Study on the Mechanism of Flavonoid Enrichment in Black Soybean Sprouts by Abscisic Acid/Melatonin Under Slight Acid Treatment
Abstract
1. Introduction
2. Materials and Methods
2.1. Experimental Design
2.2. Extraction, Identification, and Quantification of Isoflavones by HPLC
2.3. Determination of the Contents of H2O2, MDA, and
2.4. Total Phenolic Compound Assay
2.5. Determination of Antioxidant Enzyme Activity
2.6. Determination of Antioxidant Capacity
2.7. Determination of the Activity of Metabolic Enzymes
2.8. RNA Extraction and Quantitative Real-Time PCR Analysis
2.9. Statistical Analysis
3. Results
3.1. Effects of Exogenous ABA/MT on the Contents of Flavonoid Monomers in Black Soybean Sprouts Under Slight Acid Treatment
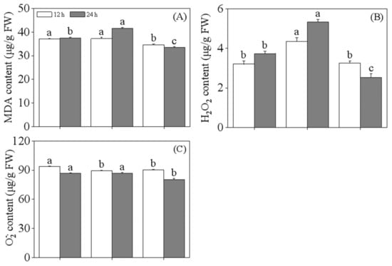
3.2. Effects of Exogenous ABA/MT on Physiological and Biochemical Parameters of Black Soybean Sprouts Under Slight Acid Treatment
3.3. Effects of Exogenous ABA/MT on Antioxidant Enzyme Activity and Antioxidant Capacity of Black Soybean Sprouts Under Slight Acid Treatment
3.4. Effects of Exogenous ABA/MT on Metabolic Enzyme Activity in Black Soybean Sprouts Under Slight Acid Treatment
3.5. Effects of Exogenous ABA/MT on the Expression Levels of Genes Related to Metabolic Enzymes in Black Soybean Sprouts Under Slight Acid Treatment
3.6. Effects of Exogenous ABA/MT on the Expression Levels of Genes Related to Stress Response and Antioxidant Enzymes in Black Soybean Sprouts Under Slight Acid Treatment
4. Discussion
5. Conclusions
Supplementary Materials
Author Contributions
Funding
Institutional Review Board Statement
Informed Consent Statement
Data Availability Statement
Conflicts of Interest
References
- Wang, S.; Zhang, Y.; Zhu, G.; Shi, X.; Chen, X.; Herrera-Balandrano, D.; Liu, F.; Laborda, P. Occurrence of isoflavones in soybean sprouts and strategies to enhance their content: A review. J. Food Sci. 2022, 87, 1961–1982. [Google Scholar] [CrossRef] [PubMed]
- Huang, J.; Wang, X.; Zheng, J.; Jia, Q.; Wang, X.; Xie, Z.; Ma, H. Mechanisms underlying the therapeutic effects of isoflavones isolated from chickpea sprouts in treating osteoporosis based on network pharmacology. Biochem. Biophys. Res. Commun. 2023, 671, 26–37. [Google Scholar] [CrossRef]
- Sleiman, H.; de Oliveira, J.; Langoni de Freitas, G. Isoflavones alter male and female fertility in different development windows. Biomed. Pharmacother. 2021, 140, 111448. [Google Scholar] [CrossRef] [PubMed]
- Hillman, G.; Singh-Gupta, V. Soy isoflavones sensitize cancer cells to radiotherapy. Free Radic. Biol. Med. 2011, 51, 289–298. [Google Scholar] [CrossRef]
- Liao, X.; Wang, S.; Li, Y.; Michael Olajide, T.; Zhai, X.; Qian, J.; Miao, S.; Huang, J. Effects of “nine steaming nine sun-drying” on proximate composition, protein structure and volatile compounds of black soybeans. Food Res. Int. 2022, 225, 111070. [Google Scholar] [CrossRef]
- Yang, L.; Wang, S.; Zhang, H.; Du, C.; Li, S.; Yang, J. Effects of black soybean powder particle size on the characteristics of mixed powder and wheat flour dough. LWT Food Sci. Technol. 2022, 167, 113834. [Google Scholar] [CrossRef]
- Azam, M.; Zhang, S.; Qi, J.; Abdelghany, A.M.; Shaibu, A.S.; Ghosh, S.; Feng, Y.; Huai, Y.; Gebregziabher, B.S.; Li, J.; et al. Profiling and associations of seed nutritional characteristics in Chinese and USA soybean cultivars. J. Food Compos. Anal. 2021, 98, 103803. [Google Scholar] [CrossRef]
- Mathatheeranan, P.; Wongprasert, T.; Wang, Y.; Fang, M.; Lu, T.-J.; Suppavorasatit, I. Characterization of potent odorants in northern Thai fermented black and yellow soybeans (thua nao) using solvent-assisted flavor evaporation, aroma extract dilution analysis techniques and omission studies of aroma reconstitution models. J. Food Compos. Anal. 2024, 128, 106031. [Google Scholar] [CrossRef]
- Zheng, Y.; Zhang, R.; Huang, F.; Cheng, L.-H.; Xu, L.; Jia, X. α-Glucosidase inhibitors derived from black soybean and their inhibitory mechanisms. LWT Food Sci. Technol. 2023, 189, 115502. [Google Scholar] [CrossRef]
- Ganesan, K.; Xu, B. A critical review on polyphenols and health benefits of black soybeans. Nutrients 2017, 9, 455. [Google Scholar] [CrossRef]
- He, L.; Hu, Q.; Zhang, J.; Xing, R.; Zhao, Y.; Yu, N.; Chen, Y. An integrated untargeted metabolomic approach reveals the quality characteristics of black soybeans from different geographical origins in China. Food Res. Int. 2023, 169, 112908. [Google Scholar] [CrossRef] [PubMed]
- Huang, C.; Quan, X.; Yin, Y.; Ding, X.; Yang, Z.; Zhu, J.; Fang, W. Enrichment of flavonoids in short-germinated black soybeans (Glycine max L.) induced by slight acid treatment. Foods 2024, 13, 868. [Google Scholar] [CrossRef] [PubMed]
- Barbosa, L.; da Silva, T.; Dias, M.; Pereira, E.; Cruz, R.; Silva, J.; da Costa, F.; Grossi, J. Application of phytohormones reduces damage caused by salt stress in Tropaeolum majus. S. Afr. J. Bot. 2024, 166, 69–78. [Google Scholar] [CrossRef]
- Yadav, A.; Singh, S. Effect of exogenous phytohormone treatment on antioxidant activity, enzyme activity and phenolic content in wheat sprouts and identification of metabolites of control and treated samples by UHPLC-MS analysis. Food Res. Int. 2023, 169, 112811. [Google Scholar] [CrossRef]
- Jiao, C.; Gu, Z. Cyclic GMP mediates abscisic acid-stimulated isoflavone synthesis in soybean sprouts. Food Chem. 2019, 275, 439–445. [Google Scholar] [CrossRef]
- Sati, H.; Chinchkar, A.; Kataria, P.; Pareek, S. Melatonin: A potential abiotic stress regulator. Plant Stress 2023, 10, 100293. [Google Scholar] [CrossRef]
- Wang, L.; Luo, Z.; Ban, Z.; Jiang, N.; Yang, M.; Li, L. Role of exogenous melatonin involved in phenolic metabolism of Zizyphus jujuba fruit. Food Chem. 2021, 341, 128268. [Google Scholar] [CrossRef]
- Yin, Y.; Xu, J.; He, X.; Yang, Z.; Fang, W.; Tao, J. Role of exogenous melatonin involved in phenolic acid metabolism of germinated hulless barley under NaCl stress. Plant Physiol. Biochem. 2022, 170, 14–22. [Google Scholar] [CrossRef]
- Yin, Y.; Tian, X.; Yang, J.; Yang, Z.; Tao, J.; Fang, W. Melatonin mediates isoflavone accumulation in germinated soybeans (Glycine max L.) under ultraviolet-B stress. Plant Physiol. Biochem. 2022, 175, 23–32. [Google Scholar] [CrossRef]
- Zhuang, L.; Xu, K.; Zhu, Y.; Wang, F.; Guo, L. Calcium affects glucoraphanin metabolism in broccoli sprouts under ZnSO4 stress. Food Chem. 2020, 334, 127520. [Google Scholar] [CrossRef]
- Zhao, K.; Zhao, C.; Yang, M.; Yin, D. ZnCl2 treatment improves nutrient quality and Zn accumulation in peanut seeds and sprouts. Sci. Rep. 2020, 10, 2364. [Google Scholar] [CrossRef] [PubMed]
- Limmongkon, A.; Janhom, P.; Amthong, A.; Kawpanuk, M.; Nopprang, P.; Poohadsuan, J.; Somboon, T.; Saijeen, S.; Surangkul, D.; Srikummool, M. Antioxidant activity, total phenolic, and resveratrol content in five cultivars of peanut sprouts. Asian Pac. J. Trop. Biomed. 2017, 7, 332–338. [Google Scholar] [CrossRef]
- Wang, Y.; Tian, S.; Xu, Y. Effects of high oxygen concentration on pro- and anti-oxidant enzymes in peach fruits during postharvest periods. Food Chem. 2005, 91, 99–104. [Google Scholar] [CrossRef]
- Bin, T.; Shang-Zhong, X.; Xi-Ling, Z.; Yong-Lian, Z.; Fa-Zhan, Q. Changes of antioxidative enzymes and lipid peroxidation in leaves and roots of waterlogging-tolerant and waterlogging-sensitive maize genotypes at seedling stage. J. Integr. Agric. 2010, 9, 651–661. [Google Scholar] [CrossRef]
- Rumpf, J.; Burger, R.; Schulze, M. Statistical evaluation of DPPH, ABTS, FRAP, and Folin-Ciocalteu assays to assess the antioxidant capacity of lignins. Int. J. Biol. Macromol. Struct. Funct. Interact. 2023, 1, 123470. [Google Scholar] [CrossRef]
- Wang, G.; Wu, L.; Zhang, H.; Wu, W.; Zhang, M.; Li, X.; Wu, H. Regulation of the Phenylpropanoid Pathway: A Mechanism of Selenium Tolerance in Peanut (Arachis hypogaea L.) Seedlings. J. Agric. Food Chem. 2016, 64, 3626–3635. [Google Scholar] [CrossRef] [PubMed]
- Yu, J.; Lee, H.; Heo, H.; Jeong, H.; Sung, J.; Lee, J. Sucrose-induced abiotic stress improves the phytochemical profiles and bioactivities of mung bean sprouts. Food Chem. 2023, 400, 134069. [Google Scholar] [CrossRef] [PubMed]
- Dehghanian, Z.; Habibi, K.; Dehghanian, M.; Aliyar, S.; Lajayer, B.A.; Astatkie, T.; Minkina, T.; Keswani, C. Reinforcing the bulwark: Unravelling the efficient applications of plant phenolics and tannins against environmental stresses. Heliyon 2022, 8, e09094. [Google Scholar] [CrossRef]
- Yin, Y.; Liu, C.; Yang, Z.; Fang, W. Ethephon promotes isoflavone accumulation in germinating soybeans by its acceleration of isoflavone biosynthetic pathway. Plant Physiol. Biochem. 2023, 201, 107805. [Google Scholar] [CrossRef]
- Qi, L.; Ma, Y.; Zheng, L.; Yuan, Z.; Sun, H.; Richardson, J.; Zhou, Y.; Gao, F. Combined transcriptome and metabolome analysis highlights a central role of AmMYB30 in MeJA induced flavonoid accumulation in Astragalus membranaceus. Food Biosci. 2024, 61, 104565. [Google Scholar] [CrossRef]
- Cui, J.; Jiang, N.; Zhou, X.; Hou, X.; Yang, G.; Meng, J.; Luan, Y. Tomato MYB49 enhances resistance to phytophthora infestans and tolerance to water deficit and salt stress. Planta 2018, 248, 1487–1503. [Google Scholar] [CrossRef] [PubMed]
- Moustafa-Farag, M.; Almoneafy, A.; Mahmoud, A.; Elkelish, A.; Arnao, M.; Li, L.; Ai, S. Melatonin and its protective role against biotic stress impacts on plants. Biomolecules 2019, 10, 54. [Google Scholar] [CrossRef] [PubMed]
- Hu, Z.; Lei, Y.; Zhang, J.; Tong, W.; Zhang, Y.; Du, L. Physiological characterization, antioxidant potential, and bacterial survival of soybean sprouts subjected to pre- and post-harvest low intensity ultrasound and exogenous ascorbic acid application. Postharvest Biol. Technol. 2023, 198, 112258. [Google Scholar] [CrossRef]
- Ampofo, J.; Ngadi, M. Stimulation of the phenylpropanoid pathway and antioxidant capacities by biotic and abiotic elicitation strategies in common bean (Phaseolus vulgaris) sprouts. Process Biochem. 2021, 100, 98–106. [Google Scholar] [CrossRef]
- Ampofo, J.; Ngadi, M. Ultrasonic assisted phenolic elicitation and antioxidant potential of common bean (Phaseolus vulgaris) sprouts. Ultrason. Sonochem. 2020, 64, 104974. [Google Scholar] [CrossRef]
- Vafadar, F.; Amooaghaie, R.; Ehsanzadeh, P.; Ghanadian, M.; Talebi, M.; Ghanati, F. Melatonin and calcium modulate the production of rosmarinic acid, luteolin, and apigenin in Dracocephalum kotschyi under salinity stress. Phytochemistry 2020, 177, 112422. [Google Scholar] [CrossRef]
- Yin, Y.; Tian, X.; He, X.; Yang, J.; Yang, Z.; Fang, W. Exogenous melatonin stimulated isoflavone biosynthesis in NaCl-stressed germinating soybean (Glycine max L.). Plant Physiol. Biochem. 2022, 185, 123–131. [Google Scholar] [CrossRef]
- Devi, M.; Kumar, G.; Giridhar, P. Effect of biotic and abiotic elicitors on isoflavone biosynthesis during seed development and in suspension cultures of soybean (Glycine max L.). 3 Biotech 2020, 10, 98. [Google Scholar] [CrossRef]
- Wang, Z.; Yu, Q.; Shen, W.; El Mohtar, C.; Zhao, X.; Gmitter, F. Functional study of CHS gene family members in citrus revealed a novel CHS gene affecting the production of flavonoids. BMC Plant Biol. 2018, 18, 189. [Google Scholar] [CrossRef]
- Yuk, H.; Song, Y.; Curtis-Long, M.; Kim, D.; Woo, S.; Lee, Y.; Uddin, Z.; Kim, C.; Park, K. Ethylene induced a high accumulation of dietary isoflavones and expression of isoflavonoid biosynthetic genes in soybean (Glycine max L.) Leaves. J. Agric. Food Chem. 2016, 64, 7315–7324. [Google Scholar] [CrossRef]
- Cheng, Q.; Li, N.; Dong, L.; Zhang, D.; Fan, S.; Jiang, L.; Wang, X.; Xu, P.; Zhang, S. Overexpression of soybean isoflavone reductase (GmIFR) enhances resistance to phytophthora sojae in soybean. Front. Plant Sci. 2015, 6, 1024. [Google Scholar] [CrossRef] [PubMed]
- Pan, W.-J.; Tao, J.-J.; Cheng, T.; Shen, M.; Ma, J.-B.; Zhang, W.-K.; Lin, Q.; Ma, B.; Chen, S.-Y.; Zhang, J.-S. Soybean NIMA-related kinasel promotes plant growth and improves salt and cold tolerance. Plant Cell Physiol. 2017, 58, 1268–1278. [Google Scholar] [CrossRef] [PubMed]







Disclaimer/Publisher’s Note: The statements, opinions and data contained in all publications are solely those of the individual author(s) and contributor(s) and not of MDPI and/or the editor(s). MDPI and/or the editor(s) disclaim responsibility for any injury to people or property resulting from any ideas, methods, instructions or products referred to in the content. |
© 2024 by the authors. Licensee MDPI, Basel, Switzerland. This article is an open access article distributed under the terms and conditions of the Creative Commons Attribution (CC BY) license (https://creativecommons.org/licenses/by/4.0/).
Share and Cite
Xue, J.; Quan, X.; Yang, J.; Fang, W.; Yin, Y. Study on the Mechanism of Flavonoid Enrichment in Black Soybean Sprouts by Abscisic Acid/Melatonin Under Slight Acid Treatment. Foods 2024, 13, 3567. https://doi.org/10.3390/foods13223567
Xue J, Quan X, Yang J, Fang W, Yin Y. Study on the Mechanism of Flavonoid Enrichment in Black Soybean Sprouts by Abscisic Acid/Melatonin Under Slight Acid Treatment. Foods. 2024; 13(22):3567. https://doi.org/10.3390/foods13223567
Chicago/Turabian StyleXue, Jiyuan, Xiaolan Quan, Jia Yang, Weiming Fang, and Yongqi Yin. 2024. "Study on the Mechanism of Flavonoid Enrichment in Black Soybean Sprouts by Abscisic Acid/Melatonin Under Slight Acid Treatment" Foods 13, no. 22: 3567. https://doi.org/10.3390/foods13223567
APA StyleXue, J., Quan, X., Yang, J., Fang, W., & Yin, Y. (2024). Study on the Mechanism of Flavonoid Enrichment in Black Soybean Sprouts by Abscisic Acid/Melatonin Under Slight Acid Treatment. Foods, 13(22), 3567. https://doi.org/10.3390/foods13223567
