Citrus bergamia Extract, a Natural Approach for Cholesterol and Lipid Metabolism Management: A Randomized, Double-Blind Placebo-Controlled Clinical Trial
Abstract
1. Introduction
2. Materials and Methods
2.1. Trial Design
2.2. Participants
2.3. Interventions and Randomization
2.4. Clinical Biochemistry
2.5. Stastistical Methods
3. Results
3.1. Subject Characteristics
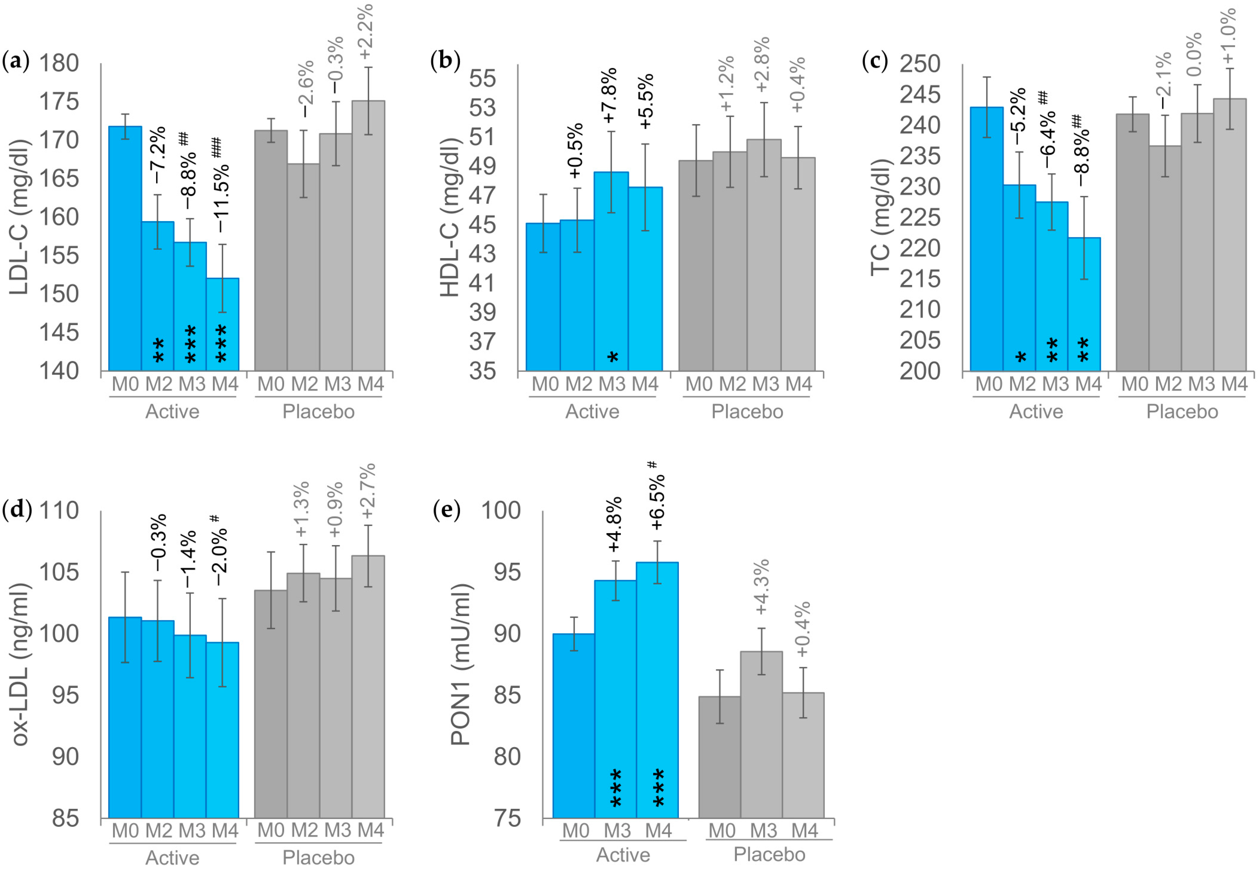
3.2. Primary Endpoints
3.3. Secondary Endpoints
4. Discussion
5. Conclusions
Author Contributions
Funding
Institutional Review Board Statement
Informed Consent Statement
Data Availability Statement
Acknowledgments
Conflicts of Interest
References
- Indicator Metadata Registry Details. Available online: https://www.who.int/data/gho/indicator-metadata-registry/imr-details/3236 (accessed on 3 May 2024).
- Osadnik, T.; Goławski, M.; Lewandowski, P.; Morze, J.; Osadnik, K.; Pawlas, N.; Lejawa, M.; Jakubiak, G.K.; Mazur, A.; Schwingschackl, L.; et al. A Network Meta-Analysis on the Comparative Effect of Nutraceuticals on Lipid Profile in Adults. Pharmacol. Res. 2022, 183, 106402. [Google Scholar] [CrossRef] [PubMed]
- Huang, P.L. A Comprehensive Definition for Metabolic Syndrome. Dis. Model. Mech. 2009, 2, 231–237. [Google Scholar] [CrossRef]
- Karr, S. Epidemiology and Management of Hyperlipidemia. Am. J. Manag. Care 2017, 23 (Suppl. S9), S139–S148. [Google Scholar] [PubMed]
- Stewart, J.; McCallin, T.; Martinez, J.; Chacko, S.; Yusuf, S. Hyperlipidemia. Pediatr. Rev. 2020, 41, 393–402. [Google Scholar] [CrossRef] [PubMed]
- Singh, S.; Zahoor, I.; Sharma, N.; Behl, T.; Kanojia, N.; Sehgal, A.; Mohan, S.; Almoshari, Y.; Salawi, A.; Aleya, L.; et al. Insights into the Pivotal Role of Statins and Its Nanoformulations in Hyperlipidemia. Environ. Sci. Pollut. Res. Int. 2022, 29, 76514–76531. [Google Scholar] [CrossRef]
- Jacobson, T.A.; Ito, M.K.; Maki, K.C.; Orringer, C.E.; Bays, H.E.; Jones, P.H.; McKenney, J.M.; Grundy, S.M.; Gill, E.A.; Wild, R.A.; et al. National Lipid Association Recommendations for Patient-Centered Management of Dyslipidemia: Part 1—Full Report. J. Clin. Lipidol. 2015, 9, 129–169. [Google Scholar] [CrossRef]
- Stone, N.J.; Robinson, J.G.; Lichtenstein, A.H.; Bairey Merz, C.N.; Blum, C.B.; Eckel, R.H.; Goldberg, A.C.; Gordon, D.; Levy, D.; Lloyd-Jones, D.M.; et al. 2013 ACC/AHA Guideline on the Treatment of Blood Cholesterol to Reduce Atherosclerotic Cardiovascular Risk in Adults: A Report of the American College of Cardiology/American Heart Association Task Force on Practice Guidelines. J Am Coll Cardiol. 2014, 63 Pt B, 2889–2934. [Google Scholar] [CrossRef]
- Bertolini, S.; Bon, G.B.; Campbell, L.M.; Farnier, M.; Langan, J.; Mahla, G.; Pauciullo, P.; Sirtori, C.; Egros, F.; Fayyad, R.; et al. Efficacy and Safety of Atorvastatin Compared to Pravastatin in Patients with Hypercholesterolemia. Atherosclerosis 1997, 130, 191–197. [Google Scholar] [CrossRef]
- Sirtori, C.R. The Pharmacology of Statins. Pharmacol. Res. 2014, 88, 3–11. [Google Scholar] [CrossRef]
- Oesterle, A.; Laufs, U.; Liao, J.K. Pleiotropic Effects of Statins on the Cardiovascular System. Circ. Res. 2017, 120, 229–243. [Google Scholar] [CrossRef]
- Cholesterol Treatment Trialists’ (CTT) Collaboration; Baigent, C.; Blackwell, L.; Emberson, J.; Holland, L.E.; Reith, C.; Bhala, N.; Peto, R.; Barnes, E.H.; Keech, A.; et al. Efficacy and Safety of More Intensive Lowering of LDL Cholesterol: A Meta-Analysis of Data from 170,000 Participants in 26 Randomised Trials. Lancet 2010, 376, 1670–1681. [Google Scholar] [CrossRef] [PubMed]
- Shah, R.V.; Goldfine, A.B. Statins and Risk of New-Onset Diabetes Mellitus. Circulation 2012, 126, e282–e284. [Google Scholar] [CrossRef] [PubMed]
- Keni, R.; Sekhar, A.; Gourishetti, K.; Nayak, P.G.; Kinra, M.; Kumar, N.; Shenoy, R.R.; Kishore, A.; Nandakumar, K. Role of Statins in New-Onset Diabetes Mellitus: The Underlying Cause, Mechanisms Involved, and Strategies to Combat. Curr. Drug Targets 2021, 22, 1121–1128. [Google Scholar] [CrossRef]
- Stroes, E.S.; Thompson, P.D.; Corsini, A.; Vladutiu, G.D.; Raal, F.J.; Ray, K.K.; Roden, M.; Stein, E.; Tokgözoğlu, L.; Nordestgaard, B.G.; et al. Statin-Associated Muscle Symptoms: Impact on Statin Therapy-European Atherosclerosis Society Consensus Panel Statement on Assessment, Aetiology and Management. Eur. Heart J. 2015, 36, 1012–1022. [Google Scholar] [CrossRef] [PubMed]
- Abdulghani, M.F.; Al-Fayyadh, S. Natural Products for Managing Metabolic Syndrome: A Scoping Review. Front. Pharmacol. 2024, 15, 1366946. [Google Scholar] [CrossRef]
- Xiao, F.; Gao, F.; Zhou, S.; Wang, L. The Therapeutic Effects of Silymarin for Patients with Glucose/Lipid Metabolic Dysfunction: A Meta-Analysis. Medicine 2020, 99, e22249. [Google Scholar] [CrossRef]
- Gong, J.; Qin, X.; Yuan, F.; Hu, M.; Chen, G.; Fang, K.; Wang, D.; Jiang, S.; Li, J.; Zhao, Y.; et al. Efficacy and Safety of Sugarcane Policosanol on Dyslipidemia: A Meta-Analysis of Randomized Controlled Trials. Mol. Nutr. Food Res. 2018, 62, 1700280. [Google Scholar] [CrossRef]
- Sun, Y.-E.; Wang, W.; Qin, J. Anti-Hyperlipidemia of Garlic by Reducing the Level of Total Cholesterol and Low-Density Lipoprotein: A Meta-Analysis. Medicine 2018, 97, e0255. [Google Scholar] [CrossRef]
- Ju, J.; Li, J.; Lin, Q.; Xu, H. Efficacy and Safety of Berberine for Dyslipidaemias: A Systematic Review and Meta-Analysis of Randomized Clinical Trials. Phytomedicine 2018, 50, 25–34. [Google Scholar] [CrossRef]
- Sahebkar, A.; Pirro, M.; Banach, M.; Mikhailidis, D.P.; Atkin, S.L.; Cicero, A.F.G. Lipid-Lowering Activity of Artichoke Extracts: A Systematic Review and Meta-Analysis. Crit. Rev. Food Sci. Nutr. 2018, 58, 2549–2556. [Google Scholar] [CrossRef]
- Chen, J.T.; Wesley, R.; Shamburek, R.D.; Pucino, F.; Csako, G. Meta-Analysis of Natural Therapies for Hyperlipidemia: Plant Sterols and Stanols versus Policosanol. Pharmacotherapy 2005, 25, 171–183. [Google Scholar] [CrossRef] [PubMed]
- Peng, D.; Fong, A.; van Pelt, A. Original Research: The Effects of Red Yeast Rice Supplementation on Cholesterol Levels in Adults. Am. J. Nurs. 2017, 117, 46–54. [Google Scholar] [CrossRef] [PubMed]
- Marinangeli, C.P.F.; Jones, P.J.H.; Kassis, A.N.; Eskin, M.N.A. Policosanols as Nutraceuticals: Fact or Fiction. Crit. Rev. Food Sci. Nutr. 2010, 50, 259–267. [Google Scholar] [CrossRef] [PubMed]
- Banach, M.; Patti, A.M.; Giglio, R.V.; Cicero, A.F.G.; Atanasov, A.G.; Bajraktari, G.; Bruckert, E.; Descamps, O.; Djuric, D.M.; Ezhov, M.; et al. The Role of Nutraceuticals in Statin Intolerant Patients. J. Am. Coll. Cardiol. 2018, 72, 96–118. [Google Scholar] [CrossRef] [PubMed]
- Banach, M.; Catapano, A.L.; Cicero, A.F.G.; Escobar, C.; Foger, B.; Katsiki, N.; Latkovskis, G.; Rakowski, M.; Reiner, Z.; Sahebkar, A.; et al. Red Yeast Rice for Dyslipidaemias and Cardiovascular Risk Reduction: A Position Paper of the International Lipid Expert Panel. Pharmacol. Res. 2022, 183, 106370. [Google Scholar] [CrossRef]
- Mach, F.; Baigent, C.; Catapano, A.L.; Koskinas, K.C.; Casula, M.; Badimon, L.; Chapman, M.J.; De Backer, G.G.; Delgado, V.; Ference, B.A.; et al. ESC Scientific Document Group. 2019 ESC/EAS Guidelines for the Management of Dyslipidaemias: Lipid Modification to Reduce Cardiovascular Risk. Eur. Heart J. 2020, 41, 111–188. [Google Scholar] [CrossRef]
- Matacchione, G.; Gurău, F.; Baldoni, S.; Prattichizzo, F.; Silvestrini, A.; Giuliani, A.; Pugnaloni, A.; Espinosa, E.; Amenta, F.; Bonafè, M.; et al. Pleiotropic Effects of Polyphenols on Glucose and Lipid Metabolism: Focus on Clinical Trials. Ageing Res. Rev. 2020, 61, 101074. [Google Scholar] [CrossRef]
- Toth, P.P.; Patti, A.M.; Nikolic, D.; Giglio, R.V.; Castellino, G.; Biancucci, T.; Geraci, F.; David, S.; Montalto, G.; Rizvi, A.; et al. Bergamot Reduces Plasma Lipids, Atherogenic Small Dense LDL, and Subclinical Atherosclerosis in Subjects with Moderate Hypercholesterolemia: A 6 Months Prospective Study. Front. Pharmacol. 2015, 6, 299. [Google Scholar] [CrossRef]
- Andersen, C.; Kotowska, D.; Tortzen, C.G.; Kristiansen, K.; Nielsen, J.; Petersen, R.K. 2-(2-Bromophenyl)-Formononetin and 2-Heptyl-Formononetin Are PPARγ Partial Agonists and Reduce Lipid Accumulation in 3T3-L1 Adipocytes. Bioorg. Med. Chem. 2014, 22, 6105–6111. [Google Scholar] [CrossRef]
- Salamone, F.; Galvano, F.; Cappello, F.; Mangiameli, A.; Barbagallo, I.; Li Volti, G. Silibinin Modulates Lipid Homeostasis and Inhibits Nuclear Factor Kappa B Activation in Experimental Nonalcoholic Steatohepatitis. Transl. Res. 2012, 159, 477–486. [Google Scholar] [CrossRef]
- Bruckbauer, A.; Zemel, M.B. Synergistic Effects of Polyphenols and Methylxanthines with Leucine on AMPK/Sirtuin-Mediated Metabolism in Muscle Cells and Adipocytes. PLoS ONE 2014, 9, e89166. [Google Scholar] [CrossRef] [PubMed]
- Chang, J.-J.; Hsu, M.-J.; Huang, H.-P.; Chung, D.-J.; Chang, Y.-C.; Wang, C.-J. Mulberry Anthocyanins Inhibit Oleic Acid Induced Lipid Accumulation by Reduction of Lipogenesis and Promotion of Hepatic Lipid Clearance. J. Agric. Food Chem. 2013, 61, 6069–6076. [Google Scholar] [CrossRef] [PubMed]
- Reddy, S.; Yang, W.; Taylor, D.G.; Shen, X.Q.; Oxender, D.; Kust, G.; Leff, T. Mitogen-Activated Protein Kinase Regulates Transcription of the ApoCIII Gene. Involvement of the Orphan Nuclear Receptor HNF4. J. Biol. Chem. 1999, 274, 33050–33056. [Google Scholar] [CrossRef]
- Quesada, H.; del Bas, J.M.; Pajuelo, D.; Díaz, S.; Fernandez-Larrea, J.; Pinent, M.; Arola, L.; Salvadó, M.J.; Bladé, C. Grape Seed Proanthocyanidins Correct Dyslipidemia Associated with a High-Fat Diet in Rats and Repress Genes Controlling Lipogenesis and VLDL Assembling in Liver. Int. J. Obes. 2009, 33, 1007–1012. [Google Scholar] [CrossRef]
- Kumar, A.; Chambers, T.C.; Cloud-Heflin, B.A.; Mehta, K.D. Phorbol Ester-Induced Low Density Lipoprotein Receptor Gene Expression in HepG2 Cells Involves Protein Kinase C-Mediated P42/44 MAP Kinase Activation. J. Lipid Res. 1997, 38, 2240–2248. [Google Scholar] [CrossRef] [PubMed]
- Farràs, M.; Valls, R.M.; Fernández-Castillejo, S.; Giralt, M.; Solà, R.; Subirana, I.; Motilva, M.-J.; Konstantinidou, V.; Covas, M.-I.; Fitó, M. Olive Oil Polyphenols Enhance the Expression of Cholesterol Efflux Related Genes in Vivo in Humans. A Randomized Controlled Trial. J. Nutr. Biochem. 2013, 24, 1334–1339. [Google Scholar] [CrossRef]
- Nauman, M.C.; Johnson, J.J. Clinical Application of Bergamot (Citrus Bergamia) for Reducing High Cholesterol and Cardiovascular Disease Markers. Integr. Food Nutr. Metab. 2019, 6. [Google Scholar] [CrossRef]
- Dugo, P.; Presti, M.L.; Ohman, M.; Fazio, A.; Dugo, G.; Mondello, L. Determination of Flavonoids in Citrus Juices by Micro-HPLC-ESI/MS. J. Sep. Sci. 2005, 28, 1149–1156. [Google Scholar] [CrossRef]
- Caristi, C.; Bellocco, E.; Panzera, V.; Toscano, G.; Vadalà, R.; Leuzzi, U. Flavonoids Detection by HPLC-DAD-MS-MS in Lemon Juices from Sicilian Cultivars. J. Agric. Food Chem. 2003, 51, 3528–3534. [Google Scholar] [CrossRef]
- Gattuso, G.; Barreca, D.; Gargiulli, C.; Leuzzi, U.; Caristi, C. Flavonoid Composition of Citrus Juices. Molecules 2007, 12, 1641–1673. [Google Scholar] [CrossRef]
- Nogata, Y.; Sakamoto, K.; Shiratsuchi, H.; Ishii, T.; Yano, M.; Ohta, H. Flavonoid Composition of Fruit Tissues of Citrus Species. Biosci. Biotechnol. Biochem. 2006, 70, 178–192. [Google Scholar] [CrossRef] [PubMed]
- Mollace, V.; Scicchitano, M.; Paone, S.; Casale, F.; Calandruccio, C.; Gliozzi, M.; Musolino, V.; Carresi, C.; Maiuolo, J.; Nucera, S.; et al. Hypoglycemic and Hypolipemic Effects of a New Lecithin Formulation of Bergamot Polyphenolic Fraction: A Double Blind, Randomized, Placebo-Controlled Study. Endocr. Metab. Immune Disord. Drug Targets 2019, 19, 136–143. [Google Scholar] [CrossRef] [PubMed]
- Babish, J.G.; Dahlberg, C.J.; Ou, J.J.; Keller, W.J.; Gao, W.; Kaadige, M.R.; Brabazon, H.; Lamb, J.; Soudah, H.C.; Kou, X.; et al. Synergistic in Vitro Antioxidant Activity and Observational Clinical Trial of F105, a Phytochemical Formulation Including Citrus Bergamia, in Subjects with Moderate Cardiometabolic Risk Factors. Can. J. Physiol. Pharmacol. 2016, 94, 1257–1266. [Google Scholar] [CrossRef] [PubMed]
- Gliozzi, M.; Walker, R.; Muscoli, S.; Vitale, C.; Gratteri, S.; Carresi, C.; Musolino, V.; Russo, V.; Janda, E.; Ragusa, S.; et al. Bergamot Polyphenolic Fraction Enhances Rosuvastatin-Induced Effect on LDL-Cholesterol, LOX-1 Expression and Protein Kinase B Phosphorylation in Patients with Hyperlipidemia. Int. J. Cardiol. 2013, 170, 140–145. [Google Scholar] [CrossRef]
- Mollace, V.; Sacco, I.; Janda, E.; Malara, C.; Ventrice, D.; Colica, C.; Visalli, V.; Muscoli, S.; Ragusa, S.; Muscoli, C.; et al. Hypolipemic and Hypoglycaemic Activity of Bergamot Polyphenols: From Animal Models to Human Studies. Fitoterapia 2011, 82, 309–316. [Google Scholar] [CrossRef] [PubMed]
- Sadeghi-Dehsahraei, H.; Esmaeili Gouvarchin Ghaleh, H.; Mirnejad, R.; Parastouei, K. The Effect of Bergamot (KoksalGarry) Supplementation on Lipid Profiles: A Systematic Review and Meta-Analysis of Randomized Controlled Trials. Phytother. Res. 2022, 36, 4409–4424. [Google Scholar] [CrossRef] [PubMed]
- Friedewald, W.T.; Levy, R.I.; Fredrickson, D.S. Estimation of the Concentration of Low-Density Lipoprotein Cholesterol in Plasma, without Use of the Preparative Ultracentrifuge. Clin. Chem. 1972, 18, 499–502. [Google Scholar] [CrossRef]
- Baumgartner, S.; Bruckert, E.; Gallo, A.; Plat, J. The Position of Functional Foods and Supplements with a Serum LDL-C Lowering Effect in the Spectrum Ranging from Universal to Care-Related CVD Risk Management. Atherosclerosis 2020, 311, 116–123. [Google Scholar] [CrossRef]
- Poli, A.; Barbagallo, C.M.; Cicero, A.F.G.; Corsini, A.; Manzato, E.; Trimarco, B.; Bernini, F.; Visioli, F.; Bianchi, A.; Canzone, G.; et al. Nutraceuticals and Functional Foods for the Control of Plasma Cholesterol Levels. An Intersociety Position Paper. Pharmacol. Res. 2018, 134, 51–60. [Google Scholar] [CrossRef]
- Cicero, A.F.G.; Fogacci, F.; Stoian, A.P.; Vrablik, M.; Al Rasadi, K.; Banach, M.; Toth, P.P.; Rizzo, M. Nutraceuticals in the Management of Dyslipidemia: Which, When, and for Whom? Could Nutraceuticals Help Low-Risk Individuals with Non-Optimal Lipid Levels? Curr. Atheroscler. Rep. 2021, 23, 57. [Google Scholar] [CrossRef]
- Sansone, F.; Mencherini, T.; Picerno, P.; Lauro, M.R.; Cerrato, M.; Aquino, R.P. Development of Health Products from Natural Sources. Curr. Med. Chem. 2019, 26, 4606–4630. [Google Scholar] [CrossRef] [PubMed]
- Silverman, M.G.; Ference, B.A.; Im, K.; Wiviott, S.D.; Giugliano, R.P.; Grundy, S.M.; Braunwald, E.; Sabatine, M.S. Association Between Lowering LDL-C and Cardiovascular Risk Reduction Among Different Therapeutic Interventions: A Systematic Review and Meta-Analysis. JAMA 2016, 316, 1289–1297. [Google Scholar] [CrossRef] [PubMed]
- Domanski, M.J.; Tian, X.; Wu, C.O.; Reis, J.P.; Dey, A.K.; Gu, Y.; Zhao, L.; Bae, S.; Liu, K.; Hasan, A.A.; et al. Time Course of LDL Cholesterol Exposure and Cardiovascular Disease Event Risk. J. Am. Coll. Cardiol. 2020, 76, 1507–1516. [Google Scholar] [CrossRef] [PubMed]
- Pirillo, A.; Norata, G.D.; Catapano, A.L. LDL-Cholesterol-Lowering Therapy. In Prevention and Treatment of Atherosclerosis: Improving State-of-the-Art Management and Search for Novel Targets; von Eckardstein, A., Binder, C.J., Eds.; Springer: Cham, Switzerland, 2022. [Google Scholar]
- Grundy, S.M.; Stone, N.J.; Bailey, A.L.; Beam, C.; Birtcher, K.K.; Blumenthal, R.S.; Braun, L.T.; de Ferranti, S.; Faiella-Tommasino, J.; Forman, D.E.; et al. 2018 AHA/ACC/AACVPR/AAPA/ABC/ACPM/ADA/AGS/APhA/ASPC/NLA/PCNA Guideline on the Management of Blood Cholesterol: A Report of the American College of Cardiology/American Heart Association Task Force on Clinical Practice Guidelines. Circulation 2019, 139, e1082–e1143. [Google Scholar] [CrossRef] [PubMed]
- Visseren, F.L.J.; Mach, F.; Smulders, Y.M.; Carballo, D.; Koskinas, K.C.; Bäck, M.; Benetos, A.; Biffi, A.; Boavida, J.-M.; Capodanno, D.; et al. 2021 ESC Guidelines on Cardiovascular Disease Prevention in Clinical Practice. Eur. Heart J. 2021, 42, 3227–3337. [Google Scholar] [CrossRef]
- Lamiquiz-Moneo, I.; Giné-González, J.; Alisente, S.; Bea, A.M.; Pérez-Calahorra, S.; Marco-Benedí, V.; Baila-Rueda, L.; Jarauta, E.; Cenarro, A.; Civeira, F.; et al. Effect of Bergamot on Lipid Profile in Humans: A Systematic Review. Crit Rev Food Sci. Nutr. 2020, 60, 3133–3143. [Google Scholar] [CrossRef]
- Millar, C.L.; Duclos, Q.; Blesso, C.N. Effects of Dietary Flavonoids on Reverse Cholesterol Transport, HDL Metabolism, and HDL Function. Adv. Nutr. 2017, 8, 226–239. [Google Scholar] [CrossRef]
- Hertog, M.G.; Feskens, E.J.; Hollman, P.C.; Katan, M.B.; Kromhout, D. Dietary Antioxidant Flavonoids and Risk of Coronary Heart Disease: The Zutphen Elderly Study. Lancet 1993, 342, 1007–1011. [Google Scholar] [CrossRef]
- Mursu, J.; Nurmi, T.; Tuomainen, T.-P.; Ruusunen, A.; Salonen, J.T.; Voutilainen, S. The Intake of Flavonoids and Carotid Atherosclerosis: The Kuopio Ischaemic Heart Disease Risk Factor Study. Br. J. Nutr. 2007, 98, 814–818. [Google Scholar] [CrossRef]
- McCullough, M.L.; Peterson, J.J.; Patel, R.; Jacques, P.F.; Shah, R.; Dwyer, J.T. Flavonoid Intake and Cardiovascular Disease Mortality in a Prospective Cohort of US Adults. Am. J. Clin. Nutr. 2012, 95, 454–464. [Google Scholar] [CrossRef]
- Cassidy, A.; Mukamal, K.J.; Liu, L.; Franz, M.; Eliassen, A.H.; Rimm, E.B. High Anthocyanin Intake Is Associated with a Reduced Risk of Myocardial Infarction in Young and Middle-Aged Women. Circulation 2013, 127, 188–196. [Google Scholar] [CrossRef] [PubMed]
- Wang, Y.; Yan, T.; Yang, Y.; Li, L.; Zhang, Z.; Cao, X.; Xia, Y.; Shen, Y.; Liu, K.; Xu, L.; et al. Association between Changes in High-Density Lipoprotein Cholesterol and Risk of Cardiovascular Disease. J. Clin. Lipidol. 2024, S1933–S2874. [Google Scholar] [CrossRef] [PubMed]
- Yu, J.; Wang, L.; Walzem, R.L.; Miller, E.G.; Pike, L.M.; Patil, B.S. Antioxidant Activity of Citrus Limonoids, Flavonoids, and Coumarins. J. Agric. Food Chem. 2005, 53, 2009–2014. [Google Scholar] [CrossRef] [PubMed]
- Cho, Y.K.; Jung, C.H. HDL-C and Cardiovascular Risk: You Don’t Need to Worry about Extremely High HDL-C Levels. J. Lipid Atheroscler. 2021, 10, 57. [Google Scholar] [CrossRef]
- Zhao, Y.; Ma, Y.; Fang, Y.; Liu, L.; Wu, S.; Fu, D.; Wang, X. Association between PON1 Activity and Coronary Heart Disease Risk: A Meta-Analysis Based on 43 Studies. Mol. Genet. Metab. 2012, 105, 141–148. [Google Scholar] [CrossRef]


| Active (n = 30) | Placebo (n = 30) | p Value 1 | |
|---|---|---|---|
| Age (years) | 50.9 ± 1.7 | 51.5 ± 1.6 | 0.8162 |
| Sex | |||
| Male | 18 (60%) | 16 (53%) | 0.6054 |
| Female | 12 (40%) | 14 (47%) | 0.6054 |
| Weight (Kg) | 80.6 ± 1.8 | 80.8 ± 1.9 | 0.9268 |
| BMI | 27.8 ± 0.3 | 27.9 ± 0.4 | 0.8846 |
| Blood pressure | |||
| Systolic (mmHg) | 123.1 ± 2.7 | 125.4 ± 2.8 | 0.5575 |
| Diastolic (mmHg) | 79.0 ± 1.4 | 79.8 ± 1.8 | 0.7268 |
| LDL-C (mg/dL) | 171.8 ± 1.6 | 171.3 ± 1.5 | 0.8190 |
| HDL-C (mg/dL) | 45.1 ± 2.0 | 49.4 ± 2.4 | 0.1642 |
| TC (mg/dL) | 243.0 ± 4.9 | 241.8 ± 2.8 | 0.8425 |
| ox-LDL (ng/ml) | 101.3 ± 3.7 | 103.5 ± 3.1 | 0.6526 |
| TG (mg/dL) | 131.1 ± 19.5 | 105.9 ± 6.8 | 0.2251 |
| Glycemia (mg/dL) | 99.4 ± 2.5 | 97.2 ± 2.3 | 0.5237 |
| AST (U/L) | 21.7 ± 1.7 | 22.5 ± 1.5 | 0.7367 |
| ALT (U/L) | 24.9 ± 2.6 | 26.6 ± 3.5 | 0.7081 |
| GGT (U/L) | 37.5 ± 7.2 | 33.4 ± 6.2 | 0.6662 |
| HbA1c (%) | 5.2 ± 0.1 | 5.2 ± 0.1 | 0.5120 |
| PON1 (mU/mL) | 90.0 ± 1.4 | 84.9 ± 2.2 | 0.0522 |
| CRP (mg/L) | 3.6 ± 1.1 | 3.8 ± 1.2 | 0.9041 |
| CR (mg/dL) | 1.01 ± 0.03 | 0.99 ± 0.03 | 0.6204 |
| Active (n = 30) | Placebo (n = 30) | |||||||
|---|---|---|---|---|---|---|---|---|
| M0 | M2 | M3 | M4 | M0 | M2 | M3 | M4 | |
| Weight (Kg) | 80.6 ± 1.8 | 81.1 ± 1.5 | 80.2 ± 1.7 | 80.1 ± 1.4 | 80.8 ± 1.9 | 81.1 ± 1.7 | 80.8 ± 1.5 | 81.0 ± 1.8 |
| Blood pressure | ||||||||
| Systolic (mmHg) | 123.1 ± 2.7 | 122.5 ± 2.3 | 119.8 ± 2.6 | 114.4 ± 1.8 **,# | 125.4 ± 2.8 | 121.7 ± 2.8 | 120.1 ± 1.9 | 120.0 ± 2.2 |
| Diastolic (mmHg) | 79.0 ± 1.4 | 79.3 ± 1.1 | 78.4 ± 0.9 | 78.3 ± 0.9 | 79.8 ± 1.8 | 78.2 ± 1.7 | 77.6 ± 1.1 | 79.1 ± 1.1 |
| TG (mg/dL) | 131.1 ± 19.5 | 128.2 ± 14.6 | 111.6 ± 10.4 | 109.2 ± 12.5 | 105.9 ± 6.8 | 98.8 ± 6.8 | 101.3 ± 8.2 | 98.1 ± 6.2 |
| Glycemia (mg/dL) | 99.4 ± 2.5 | n.d. | 96.8 ± 1.7 | 96.7 ± 2.0 | 97.2 ± 2.3 | n.d. | 96.1 ± 2.2 | 97.5 ± 2.1 |
| AST (U/L) | 21.7 ± 1.7 | n.d. | 23.3 ± 1.8 | 24.8 ± 2.2 | 22.5 ± 1.5 | n.d. | 23.1 ± 1.5 | 21.8 ± 1.6 |
| ALT (U/L) | 24.9 ± 2.6 | n.d. | 26.7 ± 2.9 | 28.1 ± 3.2 | 26.6 ± 3.5 | n.d. | 26.9 ± 3.6 | 25.7 ± 3.3 |
| GGT (U/L) | 37.5 ± 7.2 | n.d. | 37.5 ± 5.5 | 35.4 ± 5.3 | 33.4 ± 6.2 | n.d. | 35.1 ± 6.7 | 33.0 ± 6.2 |
| HbA1c (%) | 5.2 ± 0.1 | n.d. | 5.2 ± 0.1 | 5.3 ± 0.1 | 5.2 ± 0.1 | n.d. | 5.2 ± 0.1 | 5.2 ± 0.1 |
| CRP (mg/L) | 3.6 ± 1.1 | n.d. | 1.9 ± 0.7 | 2.0 ± 0.5 | 3.8 ± 1.2 | n.d. | 2.4 ± 0.6 | 2.9 ± 0.6 |
| CR (mg/dL) | 1.01 ± 0.03 | n.d. | 0.88 ± 0.04 | 0.86 ± 0.04 | 0.99 ± 0.03 | n.d. | 0.87 ± 0.04 | 0.84 ± 0.04 |
Disclaimer/Publisher’s Note: The statements, opinions and data contained in all publications are solely those of the individual author(s) and contributor(s) and not of MDPI and/or the editor(s). MDPI and/or the editor(s) disclaim responsibility for any injury to people or property resulting from any ideas, methods, instructions or products referred to in the content. |
© 2024 by the authors. Licensee MDPI, Basel, Switzerland. This article is an open access article distributed under the terms and conditions of the Creative Commons Attribution (CC BY) license (https://creativecommons.org/licenses/by/4.0/).
Share and Cite
Spina, A.; Amone, F.; Zaccaria, V.; Insolia, V.; Perri, A.; Lofaro, D.; Puoci, F.; Nobile, V. Citrus bergamia Extract, a Natural Approach for Cholesterol and Lipid Metabolism Management: A Randomized, Double-Blind Placebo-Controlled Clinical Trial. Foods 2024, 13, 3883. https://doi.org/10.3390/foods13233883
Spina A, Amone F, Zaccaria V, Insolia V, Perri A, Lofaro D, Puoci F, Nobile V. Citrus bergamia Extract, a Natural Approach for Cholesterol and Lipid Metabolism Management: A Randomized, Double-Blind Placebo-Controlled Clinical Trial. Foods. 2024; 13(23):3883. https://doi.org/10.3390/foods13233883
Chicago/Turabian StyleSpina, Amelia, Fabio Amone, Vincenzo Zaccaria, Violetta Insolia, Anna Perri, Danilo Lofaro, Francesco Puoci, and Vincenzo Nobile. 2024. "Citrus bergamia Extract, a Natural Approach for Cholesterol and Lipid Metabolism Management: A Randomized, Double-Blind Placebo-Controlled Clinical Trial" Foods 13, no. 23: 3883. https://doi.org/10.3390/foods13233883
APA StyleSpina, A., Amone, F., Zaccaria, V., Insolia, V., Perri, A., Lofaro, D., Puoci, F., & Nobile, V. (2024). Citrus bergamia Extract, a Natural Approach for Cholesterol and Lipid Metabolism Management: A Randomized, Double-Blind Placebo-Controlled Clinical Trial. Foods, 13(23), 3883. https://doi.org/10.3390/foods13233883

