A Mathematical Model for the Combination of Power Ultrasound and High-Pressure Processing in the Inactivation of Inoculated E. coli in Orange Juice
Abstract
1. Introduction
2. Materials and Methods
2.1. Bacteria Stock Culture and Inoculum
2.2. Ultrasound Treatment
2.3. HPP Process
2.4. Combination of Technologies: US + HPP Process
2.5. Mathematical Model for Microbial Inactivation
2.5.1. Structural Parameters
2.5.2. Parametric Estimation
2.5.3. Model Validation
2.6. Microbial Analysis
2.7. Viscosity, pH, and Brix Measurement
2.8. Data Analysis
3. Results and Discussion
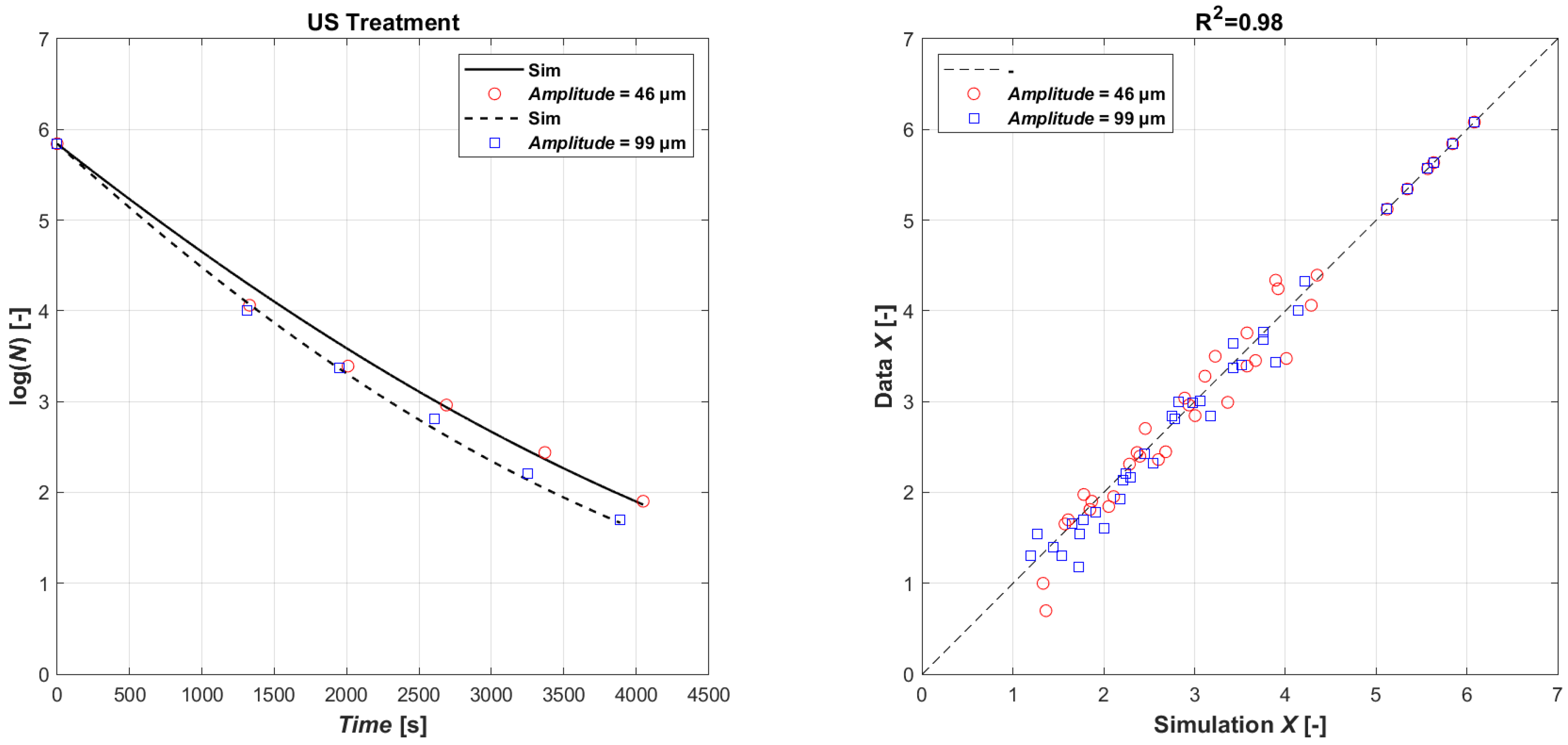
3.1. Acoustic Inactivation of Microorganisms
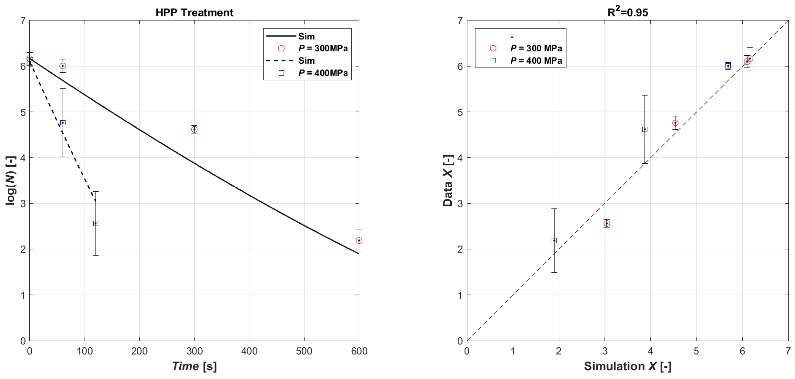
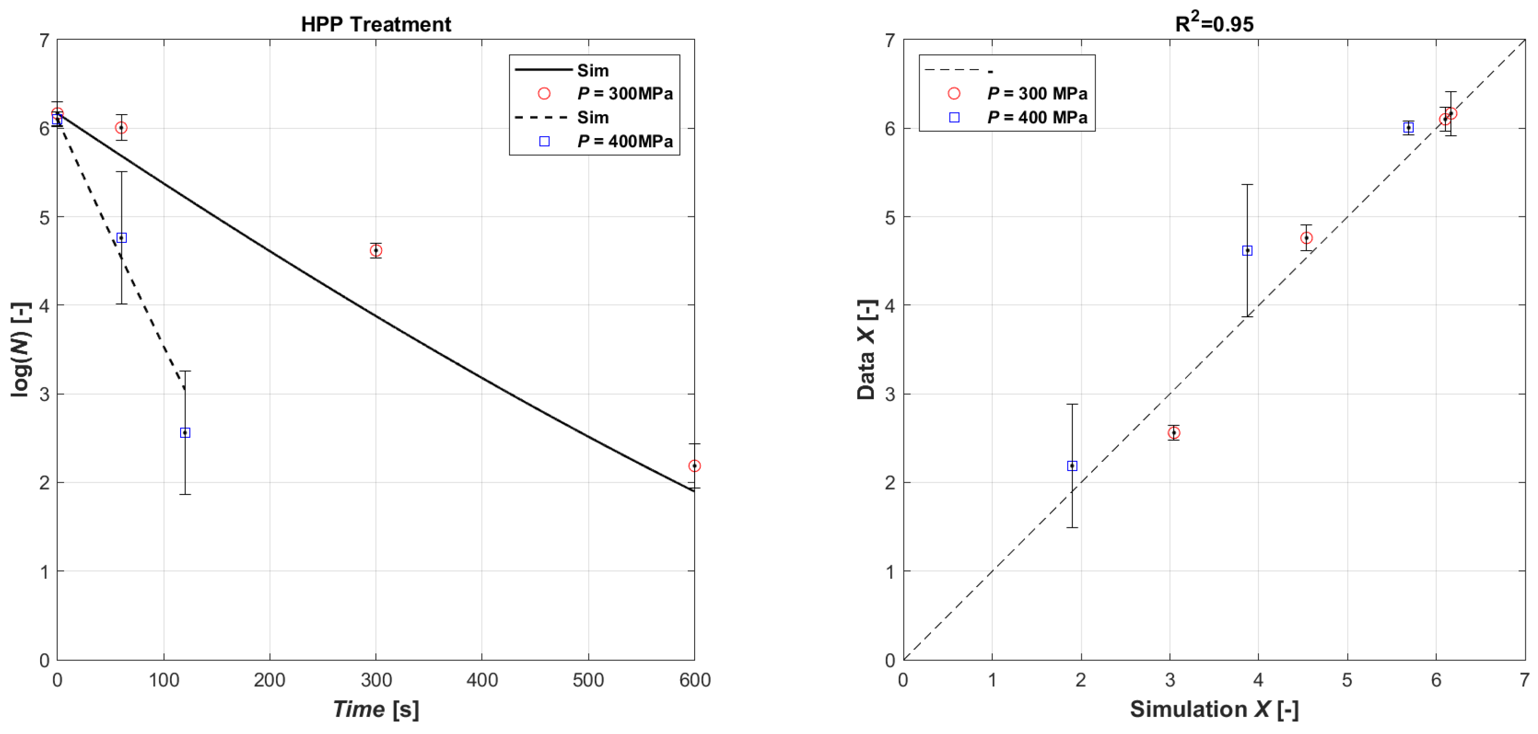
3.2. HPP Inactivation of Microorganisms
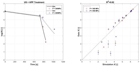
3.3. US + HPP Inactivation of Microorganisms
3.4. Viscosity, pH, and Brix
3.5. Selection of the Model’s Structural Coefficients
4. Conclusions
Supplementary Materials
Author Contributions
Funding
Data Availability Statement
Conflicts of Interest
References
- Song, Q.; Li, R.; Song, X.; Clausen, M.P.; Orlien, V.; Giacalone, D. The Effect of High-Pressure Processing on Sensory Quality and Consumer Acceptability of Fruit Juices and Smoothies: A Review. Food Res. Int. 2022, 157, 111250. [Google Scholar] [CrossRef] [PubMed]
- Zia, H.; Slatnar, A.; Košmerl, T.; Korošec, M. A Review Study on the Effects of Thermal and Non-Thermal Processing Techniques on the Sensory Properties of Fruit Juices and Beverages. Front. Food Sci. Tech. 2024, 4, 1–23. [Google Scholar] [CrossRef]
- Roobab, U.; Aadil, R.M.; Madni, G.M.; Bekhit, A.E.D. The Impact of Nonthermal Technologies on the Microbiological Quality of Juices: A Review. Compr. Rev. Food Sci. Food Saf. 2018, 17, 437–457. [Google Scholar] [CrossRef]
- Picart-Palmade, L.; Cunault, C.; Chevalier-Lucia, D.; Belleville, M.P.; Marchesseau, S. Potentialities and Limits of Some Non-Thermal Technologies to Improve Sustainability of Food Processing. Front. Nutr. 2019, 5, 1–18. [Google Scholar] [CrossRef]
- Saeeduddin, M.; Abid, M.; Jabbar, S.; Wu, T.; Hashim, M.M.; Awad, F.N.; Hu, B.; Lei, S.; Zeng, X. Quality Assessment of Pear Juice under Ultrasound and Commercial Pasteurization Processing Conditions. LWT 2015, 64, 452–458. [Google Scholar] [CrossRef]
- Soltani Firouz, M.; Farahmandi, A.; Hosseinpour, S. Recent Advances in Ultrasound Application as a Novel Technique in Analysis, Processing and Quality Control of Fruits, Juices and Dairy Products Industries: A Review. Ultrason. Sonochem. 2019, 57, 73–88. [Google Scholar] [CrossRef]
- Abid, M.; Jabbar, S.; Wu, T.; Hashim, M.M.; Hu, B.; Lei, S.; Zeng, X. Sonication Enhances Polyphenolic Compounds, Sugars, Carotenoids and Mineral Elements of Apple Juice. Ultrason. Sonochem. 2014, 21, 93–97. [Google Scholar] [CrossRef]
- Salleh-Mack, S.Z.; Roberts, J.S. Ultrasound Pasteurization: The Effects of Temperature, Soluble Solids, Organic Acids and PH on the Inactivation of Escherichia Coli ATCC 25922. Ultrason. Sonochem. 2007, 14, 323–329. [Google Scholar] [CrossRef]
- Lauteri, C.; Ferri, G.; Piccinini, A.; Pennisi, L.; Vergara, A. Ultrasound Technology as Inactivation Method for Foodborne Pathogens: A Review. Foods 2023, 12, 1212. [Google Scholar] [CrossRef]
- Ferrante, S.; Guerrero, S.; Alzamora, S.M. Combined Use of Ultrasound and Natural Antimicrobials to Inactivate Listeria Monocytogenes in Orange Juice. J. Food Prot. 2007, 70, 1850–1856. [Google Scholar] [CrossRef]
- Paniagua-Martínez, I.; Mulet, A.; García-Alvarado, M.A.; Benedito, J. Orange Juice Processing Using a Continuous Flow Ultrasound-Assisted Supercritical CO2 System: Microbiota Inactivation and Product Quality. Innov. Food Sci. Emerg. Tech. 2018, 47, 362–370. [Google Scholar] [CrossRef]
- Kernou, O.N.; Azzouz, Z.; Belbahi, A.; Kerdouche, K.; Kaanin-Boudraa, G.; Amir, A.; Madani, K.; Rijo, P. Inactivation of Escherichia coli in an Orange Juice Beverage by Combined Ultrasonic and Microwave Treatment. Foods 2023, 12, 666. [Google Scholar] [CrossRef] [PubMed]
- Ferrario, M.; Alzamora, S.M.; Guerrero, S. Study of the Inactivation of Spoilage Microorganisms in Apple Juice by Pulsed Light and Ultrasound. Food Microbiol. 2015, 46, 635–642. [Google Scholar] [CrossRef] [PubMed]
- Guzel, B.H.; Arroyo, C.; Condón, S.; Pagán, R.; Bayindirli, A.; Alpas, H. Inactivation of Listeria Monocytogenes and Escherichia coli by Ultrasonic Waves Under Pressure at Nonlethal (Manosonication) and Lethal Temperatures (Manothermosonication) in Acidic Fruit Juices. Food Bioproc. Tech. 2014, 7, 1701–1712. [Google Scholar] [CrossRef]
- Álvarez, I.; Mañas, P.; Sala, F.J.; Condón, S. Inactivation of Salmonella Enterica Serovar Enteritidis by Ultrasonic Waves Under Pressure at Different Water Activities. Appl. Environ. Microbiol. 2003, 69, 668–672. [Google Scholar] [CrossRef]
- Pyatkovskyy, T.I.; Shynkaryk, M.V.; Mohamed, H.M.; Yousef, A.E.; Sastry, S.K. Effects of Combined High Pressure (HPP), Pulsed Electric Field (PEF) and Sonication Treatments on Inactivation of Listeria innocua. J. Food Eng. 2018, 233, 49–56. [Google Scholar] [CrossRef]
- Zhu, J.; Wang, Y.; Li, X.; Li, B.; Liu, S.; Chang, N.; Jie, D.; Ning, C.; Gao, H.; Meng, X. Combined Effect of Ultrasound, Heat, and Pressure on Escherichia coli O157:H7, Polyphenol Oxidase Activity, and Anthocyanins in Blueberry (Vacciniumcorymbosum) Juice. Ultrason. Sonochem 2017, 37, 251–259. [Google Scholar] [CrossRef]
- López-Gómez, A.; Fernández, P.S.; Palop, A.; Periago, P.M.; Martinez-López, A.; Marin-Iniesta, F.; Barbosa-Cánovas, G.V. Food Safety Engineering: An Emergent Perspective. Food Eng. Rev. 2009, 1, 84–104. [Google Scholar] [CrossRef]
- Evelyn; Silva, F.V.M. Inactivation of Byssochlamys Nivea Ascospores in Strawberry Puree by High Pressure, Power Ultrasound and Thermal Processing. Int. J. Food Microbiol. 2015, 214, 129–136. [Google Scholar] [CrossRef]
- Evelyn; Kim, H.J.; Silva, F.V.M. Modeling the Inactivation of Neosartorya fischeri Ascospores in Apple Juice by High Pressure, Power Ultrasound and Thermal Processing. Food Control 2016, 59, 530–537. [Google Scholar] [CrossRef]
- Van Impe, J.; Smet, C.; Tiwari, B.; Greiner, R.; Ojha, S.; Stulić, V.; Vukušić, T.; Režek Jambrak, A. State of the Art of Nonthermal and Thermal Processing for Inactivation of Micro-Organisms. J. Appl. Microbiol. 2018, 125, 16–35. [Google Scholar] [CrossRef] [PubMed]
- Forrester, J.W. Industrial Dynamics; MIT Press: Cambridge, MA, USA, 1961. [Google Scholar]
- Ford, F.A. Modeling the Environment: An Introduction to System Dynamics Models of Environmental Systems; Island Press: Washington, DC, USA, 1999. [Google Scholar]
- Margulis, M.A.; Margulis, I.M. Calorimetric Method for Measurement of Acoustic Power Absorbed in a Volume of a Liquid. In Proceedings of the Ultrasonics Sonochemistry; Elsevier: Amsterdam, The Netherlands, 2003; Volume 10, pp. 343–345. [Google Scholar]
- Magerramov, M.A. Heat Capacity of Natural Fruit Juices and of Their Concentrates at Temperatures from 10 to 120 °C. J. Eng. Phys. Thermophys. 2007, 80, 1055–1063. [Google Scholar] [CrossRef]
- Geeraerd, A.H.; Herremans, C.H.; Van Impe, J.F. Structural Model Requirements to Describe Microbial Inactivation during a Mild Heat Treatment. Int. J. Food Microbiol. 2000, 59, 185–209. [Google Scholar] [CrossRef] [PubMed]
- Franczyk, A. Using the Morris Sensitivity Analysis Method to Assess the Importance of Input Variables on Time-Reversal Imaging of Seismic Sources. Acta Geophys. 2019, 67, 1525–1533. [Google Scholar] [CrossRef]
- Norton, J. An Introduction to Sensitivity Assessment of Simulation Models. Environ. Model. Softw. 2015, 69, 166–174. [Google Scholar] [CrossRef]
- Shampine, L.F.; Reichelt, M.W. The MATLAB ODE Suite. J. Sci. Comput 1997, 18, 1–22. [Google Scholar]
- Patil, S.; Bourke, P.; Kelly, B.; Frías, J.M.; Cullen, P.J. The Effects of Acid Adaptation on Escherichia coli Inactivation Using Power Ultrasound. Innov. Food Sci. Emerg. Technol. 2009, 10, 486–490. [Google Scholar] [CrossRef]
- Ugarte-Romero, E.; Feng, H.; Martin, S.E.; Cadwallader, K.R.; Robinson, S.J. Inactivation of Escherichia coli with Power Ultrasound in Apple Cider. J. Food Sci. 2006, 71, E102–E108. [Google Scholar] [CrossRef]
- Valero, M.; Recrosio, N.; Saura, D.; Muñoz, N.; Martí, N.; Lizama, V. Effects of Ultrasonic Treatments in Orange Juice Processing. J. Food Eng. 2007, 80, 509–516. [Google Scholar] [CrossRef]
- Gómez-López, V.M.; Orsolani, L.; Martínez-Yépez, A.; Tapia, M.S. Microbiological and Sensory Quality of Sonicated Calcium-Added Orange Juice. LWT 2010, 43, 808–813. [Google Scholar] [CrossRef]
- Jordan, S.L.; Pascual, C.; Bracey, E.; Mackey, B.M. Inactivation and Injury of Pressure-Resistant Strains of Escherichia coli O157 and Listeria Monocytogenes in Fruit Juices. J. Appl. Microbiol. 2001, 91, 463–469. [Google Scholar] [CrossRef] [PubMed]
- Bayindirli, A.; Alpas, H.; Bozoglu, F.; Hizal, M. Efficiency of High Pressure Treatment on Inactivation of Pathogenic Microorganisms and Enzymes in Apple, Orange, Apricot and Sour Cherry Juices. Food Control 2006, 17, 52–58. [Google Scholar] [CrossRef]
- Gomes, W.F.; Tiwari, B.K.; Rodriguez, Ó.; de Brito, E.S.; Fernandes, F.A.N.; Rodrigues, S. Effect of Ultrasound Followed by High Pressure Processing on Prebiotic Cranberry Juice. Food Chem. 2017, 218, 261–268. [Google Scholar] [CrossRef] [PubMed]
- Jabbar, S.; Abid, M.; Hu, B.; Muhammad Hashim, M.; Saeeduddin, M.; Lei, S.; Wu, T.; Zeng, X. Influence of Sonication and High Hydrostatic Pressure on the Quality of Carrot Juice. Int. J. Food Sci. Technol. 2014, 49, 2449–2457. [Google Scholar] [CrossRef]
- Soria, A.C.; Villamiel, M. Effect of Ultrasound on the Technological Properties and Bioactivity of Food: A Review. Trends Food Sci. Technol. 2010, 21, 323–331. [Google Scholar] [CrossRef]





| Parameter | Value | Units | 
|---|---|---|
| Probe | Time | Temperature | E. coli | Reduction | 
|---|---|---|---|---|
| [s] | [°C] | [log CFU mL−1] | [log CFU mL−1] | |
| Probe A (46 μm) | 0 | 10 | 5.1 | 0 | 
| 1329 | 20 | 3.4 | 1.71 | |
| 1989 | 20 | 3.0 | 2.12 | |
| 2649 | 20 | 2.1 | 2.99 | |
| 3329 | 20 | 1.6 | 3.47 | |
| 3988 | 20 | 1.3 | 3.82 | |
| Probe B (99 μm) | 0 | 10 | 5.1 | 0 | 
| 1329 | 20 | 3.4 | 1.67 | |
| 2009 | 20 | 2.8 | 2.28 | |
| 2689 | 20 | 2.4 | 2.72 | |
| 3369 | 20 | 1.8 | 3.31 | |
| 4044 | 20 | 1.7 | 4.42 | 
| Parameter | Value (46 µm) | Value (99 µm) | 
|---|---|---|
| Pressure [MPa] | Time [min] | E. coli [log CFU mL−1] | Reduction [log CFU/mL] | 
|---|---|---|---|
| 300 | 0 (control) | 6.2 ± 0.6 | |
| 1 | 6.0 ± 0.5 | 0.16 ± 0.02 | |
| 5 | 4.6 ± 0.4 | 1.5 ± 0.1 | |
| 10 | 2.2 ± 0.2 | 4.0 ± 0.1 | |
| 400 | 0 (control) | 6.2 ± 0.5 | |
| 1 | 4.7 ± 0.5 | 1.9 ± 0.8 | |
| 2 | 2.5 ± 0.2 | 3.9 ± 0.8 | |
| 3 | ND * | - | 
| Parameter | Value | 
|---|---|
| Pressure (MPa) | Time (min) | US (s) | E. coli (log CFU mL−1) | Reduction (log CFU mL−1) | 
|---|---|---|---|---|
| 300 | 0 | 720 | 5.5 ± 0.4 | 0.54 ± 0.05 | 
| 1440 | 5.2 ± 0 | 1.09 ± 0 | ||
| 2160 | 5.2 ± 0.3 | 1.14 ± 0.06 | ||
| 1 | 720 | 5.3 ± 0.3 | 0.81 ± 0.05 | |
| 1440 | 4.9 ± 0.4 | 1.42 ± 0.01 | ||
| 2160 | 3.6 ± 0.4 | 1.42 ± 0.01 | ||
| 5 | 720 | 3.8 ± 0.3 | 2.27 ± 0.04 | |
| 1440 | 2.0 ± 0.1 | 4.33 ± 0.4 | ||
| 2160 | 1.6 ± 0.1 | 4.42 ± 0.1 | ||
| 10 | 720 | ND * | ||
| 1440 | ND * | |||
| 2160 | ND * | |||
| 400 | 0 | 720 | 5.5 ± 0.5 | 0.54 ± 0.03 | 
| 1440 | 5.2 ± 0.1 | 0.89 ± 0.13 | ||
| 2160 | 4.9 ± 0.3 | 1.21 ± 0.07 | ||
| 1 | 720 | 4.1 ± 0.3 | 1.90 ± 0.05 | |
| 1440 | 1.0 ± 0.1 | 3.2 ± 0.1 | ||
| 2160 | 1.0 ± 0.1 | 4.1 ± 0.1 | ||
| 5 | 720 | 2.0 ± 0.1 | 3.80 ± 0.02 | |
| 1440 | 1.0 ± 0.1 | 5.4 ± 0.5 | ||
| 2160 | 1.0 ± 0.1 | 5.20 ± 0.06 | ||
| 10 | 720 | ND * | ||
| 1440 | ND * | |||
| 2160 | ND * | 
| Parameter | Value | 
|---|---|
| Disclaimer/Publisher’s Note: The statements, opinions and data contained in all publications are solely those of the individual author(s) and contributor(s) and not of MDPI and/or the editor(s). MDPI and/or the editor(s) disclaim responsibility for any injury to people or property resulting from any ideas, methods, instructions or products referred to in the content. | 
© 2024 by the authors. Licensee MDPI, Basel, Switzerland. This article is an open access article distributed under the terms and conditions of the Creative Commons Attribution (CC BY) license (https://creativecommons.org/licenses/by/4.0/).
Share and Cite
Rodríguez, Ó.; Orlien, V.; Amin, A.; Salucci, E.; Giannino, F.; Torrieri, E. A Mathematical Model for the Combination of Power Ultrasound and High-Pressure Processing in the Inactivation of Inoculated E. coli in Orange Juice. Foods 2024, 13, 3463. https://doi.org/10.3390/foods13213463
Rodríguez Ó, Orlien V, Amin A, Salucci E, Giannino F, Torrieri E. A Mathematical Model for the Combination of Power Ultrasound and High-Pressure Processing in the Inactivation of Inoculated E. coli in Orange Juice. Foods. 2024; 13(21):3463. https://doi.org/10.3390/foods13213463
Chicago/Turabian StyleRodríguez, Óscar, Vibeke Orlien, Ashwitha Amin, Emiliano Salucci, Francesco Giannino, and Elena Torrieri. 2024. "A Mathematical Model for the Combination of Power Ultrasound and High-Pressure Processing in the Inactivation of Inoculated E. coli in Orange Juice" Foods 13, no. 21: 3463. https://doi.org/10.3390/foods13213463
APA StyleRodríguez, Ó., Orlien, V., Amin, A., Salucci, E., Giannino, F., & Torrieri, E. (2024). A Mathematical Model for the Combination of Power Ultrasound and High-Pressure Processing in the Inactivation of Inoculated E. coli in Orange Juice. Foods, 13(21), 3463. https://doi.org/10.3390/foods13213463
 
        





 
       