The Effect of High-Pressure Processing on the Copigmentation and Storage Stability of Polyphenols with Anthocyanin Monomers
Abstract
1. Introduction
2. Materials and Methods
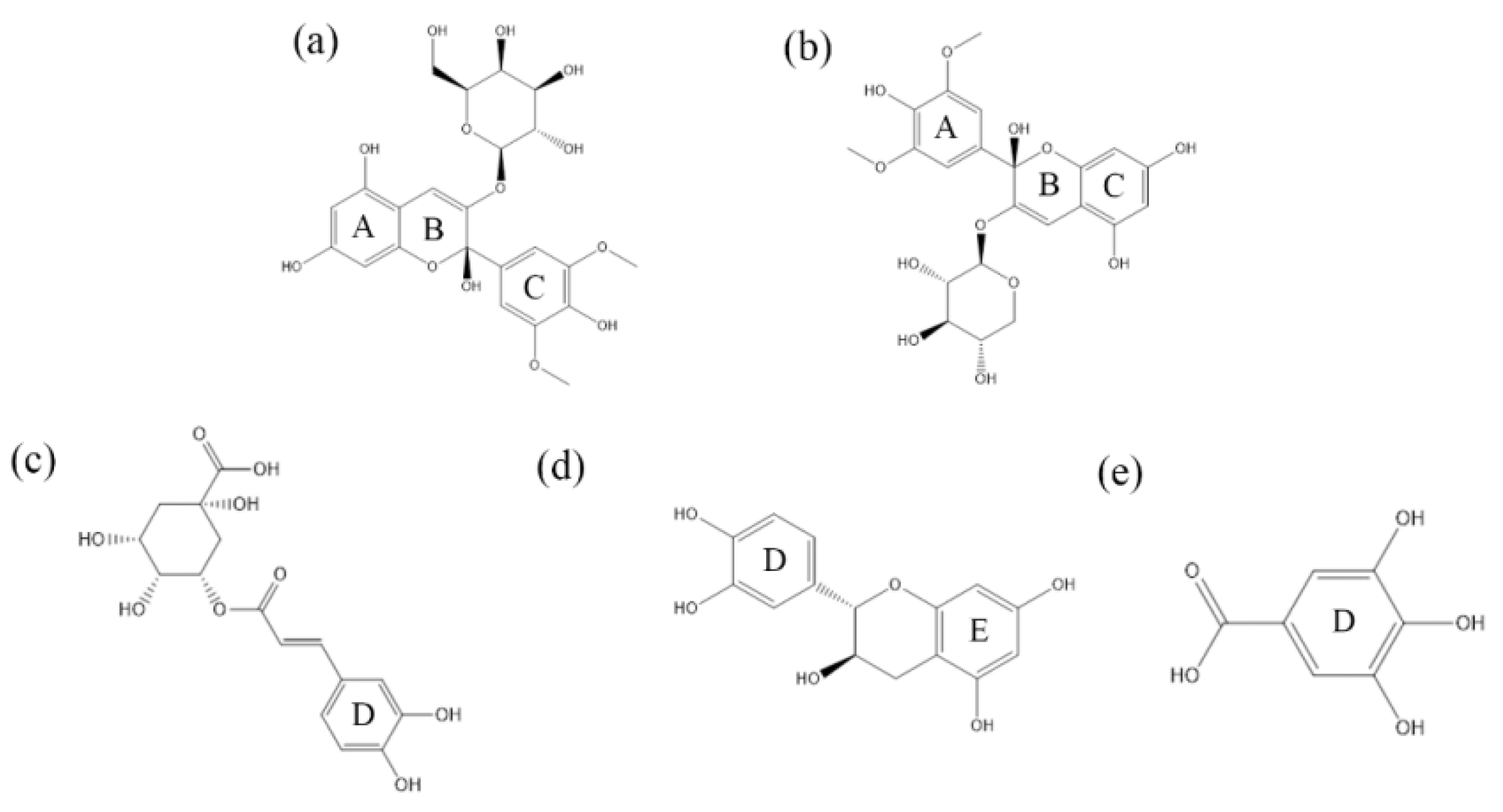
2.1. Materials
2.2. Preparation of the Anthocyanin Copigment Solutions
2.3. HPP Treatment
2.4. Color Calculations of the Copigmentation Solutions
2.5. Determination of the Maximum Absorption Peak
2.6. Storage of the Copigmentation Solutions
2.7. Determination of the Anthocyanin Content
2.8. The Molecular Simulation of the Co-Color Reactions
2.9. Statistical Analysis
3. Results and Discussion
3.1. The Impact of Different HPP Conditions on Copigmentation Reactions
3.2. The Effect of HPP Treatment on Mv-3-O-gal and Mv-3-O-ara Supplemented with CA, Epi, and GA
3.3. The Effect of HPP on the Anthocyanin Solution Color During Storage
3.4. The Effect of HPP on the Anthocyanidin Content
3.5. Mechanism Study on the Influence of HPP on Co-Colored Reaction Based on Molecular Simulation
4. Conclusions
Supplementary Materials
Author Contributions
Funding
Institutional Review Board Statement
Informed Consent Statement
Data Availability Statement
Conflicts of Interest
References
- Zhao, Y.; Jiang, C.; Lu, J.; Sun, Y.; Cui, Y. Research progress of proanthocyanidins and anthocyanidins. Phytother. Res. 2023, 37, 2552–2577. [Google Scholar] [CrossRef] [PubMed]
- Wang, W.; Jung, J.; Tomasino, E.; Zhao, Y. Optimization of solvent and ultrasound-assisted extraction for different anthocyanin rich fruit and their effects on anthocyanin compositions. LWT 2016, 72, 229–238. [Google Scholar] [CrossRef]
- Wallace, T.C.; Giusti, M.M. Anthocyanins. Adv. Nutr. 2015, 6, 620–622. [Google Scholar] [CrossRef] [PubMed]
- Wang, X.; Yang, D.-Y.; Yang, L.-Q.; Zhao, W.-Z.; Cai, L.-Y.; Shi, H.-P. Anthocyanin Consumption and Risk of Colorectal Cancer: A Meta-Analysis of Observational Studies. J. Am. Coll. Nutr. 2019, 38, 470–477. [Google Scholar] [CrossRef]
- Nomi, Y.; Iwasaki-Kurashige, K.; Matsumoto, H. Therapeutic effects of anthocyanins for vision and eye health. Molecules 2019, 24, 3311. [Google Scholar] [CrossRef]
- Bąkowska, A.; Kucharska, A.Z.; Oszmiański, J. The effects of heating, UV irradiation, and storage on stability of the anthocyanin-polyphenol copigment complex. Food Chem. 2003, 81, 349–355. [Google Scholar] [CrossRef]
- Nadiarid, J.; Philippe, B.; Janice, L.; Manuel, D.; Fabrice, V.; Mercedes, P.A. Kinetics of anthocyanin degradation and browning in reconstituted blackberry juice treated at high temperatures (100–180 °C). J. Agric. Food Chem. 2010, 58, 2314–2322. [Google Scholar] [CrossRef]
- Ashton, H. Encyclopedia of Life Science. Ref. Rev. 2010, 24, 46. [Google Scholar] [CrossRef]
- Brito, B.d.N.d.C.; Pena, R.d.S.; Lopes, A.S.; Chist, R.C. Anthocyanins of Jambolão (Syzygium cumini): Extraction and pH-Dependent Color Changes. J. Food Sci. 2017, 82, 2286–2290. [Google Scholar] [CrossRef]
- Wang, J.; Zhao, Y.; Sun, B.; Yang, Y.; Wang, S.; Feng, Z.; Li, J. The structure of anthocyanins and the copigmentation by common micromolecular copigments: A review. Food Res. Int. 2024, 176, 113837. [Google Scholar] [CrossRef]
- Karoline, M.B.; Kjersti, A.; Grete, S. Effect of temperature on stability of anthocyanins, ascorbic acid and color in strawberry and raspberry jams. Food Chem. 2020, 316, 126297. [Google Scholar] [CrossRef]
- Jiang, M.; Ren, L.; Lian, H.; Liu, Y.; Chen, H. Novel insight into the mechanism underlying light-controlled anthocyanin accumulation in eggplant (Solanum melongena L.). Plant Sci. 2016, 249, 46–58. [Google Scholar] [CrossRef] [PubMed]
- Wahyuningsih, S.; Wulandari, L.; Wartono, M.W.; Munawaroh, H.; Ramelan, A.H. The Effect of pH and Color Stability of Anthocyanin on Food Colorant. In Proceedings of the International Conference on Food Science and Engineering (ICFSE)—Sustainable Development of Sciences and Technologies for Preserving Life, Surakarta, Indonesia, 18–19 October 2016. [Google Scholar]
- Cabrita, L.; Fossen, T.; Andersen, Ø.M. Colour and stability of the six common anthocyanidin 3-glucosides in aqueous solutions. Food Chem. 2000, 68, 101–107. [Google Scholar] [CrossRef]
- Mazza, G.; Brouillard, R. Recent developments in the stabilization of anthocyanins in food products. Food Chem. 1987, 25, 207–225. [Google Scholar] [CrossRef]
- Ban, Y.; Kondo, S.; Ubi, B.E.; Honda, C.; Bessho, H.; Moriguchi, T. UDP-sugar biosynthetic pathway: Contribution to cyanidin 3-galactoside biosynthesis in apple skin. Planta 2009, 230, 871–881. [Google Scholar] [CrossRef] [PubMed]
- Contreras-Lopez, E.; Casta, A.; González-Olivares, L.G.; Añorve-Morga, J.; Jaimez-Ordaz, J. Effect of light on stability of anthocyanins in ethanolic extracts of rubus fruticosus. Food Nutr. Sci. 2014, 5, 488–494. [Google Scholar] [CrossRef][Green Version]
- Guan, L.; Dai, Z.; Wu, B.-H.; Wu, J.; Merlin, I.; Hilbert, G.; Renaud, C.; Gomès, E.; Edwards, E.; Li, S.-H. Anthocyanin biosynthesis is differentially regulated by light in the skin and flesh of white-fleshed and teinturier grape berries. Planta 2016, 243, 23–41. [Google Scholar] [CrossRef]
- Escribano-Bailon, M.T.; Santos-Buelga, C. Anthocyanin copigmentation—Evaluation, mechanisms and implications for the Colour of Red Wines. Curr. Org. Chem. 2012, 16, 715–723. [Google Scholar] [CrossRef]
- Lv, X.; Li, L.; Lu, X.; Wang, W.; Sun, J.; Liu, Y.; Mu, J.; Ma, Q.; Wang, J. Effects of organic acids on color intensification, thermodynamics, and copigmentation interactions with anthocyanins. Food Chem. 2022, 396, 133691. [Google Scholar] [CrossRef]
- Gençdağ, E.; Özdemir, E.E.; Demirci, K.; Görgüç, A.; Yılmaz, F.M. Copigmentation and stabilization of anthocyanins using organic molecules and encapsulation techniques. Curr. Plant Biol. 2022, 29, 100238. [Google Scholar] [CrossRef]
- Zou, H.; Ma, Y.; Liao, X.J.; Wang, Y.T. Effects of high pressure processing on the copigmentation reaction of pelargonidin-3-glucoside and catechin. LWT-Food Sci. Technol. 2019, 108, 240–246. [Google Scholar] [CrossRef]
- Barba, F.J.; Esteve, M.J.; Frigola, A. Physicochemical and nutritional characteristics of blueberry juice after high pressure processing. Food Res. Int. 2013, 50, 545–549. [Google Scholar] [CrossRef]
- Roman, B.; Anja, K.; Shiferaw, T.N.; Cornelis, V. Pressure and temperature effects on degradation kinetics and storage stability of total anthocyanins in blueberry juice. J. Agric. Food Chem. 2010, 58, 10076–10084. [Google Scholar] [CrossRef]
- Zhang, B.; He, F.; Zhou, P.-P.; Liu, Y.; Duan, C.-Q. The color expression of copigmentation between malvidin-3-O-glucoside and three phenolic aldehydes in model solutions: The effects of pH and molar ratio. Food Chem. 2016, 199, 220–228. [Google Scholar] [CrossRef] [PubMed]
- Asen, S.; Stewart; Norris, K. Co-pigmentation of anthocyanins in plant tissues and its effect on color. Phytochemistry 1972, 11, 1139–1144. [Google Scholar] [CrossRef]
- Varela-Santos, E.; Ochoa-Martinez, A.; Tabilo-Munizaga, G.; Reyes, J.E.; Pérez-Won, M.; Briones-Labarca, V.; Morales-Castro, J. Effect of high hydrostatic pressure (HHP) processing on physicochemical properties, bioactive compounds and shelf-life of pomegranate juice. Innov. Food Sci. Emerg. Technol. 2012, 13, 13–22. [Google Scholar] [CrossRef]
- Pérez-Magariño, S.; González-Sanjosé, M.L. Application of absorbance values used in wineries for estimating CIELAB parameters in red wines. Food Chem. 2003, 81, 301–306. [Google Scholar] [CrossRef]
- Kanha, N.; Surawang, S.; Pitchakarn, P.; Regenstein, J.M.; Laokuldilok, T. Copigmentation of cyanidin 3-O-glucoside with phenolics: Thermodynamic data and thermal stability. Food Biosci. 2019, 30, 100419. [Google Scholar] [CrossRef]
- de Paz, G.A.; Raggio, J.; Gómez-Serranillos, M.; Palomino, O.; González-Burgos, E.; Carretero, M.; Crespo, A. HPLC isolation of antioxidant constituents from Xanthoparmelia spp. J. Pharm. Biomed. Anal. 2010, 53, 165–171. [Google Scholar] [CrossRef]
- Berendsen, H.J.C.; Van Der Spoel, D.; Van Drunen, R. GROMACS: A message-passing parallel molecular dynamics implementation. Comput. Phys. Commun. 1995, 91, 43–56. [Google Scholar] [CrossRef]
- Aaby, K.; Grimsbo, I.H.; Hovda, M.B.; Rode, T.M. Effect of high pressure and thermal processing on shelf life and quality of strawberry purée and juice. Food Chem. 2018, 260, 115–123. [Google Scholar] [CrossRef] [PubMed]
- Bi, X.; Ning, N.; Wang, X.; Li, M.; Xing, Y.; Che, Z. Comparison of high-pressure processing, ultrasound and heat treatments on the qualities of a gallic acid copigmented blueberry–grape–pineapple–cantaloupe juice blend. Int. J. Food Sci. Technol. 2022, 57, 6948–6962. [Google Scholar] [CrossRef]
- You, Y.; Li, N.; Han, X.; Guo, J.; Zhao, Y.; Liu, G.; Huang, W.; Zhan, J. Influence of different sterilization treatments on the color and anthocyanin contents of mulberry juice during refrigerated storage. Innov. Food Sci. Emerg. Technol. 2018, 48, 1–10. [Google Scholar] [CrossRef]
- Yuan, B.; Danao, M.-G.C.; Stratton, J.E.; Weier, S.A.; Weller, C.L.; Lu, M. High pressure processing (HPP) of aronia berry purée: Effects on physicochemical properties, microbial counts, bioactive compounds, and antioxidant capacities. Innov. Food Sci. Emerg. Technol. 2018, 47, 249–255. [Google Scholar] [CrossRef]
- He, Y.; Wen, L.; Yu, H.; Zheng, F.; Wang, Z.; Xu, X.; Zhang, H.; Cao, Y.; Wang, B.; Chu, B.; et al. Effects of high hydrostatic pressure-assisted organic acids on the copigmentation of Vitis amurensis Rupr anthocyanins. Food Chem. 2018, 268, 15–26. [Google Scholar] [CrossRef]
- Chen, X.; Gao, Q.; Liao, S.; Zou, Y.; Yan, J.; Li, Q. Co-Pigmentation Mechanism and Thermal Reaction Kinetics of Mulberry Anthocyanins with Different Phenolic Acids. Foods 2022, 11, 3806. [Google Scholar] [CrossRef]
- Eiro, M.J.; Heinonen, M. Anthocyanin color behavior and stability during storage: Effect of intermolecular copigmentation. J. Agric. Food Chem. 2002, 50, 7461–7466. [Google Scholar] [CrossRef] [PubMed]
- Kopjar, M.; Jakšić, K.; Piližota, V. Influence of sugars and chlorogenic acid addition on anthocyanin content, antioxidant activity and color of blackberry juice during storage. J. Food Process. Preserv. 2012, 36, 545–552. [Google Scholar] [CrossRef]
- Ning, N.; Wang, X.; Li, J.; Bi, X.; Li, M.; Xing, Y.; Che, Z.; Wang, Y. Effects of different antioxidants combined with high hydrostatic pressure on the color and anthocyanin retention of a blueberry juice blend during storage. Food Sci. Technol. Int. 2023, 29, 518–528. [Google Scholar] [CrossRef]
- Gao, L.; Mazza, G. Quantitation and Distribution of Simple and Acylated Anthocyanins and Other Phenolics in Blueberries. J. Food Sci. 1994, 59, 1057–1059. [Google Scholar] [CrossRef]
- Skrede, G.; Wrolstad, R.E.; Durst, R.W. Changes in anthocyanins and polyphenolics during juice processing of highbush blueberries (Vaccinium corymbosum L.). J. Food Sci. 2000, 65, 357–364. [Google Scholar] [CrossRef]
- Brouillard, R.; Dangles, O. Anthocyanin molecular interactions: The first step in the formation of new pigments during wine aging? Food Chem. 1994, 51, 365–371. [Google Scholar] [CrossRef]
- Hager, A.; Howard, L.R.; Prior, R.L.; Brownmiller, C. Processing and Storage Effects on Monomeric Anthocyanins, Percent Polymeric Color, and Antioxidant Capacity of Processed Black Raspberry Products. J. Food Sci. 2008, 73, H134–H140. [Google Scholar] [CrossRef] [PubMed]
- Ochoa, M.; Kesseler, A.; Vullioud, M.; Lozano, J. Physical and chemical characteristics of raspberry pulp: Storage effect on composition and color. LWT-Food Sci. Technol. 1999, 32, 149–153. [Google Scholar] [CrossRef]
- Muche, B.M.; Speers, R.A.; Rupasinghe, H.V. Storage temperature impacts on anthocyanins degradation, color changes and haze development in juice of “Merlot” and “Ruby” grapes (Vitis vinifera). Front. Nutr. 2018, 5, 100. [Google Scholar] [CrossRef]
- Kalisz, S.; Oszmiański, J.; Hładyszowski, J.; Mitek, M. Stabilization of anthocyanin and skullcap flavone complexes–Investigations with computer simulation and experimental methods. Food Chem. 2013, 138, 491–500. [Google Scholar] [CrossRef]
- Kunsági-Máté, S.; May, B.; Tschiersch, C.; Fetzer, D.; Horváth, I.; Kollár, L.; Nikfardjam, M.P. Transformation of stacked π–π-stabilized malvidin-3-O-glucoside—Catechin complexes towards polymeric structures followed by anisotropy decay study. Food Res. Int. 2011, 44, 23–27. [Google Scholar] [CrossRef]








| Different Conditions | Absorption Peak | Color | Anthocyanin Content (mg/L) | |||
|---|---|---|---|---|---|---|
| L* | a* | b* | ΔE | |||
| Mv-3-O-gal | 0.39 ± 0.01 b | 78.05 ± 0.11 a | 20.59 ± 0.09 b | −5.23 ± 0.12 a | - | 98.49 ± 0.18 ab |
| 100 MPa/2 min | 0.39 ± 0.00 b | 78.42 ± 0.33 a | 20.29 ± 0.27 b | −4.73 ± 0.05 a | 0.73 ± 0.25 a | 93.96 ± 2.66 b |
| 100 MPa/4 min | 0.39 ± 0.02 b | 78.66 ± 0.00 a | 20.09 ± 0.00 b | −4.74 ± 0.35 a | 0.94 ± 0.18 a | 94.12 ± 2.92 b |
| 100 MPa/6 min | 0.39 ± 0.01 b | 78.42 ± 0.26 a | 20.29 ± 0.21 b | −4.93 ± 0.24 a | 0.56 ± 0.41 a | 99.46 ± 1.27 ab |
| 300 MPa/2 min | 0.39 ± 0.01 b | 78.21 ± 0.33 a | 20.46 ± 0.27 b | −4.90 ± 0.11 a | 0.46 ± 0.27 a | 96.76 ± 1.95 ab |
| 300 MPa/4 min | 0.39 ± 0.02 b | 78.45 ± 0.15 a | 20.27 ± 0.12 b | −4.68 ± 0.12 a | 0.75 ± 0.22 a | 94.14 ± 3.97 bc |
| 300 MPa/6 min | 0.39 ± 0.00 b | 78.32 ± 0.11 a | 20.37 ± 0.09 b | −4.82 ± 0.01 a | 0.44 ± 0.23 a | 97.79 ± 0.84 ab |
| 500 MPa/2 min | 0.38 ± 0.01 b | 78.55 ± 0.15 a | 20.18 ± 0.12 b | −4.61 ± 0.14 a | 0.91 ± 0.04 a | 97.06 ± 0.76 ab |
| 500 MPa/4 min | 0.37 ± 0.01 b | 79.08 ± 0.37 a | 19.75 ± 0.31 b | −4.25 ± 0.50 a | 1.65 ± 0.69 a | 98.61 ± 0.92 ab |
| 500 MPa/6 min | 0.39 ± 0.01 b | 78.34 ± 0.15 a | 20.35 ± 0.12 a | −4.68 ± 0.51 a | 0.68 ± 0.02 a | 93.88 ± 2.07 b |
| Mv-3-O-gal + CA | 0.49 ± 0.01 a | 72.00 ± 0.14 b | 25.37 ± 0.10 a | −7.69 ± 0.09 b | - | 101.92 ± 3.21 ab |
| 100 MPa/2 min + CA | 0.50 ± 0.02 a | 71.47 ± 0.47 b | 25.77 ± 0.36 a | −7.58 ± 0.31 b | 0.75 ± 0.49 a | 100.23 ± 2.41 ab |
| 100 MPa/4 min + CA | 0.50 ± 0.02 a | 71.40 ± 0.03 b | 25.83 ± 0.03 a | −7.55 ± 0.00 b | 0.77 ± 0.04 a | 101.61 ± 2.42 ab |
| 100 MPa/6 min + CA | 0.49 ± 0.01 a | 71.95 ± 0.95 b | 25.40 ± 0.73 a | −7.27 ± 0.20 b | 0.96 ± 0.02 a | 99.33 ± 0.58 ab |
| 300 MPa/2 min + CA | 0.49 ± 0.02 a | 72.07 ± 0.72 b | 25.31 ± 0.55 a | −7.45 ± 0.68 b | 0.81 ± 0.30 a | 100.36 ± 0.12 ab |
| 300 MPa/4 min + CA | 0.49 ± 0.01 a | 72.34 ± 0.48 b | 25.11 ± 0.37 a | −6.95 ± 0.66 b | 0.87 ± 0.85 a | 102.79 ± 1.56 a |
| 300 MPa/6 min + CA | 0.49 ± 0.01 a | 72.00 ± 0.20 b | 25.37 ± 0.16 a | −7.25 ± 0.26 b | 0.48 ± 0.24 a | 101.73 ± 2.63 ab |
| 500 MPa/2 min + CA | 0.50 ± 0.00 a | 71.93 ± 0.10 b | 25.42 ± 0.08 a | −7.05 ± 0.02 b | 0.65 ± 0.01 a | 101.78 ± 0.87 ab |
| 500 MPa/4 min + CA | 0.50 ± 0.01 a | 71.59 ± 0.44 b | 25.68 ± 0.34 a | −7.39 ± 0.52 b | 0.79 ± 0.17 a | 99.75 ± 0.66 ab |
| 500 MPa/6 min + CA | 0.50 ± 0.01 a | 71.50 ± 0.37 b | 25.75 ± 0.29 a | −7.06 ± 0.08 b | 0.94 ± 0.27 a | 98.95 ± 1.76 ab |
| Different Conditions | Absorption Peak | Color | Anthocyanin Content (mg/L) | |||
|---|---|---|---|---|---|---|
| L* | a* | b* | ΔE | |||
| Mv-3-O-ara | 0.21 ± 0.01 abcde | 87.38 ± 0.33 abcd | 12.36 ± 0.32 abcd | −2.96 ± 0.39 a | - | 75.92 ± 1.16 a |
| 100 MPa/2 min | 0.21 ± 0.01 bcde | 87.62 ± 0.17 abcd | 12.13 ± 0.16 abcd | −2.70 ± 0.50 a | 0.57 ± 0.09 a | 73.47 ± 1.61 ab |
| 100 MPa/4 min | 0.21 ± 0.02 abcde | 87.44 ± 0.17 abcd | 12.30 ± 0.16 abcd | −2.96 ± 0.26 a | 0.25 ± 0.07 a | 72.16 ± 0.80 ab |
| 100 MPa/6 min | 0.21 ± 0.01 bcde | 87.59 ± 0.04 abcd | 12.16 ± 0.04 abcd | −3.06 ± 0.06 a | 0.30 ± 0.07 a | 73.76 ± 0.00 ab |
| 300 MPa/2 min | 0.19 ± 0.01 e | 88.56 ± 0.42 a | 11.18 ± 0.43 d | −2.84 ± 0.22 a | 1.68 ± 0.58 a | 72.93 ± 1.03 ab |
| 300 MPa/4 min | 0.19 ± 0.00 e | 88.56 ± 0.76 a | 11.18 ± 0.77 d | −2.73 ± 0.01 a | 1.69 ± 1.07 a | 74.81 ± 1.62 ab |
| 300 MPa/6 min | 0.20 ± 0.01 cde | 88.00 ± 0.29 abc | 11.75 ± 0.29 bcd | −2.53 ± 0.23 a | 1.01 ± 0.25 a | 73.99 ± 0.61 ab |
| 500 MPa/2 min | 0.20 ± 0.01 de | 88.24 ± 0.13 ab | 11.51 ± 0.13 cd | −2.62 ± 0.36 a | 1.28 ± 0.07 a | 74.48 ± 0.09 ab |
| 500 MPa/4 min | 0.20 ± 0.01 de | 88.15 ± 0.92 abc | 11.59 ± 0.92 bcd | −2.58 ± 0.21 a | 1.17 ± 1.26 a | 73.46 ± 0.97 ab |
| 500 MPa/6 min | 0.20 ± 0.01 cde | 87.97 ± 0.75 abc | 11.77 ± 0.75 bcd | −2.95 ± 0.32 a | 0.91 ± 0.97 a | 74.93 ± 0.20 ab |
| Mv-3-O-ara + CA | 0.24 ± 0.00 ab | 85.87 ± 0.33 d | 13.80 ± 0.31 a | −3.43 ± 0.20 a | - | 73.00 ± 0.24 ab |
| 100 MPa/2 min + CA | 0.23 ± 0.02 abcd | 86.28 ± 0.25 bcd | 13.42 ± 0.23 abc | −3.32 ± 0.27 a | 0.62 ± 0.26 a | 72.86 ± 0.40 ab |
| 100 MPa/4 min + CA | 0.23 ± 0.01 abcd | 86.45 ± 0.90 bcd | 13.25 ± 0.86 abc | −3.00 ± 0.02 a | 1.08 ± 0.93 a | 72.74 ± 0.31 ab |
| 100 MPa/6 min + CA | 0.24 ± 0.02 a | 85.67 ± 0.12 d | 13.99 ± 0.11 a | −3.25 ± 0.13 a | 0.33 ± 0.21 a | 72.86 ± 0.82 ab |
| 300 MPa/2 min + CA | 0.23 ± 0.01 abcd | 86.39 ± 0.16 bcd | 13.31 ± 0.16 abc | −3.28 ± 0.16 a | 0.74 ± 0.18 a | 72.84 ± 0.84 ab |
| 300 MPa/4 min + CA | 0.23 ± 0.01 abcd | 86.51 ± 0.25 bcd | 13.20 ± 0.23 abc | −2.52 ± 0.19 a | 1.26 ± 0.37 a | 72.77 ± 1.37 ab |
| 300 MPa/6 min + CA | 0.23 ± 0.01 abc | 86.16 ± 0.08 cd | 13.53 ± 0.08 ab | −2.75 ± 0.05 a | 0.79 ± 0.10 a | 72.83 ± 0.58 ab |
| 500 MPa/2 min + CA | 0.23 ± 0.02 abcd | 86.60 ± 0.86 abcd | 13.11 ± 0.82 abcd | −3.00 ± 1.16 a | 1.32 ± 1.29 a | 71.24 ± 2.13 b |
| 500 MPa/4 min + CA | 0.23 ± 0.00 abcd | 86.25 ± 0.45 bcd | 13.45 ± 0.43 abc | −3.09 ± 0.23 a | 0.64 ± 0.63 a | 73.55 ± 0.64 ab |
| 500 MPa/6 min + CA | 0.24 ± 0.01 a | 85.62 ± 0.69 d | 14.304 ± 0.64 a | −2.94 ± 0.68 a | 0.86 ± 0.78 a | 74.63 ± 0.40 ab |
| Polyphenol Copigmentation | Peak Absorption | Color | Anthocyanin Content (mg/L) | ||
|---|---|---|---|---|---|
| L* | a* | b* | |||
| Mv-3-O-gal | 0.56 ± 0.00 d | 69.26 ± 0.07 bc | 27.46 ± 0.05 de | −7.64 ± 0.32 a | 93.33 ± 4.62 ab |
| +CA | 0.70 ± 0.00 ab | 63.03 ± 0.03 ef | 32.12 ± 0.02 ab | −11.02 ± 0.05 d | 96.36 ± 1.16 a |
| +Epi | 0.72 ± 0.02 a | 62.18 ± 0.71 f | 32.75 ± 0.52 a | −11.22 ± 0.32 d | 96.70 ± 1.27 a |
| +GA | 0.61 ± 0.00 c | 66.88 ± 0.06 d | 29.25 ± 0.05 c | −9.15 ± 0.01 c | 90.17 ± 0.46 ab |
| +HPP | 0.55 ± 0.00 de | 70.02 ± 0.17 b | 27.12 ± 0.13 ef | −7.42 ± 0.02 a | 90.54 ± 0.02 ab |
| +CA + HPP | 0.68 ± 0.00 b | 63.78 ± 0.06 e | 31.56 ± 0.04 b | −10.75 ± 0.04 d | 93.82 ± 1.38 ab |
| +Epi + HPP | 0.70 ± 0.01 ab | 63.27 ± 0.54 ef | 31.94 ± 0.40 ab | −11.00 ± 0.35 d | 94.15 ± 0.47 ab |
| +GA + HPP | 0.58 ± 0.01 cd | 68.15 ± 0.52 c | 28.29 ± 0.39 d | −8.44 ± 0.19 b | 87.08 ± 1.29 b |
| Polyphenol Copigmentation | Peak Absorption | Color | Anthocyanin Content (mg/L) | ||
|---|---|---|---|---|---|
| L* | a* | b* | |||
| Mv-3-O-ara | 0.25 ± 0.01 bc | 85.33 ± 0.77 abc | 14.30 ± 0.071 ab | −3.60 ± 0.40 abcd | 88.75 ± 2.05 ab |
| +CA | 0.31 ± 0.03 a | 82.29 ± 2.42 c | 17.01 ± 2.10 a | −4.80 ± 0.44 de | 102.16 ± 2.74 a |
| +Epi | 0.31 ± 0.02 a | 81.89 ± 1.01 c | 17.37 ± 0.87 a | −5.08 ± 0.64 e | 91.79 ± 9.86 ab |
| +GA | 0.26 ± 0.01 abc | 84.87 ± 0.76 abc | 14.72 ± 0.70 ab | −4.40 ± 0.20 bcde | 89.27 ± 2.23 ab |
| +HPP | 0.22 ± 0.02 c | 86.92 ± 1.24 ab | 12.80 ± 1.19 b | −3.42 ± 0.36 abc | 80.38 ± 9.13 ab |
| +CA + HPP | 0.32 ± 0.02 a | 81.64 ± 0.97 c | 17.59 ± 0.83 a | −4.61 ± 0.05 cde | 96.15 ± 2.04 a |
| +Epi + HPP | 0.31 ± 0.01 a | 81.78 ± 0.70 c | 17.47 ± 0.60 a | −4.87 ± 0.03 de | 95.30 ± 0.68 a |
| +GA + HPP | 0.29 ± 0.00 ab | 83.02 ± 0.04 bc | 16.39 ± 0.03 a | −3.81 ± 0.36 abcde | 93.77 ± 4.46 ab |
| Anthocyanin | Average Minimum Distance (Å) | ||||
|---|---|---|---|---|---|
| Copigmentation | AC-Plane to D-Ring | B-Ring to D-Ring | AC-Plane to E-Ring | Average Minimum Distance of Hydrogen Bonds | |
| Mv-3-O-gal | CA | 3.70 | 3.80 | - | 2.14 |
| Epi | 4.60 | 5.00 | 3.93 | 1.80 | |
| GA | 3.75 | 3.68 | - | 2.17 | |
| Mv-3-O-ara | CA | 3.95 | 3.60 | - | 3.00 |
| Epi | 3.75 | 3.90 | 3.90 | 2.18 | |
| GA | 3.62 | 3.85 | - | 1.93 | |
Disclaimer/Publisher’s Note: The statements, opinions and data contained in all publications are solely those of the individual author(s) and contributor(s) and not of MDPI and/or the editor(s). MDPI and/or the editor(s) disclaim responsibility for any injury to people or property resulting from any ideas, methods, instructions or products referred to in the content. |
© 2024 by the authors. Licensee MDPI, Basel, Switzerland. This article is an open access article distributed under the terms and conditions of the Creative Commons Attribution (CC BY) license (https://creativecommons.org/licenses/by/4.0/).
Share and Cite
Sun, Y.; Huang, F.; Chen, Y.; Ning, N.; Hao, G.; Bi, X. The Effect of High-Pressure Processing on the Copigmentation and Storage Stability of Polyphenols with Anthocyanin Monomers. Foods 2024, 13, 3756. https://doi.org/10.3390/foods13233756
Sun Y, Huang F, Chen Y, Ning N, Hao G, Bi X. The Effect of High-Pressure Processing on the Copigmentation and Storage Stability of Polyphenols with Anthocyanin Monomers. Foods. 2024; 13(23):3756. https://doi.org/10.3390/foods13233756
Chicago/Turabian StyleSun, Yuxuan, Fang Huang, Yan Chen, Nan Ning, Gang Hao, and Xiufang Bi. 2024. "The Effect of High-Pressure Processing on the Copigmentation and Storage Stability of Polyphenols with Anthocyanin Monomers" Foods 13, no. 23: 3756. https://doi.org/10.3390/foods13233756
APA StyleSun, Y., Huang, F., Chen, Y., Ning, N., Hao, G., & Bi, X. (2024). The Effect of High-Pressure Processing on the Copigmentation and Storage Stability of Polyphenols with Anthocyanin Monomers. Foods, 13(23), 3756. https://doi.org/10.3390/foods13233756

