Effect of the Extruded Pea Hulls on Physicochemical and Sensory Properties of Wheat Bread
Abstract
1. Introduction
2. Materials and Methods
2.1. Wheat Flour and Extruded Pea Hull Characteristics
2.2. Preparation of Composite Wheat and EPH Flour
2.3. Analysis of the Rheological Properties Using Farinograph
2.4. EPH Containing Wheat Bread Preparation
2.5. Determination of Physicochemical Properties of EPH Containing Wheat Bread
2.6. Assessment of Bread Crumb Color
2.7. Total Dietary Fiber and Insoluble Dietary Fiber Evaluation
2.8. Sensory Evaluation of Bread
2.9. Statistical Analysis
3. Results
3.1. Technological Characteristics of Wheat Dough Containing EPH
3.2. Dietary Fiber Content in EPH and Wheat Bread Containing EPH
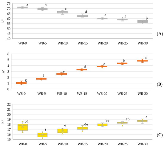
3.3. Physicochemical Characteristics of Wheat Bread with EPH Inclusion
3.4. Intensity of Bread Sensory Properties
3.5. Correlations Between Physical, Chemical, and Sensory Properties of Bread
4. Conclusions
Author Contributions
Funding
Institutional Review Board Statement
Informed Consent Statement
Data Availability Statement
Conflicts of Interest
References
- Tulbek, M.C.; Lam, R.S.H.; Wang, Y.; Asavajaru, P.; Lam, A. Chapter 9—Pea: A Sustainable Vegetable Protein Crop. In Sustainable Protein Sources; Nadathur, S.R., Wanasundara, J.P.D., Scanlin, L., Eds.; Academic Press: San Diego, CA, USA, 2017; pp. 145–164. ISBN 978-0-12-802778-3. [Google Scholar]
- Guillon, F.; Champ, M.M.-J. Carbohydrate Fractions of Legumes: Uses in Human Nutrition and Potential for Health. Br. J. Nutr. 2002, 88, 293–306. [Google Scholar] [CrossRef] [PubMed]
- Gutöhrlein, F.; Morales-Medina, R.; Boje, A.L.; Drusch, S.; Schalow, S. Modulating the Hydration Properties of Pea Hull Fibre by Its Composition as Affected by Mechanical Processing and Various Extraction Procedures. Food Hydrocoll. 2020, 107, 105958. [Google Scholar] [CrossRef]
- Ramirez, C.S.V.; Temelli, F.; Saldaña, M.D.A. Production of Pea Hull Soluble Fiber-Derived Oligosaccharides Using Subcritical Water with Carboxylic Acids. J. Supercrit. Fluids 2021, 178, 105349. [Google Scholar] [CrossRef]
- Morales-Medina, R.; Manthei, A.; Drusch, S. Enzymatic Pre-Treatment Defines the Water-Binding and Rheological Properties of Dynamic Ultra-High-Pressure Homogenised Pea Hull Suspensions. Food Hydrocoll. 2024, 157, 110454. [Google Scholar] [CrossRef]
- Liu, T.; Zhen, X.; Lei, H.; Li, J.; Wang, Y.; Gou, D.; Zhao, J. Investigating the Physicochemical Characteristics and Importance of Insoluble Dietary Fiber Extracted from Legumes: An in-Depth Study on Its Biological Functions. Food Chem. X 2024, 22, 101424. [Google Scholar] [CrossRef]
- Gil Martens, L.; Nilsen, M.M.; Provan, F. Pea Hull Fibre: Novel and Sustainable Fibre with Important Health and Functional Properties. EC Nutr. 2017, 10, 139–148. [Google Scholar]
- Wang, D.; Wang, Q.; Sun, Y.; Qing, Z.; Zhang, J.; Chen, Q. Effect of Insoluble Dietary Fiber Extracted from Feijoa (Acca Sellowiana (O. Berg) Burret.) Suplementation on Physicochemical and Functional Properties of Wheat Bred. Foods 2023, 12, 2019. [Google Scholar] [CrossRef]
- Pasqualone, A.; Angelis, D.D.; Squeo, G.; Difonzo, G.; Caponio, F.; Summo, C. The Effect of the Addition of Apulian Black Chickpea Durum Wheat-Based Bakery Products. Foods 2019, 8, 504. [Google Scholar] [CrossRef]
- Gómez, M.; Jiménez, S.; Ruiz, E.; Oliete, B. Effect of Extruded Wheat Bran on Dough Rheology and Bread Quality. Lwt 2011, 44, 2231–2237. [Google Scholar] [CrossRef]
- Verbeke, C.; Debonne, E.; Versele, S.; Van Bockstaele, F.; Eeckhout, M. Technological Evaluation of Fiber Effects in Wheat-Based Dough and Bread. Foods 2024, 13, 2582. [Google Scholar] [CrossRef]
- Kasprzak, M.; Rzedzicki, Z. Effect of Pea Seed Coat Admixture on Physical Properties and Chemical Composition of Bread. Int. Agrophysics 2010, 24, 149–156. [Google Scholar]
- Li, R.; Wang, C.; Wang, Y.; Xie, X.; Sui, W.; Liu, R.; Wu, T.; Zhang, M. Extrusion Modification of Wheat Bran and Its Effects on Structural and Rheological Properties of Wheat Flour Dough. Foods 2023, 12, 1813. [Google Scholar] [CrossRef] [PubMed]
- Alinovi, M.; Rinaldi, M.; Paciulli, M.; Littardi, P.; Chiavaro, E. Chestnut Peels and Wheat Bran at Different Water Level Influence the Physical Properties of Pan Bread. Eur. Food Res. Technol. 2022, 248, 1227–1237. [Google Scholar] [CrossRef]
- Tosh, S.M.; Yada, S. Dietary Fibres in Pulse Seeds and Fractions: Characterization, Functional Attributes, and Applications. Food Res. Int. 2010, 43, 450–460. [Google Scholar] [CrossRef]
- Paladugula, M.; Smith, B.; Morris, C.; Kiszonas, A. Incorporation of Yellow Pea Flour into White Pan Bread. Cereal Chem. 2021, 98, 1020–1026. [Google Scholar] [CrossRef]
- Ralet, M.-C.; Della Valle, G.; Thibault, J.-F. Raw and Extruded Fibre from Pea Hulls. Part I: Composition and Physico-Chemical Properties. Carbohydr. Polym. 1993, 20, 17–23. [Google Scholar] [CrossRef]
- Robin, F.; Schuchmann, H.P.; Palzer, S. Dietary Fiber in Extruded Cereals: Limitations and Opportunities. Trends Food Sci. Technol. 2012, 28, 23–32. [Google Scholar] [CrossRef]
- Siddiqui, H.; Sultan, Z.; Yousuf, O.; Malik, M.; Younis, K. A Review of the Health Benefits, Functional Properties, and Ultrasound-Assisted Dietary Fiber Extraction. Bioact. Carbohydrates Diet. Fibre 2023, 30, 100356. [Google Scholar] [CrossRef]
- AACC 54.21; Rheological Behavior of Flour by Farinograph: Constant Flor Weight Procedure. AACC: St. Paul, MN, USA, 2000.
- AACC 44-15A; Moisture—Air-Oven Methods. Approved Methods of the American Association of Cereal Chemists. AACC: St. Paul, MN, USA, 2000.
- AACC 10-05.01; Guidelines for Measurement of Volume by Rapeseed Displacement. Approved Methods of the American Association of Cereal Chemists. AACC: St. Paul, Minnesota, USA, 2000.
- Cizeikiene, D.; Jagelaviciute, J.; Stankevicius, M.; Maruska, A. Thermophilic Lactic Acid Bacteria Affect the Characteristics of Sourdough and Whole-Grain Wheat Bread. Food Biosci. 2020, 38, 100791. [Google Scholar] [CrossRef]
- AACC 74-09; Measurement of Bread Firmness by Universal Testing Machine. Approved Methods of the American Association of Cereal Chemists. AACC: St. Paul, Minesota, USA, 2000.
- AOAC 985.29; Total Dietary Fibre in Foods; Enzymatic-Gravimetric Method. AOAC (Official Methods of Analysis of AOAC): Arlington, VA, USA, 2023.
- AOAC 991.42; Insoluble Dietary Fiber in Foods and Foods Products. Enzymatic-Gravimetric Method, Phosphate Buffer. AOAC (Official Methods of Analysis): Arlington, VA, USA, 2023.
- ISO 8589:2007; Sensory Analysis-General Guidance for Design of Test Rooms. ISO: Geneva, Switzerland, 2007.
- ISO 4121; Sensory Analysis-Guidelines for the Use of Quantitative Response Scales. ISO: Geneva, Switzerland, 2003.
- Gómez, M.; Ronda, F.; Blanco, C.A.; Caballero, P.A.; Apesteguía, A. Effect of Dietary Fibre on Dough Rheology and Bread Quality. Eur. Food Res. Technol. 2003, 216, 51–56. [Google Scholar] [CrossRef]
- Regulation (EC) No 1924/2006 of the European Parliament and of the Council of 20 December 2006 on Nutrition and Health Claims Made on Foods. Off. J. Eur. Union. 2006, 404, 9–25.
- Swallah, M.S.; Fan, H.; Wang, S.; Yu, H.; Piao, C. Prebiotic Impacts of Soybean Residue (Okara) on Eubiosis/Dysbiosis Condition of the Gut and the Possible Effects on Liver and Kidney Functions. Molecules 2021, 26, 326. [Google Scholar] [CrossRef] [PubMed]
- Wang, M.; Chen, X.; Dong, L.; Nan, X.; Ji, W.; Wang, S.; Sun, W.; Zhou, Q. Modification of Pea Dietary Fiber by Ultrafine Grinding and Hypoglycemic Effect in Diabetes Mellitus Mice. J. Food Sci. 2021, 86, 1273–1282. [Google Scholar] [CrossRef] [PubMed]
- Ma, S.; Wang, Z.; Liu, H.; Li, L.; Zheng, X.; Tian, X.; Sun, B.; Wang, X. Supplementation of Wheat Flour Products with Wheat Bran Dietary Fiber: Purpose, Mechanisms, and Challenges. Trends Food Sci. Technol. 2022, 123, 281–289. [Google Scholar] [CrossRef]
- Ouyang, K.; Tao, Q.; Xie, H.; Wang, W.; Shi, W.; Shi, Q.; Xiong, H.; Zhao, Q. Enrichment of Bread with Soluble and Insoluble Rice Bran Dietary Fibers: A Comparative Study. J. Cereal Sci. 2024, 117, 103927. [Google Scholar] [CrossRef]
- Li, S.; Zheng, Y.; Chen, Z.; Xie, W.; Xiao, L.; Gao, D.; Zhao, J. Effect of Soluble Dietary Fiber from Corn Bran on Pasting, Retrogradation, and Digestion Characteristics of Corn Starch. Food Chem. X 2024, 2024, 102013. [Google Scholar] [CrossRef]
- McClements, D.J. (Ed.) Understanding and Controlling the Microstructure of Complex Foods; Woodhead Publishing Limited: Cambridge, UK, 2007. [Google Scholar]
- Pan, Q.; Zhou, J.; Shen, W.; Wang, Z.; Cai, H.; Jia, X. Effect of Extruded Wheat Bran on Volatile and Physicochemical Properties of Bread during Its Shelf Life. J. Cereal Sci. 2022, 107, 103525. [Google Scholar] [CrossRef]
- Boukid, F.; Zannini, E.; Carini, E.; Vittadini, E. Pulses for Bread Fortification: A Necessity or a Choice? Trends Food Sci. Technol. 2019, 88, 416–428. [Google Scholar] [CrossRef]
- Aguilera, J.M.; Covacevich, L. Designing Foods for an Increasingly Elderly Population: A Challenge of the XXI Century. Curr. Opin. Food Sci. 2023, 51, 101037. [Google Scholar] [CrossRef]
- Previtali, M.A.; Mastromatteo, M.; De Vita, P.; Ficco, D.B.M.; Conte, A.; Del Nobile, M.A. Effect of the Lentil Flour and Hydrocolloids on Baking Characteristics of Wholemeal Durum Wheat Bread. Int. J. Food Sci. Technol. 2014, 49, 2382–2390. [Google Scholar] [CrossRef]






| EPH Replacement Level (%) | Water Absorption (%) | Dough Development Time (min) | Dough Stability Time (min) |
|---|---|---|---|
| 0 | 60.2 ± 0.1 f | 1.4 ± 0.1 d | 8.5 ± 0.1 a |
| 5 | 61.3 ± 0.8 f | 13.8 ± 0.6 a | 8.2 ± 0.1 a |
| 10 | 63.9 ± 0.6 e | 12.1 ± 0.2 b | 8.3 ± 0.9 a |
| 15 | 67.4 ± 0.2 d | 10.9 ± 0.7 bc | 4.2 ± 0.1 b |
| 20 | 70.4 ± 0.2 c | 10.4 ± 0.2 c | 3.4 ± 0.0 c |
| 25 | 73.4 ± 0.1 b | 9.6 ± 0.0 c | 2.6 ± 0.0 de |
| 30 | 75.4 ± 0.6 a | 9.6 ± 0.1 c | 2.5 ± 0.1 e |
| Samples 1 | Total Dietary Fiber (% dw) | Insoluble Dietary Fiber (% dw) | Soluble Dietary Fiber (% dw) | Total Dietary Fiber (100 g−1 product) |
|---|---|---|---|---|
| WB-0 | 11.05 ± 0.21 g | 10.98 ± 0.17 g | 0.10 ± 0.03 e | 4.19 ± 0.29 g |
| WB-5 | 13.35 ± 0.21 f | 13.04 ± 0.18 f | 0.31 ± 0.01 d | 7.88 ± 0.13 f |
| WB-10 | 18.38 ± 0.38 e | 18.04 ± 0.06 e | 0.42 ± 0.01 c | 10.41 ± 0.21 e |
| WB-15 | 20.40 ± 0.31 d | 19.80 ± 0.09 d | 0.59 ± 0.04 b | 11.32 ± 0.17 d |
| WB-20 | 22.88 ± 0.08 c | 22.66 ± 0.10 c | 0.27 ± 0.08 d | 12.40 ± 0.04 c |
| WB-25 | 25.66 ± 0.17 b | 25.39 ± 0.23 b | 0.27 ± 0.05 d | 13.42 ± 0.09 b |
| WB-30 | 28.66 ± 0.0.19 a | 27.90 ± 0.11 a | 0.70 ± 0.01 a | 15.19 ± 0.10 a |
| Bread Samples | Sensory Properties | ||||
|---|---|---|---|---|---|
| Crumb Color | Porosity | Pea Aroma | Pea Taste | Grainy Aftertaste | |
| WB-0 | 1.63 f | 4.64 bc | 0.17 e | 0.14 d | 1.33 e |
| WB-5 | 3.23 e | 5.69 ab | 0.77 d | 0.93 d | 2.41 d |
| WB-10 | 5.09 d | 5.42 b | 2.74 c | 2.01 c | 2.92 cd |
| WB-15 | 6.43 c | 5.75 ab | 2.79 c | 2.38 c | 3.49 bc |
| WB-20 | 8.54 b | 6.44 a | 4.35 b | 3.36 b | 3.48 bc |
| WB-25 | 8.84 b | 5.37 b | 5.12 ab | 3.64 b | 3.82 ab |
| WB-30 | 10.20 a | 4.38 c | 5.90 a | 5.23 a | 4.54 a |
| p-value | p < 0.00001 | p = 0.0315 | p < 0.0001 | p < 0.0001 | p < 0.001 |
Disclaimer/Publisher’s Note: The statements, opinions and data contained in all publications are solely those of the individual author(s) and contributor(s) and not of MDPI and/or the editor(s). MDPI and/or the editor(s) disclaim responsibility for any injury to people or property resulting from any ideas, methods, instructions or products referred to in the content. |
© 2024 by the authors. Licensee MDPI, Basel, Switzerland. This article is an open access article distributed under the terms and conditions of the Creative Commons Attribution (CC BY) license (https://creativecommons.org/licenses/by/4.0/).
Share and Cite
Klava, D.; Galoburda, R.; Gramatina, I.; Straumite, E.; Staugis, A.; Reidzane, S. Effect of the Extruded Pea Hulls on Physicochemical and Sensory Properties of Wheat Bread. Foods 2024, 13, 3985. https://doi.org/10.3390/foods13243985
Klava D, Galoburda R, Gramatina I, Straumite E, Staugis A, Reidzane S. Effect of the Extruded Pea Hulls on Physicochemical and Sensory Properties of Wheat Bread. Foods. 2024; 13(24):3985. https://doi.org/10.3390/foods13243985
Chicago/Turabian StyleKlava, Dace, Ruta Galoburda, Ilze Gramatina, Evita Straumite, Agris Staugis, and Sanita Reidzane. 2024. "Effect of the Extruded Pea Hulls on Physicochemical and Sensory Properties of Wheat Bread" Foods 13, no. 24: 3985. https://doi.org/10.3390/foods13243985
APA StyleKlava, D., Galoburda, R., Gramatina, I., Straumite, E., Staugis, A., & Reidzane, S. (2024). Effect of the Extruded Pea Hulls on Physicochemical and Sensory Properties of Wheat Bread. Foods, 13(24), 3985. https://doi.org/10.3390/foods13243985

