS54 and FS54 B2 Strains
4. Discussion
5. Patents
Supplementary Materials
Author Contributions
Funding
Institutional Review Board Statement
Informed Consent Statement
Data Availability Statement
Acknowledgments
Conflicts of Interest
References
- Leblanc, J.G.; Laiño, J.E.; del Valle, M.J.; Vannini, V.; van Sinderen, D.; Taranto, M.P.; de Valdez, G.F.; de Giori, G.S.; Sesma, F. B-group vitamin production by lactic acid bacteria—Current knowledge and potential applications. J. Appl. Microbiol. 2011, 111, 1297–1309. [Google Scholar] [CrossRef] [PubMed]
- Zheng, J.; Wittouck, S.; Salvetti, E.; Franz, C.M.A.P.; Harris, H.M.B.; Mattarelli, P.; O’toole, P.W.; Pot, B.; Vandamme, P.; Walter, J.; et al. A taxonomic note on the genus Lactobacillus: Description of 23 novel genera, emended description of the genus Lactobacillus beijerinck 1901, and union of Lactobacillaceae and Leuconostocaceae. Int. J. Syst. Evol. Microbiol. 2020, 70, 2782–2858. [Google Scholar] [CrossRef] [PubMed]
- Fusco, V.; Quero, G.M.; Cho, G.-S.; Kabisch, J.; Meske, D.; Neve, H.; Bockelmann, W.; Franz, C.M.A.P. The genus Weissella: Taxonomy, ecology and biotechnological potential. Front Microbiol. 2015, 6, 155. [Google Scholar] [CrossRef] [PubMed]
- Teixeira, C.G.; Fusieger, A.; Milião, G.L.; Martins, E.; Drider, D.; Nero, L.A.; de Carvalho, A.F. Weissella: An emerging bacterium with promising health benefits. Probiotics Antimicrob. Proteins 2021, 13, 915–925. [Google Scholar] [CrossRef]
- Bourdichon, F.; Patrone, V.; Fontana, A.; Milani, G.; Morelli, L. Safety demonstration of a microbial species for use in the food chain: Weissella confusa. Int. J. Food Microbiol. 2021, 339, 109028. [Google Scholar] [CrossRef]
- Kavitake, D.; Devi, P.B.; Shetty, P.H. Overview of exopolysaccharides produced by Weissella genus. A review. Int. J. Biol. Macromol. 2020, 164, 2964–2973. [Google Scholar] [CrossRef]
- Lynch, K.M.; Coffey, A.; Arendt, E.K. Exopolysaccharide producing lactic acid bacteria: Their techno-functional role and potential application in gluten-free bread products. Food Res. Int. 2018, 110, 52. [Google Scholar] [CrossRef]
- Nachtigall, C.; Hassler, V.; Wefers, D.; Rohm, H.; Jaros, D. Dextrans of Weissella cibaria DSM14295: Microbial production, structure and functionality. Int. J. Biol. Macromol. 2023, 246, 125631. [Google Scholar] [CrossRef]
- Galli, V.; Venturi, M.; Coda, R.; Maina, N.H.; Granchi, L. Isolation and characterization of indigenous Weissella confusa for in situ bacterial exopolysaccharides (EPS) production in chickpea sourdough. Food Res. Int. 2020, 138, 109785. [Google Scholar] [CrossRef]
- Díaz-Montes, E. Dextran: Sources, structures, and properties. Polysaccharides 2021, 2, 554–565. [Google Scholar] [CrossRef]
- Nácher-Vázquez, M.; Iturria, I.; Zarour, K.; Mohedano, M.L.; Aznar, R.; Pardo, M.Á.; López, P. Dextran production by Lactobacillus sakei MN1 coincides with reduced autoagglutination, biofilm formation and epithelial cell adhesion. Carbohydr. Polym. 2017, 168, 22–31. [Google Scholar] [CrossRef]
- Zarour, K.; Llamas, M.G.; Prieto, A.; Rúas-Madiedo, P.; Dueñas, M.T.; Fernández de Palencia, P.; Aznar, R.; Kihal, M.; López, P. Rheology and bioactivity of high molecular weight dextrans synthesised by lactic acid bacteria. Carbohydr. Polym. 2017, 174, 646–657. [Google Scholar] [CrossRef] [PubMed]
- Klein, M.I.; Duarte, S.; Xiao, J.; Mitra, S.; Foster, T.H.; Koo, H. Structural and molecular basis of the role of starch and sucrose in Streptococcus mutans biofilm development. Appl. Environ. Microbiol. 2009, 75, 837–841. [Google Scholar] [CrossRef] [PubMed]
- Benhouna, I.S.; Heumann, A.; Rieu, A.; Guzzo, J.; Kihal, M.; Bettache, G.; Champion, D.; Coelho, C.; Weidmann, S. Exopolysaccharide produced by Weissella confusa: Chemical characterisation, rheology and bioactivity. Int. Dairy J. 2019, 90, 88–94. [Google Scholar] [CrossRef]
- Llamas-Arriba, M.G.; Hernández-Alcántara, A.M.; Mohedano, M.L.; Chiva, R.; Celador-Lera, L.; Velázquez, E.; Prieto, A.; Dueñas, M.T.; Tamame, M.; López, P. Lactic acid bacteria isolated from fermented doughs in Spain produce dextrans and riboflavin. Foods 2021, 10, 2004. [Google Scholar] [CrossRef]
- Besrour-Aouam, N.; Fhoula, I.; Hernández-Alcántara, A.M.; Mohedano, M.L.; Najjari, A.; Prieto, A.; Rúas-Madiedo, P.; López, P.; Ouzari, H.I. The role of dextran production in the metabolic context of Leuconostoc and Weissella Tunisian strains. Carbohydr. Polym. 2021, 253, 117254. [Google Scholar] [CrossRef]
- Jurášková, D.; Ribeiro, S.C.; Silva, C.C.G. Exopolysaccharides produced by lactic acid bacteria: From biosynthesis to health-promoting properties. Foods 2022, 11, 156. [Google Scholar] [CrossRef]
- Linares, D.M.; Gómez, C.; Renes, E.; Fresno, J.M.; Tornadijo, M.E.; Ross, R.P.; Stanton, C. Lactic acid bacteria and bifidobacteria with potential to design natural biofunctional health-promoting dairy foods. Front. Microbiol. 2017, 8, 846. [Google Scholar] [CrossRef]
- Ye, G.; Chen, Y.; Wang, C.; Yang, R.; Bin, X. Purification and characterization of exopolysaccharide produced by Weissella cibaria YB-1 from pickle Chinese cabbage. Int. J. Biol. Macromol. 2018, 120, 1315–1321. [Google Scholar] [CrossRef]
- Levit, R.; Savoy de Giori, G.; de Moreno de LeBlanc, A.; LeBlanc, J.G. Recent update on lactic acid bacteria producing riboflavin and folates: Application for food fortification and treatment of intestinal inflammation. J. Appl. Microbiol. 2021, 130, 1412–1424. [Google Scholar] [CrossRef]
- Schwechheimer, S.K.; Park, E.Y.; Revuelta, J.L.; Becker, J.; Wittmann, C. Biotechnology of riboflavin. Appl. Microbiol. Biotechnol. 2016, 100, 2107–2119. [Google Scholar] [CrossRef] [PubMed]
- Thakur, K.; Tomar, S.K.; Singh, A.K.; Mandal, S.; Arora, S. Riboflavin and health: A review of recent human research. Crit. Rev. Food Sci. Nutr. 2017, 57, 3650–3660. [Google Scholar] [CrossRef] [PubMed]
- Revuelta, J.L.; Buey, R.M.; Ledesma-Amaro, R.; Vandamme, E.J. Microbial biotechnology for the synthesis of (pro) vitamins, biopigments and antioxidants: Challenges and opportunities. Microb. Biotechnol. 2016, 9, 564–567. [Google Scholar] [CrossRef] [PubMed]
- Sepúlveda Cisternas, I.; Salazar, J.C.; García-Angulo, V.A. Overview on the bacterial iron-riboflavin metabolic axis. Front. Microbiol. 2018, 9, 1478. [Google Scholar] [CrossRef]
- EFSA Panel on Dietetic Products, Nutrition and Allergies (EFSA NDA Panel); Turck, D.; Bresson, J.L.; Burlingame, B.; Dean, T.; Fairweather-Tait, S.; Heinonen, M.; Hirsch-Ernst, K.I.; Mangelsdorf, I.; McArdle, H.J.; et al. Dietary reference values for riboflavin. EFSA J. 2017, 15, e04919. [Google Scholar] [CrossRef]
- Suwannasom, N.; Kao, I.; Pruß, A.; Georgieva, R.; Bäumler, H. Riboflavin: The health benefits of a forgotten natural vitamin. Int. J. Mol. Sci. 2020, 21, 950. [Google Scholar] [CrossRef]
- Plantone, D.; Pardini, M.; Rinaldi, G. Riboflavin in neurological diseases: A narrative review. Clin. Drug Investig. 2021, 41, 513–527. [Google Scholar] [CrossRef]
- Revuelta, J.L.; Ledesma-Amaro, R.; Lozano-Martínez, P.; Díaz-Fernández, D.; Buey, R.M.; Jiménez, A. Bioproduction of riboflavin: A bright yellow history. J. Ind. Microbiol. Biotechnol. 2017, 44, 659–665. [Google Scholar] [CrossRef]
- Zhang, J.-R.; Ge, Y.-Y.; Liu, P.-H.; Wu, D.-T.; Liu, H.-Y.; Li, H.-B.; Corke, H.; Gan, R.-Y. Biotechnological strategies of riboflavin biosynthesis in microbes. Engineering 2022, 12, 115–127. [Google Scholar] [CrossRef]
- Burgess, C.; O’Connell-Motherway, M.; Sybesma, W.; Hugenholtz, J.; van Sinderen, D. Riboflavin production in Lactococcus lactis: Potential for in situ production of vitamin-enriched foods. Appl. Environ. Microbiol. 2004, 70, 5769–5777. [Google Scholar] [CrossRef]
- Burgess, C.M.; Smid, E.J.; Rutten, G.; van Sinderen, D. A general method for selection of riboflavin-overproducing food grade micro-organisms. Microb. Cell Fact. 2006, 5, 24. [Google Scholar] [CrossRef] [PubMed]
- Mohedano, M.L.; Hernández-Recio, S.; Yépez, A.; Requena, T.; Martínez-Cuesta, M.C.; Peláez, C.; Russo, P.; LeBlanc, J.G.; Spano, G.; Aznar, R.; et al. Real-time detection of riboflavin production by Lactobacillus plantarum strains and tracking of their gastrointestinal survival and functionality in vitro and in vivo using mCherry labeling. Front. Microbiol. 2019, 10, 1748. [Google Scholar] [CrossRef] [PubMed]
- Ge, Y.-Y.; Zhang, J.R.; Corke, H.; Gan, R.-Y. Screening and spontaneous mutation of pickle-derived Lactobacillus plantarum with overproduction of riboflavin, related mechanism, and food application. Foods 2020, 9, 88. [Google Scholar] [CrossRef]
- Russo, P.; Capozzi, V.; Arena, M.P.; Spadaccino, G.; Dueñas, M.T.; López, P.; Fiocco, D.; Spano, G. Riboflavin-overproducing strains of Lactobacillus fermentum for riboflavin-enriched bread. Appl. Microbiol. Biotechnol. 2014, 98, 3691–3700. [Google Scholar] [CrossRef] [PubMed]
- Hernández-Alcántara, A.M.; Chiva, R.; Mohedano, M.L.; Russo, P.; Ruiz-Masó, J.Á.; del Solar, G.; Spano, G.; Tamame, M.; López, P. Weissella cibaria riboflavin-overproducing and dextran-producing strains useful for the development of functional bread. Front. Nutr. 2022, 9, 978831. [Google Scholar] [CrossRef] [PubMed]
- Díez-Ozaeta, I.; Martín-Loarte, L.; Mohedano, M.L.; Tamame, M.; Ruiz-Masó, J.Á.; del Solar, G.; Dueñas, M.T.; López, P. A methodology for the selection and characterization of riboflavin-overproducing Weissella cibaria strains after treatment with roseoflavin. Front. Microbiol. 2023, 14, 1154130. [Google Scholar] [CrossRef]
- Russo, P.; de Chiara, M.L.V.; Capozzi, V.; Arena, M.P.; Amodio, M.L.; Rascón, A.; Spano, G. Lactobacillus plantarum strains for multifunctional oat-based foods. LWT-Food Sci. Technol. 2016, 68, 288–294. [Google Scholar] [CrossRef]
- Yépez, A.; Russo, P.; Spano, G.; Khomenko, I.; Biasioli, F.; Capozzi, V.; Aznar, R. In situ riboflavin fortification of different kefir-like cereal-based beverages using selected Andean LAB strains. Food Microbiol. 2019, 77, 61–68. [Google Scholar] [CrossRef]
- Spacova, I.; Ahannach, S.; Breynaert, A.; Erreygers, I.; Wittouck, S.; Bron, P.A.; Van Beeck, W.; Eilers, T.; Alloul, A.; Blansaer, N.; et al. Spontaneous riboflavin-overproducing Limosilactobacillus reuteri for biofortification of fermented foods. Front. Nutr. 2022, 9, 916607. [Google Scholar] [CrossRef]
- Russo, P.; Díez-Ozaeta, I.; Mangieri, N.; Tamame, M.; Spano, G.; Dueñas, M.T.; López, P.; Mohedano, M.L. Biotechnological potential and safety evaluation of dextran- and riboflavin-producing Weisella cibaria strains for gluten-free baking. Foods 2023, 13, 69. [Google Scholar] [CrossRef]
- Drewnowski, A.; Henry, C.J.; Dwyer, J.T. Proposed nutrient standards for plant based beverages intended as milk alternatives. Front. Nutr. 2021, 8, 761442. [Google Scholar] [CrossRef] [PubMed]
- Fhoula, I.; Najjari, A.; Turki, Y.; Jaballah, S.; Boudabous, A.; Ouzari, H. Diversity and antimicrobial properties of lactic acid bacteria isolated from rhizosphere of olive trees and desert truffles of Tunisia. BioMed Res. Int. 2013, 2013, 405708. [Google Scholar] [CrossRef] [PubMed]
- Altschul, S.F.; Gish, W.; Miller, W.; Myers, E.W.; Lipman, D.J. Basic local alignment search tool. J. Mol. Biol. 1990, 215, 403–410. [Google Scholar] [CrossRef] [PubMed]
- Darty, K.; Denise, A.; Ponty, Y. VARNA: Interactive drawing and editing of the RNA secondary structure. Bioinformatics 2009, 25, 1974–1975. [Google Scholar] [CrossRef]
- Díez-Ozaeta, I.; Berasarte, I.; Zeid, A.F.; Fernández, M.; Russo, P.; López, P.; Dueñas, M.T.; Mohedano, M.L. Functional characterization of the riboflavin-overproducing and dextran-producing Weissella cibaria BAL3C-5 C120T strain for the development of biofortified plant-based beverages. Int. J. Food Microbiol. 2025, 426, 110908. [Google Scholar] [CrossRef]
- Katina, K.; Maina, N.H.; Juvonen, R.; Flander, L.; Johansson, L.; Virkki, L.; Tenkanen, M.; Laitila, A. In situ production and analysis of Weissella confusa dextran in wheat sourdough. Food Microbiol. 2009, 26, 734–743. [Google Scholar] [CrossRef]
- R: The R Project for Statistical Computing. Available online: https://www.r-project.org/ (accessed on 18 December 2023).
- Vitreschak, A.G.; Rodionov, D.A.; Mironov, A.A.; Gelfand, M.S. Regulation of riboflavin biosynthesis and transport genes in bacteria by transcriptional and translational attenuation. Nucleic Acids Res. 2002, 30, 3141–3151. [Google Scholar] [CrossRef]
- Winkler, W.C.; Cohen-Chalamish, S.; Breaker, R.R.X. An mRNA structure that controls gene expression by binding FMN. Proc. Natl. Acad. Sci. USA 2002, 99, 15908–15913. [Google Scholar] [CrossRef]
- Melini, F.; Melini, V.; Luziatelli, F.; Ruzzi, M. Raw and heat-treated milk: From public health risks to nutritional quality. Beverages 2017, 3, 54. [Google Scholar] [CrossRef]
- Wisselink, H.W.; Weusthuis, R.A.; Eggink, G.; Hugenholtz, J.; Grobben, G.J. Mannitol production by lactic acid bacteria: A review. Int. Dairy J. 2002, 12, 151–161. [Google Scholar] [CrossRef]
- Capozzi, V.; Menga, V.; Digesu, A.M.; DeVita, P.; van Sinderen, D.; Cattivelli, L.; Fares, C.; Spano, G. Biotechnological production of vitamin B2-enriched bread and pasta. J. Agric. Food Chem. 2011, 59, 8013–8020. [Google Scholar] [CrossRef] [PubMed]
- Juarez del Valle, M.; Laiño, J.E.; de Moreno de LeBlanc, A.; Savoy de Giori, G.; LeBlanc, J.G. Soyamilk fermented with riboflavin-producing Lactobacillus plantarum CRL 2130 reverts and prevents ariboflavinosis in murine models. Br. J. Nutr. 2016, 116, 1229–1235. [Google Scholar] [CrossRef] [PubMed]
- Ripa, I.; Ruiz-Masó, J.A.; De Simone, N.; Russo, P.; Spano, G.; del Solar, G. A single change in the aptamer of the Lactiplantibacillus plantarum rib operon riboswitch severely impairs its regulatory activity and leads to a vitamin B2-overproducing phenotype. J. Microb. Biotechnol. 2022, 15, 1253–1269. [Google Scholar] [CrossRef] [PubMed]
- Kim, J.Y.; Choi, E.J.; Lee, J.H.; Yoo, M.S.; Heo, K.; Shim, J.J.; Lee, J.L. Probiotic potential of a novel vitamin B2-overproducing lactobacillus plantarum strain, HY7715, isolated from kimchi. Appl. Sci. 2021, 11, 5765. [Google Scholar] [CrossRef]
- Montemurro, M.; Pontonio, E.; Coda, R.; Rizzello, C.G. Plant-based alternatives to yogurt: State-of-the-art and perspectives of new biotechnological challenges. Foods 2021, 10, 316. [Google Scholar] [CrossRef]
- Tiangpook, S.; Nhim, S.; Prangthip, P.; Pason, P.; Tachaapaikoon, C.; Ratanakhanokchai, K.; Waeonukul, R. Production of a series of long-chain isomaltooligosaccharides from maltose by Bacillus subtilis AP-1 and associated prebiotic properties. Foods 2023, 12, 1499. [Google Scholar] [CrossRef]








| W. confusa Strain | Medium | Total RF 1 (mg/L) | Free RF 2 (mg/L) | Free RF Total RF (%) | OD600nm | Dextran 3 (g/L) |
|---|---|---|---|---|---|---|
| FS54 B2 | RAMS | 4.9 ± 0.7 a | 4.7 ± 0.2 a | 95.9 | 3.1 ± 0.3 b | 3.8 ± 0.1 a |
| RAMG | 3.9 ± 0.3 b | 3.3 ± 0.2 b | 84.6 | 4.3 ± 0.2 a | ND | |
| FS54 | RAMS | 0.3 ± 0.0 c | 0.2 ± 0.0 c | 66.6 | 4.01 ± 0.2 a | 3.8 ± 0.1 a |
| RAMG | 0.2 ± 0.0 c | 0.1 ± 0.0 c | 50.0 | 4.0 ± 0.1 a | ND |
| Fermented Drink | Sucrose (mM) | Fructose (mM) | Mannitol (mM) | Glucose (mM) | Lactic Acid (mM) | Maltose (mM) | Isomaltose (mM) | Maltotriose (mM) | Isomaltotriose (mM) | Panose (mM) |
|---|---|---|---|---|---|---|---|---|---|---|
| Oat Control | 43.4 ± 8.0 b | 4.4 ± 0.9 b | ND | 60.8 ± 12.1 a | ND | 43.1 ± 6.4 a | ND | 15.6 ± 1.9 a | ND | ND |
| FS54 | 1.9 ± 0. 1a | 72.7 ± 0.1 a | 69.8 ± 1.8 a | 74.9 ± 2.4 a | 7.7 ± 0.6 a | 43.2 ±1.2 a | 1.6 ± 0.1 b | 17.6 ± 6.0 a | 0.7 ± 0.1 b | 8.1 ± 0.8 a |
| FS54 B2 | 1.4 ± 0.7 a | 89.8 ± 1.1 a | 87.0 ± 7.7 a | 92.1 ± 7.3 a | 8.7 ± 0.7 a | 54.1 ± 5.5 a | 2.2 ± 0.0 a | 22.3 ± 9.7 a | 0.9 ± 0.1 a | 10.2 ± 0.5 a |
| Soy Control | 61.6 ± 0.7 a | 1.6 ±0.1 b | ND | 0.9 ± 0.1 b | ND | 0.42 ± 0.1 b | ND | ND | ND | ND |
| FS54 | ND | 88.1 ± 25.9 a | 44.9 ± 7.5 a | 32.3 ± 4.7 a | 11.2 ± 1.3 a | 1.27 ± 0.2 ab | ND | ND | ND | ND |
| FS54 B2 | ND | 95.6 ± 15.5 a | 48.3 ± 3.3 a | 40.1 ± 6.4 a | 12.5 ± 0.7 a | 1.06 ± 0.2 a | ND | ND | ND | ND |
| Rice Control | 38.6 ± 5.0 a | 9.7 ± 6.8 a | ND | 67.9± 14.5 a | ND | 48.8 ± 9.0 a | ND | 35.2 ± 4.4 a | ND | ND |
| FS54 | 40.3 ± 13.5 a | 16.2 ± 10.0 a | 5.6 ± 2.5 a | 67.7 ± 3.4 a | 0.8 ± 0.0 ab | 42.1 ± 11.9 a | ND | 31.0 ± 5.4 a | ND | 2.8 ± 0.2 a |
| FS54 B2 | 55.1 ± 3.4 a | 9.6 ± 1.4 a | 7.0 ± 3.1 a | 78.1 ± 1.0 a | 1.6 ± 0.4 a | 53.8 ± 1.9 a | ND | 34.2 ± 2.4 a | ND | 3.2 ± 0.8 a |
Disclaimer/Publisher’s Note: The statements, opinions and data contained in all publications are solely those of the individual author(s) and contributor(s) and not of MDPI and/or the editor(s). MDPI and/or the editor(s) disclaim responsibility for any injury to people or property resulting from any ideas, methods, instructions or products referred to in the content. |
© 2024 by the authors. Licensee MDPI, Basel, Switzerland. This article is an open access article distributed under the terms and conditions of the Creative Commons Attribution (CC BY) license (https://creativecommons.org/licenses/by/4.0/).
Share and Cite
Lahmar, M.; Besrour-Aouam, N.; Hernández-Alcántara, A.M.; Diez-Ozaeta, I.; Fhoula, I.; López, P.; Mohedano, M.L.; Ouzari, H.-I. Riboflavin- and Dextran-Producing Weissella confusa FS54 B2: Characterization and Testing for Development of Fermented Plant-Based Beverages. Foods 2024, 13, 4112. https://doi.org/10.3390/foods13244112
Lahmar M, Besrour-Aouam N, Hernández-Alcántara AM, Diez-Ozaeta I, Fhoula I, López P, Mohedano ML, Ouzari H-I. Riboflavin- and Dextran-Producing Weissella confusa FS54 B2: Characterization and Testing for Development of Fermented Plant-Based Beverages. Foods. 2024; 13(24):4112. https://doi.org/10.3390/foods13244112
Chicago/Turabian StyleLahmar, Malek, Norhane Besrour-Aouam, Annel M. Hernández-Alcántara, Iñaki Diez-Ozaeta, Imene Fhoula, Paloma López, Mari Luz Mohedano, and Hadda-Imene Ouzari. 2024. "Riboflavin- and Dextran-Producing Weissella confusa FS54 B2: Characterization and Testing for Development of Fermented Plant-Based Beverages" Foods 13, no. 24: 4112. https://doi.org/10.3390/foods13244112
APA StyleLahmar, M., Besrour-Aouam, N., Hernández-Alcántara, A. M., Diez-Ozaeta, I., Fhoula, I., López, P., Mohedano, M. L., & Ouzari, H.-I. (2024). Riboflavin- and Dextran-Producing Weissella confusa FS54 B2: Characterization and Testing for Development of Fermented Plant-Based Beverages. Foods, 13(24), 4112. https://doi.org/10.3390/foods13244112

