Efficacy of an Edible Coating with Carvacrol and Citral in Frozen Strawberries and Blueberries to Control Foodborne Pathogens
Abstract
1. Introduction
2. Materials and Methods
2.1. Fruit Samples
2.2. Edible Coating (RP-7) Preparation
2.3. Microorganisms Obtention
2.3.1. Bacterial Strains
2.3.2. Viral Propagation, Cell Line and Titration
2.4. RP-7 Application to Fresh Strawberries: Spraying and Immersion
2.4.1. Fruit Inoculation
2.4.2. Spraying and Immersion
2.4.3. Bacterial Counts in Fresh Strawberries
2.5. Efficacy of RP-7 on Frozen Fruit
2.5.1. Fruit Inoculation
2.5.2. RP-7 Application: Immersion and Freezing
2.5.3. Microbial Counts
2.6. Statistical Data Analysis
3. Results
3.1. RP-7 Application Method: Spraying and Immersion
3.2. Efficacy of RP-7 Coating on Frozen Fruit
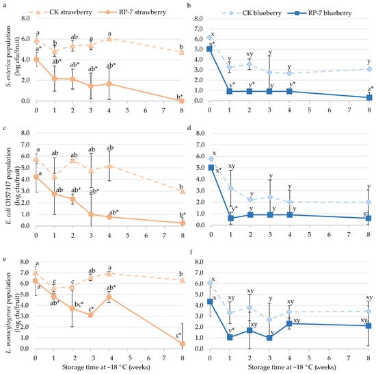
3.2.1. Effect of RP-7 Coating against Pathogenic Bacteria on Frozen Strawberries and Blueberries
3.2.2. Effect of RP-7 Coating Against MNV-1 on Frozen Strawberries and Blueberries
4. Discussion
5. Conclusions
Author Contributions
Funding
Institutional Review Board Statement
Informed Consent Statement
Data Availability Statement
Acknowledgments
Conflicts of Interest
References
- Afrin, S.; Gasparrini, M.; Forbes-Hernandez, T.Y.; Reboredo-Rodriguez, P.; Mezzetti, B.; Varela-López, A.; Giampieri, F.; Battino, M. Promising Health Benefits of the Strawberry: A Focus on Clinical Studies. J. Agric. Food Chem. 2016, 64, 4435–4449. [Google Scholar] [CrossRef] [PubMed]
- Hannum, S.M. Potential Impact of Strawberries on Human Health: A Review of the Science. Crit. Rev. Food Sci. Nutr. 2004, 44, 1–17. [Google Scholar] [CrossRef] [PubMed]
- Zou, H.; Ye, H.; Zhang, J.; Ren, L. Recent Advances in Nuclear Receptors-Mediated Health Benefits of Blueberry. Phytomedicine 2022, 100, 154063. [Google Scholar] [CrossRef] [PubMed]
- Wu, Y.; Han, T.; Yang, H.; Lyu, L.; Li, W.; Wu, W. Known and Potential Health Benefits and Mechanisms of Blueberry Anthocyanins: A Review. Food Biosci. 2023, 55, 103050. [Google Scholar] [CrossRef]
- Luo, Y.; Bi, Y.; Du, R.; Yuan, H.; Hou, Y.; Luo, R. The Impact of Freezing Methods on the Quality, Moisture Distribution, Microstructure, and Flavor Profile of Hand-Grabbed Mutton during Long-Term Frozen Storage. Food Res. Int. 2023, 173, 113346. [Google Scholar] [CrossRef]
- EFSA. Scientific Opinion on the Risk Posed by Pathogens in Food of Non-Animal Origin. Part 2 (Salmonella and Norovirus in Berries). EFSA J. 2014; 12, 3706. [CrossRef]
- Ortiz-Solà, J.; Viñas, I.; Colás-Medà, P.; Anguera, M.; Abadias, M. Occurrence of Selected Viral and Bacterial Pathogens and Microbiological Quality of Fresh and Frozen Strawberries Sold in Spain. Int. J. Food Microbiol. 2020, 314, 108392. [Google Scholar] [CrossRef]
- RASFF. Available online: https://webgate.ec.europa.eu/rasff-window/ (accessed on 21 June 2024).
- Khadatkar, R.M.; Kumar, S.; Pattanayak, S.C. Cryofreezing and Cryofreezer. Cryogenics 2004, 44, 661–678. [Google Scholar] [CrossRef]
- Ortiz-Solà, J.; Abadias, M.; Colás-Medà, P.; Sánchez, G.; Bobo, G.; Viñas, I. Evaluation of a Sanitizing Washing Step with Different Chemical Disinfectants for the Strawberry Processing Industry. Int. J. Food Microbiol. 2020, 334, 108810. [Google Scholar] [CrossRef]
- Nicolau-Lapeña, I.; Abadias, M.; Viñas, I.; Bobo, G.; Lafarga, T.; Ribas-Agustí, A.; Aguiló-Aguayo, I. Water UV-C Treatment Alone or in Combination with Peracetic Acid: A Technology to Maintain Safety and Quality of Strawberries. Int. J. Food Microbiol. 2020, 335, 108887. [Google Scholar] [CrossRef]
- Darré, M.; Vicente, A.R.; Cisneros-Zevallos, L.; Artés-Hernández, F. Postharvest Ultraviolet Radiation in Fruit and Vegetables: Applications and Factors Modulating Its Efficacy on Bioactive Compounds and Microbial Growth. Foods 2022, 11, 653. [Google Scholar] [CrossRef]
- Raut, J.S.; Karuppayil, S.M. A Status Review on the Medicinal Properties of Essential Oils. Ind. Crops Prod. 2014, 62, 250–264. [Google Scholar] [CrossRef]
- Soković, M.; Glamočlija, J.; Marin, P.D.; Brkić, D.; Van Griensven, L.J.L.D. Antibacterial Effects of the Essential Oils of Commonly Consumed Medicinal Herbs Using an in Vitro Model. Molecules 2010, 15, 7532–7546. [Google Scholar] [CrossRef] [PubMed]
- Shi, C.; Song, K.; Zhang, X.; Sun, Y.; Sui, Y.; Chen, Y.; Jia, Z.; Sun, H.; Sun, Z.; Xia, X.X. Antimicrobial Activity and Possible Mechanism of Action of Citral against Cronobacter sakazakii. PLoS ONE 2016, 11, e0159006. [Google Scholar] [CrossRef]
- Tao, R.; Sedman, J.; Ismail, A. Antimicrobial Activity of Various Essential Oils and Their Application in Active Packaging of Frozen Vegetable Products. Food Chem. 2021, 360, 129956. [Google Scholar] [CrossRef]
- Summo, C.; De Angelis, D. The Importance of Edible Films and Coatings for Sustainable Food Development. Foods 2022, 11, 3221. [Google Scholar] [CrossRef]
- Olunusi, S.O.; Ramli, N.H.; Fatmawati, A.; Ismail, A.F.; Okwuwa, C.C. Revolutionizing Tropical Fruits Preservation: Emerging Edible Coating Technologies. Int. J. Biol. Macromol. 2024, 264, 130682. [Google Scholar] [CrossRef]
- Pham, T.T.; Nguyen, L.L.P.; Dam, M.S.; Baranyai, L. Application of Edible Coating in Extension of Fruit Shelf Life: Review. Agriengineering 2023, 5, 520–536. [Google Scholar] [CrossRef]
- Raghav, P.K.; Agarwal, N.; Saini, M. Edible coating of fruits and vegetables: A review. Int. J. Sci. Res. Mod. Educ. 2016, 1, 188–204. [Google Scholar]
- Kaynarca, G.B.; Kamer, D.D.A.; Yucel, E.; Simal Yılmaz, O.; Henden, Y.; Kaymaz, E.; Gumus, T. The Potential of Pectin-Based Films Enriched with Bioactive Components for Strawberry Preservation: A Sustainable and Innovative Coating. Sci. Hortic. 2024, 334, 113294. [Google Scholar] [CrossRef]
- Trajkovska Petkoska, A.; Daniloski, D.; D’Cunha, N.M.; Naumovski, N.; Broach, A.T. Edible Packaging: Sustainable Solutions and Novel Trends in Food Packaging. Food Res. Int. 2021, 140, 109981. [Google Scholar] [CrossRef]
- FAO. The State of Food and Agriculture. In Moving Forward on Food Loss and Waste Reduction; FAO: Rome, Italy, 2019; ISBN 9789251317891. [Google Scholar]
- Lafarga, T.; Bobo García, G.; Abadías, M. Revalorización de Los Subproductos de La Industria de Transformación de Vegetales; Horticultura: Valencia, Spain, 2018; ISBN 978-84-16909-11-7. [Google Scholar]
- FDA. GRAS Substances. Available online: https://www.cfsanappsexternal.fda.gov/scripts/fdcc/?set=SCOGS&sort=Sortsubstance&order=ASC&startrow=1&type=basic&search=pectin (accessed on 21 September 2024).
- Kumar, S.; Reddy, A.R.L.; Basumatary, I.B.; Nayak, A.; Dutta, D.; Konwar, J.; Das Purkayastha, M.; Mukherjee, A. Recent Progress in Pectin Extraction and Their Applications in Developing Films and Coatings for Sustainable Food Packaging: A Review. Int. J. Biol. Macromol. 2023, 239, 124281. [Google Scholar] [CrossRef] [PubMed]
- De’Nobili, M.D.; Pérez, C.D.; Navarro, D.A.; Stortz, C.A.; Rojas, A.M. Hydrolytic Stability of L-(+)-Ascorbic Acid in Low Methoxyl Pectin Films with Potential Antioxidant Activity at Food Interfaces. Food Bioproc. Technol. 2013, 6, 186–197. [Google Scholar] [CrossRef]
- Shah, G.; Shri, R.; Panchal, V.; Sharma, N.; Singh, B.; Mann, A.S. Scientific Basis for the Therapeutic Use of Cymbopogon citratus, Stapf (Lemon Grass). J. Adv. Pharm. Technol. Res. 2011, 2, 3–8. [Google Scholar] [CrossRef] [PubMed]
- Sharifi-Rad, M.; Varoni, E.M.; Iriti, M.; Martorell, M.; Setzer, W.N.; del Mar Contreras, M.; Salehi, B.; Soltani-Nejad, A.; Rajabi, S.; Tajbakhsh, M.; et al. Carvacrol and Human Health: A Comprehensive Review. Phytother. Res. 2018, 32, 1675–1687. [Google Scholar] [CrossRef] [PubMed]
- Hao, Y.; Li, J.; Shi, L. A Carvacrol-Rich Essential Oil Extracted From Oregano (Origanum Vulgare “Hot & Spicy”) Exerts Potent Antibacterial Effects Against Staphylococcus aureus. Front. Microbiol. 2021, 12, 741861. [Google Scholar] [CrossRef]
- FDA. Substances Added to Food. Available online: https://cfsanappsexternal.fda.gov/scripts/fdcc/index.cfm?id=CARVACROL&set=FoodSubstances (accessed on 23 September 2024).
- Bernadette González-Hernández, M.; Perry, J.W.; Wobus, C.E. Neutral Red Assay for Murine Norovirus Replication and Detection in a Mouse. Bio-Protocol 2013, 3, 1–7. [Google Scholar] [CrossRef]
- Ortiz-Solà, J.; Abadias, I.; Colàs-Medà, P.; Anguera, M.; Viñas, I. Inactivation of Salmonella enterica, Listeria monocytogenes and Murine Norovirus (MNV-1) on Fresh Strawberries by Conventional and Water-Assisted Ultraviolet Light (UV-C). Postharvest Biol. Technol. 2021, 174, 111447. [Google Scholar] [CrossRef]
- Bridges, D.F.; Tadepalli, S.; Anderson, R.; Zhang, R.; Wu, V.C.H. Reduction of Listeria monocytogenes and Salmonella typhimurium on Blueberries through Brief Exposure to Antimicrobial Solutions Coupled with Freezing. J. Food Prot. 2019, 82, 926–930. [Google Scholar] [CrossRef]
- Sharif, N.; Falcó, I.; Martínez-Abad, A.; Sánchez, G.; López-Rubio, A.; Fabra, M.J. On the Use of Persian Gum for the Development of Antiviral Edible Coatings against Murine Norovirus of Interest in Blueberries. Polymers 2021, 13, 224. [Google Scholar] [CrossRef]
- Falcó, I.; Flores-Meraz, P.L.; Randazzo, W.; Sánchez, G.; López-Rubio, A.; Fabra, M.J. Antiviral Activity of Alginate-Oleic Acid Based Coatings Incorporating Green Tea Extract on Strawberries and Raspberries. Food Hydrocoll. 2019, 87, 611–618. [Google Scholar] [CrossRef]
- Patterson, J.E.; McElmeel, L.; Wiederhold, N.P. In Vitro Activity of Essential Oils against Gram-Positive and Gram-Negative Clinical Isolates, Including Carbapenem-Resistant Enterobacteriaceae. Open Forum Infect. Dis. 2019, 6, ofz502. [Google Scholar] [CrossRef] [PubMed]
- Prabuseenivasan, S.; Jayakumar, M.; Ignacimuthu, S. In Vitro Antibacterial Activity of Some Plant Essential Oils. BMC Complement. Altern. Med. 2006, 6, 39. [Google Scholar] [CrossRef] [PubMed]
- Turgis, M.; Han, J.; Caillet, S.; Lacroix, M. Antimicrobial Activity of Mustard Essential Oil against Escherichia coli O157:H7 and Salmonella Typhi. Food Control 2009, 20, 1073–1079. [Google Scholar] [CrossRef]
- Gilling, D.H.; Kitajima, M.; Torrey, J.R.; Bright, K.R. Mechanisms of Antiviral Action of Plant Antimicrobials against Murine Norovirus. Appl. Environ. Microbiol. 2014, 80, 4898–4910. [Google Scholar] [CrossRef]
- Liao, N.; Chen, X.; Tang, M.; Tian, P.; Liu, C.; Ruan, L.; Pan, H.; Shu, M.; Zhong, C.; Wu, G. Grapefruit Essential Oil Combined with UV-C Treatment: A Technology to Improve the Microbial Safety of Fresh Produce. Innov. Food Sci. Emerg. Technol. 2024, 93, 103639. [Google Scholar] [CrossRef]
- Elsherif, W.M.; Zayed, G.M.; Tolba, A.O. Antimicrobial Activity of Chitosan- Edible Films Containing a Combination of Carvacrol and Rosemary Nano-Emulsion against Salmonella enterica Serovar Typhimurium and Listeria monocytogenes for Ground Meat. Int. J. Food Microbiol. 2024, 418, 110713. [Google Scholar] [CrossRef]
- Falcó, I.; Randazzo, W.; Sánchez, G.; López-Rubio, A.; Fabra, M.J. On the Use of Carrageenan Matrices for the Development of Antiviral Edible Coatings of Interest in Berries. Food Hydrocoll. 2019, 92, 74–85. [Google Scholar] [CrossRef]
- Imran, M.; Aslam, M.; Alsagaby, S.A.; Saeed, F.; Ahmad, I.; Afzaal, M.; Arshad, M.U.; Abdelgawad, M.A.; El-Ghorab, A.H.; Khames, A.; et al. Therapeutic Application of Carvacrol: A Comprehensive Review. Food Sci. Nutr. 2022, 10, 3544–3561. [Google Scholar] [CrossRef]
- Gutiérrez-Pacheco, M.M.; Torres-Moreno, H.; Flores-Lopez, M.L.; Velázquez Guadarrama, N.; Ayala-Zavala, J.F.; Ortega-Ramírez, L.A.; López-Romero, J.C. Mechanisms and Applications of Citral’s Antimicrobial Properties in Food Preservation and Pharmaceuticals Formulations. Antibiotics 2023, 12, 1608. [Google Scholar] [CrossRef]
- Hagan, E.C.; Hansen, W.H.; Fitzhugh, O.G.; Jenner, P.M.; Jones, W.I.; Taylor, J.M.; Long, E.L.; Nelson, A.A.; Brouwer, J.B. Food flavourings and compounds of related structure. II. Subacute and chronic toxicity. Food Cosmet. Toxicol. 1967, 5, 141–157. [Google Scholar] [CrossRef]
- OECD SIDES. Citral. Available online: https://hpvchemicals.oecd.org/UI/handler.axd?id=0ea83202-3f4f-4355-be4f-27ff02e19cb9. (accessed on 21 September 2024).
- Souza, A.C.S.; Silva, L.K.; Queiroz, T.B.; Marques, E.S.; Hiruma-Lima, C.A.; Gaivão, I.O.M.; Maistro, E.L. Citral Presents Cytotoxic and Genotoxic Effects in Human Cultured Cells. Drug Chem. Toxicol. 2020, 43, 435–440. [Google Scholar] [CrossRef] [PubMed]
- Llana-Ruiz-Cabello, M.; Gutiérrez-Praena, D.; Pichardo, S.; Moreno, F.J.; Bermúdez, J.M.; Aucejo, S.; Cameán, A.M. Cytotoxicity and Morphological Effects Induced by Carvacrol and Thymol on the Human Cell Line CaCO2. Food Chem. Toxicol. 2014, 64, 281–290. [Google Scholar] [CrossRef] [PubMed]



Disclaimer/Publisher’s Note: The statements, opinions and data contained in all publications are solely those of the individual author(s) and contributor(s) and not of MDPI and/or the editor(s). MDPI and/or the editor(s) disclaim responsibility for any injury to people or property resulting from any ideas, methods, instructions or products referred to in the content. |
© 2024 by the authors. Licensee MDPI, Basel, Switzerland. This article is an open access article distributed under the terms and conditions of the Creative Commons Attribution (CC BY) license (https://creativecommons.org/licenses/by/4.0/).
Share and Cite
Pié-Amill, A.; Colás-Medà, P.; Viñas, I.; Falcó, I.; Alegre, I. Efficacy of an Edible Coating with Carvacrol and Citral in Frozen Strawberries and Blueberries to Control Foodborne Pathogens. Foods 2024, 13, 3167. https://doi.org/10.3390/foods13193167
Pié-Amill A, Colás-Medà P, Viñas I, Falcó I, Alegre I. Efficacy of an Edible Coating with Carvacrol and Citral in Frozen Strawberries and Blueberries to Control Foodborne Pathogens. Foods. 2024; 13(19):3167. https://doi.org/10.3390/foods13193167
Chicago/Turabian StylePié-Amill, Anna, Pilar Colás-Medà, Inmaculada Viñas, Irene Falcó, and Isabel Alegre. 2024. "Efficacy of an Edible Coating with Carvacrol and Citral in Frozen Strawberries and Blueberries to Control Foodborne Pathogens" Foods 13, no. 19: 3167. https://doi.org/10.3390/foods13193167
APA StylePié-Amill, A., Colás-Medà, P., Viñas, I., Falcó, I., & Alegre, I. (2024). Efficacy of an Edible Coating with Carvacrol and Citral in Frozen Strawberries and Blueberries to Control Foodborne Pathogens. Foods, 13(19), 3167. https://doi.org/10.3390/foods13193167

