Exploring Near-Infrared and Raman Spectroscopies for the Non-Destructive In-Situ Estimation of Sweetness in Half Watermelons
Abstract
1. Introduction
2. Material and Methods
2.1. Sampling
2.2. Instrumentation, Experimental Methodology, and Spectral Data Collection
2.2.1. NIR Spectra Acquisition
2.2.2. Raman Measurements
2.3. Reference Analysis
2.4. Multivariate Analysis of the Spectral Data
3. Results and Discussion
3.1. Characterization of the NIR and Raman Spectra
3.2. Exploratory Study of the Spectral Population and Characterization of the Calibration and Validation Sets
3.3. Development of Models for the Prediction of SSC Using NIR and Raman Calibration Sets and PLS Regression
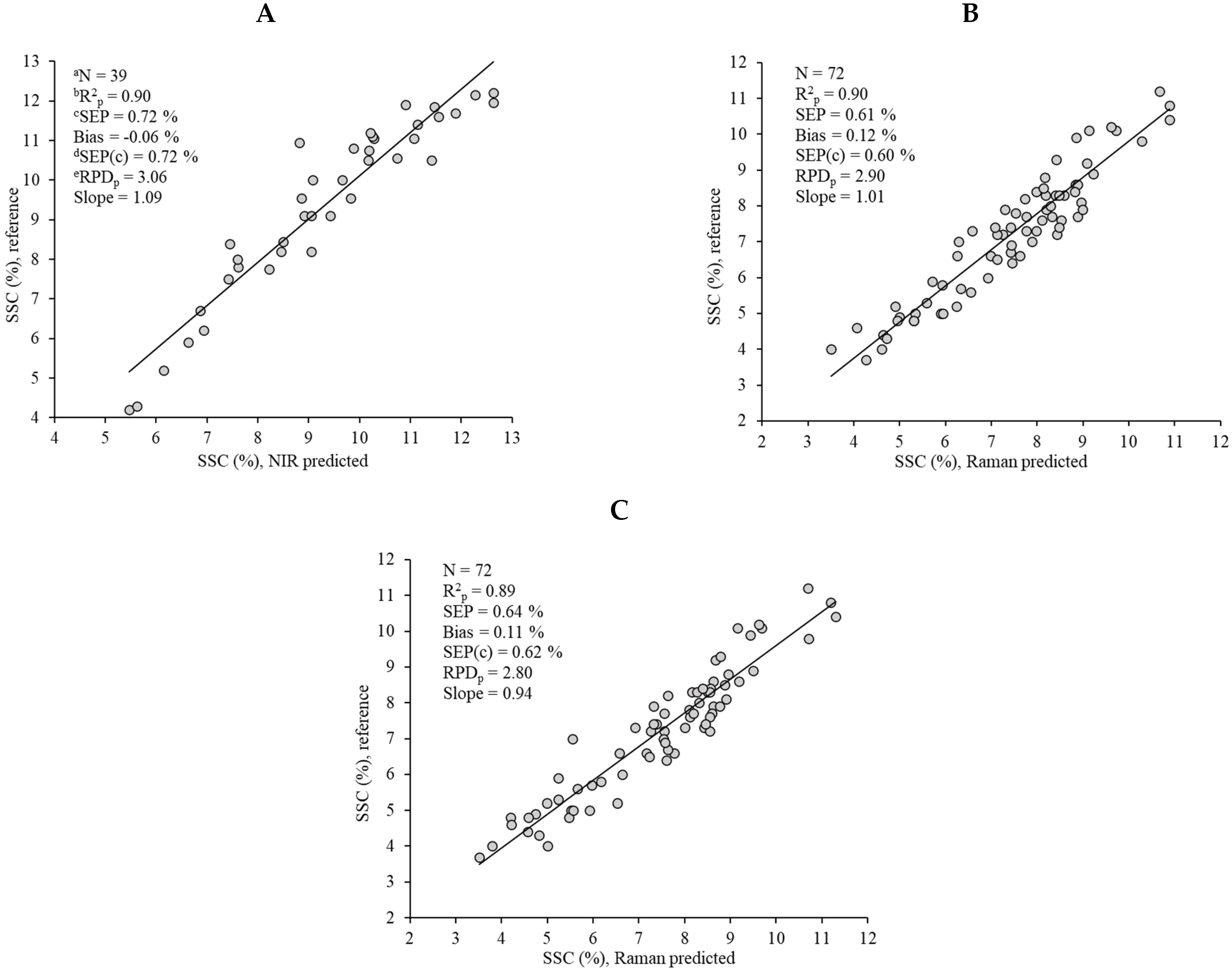
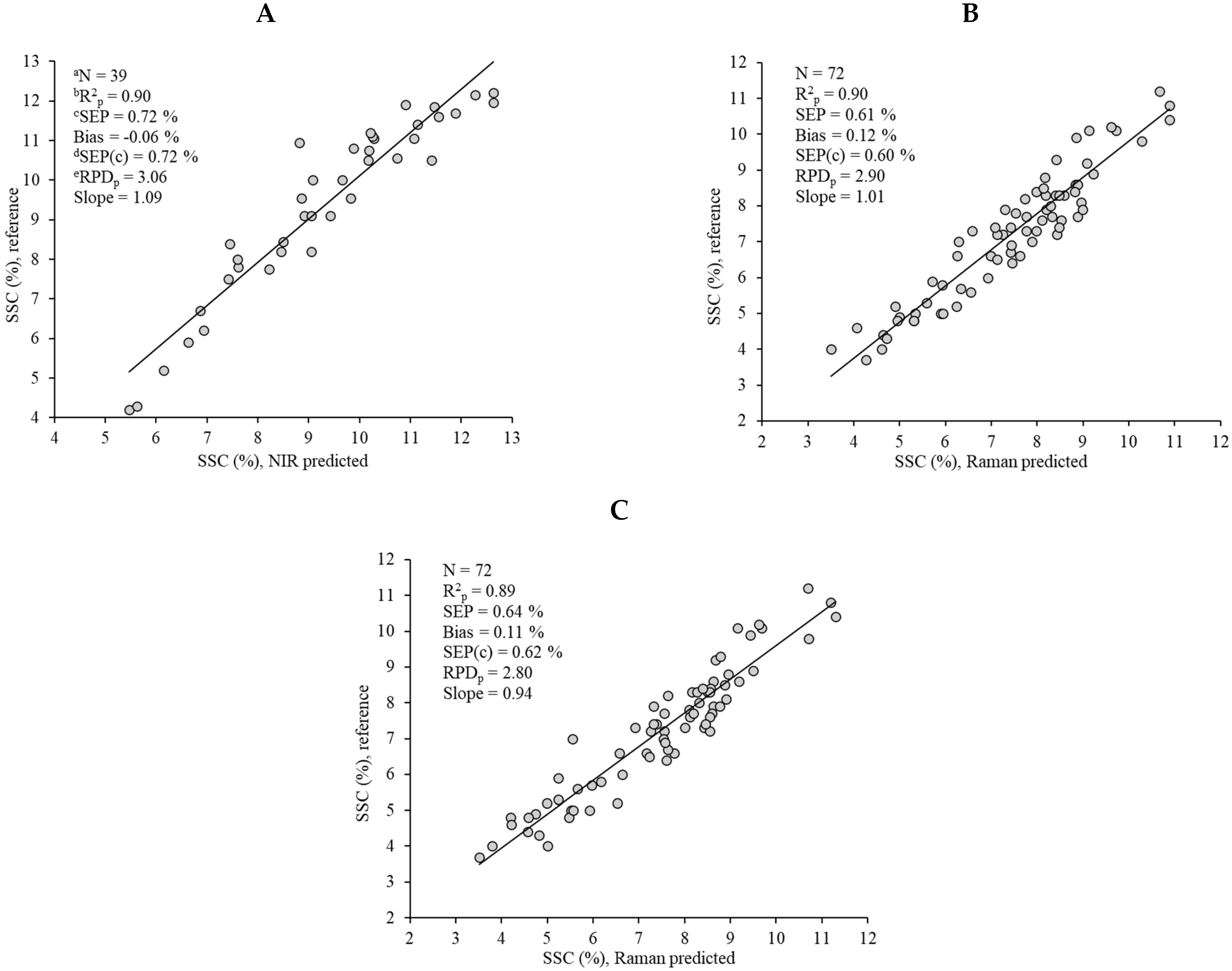
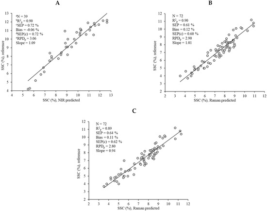
3.4. Validation of the Models Developed Using the NIR and Raman Techniques
4. Conclusions
Author Contributions
Funding
Institutional Review Board Statement
Informed Consent Statement
Data Availability Statement
Acknowledgments
Conflicts of Interest
References
- FAO. Agricultural Production Statistics 2000–2020; FAOSTAT Analytical Brief Series No. 41; FAO: Rome, Italy, 2022; Available online: www.fao.org/3/cb9180en/cb9180en.pdf (accessed on 15 July 2024).
- Soteriou, G.; Kyriacou, M.; Siomos, A.; Gerasopoulos, D. Evolution of watermelon fruit physicochemical and phytochemical composition during ripening as affected by grafting. Food Chem. 2014, 165, 282–289. [Google Scholar] [CrossRef] [PubMed]
- Opara, U.L.; Pathare, P.B. Bruise damage measurement and analysis of fresh horticultural produce—A review. Postharvest Biol. Technol. 2014, 91, 9–24. [Google Scholar] [CrossRef]
- Sultanbawa, Y.; Smyth, H.; Truong, K.; Chapman, J.; Cozzolino, D. Insights on the role of chemometrics and vibrational spectroscopy in fruit metabolite analysis. Food Chem. Mol. Sci. 2021, 3, 100033. [Google Scholar] [CrossRef]
- Cullen, P.J.; O’Donnell, C.P.; Fagan, C.C. Benefits and challenges of adopting PAT for the food industry. In Process Analytical Technology for the Food Industry; Springer: Berlin/Heidelberg, Germany, 2014; pp. 1–5. [Google Scholar] [CrossRef]
- Huang, J.; Zou, T.; Hu, H.; Xiao, X.; Wang, Z.; Li, M.; Dai, S. Automatic Brix Measurement for Watermelon Breeding. Appl. Sci. 2022, 12, 12227. [Google Scholar] [CrossRef]
- Anderson, N.T.; Walsh, K.B. Review: The evolution of chemometrics coupled with near infrared spectroscopy for fruit quality evaluation. J. Near Infrared Spectrosc. 2022, 30, 3–17. [Google Scholar] [CrossRef]
- Flores, K.; Sánchez, M.; Pérez-Marín, D.; López, M.D.; Guerrero, J.; Garrido-Varo, A. Prediction of Total Soluble Solid Content in Intact and Cut Melons and Watermelons Using near Infrared Spectroscopy. J. Near Infrared Spectrosc. 2008, 16, 91–98. [Google Scholar] [CrossRef]
- Ibrahim, A.; Daood, H.G.; Égei, M.; Takács, S.; Helyes, L. A Comparative Study between Vis/NIR Spectroradiometer and NIR Spectroscopy for the Non-Destructive Quality Assay of Different Watermelon Cultivars. Horticulturae 2022, 8, 509. [Google Scholar] [CrossRef]
- Vega-Castellote, M.; Pérez-Marín, D.; Torres-Rodríguez, I.; Moreno-Rojas, J.-M.; Ordoñez-Díaz, J.-L.; Sánchez, M.-T. Green, multivariate approach for obtaining a fingerprint of quality of watermelons at supermarket level using near infrared spectroscopy. LWT 2023, 182, 114831. [Google Scholar] [CrossRef]
- Fang, P.; Wang, H.; Wan, X. Olive oil authentication based on quantitative β-carotene Raman spectra detection. Food Chem. 2022, 397, 133763. [Google Scholar] [CrossRef]
- Lindtvedt, T.A.; Andersen, P.V.; Afseth, N.K.; Marquardt, B.; Gidskehaug, L.; Wold, J.P. Feasibility of In-Line Raman Spectroscopy for Quality Assessment in Food Industry: How Fast Can We Go? Appl. Spectrosc. 2022, 76, 559–568. [Google Scholar] [CrossRef]
- Andersen, P.V.; Afseth, N.K.; Gjerlaug-Enger, E.; Wold, J.P. Prediction of water holding capacity and pH in porcine longissimus lumborum using Raman spectroscopy. Meat Sci. 2021, 172, 108357. [Google Scholar] [CrossRef] [PubMed]
- Arendse, E.; Fawole, O.A.; Magwaza, L.S.; Opara, U.L. Non-destructive prediction of internal and external quality attributes of fruit with thick rind: A review. J. Food Eng. 2018, 217, 11–23. [Google Scholar] [CrossRef]
- Tian, S.; Xu, H. Nondestructive Methods for the Quality Assessment of Fruits and Vegetables Considering Their Physical and Biological Variability. Food Eng. Rev. 2022, 14, 380–407. [Google Scholar] [CrossRef]
- Monago-Maraña, O.; Afseth, N.K.; Knutsen, S.H.; Wubshet, S.G.; Wold, J.P. Quantification of soluble solids and individual sugars in apples by Raman spectroscopy: A feasibility study. Postharvest Biol. Technol. 2021, 180, 111620. [Google Scholar] [CrossRef]
- Andersen, P.V.; Afseth, N.K.; Aaby, K.; Gaarder, M.; Remberg, S.F.; Wold, J.P. Prediction of chemical and sensory properties in strawberries using Raman spectroscopy. Postharvest Biol. Technol. 2023, 201, 112370. [Google Scholar] [CrossRef]
- Dhanani, T.; Dou, T.; Biradar, K.; Jifon, J.; Kurouski, D.; Patil, B.S. Raman Spectroscopy Detects Changes in Carotenoids on the Surface of Watermelon Fruits During Maturation. Front. Plant Sci. 2022, 13, 832522. [Google Scholar] [CrossRef]
- Ikeda, T.; Fukazawa, T.; Mitsuie, S.; Yoshii, K.-I. Osmotic Contribution of Sugar Contents in Watermelon Flesh. Environ. Control. Biol. 2011, 49, 83–90. [Google Scholar] [CrossRef][Green Version]
- Barnes, R.J.; Dhanoa, M.S.; Lister, S.J. Standard Normal Variate Transformation and De-Trending of Near-Infrared Diffuse Reflectance Spectra. Appl. Spectrosc. 1989, 43, 772–777. [Google Scholar] [CrossRef]
- Walsh, K.B.; Guthrie, J.A.; Burney, J.W. Application of commercially available, low-cost, miniaturised NIR spectrometers to the assessment of the sugar content of intact fruit. Aust. J. Plant Physiol. 2000, 27, 1175–1186. [Google Scholar] [CrossRef]
- Naes, T.; Isaksson, T.; Fearn, T.; Davies, A. A User-Friendly Guide to Multivariate Calibration and Classification; NIR Publications: Chichester, UK, 2002. [Google Scholar]
- Windham, W.R.; Mertens, D.R.; Barton, F.E., II. Protocol for NIRS calibration: Sample selection and equation development and validation. In Near Infrared Spectroscopy (NIRS): Analysis of Forage Quality; Martens, G.C., Shenk, J.S., Barton, F.E., II, Eds.; Agriculture Handbook, 643; USDA-ARS, Government Printing Office: Washington, DC, USA, 1989; pp. 96–103. [Google Scholar]
- Jerome, J.; Workman, J. NIR spectroscopy calibration basics. In Handbook of Near Infrared Analysis; Burns, D.A., Ciurczac, E.W., Eds.; CRC Press: Basel, Switzerland; New York, NY, USA, 2008; pp. 123–150. [Google Scholar]
- Lieber, C.A.; Mahadevan-Jansen, A. Automated Method for Subtraction of Fluorescence from Biological Raman Spectra. Appl. Spectrosc. 2003, 57, 1363–1367. [Google Scholar] [CrossRef]
- Mark, H.; Workman, J. The F statistic. In Statistics in Spectroscopy, 2nd ed.; Mark, H., Workman, J., Eds.; Academic Press: San Diego, CA, USA, 2003; pp. 205–211. [Google Scholar]
- Mathlouthi, M.; Luu, D.V. Laser-raman spectra of d-fructose in aqueous solution. Carbohydr. Res. 1980, 78, 225–233. [Google Scholar] [CrossRef]
- Liao, S.; Wu, Y.; Hu, X.; Weng, S.; Hu, Y.; Zheng, L.; Lei, Y.; Tang, L.; Wang, J.; Wang, H.; et al. Detection of apple fruit damages through Raman spectroscopy with cascade forest. Spectrochim. Acta Part A Mol. Biomol. Spectrosc. 2023, 296, 122668. [Google Scholar] [CrossRef] [PubMed]
- Kiefer, J.; Seeger, T.; Steuer, S.; Schorsch, S.; Weikl, M.C.; Leipertz, A. Design and characterization of a Raman-scattering-based sensor system for temporally resolved gas analysis and its application in a gas turbine power plant. Meas. Sci. Technol. 2008, 19, 085408. [Google Scholar] [CrossRef]
- Martens, H.; Naes, T. Multivariate Calibration; Wiley: Chichester, UK, 1989. [Google Scholar]
- Shenk, J.S.; Westerhaus, M.O. Calibration the ISI way. In Near Infrared Spectroscopy: The Future Waves; Davies, A.M.C., Williams, P.C., Eds.; NIR Publications: Chichester, UK, 1996; pp. 198–202. [Google Scholar]
- Williams, P.C. Implementation of near-infrared technology. In Near-Infrared Technology in the Agricultural and Food Industries; Williams, P.C., Norris, K.H., Eds.; AACC Inc.: St. Paul, MN, USA, 2001; pp. 145–169. [Google Scholar]
- Williams, P.C.; Antoniszyn, J.; Manley, M. Near Infrared Technology: Getting the Best Out of Light; African Sun Media; SUN PreSS: Stellenbosch, South Africa, 2019. [Google Scholar]
- Bianchi, G.; Rizzolo, A.; Grassi, M.; Provenzi, L.; Lo Scalzo, R. External maturity indicators, carotenoid and sugar compositions and volatile patterns in ‘Cuoredolce®’ and ‘Rugby’ mini-watermelon (Citrullus lanatus (Thunb) Matsumura & Nakai) varieties in relation of ripening degree at harvest. Postharvest Biol. Technol. 2018, 136, 1–11. [Google Scholar] [CrossRef]
- Golic, M.; Walsh, K.; Lawson, P. Short-Wavelength Near-Infrared Spectra of Sucrose, Glucose, and Fructose with Respect to Sugar Concentration and Temperature. Appl. Spectrosc. 2003, 57, 139–145. [Google Scholar] [CrossRef]
- Shenk, J.S.; Workman, J.; Westerhaus, M. Application of NIR spectroscopy to agricultural products. In Handbook of Near Infrared Analysis, 3rd ed.; Burns, D.A., Ciurczac, E.W., Eds.; Marcel Dekker: New York, NY, USA, 2008; pp. 347–386. [Google Scholar]
- Fredes, A.; Sales, C.; Barreda, M.; Valcárcel, M.; Roselló, S.; Beltrán, J. Quantification of prominent volatile compounds responsible for muskmelon and watermelon aroma by purge and trap extraction followed by gas chromatography–mass spectrometry determination. Food Chem. 2016, 190, 689–700. [Google Scholar] [CrossRef]
- Yang, X.; Yang, F.; Liu, Y.; Li, J.; Song, H.-L. Identification of Key Off-Flavor Compounds in Thermally Treated Watermelon Juice via Gas Chromatography–Olfactometry–Mass Spectrometry, Aroma Recombination, and Omission Experiments. Foods 2020, 9, 227. [Google Scholar] [CrossRef]
- Tamburini, E.; Costa, S.; Rugiero, I.; Pedrini, P.; Marchetti, M.G. Quantification of Lycopene, β-Carotene, and Total Soluble Solids in Intact Red-Flesh Watermelon (Citrullus lanatus) Using On-Line Near-Infrared Spectroscopy. Sensors 2017, 17, 746. [Google Scholar] [CrossRef]
- Afseth, N.K.; Dankel, K.; Andersen, P.V.; Difford, G.F.; Horn, S.S.; Sonesson, A.; Hillestad, B.; Wold, J.P.; Tengstrand, E. Raman and near Infrared Spectroscopy for Quantification of Fatty Acids in Muscle Tissue—A Salmon Case Study. Foods 2022, 11, 962. [Google Scholar] [CrossRef]
- Lintvedt, T.A.; Andersen, P.V.; Afseth, N.K.; Heia, K.; Lindberg, S.-K.; Wold, J.P. Raman spectroscopy and NIR hyperspectral imaging for in-line estimation of fatty acid features in salmon fillets. Talanta 2023, 254, 124113. [Google Scholar] [CrossRef]
- Siesler, H.W. Basic Principles of Near-Infrared Spectroscopy. In Handbook of Near Infrared Spectroscopy; Burns, D.A., Ciurczak, E.W., Eds.; CRC Press: Boca Raton, FL, USA, 2007; pp. 7–19. [Google Scholar]
- Mashilo, J.; Shimelis, H.; Ngwepe, R.M.; Thungo, Z. Genetic Analysis of Fruit Quality Traits in Sweet Watermelon (Citrullus lanatus var. lanatus): A Review. Front. Plant Sci. 2022, 13, 834696. [Google Scholar] [CrossRef]
- Baranska, M.; Schütze, W.; Schulz, H. Determination of Lycopene and β-Carotene Content in Tomato Fruits and Related Products: Comparison of FT-Raman, ATR-IR, and NIR Spectroscopy. Anal. Chem. 2006, 78, 8456–8461. [Google Scholar] [CrossRef]





| Instrument | Set | a N | Range | Mean | b SD | c CV (%) |
|---|---|---|---|---|---|---|
| MicroNIRTM Pro 1700 | Calibration | 164 | 3.80–14.15 | 9.21 | 2.21 | 24.00 |
| Validation | 39 | 4.20–12.20 | 9.39 | 2.22 | 23.64 | |
| MarqMetrix AIO | Calibration | 307 | 3.40–12.5 | 7.84 | 1.97 | 25.13 |
| Validation | 72 | 3.70–11.20 | 7.20 | 1.79 | 24.86 |
| Instrument | a N | Range | Mean | b SD | c LV | d SECV | e R2cv | f RPDcv |
|---|---|---|---|---|---|---|---|---|
| MicroNIRTM Pro 1700 | 155 | 3.80–13.30 | 9.14 | 2.16 | 12 | 0.56 | 0.93 | 3.86 |
| MarqMetrix AIO (full spectral range) | 294 | 3.40–11.80 | 7.80 | 1.94 | 6 | 0.60 | 0.91 | 3.24 |
| MarqMetrix AIO (502–1750 and 2800–3052 cm−1 range) | 293 | 3.40–11.80 | 7.80 | 1.94 | 5 | 0.63 | 0.90 | 3.07 |
Disclaimer/Publisher’s Note: The statements, opinions and data contained in all publications are solely those of the individual author(s) and contributor(s) and not of MDPI and/or the editor(s). MDPI and/or the editor(s) disclaim responsibility for any injury to people or property resulting from any ideas, methods, instructions or products referred to in the content. |
© 2024 by the authors. Licensee MDPI, Basel, Switzerland. This article is an open access article distributed under the terms and conditions of the Creative Commons Attribution (CC BY) license (https://creativecommons.org/licenses/by/4.0/).
Share and Cite
Vega-Castellote, M.; Pérez-Marín, D.; Wold, J.P.; Afseth, N.K.; Sánchez, M.-T. Exploring Near-Infrared and Raman Spectroscopies for the Non-Destructive In-Situ Estimation of Sweetness in Half Watermelons. Foods 2024, 13, 3971. https://doi.org/10.3390/foods13233971
Vega-Castellote M, Pérez-Marín D, Wold JP, Afseth NK, Sánchez M-T. Exploring Near-Infrared and Raman Spectroscopies for the Non-Destructive In-Situ Estimation of Sweetness in Half Watermelons. Foods. 2024; 13(23):3971. https://doi.org/10.3390/foods13233971
Chicago/Turabian StyleVega-Castellote, Miguel, Dolores Pérez-Marín, Jens Petter Wold, Nils Kristian Afseth, and María-Teresa Sánchez. 2024. "Exploring Near-Infrared and Raman Spectroscopies for the Non-Destructive In-Situ Estimation of Sweetness in Half Watermelons" Foods 13, no. 23: 3971. https://doi.org/10.3390/foods13233971
APA StyleVega-Castellote, M., Pérez-Marín, D., Wold, J. P., Afseth, N. K., & Sánchez, M.-T. (2024). Exploring Near-Infrared and Raman Spectroscopies for the Non-Destructive In-Situ Estimation of Sweetness in Half Watermelons. Foods, 13(23), 3971. https://doi.org/10.3390/foods13233971

