Effect of Genistein on Starch Digestion In Vitro and Its Mechanism of Action
Abstract
1. Introduction
2. Materials and Methods
2.1. Materials
2.2. Determination of Digestion Properties of Genistein–Starch Mixed System
2.3. Determination of the Inhibition Rate of Starch Digestive Enzymes by Genistein
2.4. Determination of Reversibility of Enzyme Inhibition
2.5. Enzyme Inhibition Kinetics
2.6. Fluorescence Spectroscopy
2.7. Molecular Docking
2.8. MD Simulation
2.9. Statistical Analyses
3. Results and Discussion
3.1. Effect of Genistein on Digestive Properties of Starch In Vitro
3.2. Inhibitory Ability of Genistein on Starch Digestive Enzymes
3.3. Reversibility of Genistein’s Inhibitory Effect on Starch Digestive Enzymes
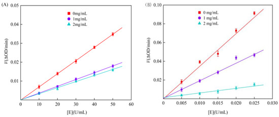
3.4. Reversible Inhibition Type of Genistein on Starch Digestive Enzymes
3.5. Fluorescence Quenching Effect of Genistein on α-Glucosidase
3.5.1. Analysis of Quenching Types
3.5.2. Binding Force and Thermodynamic Analyses
3.6. Docking Conformation of Genistein with Starch Digestive Enzymes
3.7. MD Simulations
3.8. Analysis of the Binding Mode of Genistein to Starch Digestive Enzymes
4. Conclusions
Author Contributions
Funding
Institutional Review Board Statement
Informed Consent Statement
Data Availability Statement
Conflicts of Interest
References
- Thomas, M.S.; Calle, M.; Fernandez, M.L. Healthy plant-based diets improve dyslipidemias, insulin resistance, and inflammation in metabolic syndrome. A narrative review. Adv. Nutr. 2023, 14, 44–54. [Google Scholar] [CrossRef] [PubMed]
- Villegas, V.L.F.; Ascencios, J.H.; Dooley, T.P. GlucoMedix®, an extract of Stevia rebaudiana and Uncaria tomentosa, reduces hyperglycemia, hyperlipidemia, and hypertension in rat models without toxicity: A treatment for metabolic syndrome. BMC Complement. Med. 2022, 22, 62. [Google Scholar] [CrossRef]
- Alican, A.; Muhammed, Ö.; Zeynep, H.T.C.; Salih, K.; Esra, D.; Osman, S. Cold-pressed okra seed oil byproduct as an ingredient for muffins to decrease glycemic index, Maillard reaction, and oxidation. ACS Omega 2024, 9, 7491–7501. [Google Scholar] [CrossRef]
- Zhou, D.; Ma, Z.; Yin, X.; Hu, X.; Joyce, I.B. Structural characteristics and physicochemical properties of field pea starch modified by physical, enzymatic, and acid treatments. Food Hydrocoll. 2019, 93, 386–394. [Google Scholar] [CrossRef]
- Chi, C.; Li, X.; Zhang, Y.; Chen, L.; Xie, F.; Li, L.; Bai, G. Modulating the in vitro digestibility and predicted glycemic index of rice starch gels by complexation with gallic acid. Food Hydrocoll. 2019, 89, 821–828. [Google Scholar] [CrossRef]
- Kaur, N.; Kumar, V.; Nayak, S.K.; Wadhwa, P.; Kaur, P.; Sahu, S.K. Alpha-amylase as molecular target for treatment of diabetes mellitus: A comprehensive review. Chem. Biol. Drug Des. 2021, 98, 539–560. [Google Scholar] [CrossRef]
- Smirnova, I.; Galimova, Z.I.; Sapozhnikova, T.A.; Khisamutdinova, R.Y.; Nguyen, T.T.H.; Kazakova, O.B. New dipterocarpol-based molecules with α-glucosidase inhibitory and hypoglycemic activity. ChemBioChem 2023, 25, e202300716. [Google Scholar] [CrossRef]
- SantosBallardo, C.L.; MontesÁvila, J.; RendonMaldonado, J.G.; RamosPayan, R.; Montaño, S.; SarmientoSánchez, J.I.; OsunaMartínez, U. Design, synthesis, in silico, and in vitro evaluation of benzylbenzimidazolone derivatives as potential drugs on α-glucosidase and glucokinase as pharmacological targets. RSC Adv. 2023, 13, 21153–21162. [Google Scholar] [CrossRef] [PubMed]
- Balaich, J.; Estrella, M.; Wu, G.; Jeffrey, P.D.; Biswas, A.; Zhao, L.; Korennykh, A.; Donia, M.S. The human microbiome encodes resistance to the antidiabetic drug acarbose. Nature 2021, 600, 110–115. [Google Scholar] [CrossRef]
- Bae, J.; Lee, J.Y.; Shin, E.; Lee, M.; Lee, Y.; Lee, B.W.; Cha, B.S. The effects of the voglibose on non-alcoholic fatty liver disease in mice model. Sci. Rep. 2022, 12, 13595. [Google Scholar] [CrossRef]
- Salem, A.; Saad, A.; El-Naa, M.; El-Feky, G.S.; El-Ghlban, S.; El-Torgoman, E.K.; Attia, M.F.; Whitehead, D.C. Miglitol-pmo nanoparticles, an alpha-glucosidase inhibitor, has prolonged action on blood glucose level in diabetic rats. J. Drug Deliv. Sci. Technol. 2022, 72, 103388. [Google Scholar] [CrossRef]
- Prexa, P.; Drashti, S.; Tushar, B.; Vidhi, P.; Mehul, P.; Dharti, P.; Ashish, P. A review on the development of novel heterocycles as α-glucosidase inhibitors for the treatment of type-2 diabetes mellitus. Med. Chem. 2024, 20, 503–536. [Google Scholar] [CrossRef]
- Shahwan, M.; Alhumaydhi, F.; Ashraf, G.M.; Hasan, P.M.Z.; Shamsi, A. Role of polyphenols in combating type 2 diabetes and insulin resistance. Int. J. Biol. Macromol. 2022, 206, 567–579. [Google Scholar] [CrossRef]
- Garbiec, E.; Cielecka-Piontek, J.; Kowalówka, M.; Houbiec, M.; Zalewski, P. Genistein-opportunities related to an interesting molecule of natural origin. Molecules 2022, 27, 815. [Google Scholar] [CrossRef] [PubMed]
- Liggins, J.; Bluck, L.J.C.; Runswick, S.; Atkinson, C.; Bingham, S.A. Daidzein and genistein content of fruits and nuts. J. Nutr. Biochem. 2000, 11, 326–331. [Google Scholar] [CrossRef] [PubMed]
- Liggins, J.; Mulligan, A.; Runswick, S.; Bingham, S.A. Daidzein and genistein content of cereals. Eur. J. Clin. Nutr. 2002, 56, 961–966. [Google Scholar] [CrossRef] [PubMed]
- Bragagnolo, F.S.; Wojeicchowski, J.P.; Soukup-Carne, D.; González-Miquel, M.; Esteban, J.; Funari, C.S. A green approach for genistein and apigenin extraction optimization from by-products of soybean crops. Sustain. Chem. Pharm. 2024, 37, 101343. [Google Scholar] [CrossRef]
- Tousen, Y.; Umeki, M.; Nakashima, Y.; Ishimi, Y.; Ikegami, S. Effects of genistein, an isoflavone, on pregnancy outcome and organ weights of pregnant and lactating rats and development of their suckling pups. J. Nutr. Sci. Vitaminol. 2006, 52, 174–182. [Google Scholar] [CrossRef][Green Version]
- Ullmann, U.; Metzner, J.; Frank, T.; Cohn, W.; Riegger, C. Safety, tolerability, and pharmacokinetics of single ascending doses of synthetic genistein (bonistein) in healthy volunteers. Adv. Ther. 2005, 22, 65–78. [Google Scholar] [CrossRef]
- Demir, Y.; Durmaz, L.; Taslimi, P.; Gulin, L. Antidiabetic properties of dietary phenolic compounds: Inhibition effects on α-amylase, aldose reductase, and α-glycosidase. Biotechnol. Appl. Biochem. 2019, 66, 781–786. [Google Scholar] [CrossRef]
- Li, W.; Zhang, M.; Zhang, R.; Huang, F.; Dong, L.; Jia, X.; Zhang, M. Structural elucidation, binding sites exploration and biological activities of bound phenolics from radix puerariae thomsonii. Food Chem. 2024, 450, 139323. [Google Scholar] [CrossRef]
- Qin, G.; Xu, W.; Liu, J.; Zhao, L.; Chen, G. Purification, characterization and hypoglycemic activity of glycoproteins obtained from pea (Pisum sativum L.). Food Sci. Hum. Well. 2021, 10, 297–307. [Google Scholar] [CrossRef]
- Wehmeier, U.F.; Piepersberg, W. Biotechnology and molecular biology of the alpha-glucosidase inhibitor acarbose. Appl. Microbiol. Biotechnol. 2004, 63, 613–625. [Google Scholar] [CrossRef] [PubMed]
- Samuel, T.; Takeshi, T.; Takuya, I.; Benjamin, P.; Taifo, M. Acarbose may function as a competitive exclusion agent for the producing bacteria. ACS Chem. Biol. 2023, 18, 367–376. [Google Scholar] [CrossRef]
- Wang, X.; Zhang, J.; Wang, P.; Zhang, Y.; Yang, Q.; Zhang, Z.; Ma, Z.; Wu, Y.; Ma, J.; Fan, E. Evaluation of alpha-glucosidase inhibition activity and glycosides in the Syringa pubescens Turcz from different geographical origin. Sci. Hortic. 2023, 320, 112198. [Google Scholar] [CrossRef]
- Dong, Q.; Hu, N.; Yue, H.; Wang, H. Inhibitory activity and mechanism investigation of hypericin as a novel α-glucosidase inhibitor. Molecules 2021, 26, 4566. [Google Scholar] [CrossRef]
- Jiang, J.; Fan, H.; Zhou, J.; Qin, J.; Qin, Z.; Chen, M.; Shen, Y.; Liu, X. In vitro inhibitory effect of five natural sweeteners on α-glucosidase and α-amylase. Food Funct. 2024, 15, 2234–2248. [Google Scholar] [CrossRef]
- Qin, Y.; Wang, P.; Chen, X.; Xu, F.; Zhang, Y.; Tan, L. Study on the mechanism of flavonoids with different structures inhibiting α-amylase. J. Food Sci. Technol. 2023, 41, 110–122. Available online: https://link.cnki.net/urlid/10.1151.TS.20230308.1327.004 (accessed on 8 May 2024).
- Yu, Q.; Tian, Y.; Fan, L. Inhibition mechanisms of wounded okra on the α-glucosidase/α-amylase. Food Biosci. 2023, 51, 102333. [Google Scholar] [CrossRef]
- Desseaux, V.; Stocker, P.; Brouant, P.; Ajandouz, E.H. The mechanisms of alpha-amylase inhibition by flavan-3-Ols and the possible impacts of drinking green tea on starch digestion. J. Food Sci. 2018, 83, 2858–2865. [Google Scholar] [CrossRef]
- Adasme, M.F.; Linnemann, K.L.; Bolz, S.N.; Kaiser, F.; Salentin, S.; Haupt, V.; Schroeder, M. PLIP 2021: Expanding the scope of the protein-ligand interaction profiler to dna and rna. Nucleic Acids Res. 2021, 49, 530–534. [Google Scholar] [CrossRef]
- Boonstra, S.; Onck, P.R.; Erik, V.D.G. Charmm tip3p water model suppresses peptide folding by solvating the unfolded state. J. Phys. Chem. B 2016, 120, 3692–3698. [Google Scholar] [CrossRef] [PubMed]
- Roe, D.R.; Cheatham, T.E. Ptraj and cpptraj: Software for processing and analysis of molecular dynamics trajectory data. J. Chem. Theory Comput. 2013, 9, 3084–3095. [Google Scholar] [CrossRef]
- Miller, B.R.; McGee, T.D.; Swails, J.M.; Homeyer, N.; Gohlke, H.; Roitberg, A.E. Mmpbsa.py: An efficient program for end-state free energy calculations. J. Chem. Theory Comput. 2012, 8, 3314–3321. [Google Scholar] [CrossRef] [PubMed]
- Subaitha, Z.A.; Priyadarshini, S.R.; Yoha, K.S.; Moses, J.A. Impact of post-harvest processing techniques on the glycemic index of millets. Food Chem. Adv. 2024, 4, 100636. [Google Scholar] [CrossRef]
- Xu, T.; Li, X.; Ji, S.; Zhong, Y.; Lu, B. Starch modification with phenolics: Methods, physicochemical property alteration, and mechanisms of glycaemic control. Trends Food Sci. Technol. 2021, 111, 12–26. [Google Scholar] [CrossRef]
- Zheng, Z.; Xu, Y.; Qu, H.; Zhou, H.; Yang, H. Enhancement of anti-diabetic activity of pomelo peel by the fermentation of Aspergillus oryzae CGMCC23295: In vitro and in silico docking studies. Food Chem. 2024, 432, 137195. [Google Scholar] [CrossRef]
- Zheng, Y.; Tian, J.; Yang, W.; Chen, S.; Ye, X. Inhibition mechanism of ferulic acid against α-amylase and α-glucosidase. Food Chem. 2020, 317, 126346. [Google Scholar] [CrossRef]
- Patel, P.; Shah, D.; Bambharoliya, T.; Patel, V.; Patel, M.; Patel, D.; Bhavsar, V.; Padhiyar, S.; Patel, B.; Mahavar, A.; et al. Artemisia abrotanum and Symphytum officinale polyphenolic compounds-rich extracts with potential application in diabetes management. Metabolites 2023, 13, 354. [Google Scholar] [CrossRef] [PubMed]
- Yang, R.; Ding, Z.; Yang, Y.; Huang, L. Fundamentals of Biochemistry; Beijing Higher Education Press: Beijing, China, 2021; pp. 129–130. [Google Scholar]
- Masson, P.; Mukhametgalieva, A.R. Partial reversible inhibition of enzymes and its metabolic and pharmaco-toxicological implications. Int. J. Mol. Sci. 2023, 24, 12973. [Google Scholar] [CrossRef]
- Ewa, G.; Natalia, R.; Przemysław, Z.; Lidia, T.; Judyta, C.P. Genistein co-amorphous systems with amino acids: An investigation into enhanced solubility and biological activity. Pharmaceutics 2023, 15, 2653. [Google Scholar] [CrossRef]
- Wei, Y.; Deng, L.; Chen, S.; Hu, X.; Zhang, G. Isoliquiritigenin retards starch digestion by increasing resistant starch content and inhibiting the activities of α-amylase and α-glucosidase. Food Biosci. 2024, 59, 104227. [Google Scholar] [CrossRef]
- Liu, J.; Sun, P.; Qi, X. Reversible and non-competitive inhibition of cyclooxygenase by indobufen for efficient antiplatelet action and relief of gastrointestinal irritation. Pharmaceutics 2023, 15, 2135. [Google Scholar] [CrossRef] [PubMed]
- Famutimi, O.G.; Adewale, I.O.; Adegoke, K.R. Inhibition characteristics of peptide extracts of four medicinal plants on activities of bovine trypsin. Sci. Afr. 2023, 21, e01795. [Google Scholar] [CrossRef]
- AguilaMuñoz, D.G.; VázquezLira, G.; SarmientoTlale, E.; CruzLópez, M.C.; JiménezMontejo, F.E.; López, Y.L.V.E.; Escalante, C.H.; AndradePavón, D.; GómezGarcía, O.; Tamariz, J.; et al. Synthesis and molecular docking studies of alkoxy- and imidazole-substituted xanthones as α-amylase and α-glucosidase inhibitors. Molecules 2023, 28, 4180. [Google Scholar] [CrossRef] [PubMed]
- Sano, K.; Kuribara, T.; Ishii, N.; Kuroiwa, A.; Yoshihara, T.; Tobita, S.; Totani, K.; Matsuo, I. Cover feature: Fluorescence quenching-based assay for measuring golgi endo-α-mannosidase. Chem.-Asian J. 2019, 14, 1887. [Google Scholar] [CrossRef]
- Dey, A.; Pandav, K.; Nath, M.; Barthwal, R.; Prasad, R. Binding characterization of anthraquinone derivatives by stabilizing g-quadruplex dna leads to an anticancerous activity. Mol. Ther. Nucl. Acids 2022, 30, 648–662. [Google Scholar] [CrossRef]
- Chen, X.; He, X.; Zhang, B.; Sun, L.; Liang, Z.; Huang, Q. Wheat gluten protein inhibits α-amylase activity more strongly than a soy protein isolate based on kinetic analysis. Int. J. Biol. Macromol. 2019, 129, 433–441. [Google Scholar] [CrossRef]
- Wang, Y.; Zhang, J.; Zhang, L. Study on the mechanism of non-covalent interaction between rose anthocyanin extracts and whey protein isolate under different ph conditions. Food Chem. 2022, 384, 132492. [Google Scholar] [CrossRef] [PubMed]
- Yang, Y.; Zhang, J.L.; Shen, L.H.; Feng, L.J.; Zhou, Q. Inhibition mechanism of diacylated anthocyanins from purple sweet potato (Ipomoea batatas L.) against α-amylase and α-glucosidase. Food Chem. 2021, 359, 129934. [Google Scholar] [CrossRef]
- Thakor, K.P.; Lunagariya, M.V.; Bhatt, B.S.; Patel, M.N. Fluorescence and absorption studies of DNA-Pd(II) complex interaction: Synthesis, spectroanalytical investigations and biological activities. Luminescence 2019, 34, 113–124. [Google Scholar] [CrossRef]
- Mohammed, M.; Mohammad, A.; Elmorsy, A.E.; Wu, T.; Xu, X. Binding interaction between soy protein nanogel and red raspberry anthocyanin in acidic media: Spectroscopic characterization and molecular docking analysis. J. Mol. Struct. 2024, 1305, 137681. [Google Scholar] [CrossRef]
- Sharma, P.; Dayma, V.; Dwivedi, A.; Baroliya, P.K.; Goswami, A.K. Synthesis of sulpha drug based hydroxytriazene derivatives: Anti-diabetic, antioxidant, anti-inflammatory activity and their molecular docking studies. Bioorg. Chem. 2020, 96, 103642. [Google Scholar] [CrossRef] [PubMed]
- Li, W.; Song, Y.; Sun, W.; Yang, X.; Liu, X.; Sun, L. Both acidic pH value and binding interactions of tartaric acid with α-glucosidase cause the enzyme inhibition: The mechanism in α-glucosidase inhibition of four caffeic and tartaric acid derivates. Front. Nutr. 2021, 8, 766756. [Google Scholar] [CrossRef] [PubMed]
- Ni, M.; Hu, X.; Gong, D.; Zhang, G. Inhibitory mechanism of vitexin on α-glucosidase and its synergy with acarbose. Food Hydrocolloid. 2020, 105, 105824. [Google Scholar] [CrossRef]
- Guo, F.; An, J.; Wang, M.; Zhang, W.; Chen, C.; Mao, X.; Liu, S.; Wang, P.; Ren, F. Inhibitory mechanism of quercimeritrin as a novel α-glucosidase selective inhibitor. Foods 2023, 12, 3415. [Google Scholar] [CrossRef] [PubMed]
- Asma, S.; Obaid, R.A.; Shoaib, K.; Rafaqat, H.; Saima, D.; Tariq, R.; Wajid, A.; Basit, A.S.; Metab, A.; Abdullah, F.A. Identification of in vitro α-glucosidase and urease inhibitory effect, and in silico studies of Naproxen-derived 1,3,4-oxadiazole-based Schiff-base derivatives. J. Mol. Struct. 2024, 1305, 137712. [Google Scholar] [CrossRef]
- Gong, Y.; Li, J.; Li, J.; Fan, L.; Wang, L. Influence of ultrasound-assisted vacuum drying on physicochemical characteristics, antioxidant activity, and α-glucosidase inhibition activity of flos sophorae immaturus. Foods 2023, 12, 671. [Google Scholar] [CrossRef]













| Enzyme | T (°C) | KQ (L·mol−1) | KD (mol·L−1) | KA (L·mol−1·s−1) | KC (L·mol−1) | n | ΔH (kJ·mol−1) | ΔS (J·mol−1·K−1) | ΔG (kJ·mol−1) |
|---|---|---|---|---|---|---|---|---|---|
| α-amylase | 25 | 0.54 × 103 | 0.76 × 10−3 | 5.41 × 1011 | 0.62 | 1.19 | −0.46 | 50.65 | −14.29 |
| 31 | 0.53 × 103 | 0.17 × 10−3 | 5.32 × 1011 | 0.46 | 0.97 | −6.02 | 31.97 | −15.55 | |
| 37 | 0.48 × 103 | 0.11 × 10−3 | 4.84 × 1011 | 0.20 | 0.77 | −2.11 | 44.59 | −15.94 | |
| α-glucosidase | 25 | 0.21 × 103 | 2.44 × 10−3 | 0.41 × 1011 | 61.80 | 0.76 | 6.31 | 67.41 | −12.09 |
| 31 | 0.26 × 103 | 1.60 × 10−3 | 0.63 × 1011 | 60.71 | 0.71 | 8.13 | 73.50 | −13.78 | |
| 37 | 0.29 × 103 | 0.58 × 10−3 | 1.73 × 1011 | 22.86 | 0.58 | 6.85 | 69.39 | −14.66 |
| Name/Contribution | ΔEvdw | ΔEele | ΔGpol | ΔGnonpol | ΔGbind |
|---|---|---|---|---|---|
| α-amylase | −23.45 | −21.90 | 27.62 | −3.24 | −20.97 |
| α-glucosidase | −34.59 | −20.46 | 39.48 | −4.33 | −19.90 |
Disclaimer/Publisher’s Note: The statements, opinions and data contained in all publications are solely those of the individual author(s) and contributor(s) and not of MDPI and/or the editor(s). MDPI and/or the editor(s) disclaim responsibility for any injury to people or property resulting from any ideas, methods, instructions or products referred to in the content. |
© 2024 by the authors. Licensee MDPI, Basel, Switzerland. This article is an open access article distributed under the terms and conditions of the Creative Commons Attribution (CC BY) license (https://creativecommons.org/licenses/by/4.0/).
Share and Cite
Jia, J.; Dou, B.; Gao, M.; Zhang, C.; Liu, Y.; Zhang, N. Effect of Genistein on Starch Digestion In Vitro and Its Mechanism of Action. Foods 2024, 13, 2809. https://doi.org/10.3390/foods13172809
Jia J, Dou B, Gao M, Zhang C, Liu Y, Zhang N. Effect of Genistein on Starch Digestion In Vitro and Its Mechanism of Action. Foods. 2024; 13(17):2809. https://doi.org/10.3390/foods13172809
Chicago/Turabian StyleJia, Jianhui, Boxin Dou, Man Gao, Chujia Zhang, Ying Liu, and Na Zhang. 2024. "Effect of Genistein on Starch Digestion In Vitro and Its Mechanism of Action" Foods 13, no. 17: 2809. https://doi.org/10.3390/foods13172809
APA StyleJia, J., Dou, B., Gao, M., Zhang, C., Liu, Y., & Zhang, N. (2024). Effect of Genistein on Starch Digestion In Vitro and Its Mechanism of Action. Foods, 13(17), 2809. https://doi.org/10.3390/foods13172809

