Impact of Oat Supplementation on the Structure, Digestibility, and Sensory Properties of Extruded Instant Rice
Abstract
1. Introduction
2. Materials and Methods
2.1. Materials
2.2. Preparation of Oat–Rice Flour Blends
2.3. Pasting Characteristics of Oat–Rice Flour Blends
2.4. The Extrusion Process
2.5. The Properties of IER
2.5.1. Hydration Properties
2.5.2. Dietary Fiber Content
2.5.3. Rehydration Characteristics
2.5.4. Texture Profile Analysis (TPA)
2.5.5. Sensory Evaluation
2.6. Comparison of Four Kinds of Instant Rice (IR)
2.6.1. Microstructure
2.6.2. In Vitro Digestion
2.6.3. The Electronic Nose
2.6.4. The Electronic Tongue
2.7. Statistical Analysis
3. Results and Discussion
3.1. The Properties of Oat–Rice Flour Blends
3.2. IER with Different Amounts of Oat Added
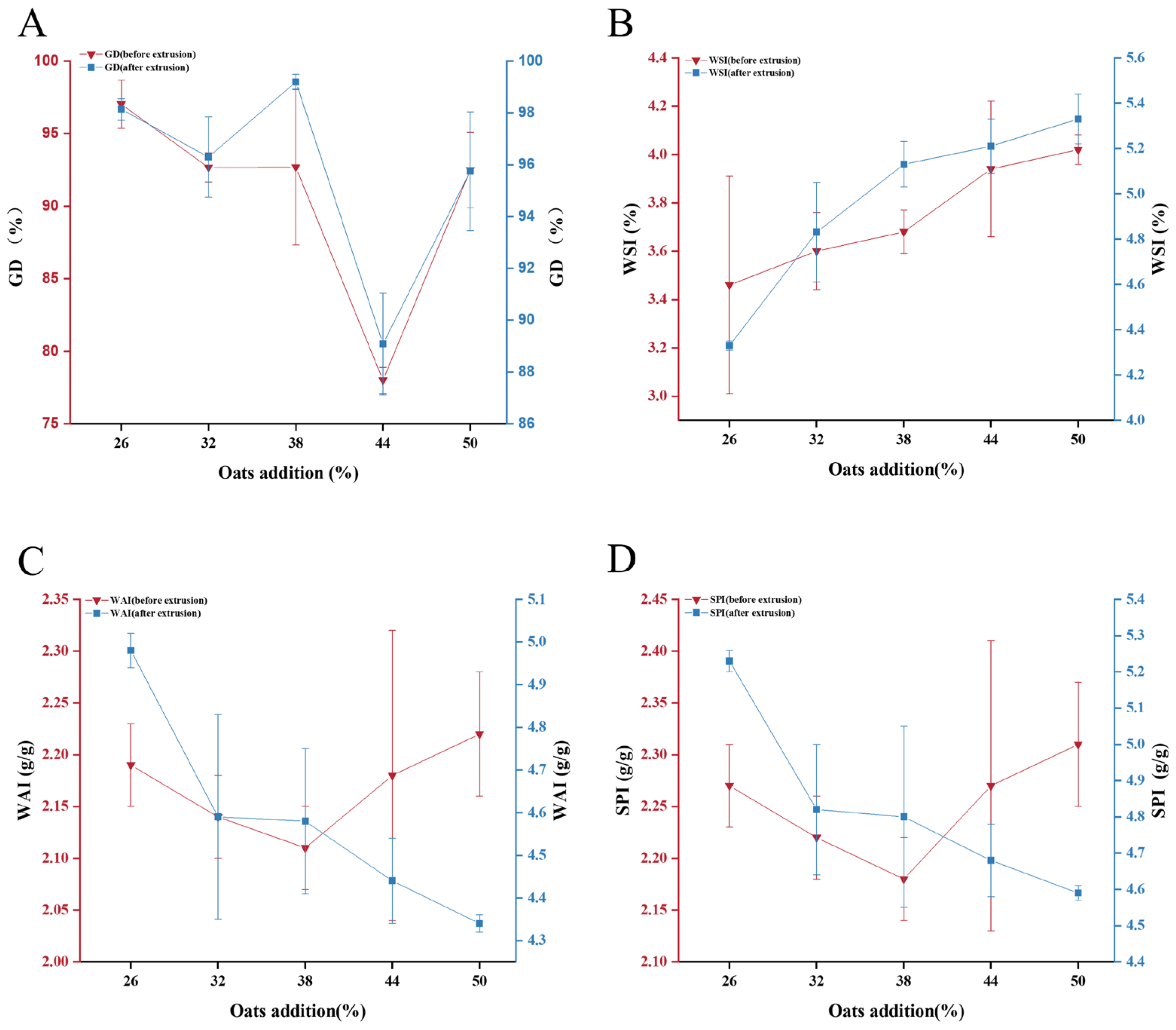
3.2.1. Gelatinization and Hydration Characteristics
3.2.2. Dietary Fiber Content
3.2.3. Rehydration Characteristics
3.2.4. Sensory Score
3.2.5. Textural Measurement
3.3. Comparison of Four Kinds of IR
3.3.1. Texture, Rehydration Time, and Sensory Score
3.3.2. Microstructure
3.3.3. In Vitro Digestion
3.3.4. The Electronic Nose
3.3.5. The Electronic Tongue
4. Conclusions
Author Contributions
Funding
Institutional Review Board Statement
Informed Consent Statement
Data Availability Statement
Acknowledgments
Conflicts of Interest
References
- Kumari, R.; Abhishek, V.; Gupta, M. In-vitro starch digestibility, nutritional-functional and texture properties of hull less barley incorporated extruded noodles. Vegetos 2021, 34, 205–211. [Google Scholar] [CrossRef]
- Alam, M.S.; Kaur, J.; Khaira, H.; Gupta, K. Extrusion and Extruded Products: Changes in Quality Attributes as Affected by Extrusion Process Parameters: A Review. Crit. Rev. Food Sci. Nutr. 2016, 56, 445–473. [Google Scholar] [CrossRef] [PubMed]
- Bisharat, G.I.; Oikonomopoulou, V.P.; Panagiotou, N.M.; Krokida, M.K.; Maroulis, Z.B. Effect of extrusion conditions on the structural properties of corn extrudates enriched with dehydrated vegetables. Food Res. Int. 2013, 53, 1–14. [Google Scholar] [CrossRef]
- Ribeiro Oliveira, A.; Chaves Ribeiro, A.E.; Resende Oliveira, É.; da Silva Ana Caroline, M.; Soares Soares Júnior, M.; Caliari, M. Broken rice grains pregelatinized flours incorporated with lyophilized açaí pulp and the effect of extrusion on their physicochemical properties. J. Food Sci. Technol. 2019, 56, 1337–1348. [Google Scholar] [CrossRef] [PubMed]
- Toledo, V.C.S.; Carvalho, C.W.P.; Vargas-Solórzano, J.W.; Ascheri, J.L.R.; Comettant-Rabanal, R. Extrusion cooking of gluten-free whole grain flour blends. J. Food Process Eng. 2019, 43, e13303. [Google Scholar] [CrossRef]
- Tobias-Espinoza, J.L.; Amaya-Guerra, C.A.; Quintero-Ramos, A.; Pérez-Carrillo, E.; Núñez-González, M.A.; Martínez-Bustos, F.; Meléndez-Pizarro, C.O.; Báez-González, J.G.; Ortega-Gutiérrez, J.A. Effects of the Addition of Flaxseed and Amaranth on the Physicochemical and Functional Properties of Instant-Extruded Products. Foods 2019, 8, 183. [Google Scholar] [CrossRef] [PubMed]
- Abd Razak, D.L.; Jamaluddin, A.; Abd Rashid, N.Y.; Abd Ghani, A.; Abdul Manan, M. Assessment of fermented broken rice extracts for their potential as functional ingredients in cosmeceutical products. Ann. Agric. Sci. 2019, 64, 176–182. [Google Scholar] [CrossRef]
- Yao, W.; Yu, X.; Zhou, Y.; Han, Y.; Li, S.; Yin, X.; Huang, X.; Huang, F. Effects of different processing techniques of broken rice on processing quality of pellet feed, nutrient digestibility, and gut microbiota of weaned piglets. J. Anim. Sci. 2023, 101, skad158. [Google Scholar] [CrossRef] [PubMed]
- Yang, W.; Zheng, Y.; Sun, W.; Chen, S.; Liu, D.; Zhang, H.; Fang, H.; Tian, J.; Ye, X. Effect of extrusion processing on the microstructure and in vitro digestibility of broken rice. LWT 2020, 119, 108835. [Google Scholar] [CrossRef]
- Cervantes-Ramírez, J.E.; Cabrera-Ramirez, A.H.; Morales-Sánchez, E.; Rodriguez-García, M.E.; Reyes-Vega, M.d.l.L.; Ramírez-Jiménez, A.K.; Contreras-Jiménez, B.L.; Gaytán-Martínez, M. Amylose-lipid complex formation from extruded maize starch mixed with fatty acids. Carbohydr. Polym. 2020, 246, 116555. [Google Scholar] [CrossRef]
- Shen, R.-L.; Cai, F.-L.; Dong, J.-L.; Hu, X.-Z. Hypoglycemic Effects and Biochemical Mechanisms of Oat Products on Streptozotocin-Induced Diabetic Mice. J. Agric. Food Chem. 2011, 59, 8895–8900. [Google Scholar] [CrossRef]
- Marmouzi, I.; Karym, E.M.; Saidi, N.; Meddah, B.; Kharbach, M.; Masrar, A.; Bouabdellah, M.; Chabraoui, L.; El Allali, K.; Cherrah, Y.; et al. In Vitro and In Vivo Antioxidant and Anti-Hyperglycemic Activities of Moroccan Oat Cultivars. Antioxidants 2017, 6, 102. [Google Scholar] [CrossRef]
- Si-meng, T.; Xiang-ju, K. Research progress on molecular structure and biological functions of oat beta-glucan. China Condiment 2021, 46, 180–183. [Google Scholar] [CrossRef]
- Guo, L.; Li, J.; Gui, Y.; Zhu, Y.; Cui, B. Improving waxy rice starch functionality through branching enzyme and glucoamylase: Role of amylose as a viable substrate. Carbohydr. Polym. 2020, 230, 115712. [Google Scholar] [CrossRef] [PubMed]
- Jokinen, I.; Silventoinen-Veijalainen, P.; Lille, M.; Nordlund, E.; Holopainen-Mantila, U. Variability of carbohydrate composition and pasting properties of oat flakes and oat flours produced by industrial oat milling process—Comparison to non-heat-treated oat flours. Food Chem. 2023, 405, 134902. [Google Scholar] [CrossRef]
- Bai, X.; Zhang, M.; Zhang, Y.; Zhang, Y.; Guo, X.; Huo, R. Effects of Pretreatment on the Volatile Composition, Amino Acid, and Fatty Acid Content of Oat Bran. Foods 2021, 11, 3070. [Google Scholar] [CrossRef] [PubMed]
- Hu, X.; Fang, C.; Lu, L.; Hu, Z.; Zhang, W.; Chen, M. Dynamic Changes in Volatiles, Soluble Sugars, and Fatty Acids in Glutinous Rice during Cooking. Foods 2023, 12, 1700. [Google Scholar] [CrossRef] [PubMed]
- Cao, H.; Wang, C.; Li, R.; Guan, X.; Huang, K.; Zhang, Y. Influence of sprouted oat flour substitution on the texture and in vitro starch digestibility of wheat bread. Food Chem. X 2022, 15, 100428. [Google Scholar] [CrossRef] [PubMed]
- Kaur, M.; Singh, S. Influence of heat-moisture treatment (HMT) on physicochemical and functional properties of starches from different Indian oat (Avena sativa L.) cultivars. Int. J. Biol. Macromol. 2019, 122, 312–319. [Google Scholar] [CrossRef] [PubMed]
- Camire, M. Extrusion cooking. In The Nutrition Handbook for Food Processors; Woodhead Publishing: Sawston, UK, 2001; pp. 314–330. [Google Scholar] [CrossRef]
- Espinosa-Ramírez, J.; Rodríguez, A.; De la Rosa-Millán, J.; Heredia-Olea, E.; Pérez-Carrillo, E.; Serna-Saldívar, S.O. Shear-induced enhancement of technofunctional properties of whole grain flours through extrusion. Food Hydrocoll. 2021, 111, 106400. [Google Scholar] [CrossRef]
- Huihui, L.; Weiguo, W.; Luyan, L. Quality evaluation of extruded instant rice sold in market. J. Food Sci. Technol. 2021, 39, 135–143. [Google Scholar] [CrossRef]
- Arribas, C.; Cabellos, B.; Cuadrado, C.; Guillamón, E.; Pedrosa, M.M. Extrusion effect on proximate composition, starch and dietary fibre of ready-to-eat products based on rice fortified with carob fruit and bean. LWT 2019, 111, 387–393. [Google Scholar] [CrossRef]
- Mukhtar, R.; Shah, A.; Noor, N.; Gani, A.; Wani, I.A.; Ashwar, B.A.; Masoodi, F.A. γ-Irradiation of oat grain—Effect on physico-chemical, structural, thermal, and antioxidant properties of extracted starch. Int. J. Biol. Macromol. 2017, 104, 1313–1320. [Google Scholar] [CrossRef] [PubMed]
- Qian, X.; Sun, B.; Gu, Y.; Ma, S.; Wang, X. Enhancing the quality of steamed oat cake by partially gelatinized starch in oat flour and its molecular mechanism. Int. J. Biol. Macromol. 2023, 238, 124139. [Google Scholar] [CrossRef] [PubMed]
- Wang, P.; Liu, K.; Yang, R.; Gu, Z.; Zhou, Q.; Jiang, D. Comparative Study on the Bread Making Quality of Normoxia- and Hypoxia-Germinated Wheat: Evolution of γ-Aminobutyric Acid, Starch Gelatinization, and Gluten Polymerization during Steamed Bread Making. J. Agric. Food Chem. 2019, 67, 3480–3490. [Google Scholar] [CrossRef]
- Lan, H.; Hoover, R.; Jayakody, L.; Liu, Q.; Donner, E.; Baga, M.; Asare, E.K.; Hucl, P.; Chibbar, R.N. Impact of annealing on the molecular structure and physicochemical properties of normal, waxy and high amylose bread wheat starches. Food Chem. 2008, 111, 663–675. [Google Scholar] [CrossRef]
- Qian, X.; Sun, B.; Gu, Y.; Tian, X.; Ma, S.; Wang, X. Milling and roasting impact pasting and rheological properties of oat flours and quality of steamed oat cakes. LWT 2023, 175, 114477. [Google Scholar] [CrossRef]
- Schafranski, K.; Ito, V.C.; Lacerda, L.G. Impacts and potential applications: A review of the modification of starches by heat-moisture treatment (HMT). Food Hydrocoll. 2021, 117, 106690. [Google Scholar] [CrossRef]
- Santillán-Moreno, A.; Martínez-Bustos, F.; Castaño-Tostado, E.; Amaya-Llano, S.L. Physicochemical Characterization of Extruded Blends of Corn Starch–Whey Protein Concentrate–Agave tequilana Fiber. Food Bioprocess Technol. 2011, 4, 797–808. [Google Scholar] [CrossRef]
- Zhang, Y.; Chen, C.; Wang, N.; Chen, Y.; Yu, J.; Zheng, X.; Li, S.; Chen, Y. Developing a new modification technology of oat flour based on differential pressure explosion puffing. LWT 2021, 141, 110967. [Google Scholar] [CrossRef]
- Téllez-Morales, J.A.; Herman-Lara, E.; Gómez-Aldapa, C.A.; Rodríguez-Miranda, J. Techno-functional properties of the starch-protein interaction during extrusion-cooking of a model system (corn starch and whey protein isolate). LWT 2020, 132, 109789. [Google Scholar] [CrossRef]
- Jafari, M.; Koocheki, A.; Milani, E. Effect of extrusion cooking on chemical structure, morphology, crystallinity and thermal properties of sorghum flour extrudates. J. Cereal Sci. 2017, 75, 324–331. [Google Scholar] [CrossRef]
- Cheng, W.; Gao, L.; Wu, D.; Gao, C.; Meng, L.; Feng, X.; Tang, X. Effect of improved extrusion cooking technology on structure, physiochemical and nutritional characteristics of physically modified buckwheat flour: Its potential use as food ingredients. LWT 2020, 133, 109872. [Google Scholar] [CrossRef]
- Zhang, M.; Bai, X.; Zhang, Z. Extrusion process improves the functionality of soluble dietary fiber in oat bran. J. Cereal Sci. 2011, 54, 98–103. [Google Scholar] [CrossRef]
- Roye, C.; Van Wayenbergh, E.; Henrion, M.; De Bondt, Y.; Chanvrier, H.; King, R.; Lamothe, L.M.; Courtin, C.M. Extrusion-cooking affects oat bran physicochemical and nutrition-related properties and increases its β-glucan extractability. J. Cereal Sci. 2021, 102, 103360. [Google Scholar] [CrossRef]
- Ma, M.; Han, C.-W.; Li, M.; Song, X.-Q.; Sun, Q.-J.; Zhu, K.-X. Inhibiting effect of low-molecular weight polyols on the physico-chemical and structural deteriorations of gluten protein during storage of fresh noodles. Food Chem. 2019, 287, 11–19. [Google Scholar] [CrossRef] [PubMed]
- Sun, X.; Li, W.; Hu, Y.; Zhou, X.; Ji, M.; Yu, D.; Fujita, K.; Tatsumi, E.; Luan, G. Comparison of pregelatinization methods on physicochemical, functional and structural properties of tartary buckwheat flour and noodle quality. J. Cereal Sci. 2018, 80, 63–71. [Google Scholar] [CrossRef]
- Cueto, M.; Porras-Saavedra, J.; Farroni, A.; Alamilla-Beltrán, L.; Schöenlechner, R.; Schleining, G.; Buera, P. Physical and mechanical properties of maize extrudates as affected by the addition of chia and quinoa seeds and antioxidants. J. Food Eng. 2015, 167, 139–146. [Google Scholar] [CrossRef]
- Ying, D.; Hlaing, M.M.; Lerisson, J.; Pitts, K.; Cheng, L.; Sanguansri, L.; Augustin, M.A. Physical properties and FTIR analysis of rice-oat flour and maize-oat flour based extruded food products containing olive pomace. Food Res. Int. 2017, 100, 665–673. [Google Scholar] [CrossRef]
- Liu, Q.; Wang, Y.; Yang, Y.; Yu, X.; Xu, L.; Jiao, A.; Jin, Z. Structure, physicochemical properties and in vitro digestibility of extruded starch-lauric acid complexes with different amylose contents. Food Hydrocoll. 2023, 136, 108239. [Google Scholar] [CrossRef]
- Parada, J.; Aguilera, J.M.; Brennan, C. Effect of guar gum content on some physical and nutritional properties of extruded products. J. Food Eng. 2011, 103, 324–332. [Google Scholar] [CrossRef]
- Zhang, D.; Zhang, Y.; Pan, X.; Yuan, L.; Cai, Y.; Lao, F.; Wu, J. Effect of extrusion on the structural and flavor properties of oat flours. J. Cereal Sci. 2023, 113, 103742. [Google Scholar] [CrossRef]
- Schwartz, M.; Brignot, H.; Feron, G.; Hummel, T.; Zhu, Y.; von Koskull, D.; Heydel, J.-M.; Lirussi, F.; Canon, F.; Neiers, F. Role of human salivary enzymes in bitter taste perception. Food Chem. 2022, 386, 132798. [Google Scholar] [CrossRef]






| No. | Sensors | Descriptions |
|---|---|---|
| MOS1 | W1C | Aromatic compound |
| MOS2 | W5S | Nitrogen oxide |
| MOS3 | W3C | Ammonia, aromatic component |
| MOS4 | W6S | Hydrogen |
| MOS5 | W5C | Alkanes, aromatic component |
| MOS6 | W1S | Exercise alkanes |
| MOS7 | W1W | Sulfide |
| MOS8 | W2S | Ethanol |
| MOS9 | W2W | Organic sulfides, aromatic components |
| MOS10 | W3S | Alkanes |
| Oat Addition | PV (Pa·s) | TV (Pa·s) | BD (Pa·s) | FV (Pa·s) | SV (Pa·s) | PT (°C) |
|---|---|---|---|---|---|---|
| 26% | 2389.67 ± 54.88 bc | 2034.67 ± 100.76 c | 355.00 ± 45.90 a | 4417.00 ± 62.22 ab | 2382.33 ± 51.00 a | 85.07 ± 0.06 a |
| 32% | 2448.67 ± 24.54 c | 1992.67 ± 51.43 c | 456.00 ± 37.16 b | 4434.00 ± 43.27 ab | 2441.33 ± 10.07 a | 85.62 ± 0.45 b |
| 38% | 2386.00 ± 35.51 abc | 1763.33 ± 35.23 b | 622.67 ± 65.73 c | 4436.33 ± 56.50 ab | 2673.00 ± 82.83 b | 85.92 ± 0.03 b |
| 44% | 2379.67 ± 33.50 ab | 1528.67 ± 39.37 a | 851.00 ± 53.39 e | 4321.33 ± 84.09 a | 2792.67 ± 80.77 b | 86.50 ± 0.48 c |
| 50% | 2319.67 ± 13.01 a | 1586.67 ± 16.04 a | 733.00 ± 3.46 d | 4513.33 ± 73.08 b | 2926.67 ± 76.46 c | 86.68 ± 0.06 c |
| MIN | 2319.67 | 1528.67 | 355.00 | 4321.33 | 2382.33 | 85.07 |
| MAX | 2448.67 | 2034.67 | 851.00 | 4513.33 | 2926.67 | 86.68 |
| CV/% | 1.92 | 12.89 | 33.33 | 1.55 | 8.72 | 0.77 |
| Samples | Hardness/g | Springiness/s | Cohesiveness | Adhesiveness/g·s | Chewiness/g | Resilience |
|---|---|---|---|---|---|---|
| 26% | 511.83 ± 204.10 a | 1.02 ± 0.04 a | 0.80 ± 0.03 b | 410.54 ± 164.21 a | 422.03 ± 158.84 a | 0.69 ± 0.05 a |
| 32% | 532.40 ± 116.30 a | 0.97 ± 0.10 a | 0.80 ± 0.02 b | 427.81 ± 98.25 a | 378.85 ± 101.21 a | 0.77 ± 0.07 b |
| 38% | 577.81 ± 203.36 a | 1.09 ± 0.45 a | 0.80 ± 0.02 b | 463.85 ± 165.34 a | 521.88 ± 136.29 a | 0.78 ± 0.04 b |
| 44% | 691.09 ± 216.92 a | 0.94 ± 0.10 a | 0.76 ± 0.05 a | 533.85 ± 190.21 a | 508.67 ± 197.33 a | 0.70 ± 0.05 a |
| 50% | 631.19 ± 192.72 a | 0.96 ± 0.06 a | 0.75 ± 0.03 a | 478.85 ± 153.32 a | 451.42 ± 153.52 a | 0.69 ± 0.05 a |
| MIN | 511.83 | 0.94 | 0.76 | 410.54 | 378.85 | 0.69 |
| MAX | 691.09 | 1.09 | 0.80 | 533.85 | 521.88 | 0.78 |
| CV/% | 12.45 | 6.12 | 2.90 | 10.39 | 13.07 | 6.32 |
Disclaimer/Publisher’s Note: The statements, opinions and data contained in all publications are solely those of the individual author(s) and contributor(s) and not of MDPI and/or the editor(s). MDPI and/or the editor(s) disclaim responsibility for any injury to people or property resulting from any ideas, methods, instructions or products referred to in the content. |
© 2024 by the authors. Licensee MDPI, Basel, Switzerland. This article is an open access article distributed under the terms and conditions of the Creative Commons Attribution (CC BY) license (https://creativecommons.org/licenses/by/4.0/).
Share and Cite
Wu, J.; Zhu, K.; Zhang, S.; Shi, M.; Liao, L. Impact of Oat Supplementation on the Structure, Digestibility, and Sensory Properties of Extruded Instant Rice. Foods 2024, 13, 217. https://doi.org/10.3390/foods13020217
Wu J, Zhu K, Zhang S, Shi M, Liao L. Impact of Oat Supplementation on the Structure, Digestibility, and Sensory Properties of Extruded Instant Rice. Foods. 2024; 13(2):217. https://doi.org/10.3390/foods13020217
Chicago/Turabian StyleWu, Junling, Kai Zhu, Sijie Zhang, Meng Shi, and Luyan Liao. 2024. "Impact of Oat Supplementation on the Structure, Digestibility, and Sensory Properties of Extruded Instant Rice" Foods 13, no. 2: 217. https://doi.org/10.3390/foods13020217
APA StyleWu, J., Zhu, K., Zhang, S., Shi, M., & Liao, L. (2024). Impact of Oat Supplementation on the Structure, Digestibility, and Sensory Properties of Extruded Instant Rice. Foods, 13(2), 217. https://doi.org/10.3390/foods13020217

