Effects of Five Different Withering Methods on the Composition and Quality of Congou Black Tea
Abstract
1. Introduction
2. Materials and Methods
2.1. Tea Sample Preparation
2.2. Chemicals
2.3. Instruments and Equipment
2.4. Sensory Evaluation
2.5. Determination of Nonvolatile Components
2.6. Determination of Volatile Components
2.6.1. Extracting Components of Tea Aroma
2.6.2. Analysis Conditions and Qualitative and Quantitative Methods of Tea Aroma Components
2.7. Data Analysis
3. Results
3.1. Impact of Different Withering Methods on Sensory Evaluation
3.2. Impact of the Five Withering Methods on the Biochemical Components of Congou Black Tea
3.3. Effects of Different Withering Methods on Amino Acid Composition and Content
3.4. Effects of Different Withering Methods on the Composition of Catechins
3.5. Effects of Different Withering Methods on Tea Pigments and Correlation Analysis with Other Nonvolatile Substances
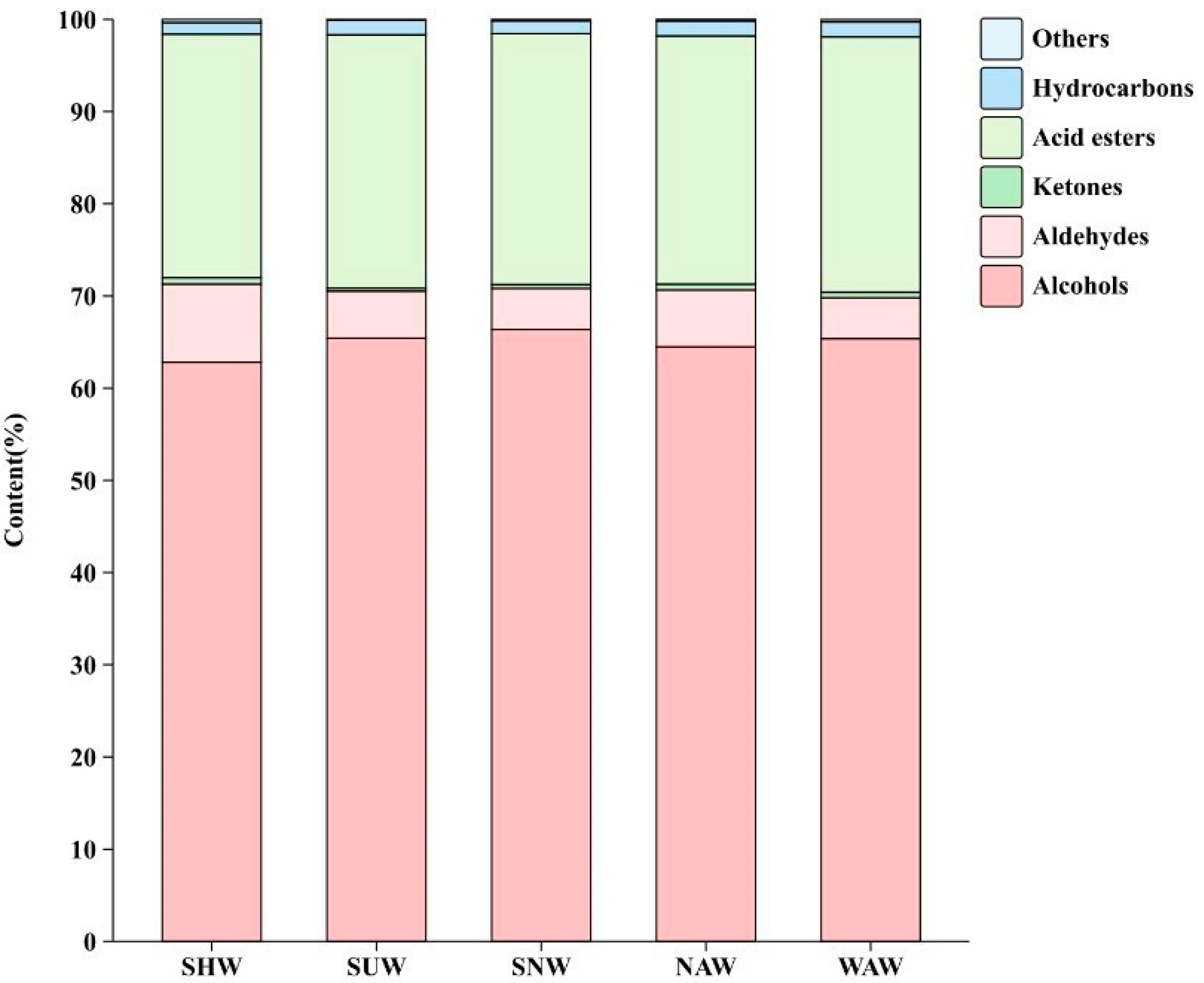
3.6. Analysis of Volatile Substances Under Different Wilting Methods
4. Discussion
5. Conclusions
Author Contributions
Funding
Institutional Review Board Statement
Informed Consent Statement
Data Availability Statement
Conflicts of Interest
References
- Bahorun, T.; Luximon-Ramma, A.; Gunness, T.K.; Sookar, D.; Bhoyroo, S.; Jugessur, R.; Reebye, D.; Googoolye, K.; Crozier, A.; Aruoma, O.I. Black tea reduces uric acid and C-reactive protein levels in humans susceptible to cardiovascular diseases. Toxicology 2009, 278, 68–74. [Google Scholar] [CrossRef] [PubMed]
- Zhang, L.; Ho, C.T.; Zhou, J.; Santos, J.S.; Armstrong, L.; Granato, D. Chemistry and Biological Activities of Processed Camellia sinensis Teas: A Comprehensive Review. Compr. Rev. Food. Sci. Food Saf. 2019, 18, 1474–1495. [Google Scholar] [CrossRef] [PubMed]
- Yue, C.; Yang, P.; Qin, D.; Cai, H.; Wang, Z.; Li, C.; Wu, H. Identification of volatile components and analysis of aroma characteristics of Jiangxi Congou black tea. Int. J. Food Prop. 2020, 23, 2160–2173. [Google Scholar] [CrossRef]
- Bhattacharya, S.; Gachhui, R.; Sil, P.C. Effect of Kombucha, a fermented black tea in attenuating oxidative stress mediated tissue damage in alloxan induced diabetic rats. Food. Chem. Toxicol. 2013, 60, 328–340. [Google Scholar] [CrossRef]
- Yılmaz, C.; Özdemir, F.; Gökmen, V. Investigation of free amino acids, bioactive and neuroactive compounds in different types of tea and effect of black tea processing. LWT 2020, 117, 108655. [Google Scholar] [CrossRef]
- Chen, Y.; Zeng, L.; Liao, Y.; Li, J.; Zhou, B.; Yang, Z.; Tang, J. Enzymatic Reaction-Related Protein Degradation and Proteinaceous Amino Acid Metabolism during the Black Tea (Camellia sinensis) Manufacturing Process. Foods 2020, 9, 66. [Google Scholar] [CrossRef]
- Fang, X.; Liu, Y.; Xiao, J.; Ma, C.; Huang, Y. GC-MS and LC-MS/MS metabolomics revealed dynamic changes of volatile and non-volatile compounds during withering process of black tea. Food Chem. 2023, 410, 135396. [Google Scholar] [CrossRef]
- Deb, S.; Jolvis Pou, K.R. A Review of Withering in the Processing of Black Tea. J. Biosyst. Eng. 2016, 41, 365–372. [Google Scholar] [CrossRef]
- Zhou, J.; Yu, X.; He, C.; Qiu, A.; Li, Y.; Shu, Q.; Chen, Y.; Ni, D. Withering degree affects flavor and biological activity of black tea: A non-targeted metabolomics approach. LWT 2020, 130, 109535. [Google Scholar] [CrossRef]
- Jabeen, S.; Alam, S.; Saleem, M.; Ahmad, W.; Bibi, R.; Hamid, F.S.; Shah, H.U. Withering timings affect the total free amino acids and mineral contents of tea leaves during black tea manufacturing. Arab. J. Chem. 2019, 12, 2411–2417. [Google Scholar] [CrossRef]
- Chandini, S.K.; Rao, L.J.; Gowthaman, M.K.; Haware, D.J.; Subramanian, R. Enzymatic treatment to improve the quality of black tea extracts. Food Chem. 2011, 127, 1039–1045. [Google Scholar] [CrossRef] [PubMed]
- Wang, Y.; Zheng, P.C.; Liu, P.P.; Song, X.W.; Guo, F.; Li, Y.Y.; Ni, D.J.; Jiang, C.J. Novel insight into the role of withering process in characteristic flavor formation of teas using transcriptome analysis and metabolite profiling. Food Chem. 2019, 272, 313–322. [Google Scholar] [CrossRef] [PubMed]
- Muthumani, T.; Kumar, R.S.S. Studies on freeze-withering in black tea manufacturing. Food Chem. 2006, 101, 103–106. [Google Scholar] [CrossRef]
- Li, Y.; He, C.; Yu, X.; Zhou, J.; Ntezimana, B.; Yu, Z.; Chen, Y.; Ni, D. Study on improving aroma quality of summer-autumn black tea by red-light irradiation during withering. LWT 2022, 154, 112597. [Google Scholar] [CrossRef]
- Hou, Z.W.; Wang, Y.J.; Xu, S.S.; Wei, Y.M.; Bao, G.H.; Dai, Q.Y.; Deng, W.W.; Ning, J.M. Effects of dynamic and static withering technology on volatile and nonvolatile components of Keemun black tea using GC-MS and HPLC combined with chemometrics. LWT 2020, 130, 109547. [Google Scholar] [CrossRef]
- Ma, B.; Wang, J.; Xu, C.; Wang, Z.; Yin, D.; Zhou, B.; Ma, C. Interrelation analysis between phenolic compounds and in vitro antioxidant activities in Pu-erh tea. LWT 2022, 158, 113117. [Google Scholar] [CrossRef]
- Huang, W.; Fang, S.; Wang, J.; Zhuo, C.; Luo, Y.; Yu, Y.; Li, L.; Wang, Y.; Deng, W.W.; Ning, J. Sensomics analysis of the effect of the withering method on the aroma components of Keemun black tea. Food Chem. 2022, 395, 133549. [Google Scholar] [CrossRef]
- Wang, J.; Ouyang, W.; Zhu, X.; Jiang, Y.; Yu, Y.; Chen, M.; Yuan, H.; Hua, J. Effect of shaking on the improvement of aroma quality and transformation of volatile metabolites in black tea. Food Chem. X. 2023, 20, 101007. [Google Scholar] [CrossRef]
- Yang, S.; Pathak, S.; Tang, H.; Zhang, D.; Chen, Y.; Ntezimana, B.; Ni, D.; Yu, Z. Non-Targeted Metabolomics Reveals the Effects of Different Rolling Methods on Black Tea Quality. Foods 2024, 13, 325. [Google Scholar] [CrossRef]
- Khan, N.; Mukhtar, H. Tea polyphenols for health promotion. Life Sci. 2007, 81, 519–533. [Google Scholar] [CrossRef]
- Piyasena, K.N.; Hettiarachchi, L.S.; Jayawardhane, S.A.; Edirisinghe, E.N.; Jayasinghe, W.S. Evaluation of inherent fructose, glucose and sucrose concentrations in tea leaves (Camellia sinensis L.) and in black tea. Appl. Food Res. 2022, 2, 100100. [Google Scholar] [CrossRef]
- Zhou, Y.; Luo, F.; Gong, X.; Liu, D.; Li, L.; Yao, Y.; Fang, C.; Ye, Y. Targeted metabolomics and DIA proteomics-based analyses of proteinaceous amino acids and driving proteins in black tea during withering. LWT 2022, 165, 113701. [Google Scholar] [CrossRef]
- Huang, W.; Fang, S.; Su, Y.; Xia, D.; Wu, Y.; Liu, Q.; Zou, L.; Lu, C.; Deng, W.W.; Ning, J. Insights into the mechanism of different withering methods on flavor formation of black tea based on target metabolomics and transcriptomics. LWT 2023, 189, 115537. [Google Scholar] [CrossRef]
- Susanne, S.; Thomas, H. Molecular definition of black tea taste by means of quantitative studies, taste reconstitution, and omission experiments. J. Agric. Food. Chem. 2005, 53, 5377–5384. [Google Scholar]
- Scharbert, S.; Jezussek, M.; Hofmann, T. Evaluation of the taste contribution of theaflavins in black tea infusions using the taste activity concept. Eur. Food Res. Technol. 2004, 218, 442–447. [Google Scholar] [CrossRef]
- Dong, C.; Liang, G.; Hu, B.; Yuan, H.; Jiang, Y.; Zhu, H.; Qi, J. Prediction of Congou Black Tea Fermentation Quality Indices from Color Features Using Non-Linear Regression Methods. Sci. Rep. 2018, 8, 10535. [Google Scholar] [CrossRef]
- Zhang, H.; Qi, R.; Mine, Y. The impact of oolong and black tea polyphenols on human health. Food Biosci. 2019, 29, 55–61. [Google Scholar] [CrossRef]
- Gang, Z.; Yani, P.; Hao, C.; Shuying, G.; Qiang, C.; Ping, C. Theaflavin: A natural candidate to restrain thrombosis. Food Funct. 2022, 13, 7572–7581. [Google Scholar]
- Yang, Y.; Hua, J.; Deng, Y.; Jiang, Y.; Qian, M.C.; Wang, J.; Li, J.; Zhang, M.; Dong, C.; Yuan, H. Aroma dynamic characteristics during the process of variable-temperature final firing of Congou black tea by electronic nose and comprehensive two-dimensional gas chromatography coupled to time-of-flight mass spectrometry. Food Res. Int. 2020, 137, 109656. [Google Scholar] [CrossRef]
- Ma, L.; Gao, M.; Zhang, L.; Qiao, Y.; Li, J.; Du, L.; Zhang, H.; Wang, H. Characterization of the key aroma-active compounds in high-grade Dianhong tea using GC-MS and GC-O combined with sensory-directed flavor analysis. Food Chem. 2022, 378, 132058. [Google Scholar] [CrossRef]
- Guo, X.; Ho, C.T.; Schwab, W.; Wan, X. Aroma profiles of green tea made with fresh tea leaves plucked in summer. Food Chem. 2021, 363, 130328. [Google Scholar] [CrossRef] [PubMed]
- Zhai, X.; Zhang, L.; Granvogl, M.; Ho, C.T.; Wan, X. Flavor of tea (Camellia sinensis): A review on odorants and analytical techniques. Compr. Rev. Food. Sci. Food Saf. 2022, 21, 3867–3909. [Google Scholar] [CrossRef] [PubMed]
- Huang, W.; Lu, G.; Deng, W.W.; Ning, J. Effects of different withering methods on the taste of Keemun black tea. LWT 2022, 166, 113791. [Google Scholar] [CrossRef]
- Zeng, L.; Watanabe, N.; Yang, Z. Understanding the biosyntheses and stress response mechanisms of aroma compounds in tea (Camellia sinensis) to safely and effectively improve tea aroma. Crit. Rev. Food. Sci. Nutr. 2019, 59, 2321–2334. [Google Scholar] [CrossRef]
- Xia, Y.; Yangbo, X.; Kuofei, W.; Wenliang, W.; Jing, H.; Shujuan, L.; Shuguang, Z. Effect of shaking manners on floral aroma quality and identification of key floral-aroma-active compounds in Hunan black tea. Food Res. Int. 2023, 174, 113515. [Google Scholar]








| Sample | Appearance and Score (25%) | Liquor Color and Score (10%) | Aroma and Score (25%) | Taste and Score (30%) | Infused Leaf and Score (10%) | Total Score |
|---|---|---|---|---|---|---|
| SHW | The color of the tea is dark brown with good luster and golden hairs 95.0 ± 0.00 a | Red (+), bright 95.0 ± 0.00 a | Floral and fruity, with a strong and persistent aroma 95.1 ± 2.00 a | Mellow, smooth, fresh 95.9 ± 0.92 a | Uniformly red in color and glossy 94.3 ± 1.15 a | 95.2 ± 0.72 a |
| SUW | The color of the tea is dark brown with luster 94.0 ± 0.00 ab | Orange–red, bright (+) 94.3 ± 0.66 ab | Sweet aroma, persistent (˗) 91.4 ± 0.42 b | Strong, slightly bitterness 92.2 ± 0.17 b | Uniformly red in color (˗), glossy (˗) 93.7 ± 1.15 a | 92.7 ± 0.08 c |
| SNW | The color of the tea is dark brown with more golden hairs 94.0 ± 1.00 ab | Red–orange, bright 93.0 ± 1.00 bc | Sweet, floral (˗), and persistent aroma 92.3 ± 1.00 b | Strong, astringent 91.4 ± 0.35 b | Uniformly red in color 93.0 ± 0.00 a | 92.5 ± 0.37 c |
| NAW | The color of the tea is dark brown with luster and fewer golden hairs 93.3 ± 0.58 b | Orange–red (+), bright (+) 94.6 ± 0.53 a | Sweet aroma, persistent (+) 91.8 ± 0.59 b | Strong, fresh 95.7 ± 0.10 a | Uniformly red in color (˗), glossy (˗) 93.7 ± 1.15 a | 93.7 ± 0.34 b |
| WAW | The color of the tea is dark brown with golden hairs 93.0 ± 0.00 b | Red–orange (˗), bright (+) 92.6 ± 0.92 c | Sweet, floral (+), and persistent aroma 92.4 ± 1.50 b | Mellow, fresh slightly astringent 95.9 ± 0.92 b | Uniformly red in color (˗) 92.3 ± 0.58 a | 92.5 ± 0.60 c |
Disclaimer/Publisher’s Note: The statements, opinions and data contained in all publications are solely those of the individual author(s) and contributor(s) and not of MDPI and/or the editor(s). MDPI and/or the editor(s) disclaim responsibility for any injury to people or property resulting from any ideas, methods, instructions or products referred to in the content. |
© 2024 by the authors. Licensee MDPI, Basel, Switzerland. This article is an open access article distributed under the terms and conditions of the Creative Commons Attribution (CC BY) license (https://creativecommons.org/licenses/by/4.0/).
Share and Cite
Wu, Y.; Wang, X.; Chen, L.; Li, Q.; He, J.; Deng, X.; Xu, J.; Che, R.; Zhou, J.; Yuan, W.; et al. Effects of Five Different Withering Methods on the Composition and Quality of Congou Black Tea. Foods 2024, 13, 3456. https://doi.org/10.3390/foods13213456
Wu Y, Wang X, Chen L, Li Q, He J, Deng X, Xu J, Che R, Zhou J, Yuan W, et al. Effects of Five Different Withering Methods on the Composition and Quality of Congou Black Tea. Foods. 2024; 13(21):3456. https://doi.org/10.3390/foods13213456
Chicago/Turabian StyleWu, Yamin, Xinghua Wang, Lijiao Chen, Qiang Li, Junjie He, Xiujuan Deng, Jiayi Xu, Raoqiong Che, Jianyun Zhou, Wenxia Yuan, and et al. 2024. "Effects of Five Different Withering Methods on the Composition and Quality of Congou Black Tea" Foods 13, no. 21: 3456. https://doi.org/10.3390/foods13213456
APA StyleWu, Y., Wang, X., Chen, L., Li, Q., He, J., Deng, X., Xu, J., Che, R., Zhou, J., Yuan, W., Wu, T., Tian, J., Chen, Y., & Wang, B. (2024). Effects of Five Different Withering Methods on the Composition and Quality of Congou Black Tea. Foods, 13(21), 3456. https://doi.org/10.3390/foods13213456

