Effects of Bergamot (Citrus bergamia Risso) By-Product on Growth Performance and Meat Quality of Growing Rabbits
Abstract
1. Introduction
2. Materials and Methods
2.1. Feedstuff Analysis and Meat Proximate Analysis
2.2. Antioxidant Vitamins and Fatty Acid Profile Determination in Meat
2.3. Lipid Oxidation
2.4. Statistical Analysis
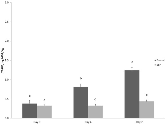
3. Results
4. Discussion
5. Conclusions
Author Contributions
Funding
Institutional Review Board Statement
Informed Consent Statement
Data Availability Statement
Conflicts of Interest
References
- ISMEA. Tendenze e Dinamiche Recenti. Bovino da Carne—Luglio 2023. Available online: https://www.ismeamercati.it/flex/cm/pages/ServeAttachment.php/L/IT/D/1%252F4%252F7%252FD.dffd2ff8d0ad938a7e6c/P/BLOB%3AID%3D12727/E/pdf?mode=download (accessed on 20 February 2024).
- Vizzarri, F.; Palazzo, M.; D’Alessandro, A.G.; Casamassima, D. Productive performance and meat quality traits in growing rabbit following the dietary supplementation of Lippia citriodora, Raphanus sativus and Solanum lycopersicum extracts. Livest. Sci. 2017, 200, 53–59. [Google Scholar]
- Tavares, L.M.S.; Watanabe, P.H.; Gomes, T.R.; Mendonça, I.B.; Souza, L.F.C.; Santos, M.E.C.; Pacheco, P.N.L.; Batista, A.S.M.; Freitas, E.R. Effects of acerola (Malpighia emarginata) by-product on performance, carcass traits, antioxidant activity, and meat quality of growing rabbits. Anim. Feed Sci. Technol. 2022, 293, 115479. [Google Scholar]
- Crosswhite, J.D.; Myers, N.B.; Adesogan, A.T.; Brendemuhl, J.H.; Johnson, D.D.; Carr, C.C. The effect of dietary citrus pulp on the growth, feed efficiency, carcass merit, and lean quality of finishing pigs. Prof. Anim. Sci. 2013, 29, 345–358. [Google Scholar]
- Inserra, L.; Priolo, A.; Biondi, L.; Lanza, M.; Bognanno, M.; Gravador, R.; Luciano, G. Dietary citrus pulp reduces lipid oxidation in lamb meat. Meat Sci. 2014, 96, 1489–1493. [Google Scholar] [PubMed]
- Fegeros, K.; Zervas, G.; Stamouli, S.; Apostolaki, E. Nutritive value of dried citrus pulp and its effect on milk yield and milk composition of lactating ewes. J. Dairy Sci. 1995, 78, 1116–1121. [Google Scholar]
- Nordi, E.C.P.; Costa, R.L.D.; David, C.M.G.; Parren, G.A.E.; Freitas, A.C.B.; Lameirinha, L.P.; Katiki, L.M.; Bueno, M.S.; Quirino, C.R.; Gama, P.E.; et al. Supplementation of moist and dehydrated citrus pulp in the diets of sheep artificially and naturally infected with gastrointestinal nematodes on the parasitological parameters and performance. Vet. Parasitol. 2014, 205, 532–539. [Google Scholar]
- Ibrahim, M.R.; El-Banna, H.M.; Omara, I.I.; Suliman, M.A. Evaluation of Nutritive value of some citrus pulp as feedstuffs in rabbit diets. Pak. J. Nutr. 2011, 10, 667–674. [Google Scholar]
- Scerra, M.; Foti, F.; Caparra, P.; Cilione, C.; Violi, L.; Fiammingo, G.; D’Aguì, G.; Chies, L. Effects of feeding fresh bergamot (Citrus bergamia Risso) pulp at up to 35% of dietary dry matter on growth performance and meat quality from lambs. Small Rumin. Res. 2018, 169, 160–166. [Google Scholar]
- Scerra, M.; Foti, F.; Caparra, P.; Lanza, M.; Natalello, A.; Cilione, C.; Rao, R.; D’Aguì, G.; Chies, L. The effect of fresh bergamot pulp on fatty acid composition of suckling kids. Small Rumin. Res. 2021, 203, 106483. [Google Scholar]
- Scerra, M.; Foti, F.; Caparra, P.; Cilione, C.; Rao, R.; Priolo, A.; Natalello, A.; Luciano, G.; Chies, L. Effect of feeding pigs with bergamot by-product on fatty acid composition and oxidative stability of meat and salami. Meat Sci. 2022, 183, 108662. [Google Scholar]
- Mandalari, G.; Bennett, R.N.; Bisignano, G.; Saija, A.; Dugo, G.; Lo Curto, R.B.; Faulds, C.B.; Waldron, K.W. Characterization of flavonoids and pectins from bergamot (Citrus bergamia risso) peel, a major byproduct of essential oil extraction. J. Agric. Food Chem. 2006, 54, 197–203. [Google Scholar] [PubMed]
- Sommella, E.; Pepe, G.; Pagano, F.; Tenore, G.C.; Marzocco, S.; Manfra, M.; Calabrese, G.; Aquino, R.P.; Campiglia, P. UHPLC profiling and effects on LPS-stimulated J774A.1 macrophages of flavonoids from bergamot (Citrus bergamia) juice, an underestimated waste product with high anti-inflammatory potential. J. Funct. Foods 2014, 7, 641–649. [Google Scholar]
- Kawaii, S.; Tomono, Y.; Katase, E.; Ogawa, K.; Yano, M. Effect of citrus flavonoids on HL-60 cell differentiation. Anticancer Res. 1999, 19, 1261–1269. [Google Scholar]
- National Research Council (NRC). Nutrient Requirements of Domestic Animals. Nutrient Requirements of Rabbits; National Academic of Science: Washington, DC, USA, 1977.
- AOAC. Association of Official Analytical Chemists. Official Methods of Analysis, 16th ed.; AOAC: Washington, DC, USA, 1995. [Google Scholar]
- Van Soest, P.J.; Robertson, J.B.; Lewis, B.A. Methods for dietary fiber, neutral detergent fiber, and non-starch polysaccharides in relation to animal nutrition. J. Dairy Sci. 1991, 74, 3583–3597. [Google Scholar]
- Makkar, H.P.S.; Blümmel, M.; Borowy, N.K.; Becker, K. Gravimetric determination of tannins and their correlations with chemical and protein precipitation methods. J. Environ. Sci. Heal B 1993, 61, 161–165. [Google Scholar]
- Gray, I.K.; Rumsby, M.G.; Hawke, J.C. The variations in linolenic acid and galactolipid levels in Graminaceae species with age of tissue and light environment. Phytochemistry 1967, 6, 107–113. [Google Scholar]
- Rufino-Moya, P.J.; Joy, M.; Lobón, S.; Bertolín, J.R.; Blanco, M. Carotenoids and liposoluble vitamins in the plasma and tissues of light lambs given different maternal feedings and fattening concentrates. Animals 2020, 10, 1813. [Google Scholar] [CrossRef]
- Bertolín, J.R.; Joy, M.; Rufino-Moya, P.J.; Lobón, S.; Blanco, M. Simultaneous determination of carotenoids, tocopherols, retinol and cholesterol in ovine lyophilised samples of milk, meat, and liver and in unprocessed/raw samples of fat. Food Chem. 2018, 257, 182–188. [Google Scholar]
- Folch, J.; Lees, M.; Stanley, G.H.S. A simple method for the isolation and purification of total lipids from animal tissue. J. Biol. Chem. 1957, 226, 497–509. [Google Scholar]
- International Union of Pure and Applied Chemistry. Standard Methods for the Analysis of Oils, Fats and Derivatives; Pergamon Press: Oxford, UK, 1987. [Google Scholar]
- Siu, G.M.; Draper, H.H. A survey of the malonaldehyde content of retail meats and fish. J. Food Sci. 1978, 43, 1147–1149. [Google Scholar]
- Scerra, M.; Rao, R.; Foti, F.; Caparra, P.; Cilione, C.; Natalello, A.; Biondi, L.; Bella, M.S.; Chies, L. Influence of Dietary Inclusion of Exhausted Bergamot By-Product in Pigs on Animal Performance, Fatty Acid Profile and Oxidative Stability of Meat and Meat Products. Animals 2022, 12, 757. [Google Scholar] [CrossRef] [PubMed]
- Scerra, M.; Foti, F.; Caparra, P.; Cilione, C.; Bognanno, M.; Fortugno, P.; De Caria, P.; Natalello, A.; Musati, M.; Chies, L. Effects of feeding bergamot pulp and olive leaves on performance and meat quality in Apulo-Calabrese pigs. Vet. Anim. Sci. 2024, 23, 100336. [Google Scholar]
- Hon, F.M.; Oluremi, O.I.A.; Anugwa, F.O.I. The Effect of Dried Sweet Orange (Citrus sinensis) Fruit Pulp Meal on the Growth Performance of Rabbits. Pak. J. Nutr. 2009, 8, 1150–1155. [Google Scholar]
- Lu, J.; Longa, X.; Hec, Z.; Shena, Y.; Yanga, Y.; Pana, Y.; Zhanga, J.; Lic, H. Effect of dietary inclusion of dried citrus pulp on growth performance, carcass characteristics, blood metabolites and hepatic antioxidant status of rabbits. J. Appl. Anim. Res. 2018, 46, 529–533. [Google Scholar]
- Rubio Varela, J.A.; Diaz-Vargas, M.; Duque-Ramírez, C.F.; Sierra, L.M.P. Dehydrated citrus pulp in rabbit feeding. Trop. Anim. Health Prod. 2023, 55, 346. [Google Scholar]
- Zeweil, H.S.; Zahran, S.M.; Ahmed, M.H.; Kamel, K.I.; Dosoky, W.M.; El-Gendy, Y.; Bahr, M. The use of Dried Orange Pulp for Feeding Meat Rabbits. J. Adv. Agric. Res. 2015, 20, 2–11. [Google Scholar]
- De Maria, B.G.; Scapinello, C.; Galuci Oliveira, A.F.; Monteiro, A.C.; Catelan, F.; Figueira, J.L. Dehydrated citrus pulp digestibility and the effect of its inclusion in diet on the performance of growing rabbits. Nutr. Não Ruminantes Acta Sci. Anim. Sci. 2013, 35, 85–92. [Google Scholar]
- Pascual, J.M.; Carmona, J.F. Citrus pulp in diets for fattening rabbits. Anim. Feed Sci. Technol. 1980, 5, 23–31. [Google Scholar]
- Wood, J.D.; Enser, M.; Fisher, A.V.; Nute, G.R.; Sheard, P.R.; Richardson, R.I. Fat deposition, fatty acid composition and meat quality: A review. Meat Sci. 2008, 78, 343–358. [Google Scholar]
- Simopoulos, A.P. Human requirement for N-3 polyunsaturated fatty acids. Poult. Sci. 2000, 79, 961–970. [Google Scholar]
- Moloney, A.P.; Kennedy, C.; Noci, F.; Monahan, F.J.; Kerry, J.P. Lipid and colour stability of M. Longissimus muscle from lambs fed camelina or linseed as oils or seeds. Meat Sci. 2012, 92, 1–7. [Google Scholar] [PubMed]
- Menci, R.; Biondi, L.; Natalello, A.; Lanza, M.; Priolo, A.; Valenti, B.; Bertino, A.; Scerra, M.; Luciano, G. Feeding hazelnut skin to lambs delays lipid oxidation in meat. Meat Sci. 2023, 202, 109218. [Google Scholar] [PubMed]
- Hassan, F.A.; Elkassas, N.; Salim, I.; El-Medany, S.; Aboelenin, S.M.; Shukry, M.; Taha, A.E.; Peris, S.; Soliman, M.; Mahrose, K. Impacts of Dietary Supplementations of Orange Peel and Tomato Pomace Extracts as Natural Sources for Ascorbic Acid on Growth Performance, Carcass Characteristics, Plasma Biochemicals and Antioxidant Status of Growing Rabbits. Animals 2021, 11, 1688. [Google Scholar] [CrossRef]
- Tsiokanos, E.; Tsafantakis, N.; Termentzi, A.; Aligiannis, N.; Skaltsounis, L.A.; Fokialakis, N. Phytochemical characteristics of bergamot oranges from the Ionian islands of Greece: A multi-analytical approach with emphasis in the distribution of neohesperidose flavanones. Food Chem. 2021, 343, 128400. [Google Scholar] [PubMed]
- Soldado, D.; Bessa, R.J.B.; Jerónimo, E. Condensed tannins as antioxidants in ruminants—Effectiveness and action mechanisms to improve animal antioxidant status and oxidative stability of products. Animals 2021, 11, 3243. [Google Scholar] [CrossRef] [PubMed]
- Harborne, B.; Williams, C.A. Advances in flavonoid research since 1992. Phytochemistry 2020, 55, 481–504. [Google Scholar]
- Shahidi, F.; Ambigaipalan, P. Phenolics and polyphenolics in foods, beverages and spices: Antioxidant activity and health effects—A review. J. Funct. Foods 2015, 18, 820–897. [Google Scholar]
- Benavente-Garcia, O.; Castillo, J.; Marin, F.R.; Ortuno, A.; Del Rio, J.A. Uses and properties of Citrus flavonoids. J. Agric. Food Chem. 1997, 45, 4505–4515. [Google Scholar]
- Walsh, K.R.; Haak, S.J.; Fastinger, N.D.; Bohn, T.; Tian, Q.; Mahan, D.C.; Schwartz, S.J.; Failla, M.L. Gastrointestinal absorption and metabolism of soy isoflavonoids in ileal-canulated swine. Mol. Nutr. Food Res. 2009, 53, 277–286. [Google Scholar]
- Surai, P.F. Polyphenol compounds in the chicken/animal diet: From the past to the future. J. Anim. Physiol. An. N. 2014, 98, 19–31. [Google Scholar]
- Luciano, G.; Vasta, V.; Monahan, F.J.; López-Andrés, P.; Biondi, L.; Lanza, M.; Priolo, A. Antioxidant status, colour stability and myoglobin resistance to oxidation of longissimus dorsi muscle from lambs fed a tannin-containing diet. Food Chem. 2011, 124, 1036–1042. [Google Scholar]

| Dried Bergamot Pulp | Control Diet | DBP Diet | |
|---|---|---|---|
| Barley grain | 10 | 5 | |
| Maize grain | 10 | 5 | |
| Wheat bran | 28 | 28 | |
| Soybean meal | 10 | 10 | |
| Alfalfa meal | 40 | 40 | |
| Dried bergamot pulp | 10 | ||
| Vitamin mineral premix 1 | 2 | 2 | |
| Chemical composition | |||
| Dry matter (DM) g/kg wet weight | 887 | 889 | 891 |
| Crude protein g/kg DM | 57.6 | 156 | 154 |
| Ether extract g/kg DM | 14.1 | 25.4 | 25.6 |
| Ash g/kg DM | 51.2 | 38.9 | 40.4 |
| NDF g/kg DM | 373 | 325 | 340 |
| Total phenolic compounds (g TAe 2/kg DM) | 13.2 | 4.12 | 5.02 |
| Total tannin compounds (g Tae 2/kg DM) | 2.01 | 0.82 | 1.68 |
| Tocopherols, μg/g dry matter | |||
| α-Tocopherol | 50.3 | 52.4 | 48.2 |
| γ-Tocopherol | 5.91 | 6.87 | 6.19 |
| Individual fatty acids (g/100 g of total fatty acid) | |||
| C10:0 | 0.07 | ||
| C12:0 | 0.14 | 0.03 | |
| C14:0 | 0.29 | 0.12 | 0.19 |
| C16:0 | 19.1 | 15.1 | 15.6 |
| C16:1 | 0.56 | 0.15 | 0.17 |
| C18:0 | 3.67 | 3.96 | 3.87 |
| C18:1 n-9 | 26.1 | 36.4 | 32.1 |
| C18:2 n-6 | 30.1 | 26.1 | 26.8 |
| C18:3 n-3 | 9.12 | 1.49 | 3.32 |
| Dietary Treatment 1 | ||||
|---|---|---|---|---|
| Control | DBP | SEM 6 | p Value | |
| Final BW 2, g | 2828 | 3080 | 91.1 | 0.176 |
| Carcass weight, g | 1651 | 1830 | 62.3 | 0.156 |
| Dressing yield (%) | 58.4 | 59.4 | 6.52 | 0.146 |
| Total DMI 3, g/d | 154 | 175 | 4.84 | 0.045 |
| ADG 4, g/d | 35 | 39 | 2.01 | 0.103 |
| FCR 5, g DMI 3/g ADG 4 | 4.4 | 4.5 | 0.23 | 0.283 |
| Tocopherols and Colesterol, µg/g muscle | ||||
| α-Tocopherol | 0.24 | 2.86 | 0.365 | 0.01 |
| γ-Tocopherol | 0.17 | 0.18 | 0.007 | 0.128 |
| Cholesterol | 1.34 | 1.27 | 0.026 | 0.214 |
| Chemical composition | ||||
| Moisture | 75.2 | 74.5 | 0.191 | 0.771 |
| Crude protein | 22.5 | 22.7 | 0.189 | 0.561 |
| Ether extract | 1.60 | 1.66 | 0.138 | 0.420 |
| Ash | 2.26 | 2.28 | 0.132 | 0.519 |
| Dietary Treatment 1 | ||||
|---|---|---|---|---|
| Item | Control | DBP | SEM 3 | p Value |
| intramuscular fat, mg/100 g of muscle | 1600 | 1484 | 156 | 0.190 |
| C12:0 | 1.28 | 1.34 | 0.165 | 0.621 |
| C14:0 | 27.4 | 24.6 | 2.542 | 0.201 |
| C14:1 cis-9 | 0.96 | 0.89 | 0.154 | 0.231 |
| C16:0 | 333 | 309 | 39.7 | 0.192 |
| C17:0 | 4.96 | 3.86 | 0.821 | 0.101 |
| C16:1 cis-9 | 21.8 | 19.1 | 2.312 | 0.341 |
| C18:0 | 261 | 224 | 25.1 | 0.154 |
| C18:1 cis-9 | 579 | 516 | 75.2 | 0.213 |
| C18:1 trans-11 | 15.7 | 21.1 | 2.39 | 0.089 |
| C18:1 trans-9 | 5.12 | 5.94 | 0.892 | 0.221 |
| C18:2 cis-9, cis-12 LA 2 | 162 | 147 | 19.6 | 0.321 |
| C18:3 n-3 ALA2 | 6.56 | 20.9 | 0.971 | 0.001 |
| C20:2 n-6 | 10.4 | 9.50 | 0.421 | 0.564 |
| C20:3 n-6 | 1.12 | 1.04 | 0.152 | 0.476 |
| C20:3 n-3 | 3.04 | 5.94 | 0.721 | 0.078 |
| C20:4 n-6 | 67.7 | 52.7 | 7.21 | 0.092 |
| C20:5 n-3 EPA 2 | 3.20 | 6.86 | 0.781 | 0.021 |
| C22:6 n-3 DHA 2 | 3.20 | 4.01 | 0.732 | 0.213 |
| ∑ n-3 | 16.1 | 37.7 | 2.872 | 0.001 |
| ∑ n-6 | 242 | 211 | 21.34 | 0.121 |
| n-6/n-3 | 15.1 | 5.60 | 0.972 | 0.023 |
| ∑ SFAs 2 | 628 | 563 | 93.2 | 0.365 |
| ∑ MUFAs 2 | 622 | 563 | 89.3 | 0.321 |
| ∑ PUFAs 2 | 257 | 248 | 26.1 | 0.134 |
Disclaimer/Publisher’s Note: The statements, opinions and data contained in all publications are solely those of the individual author(s) and contributor(s) and not of MDPI and/or the editor(s). MDPI and/or the editor(s) disclaim responsibility for any injury to people or property resulting from any ideas, methods, instructions or products referred to in the content. |
© 2024 by the authors. Licensee MDPI, Basel, Switzerland. This article is an open access article distributed under the terms and conditions of the Creative Commons Attribution (CC BY) license (https://creativecommons.org/licenses/by/4.0/).
Share and Cite
Scerra, M.; Foti, F.; Caparra, P.; Bognanno, M.; Fortugno, P.; Autolitano, D.; Viglianti, D.; Bella, M.S.; Cannone, M.S.; Chies, L. Effects of Bergamot (Citrus bergamia Risso) By-Product on Growth Performance and Meat Quality of Growing Rabbits. Foods 2024, 13, 2611. https://doi.org/10.3390/foods13162611
Scerra M, Foti F, Caparra P, Bognanno M, Fortugno P, Autolitano D, Viglianti D, Bella MS, Cannone MS, Chies L. Effects of Bergamot (Citrus bergamia Risso) By-Product on Growth Performance and Meat Quality of Growing Rabbits. Foods. 2024; 13(16):2611. https://doi.org/10.3390/foods13162611
Chicago/Turabian StyleScerra, Manuel, Francesco Foti, Pasquale Caparra, Matteo Bognanno, Paolo Fortugno, Domenico Autolitano, Domenico Viglianti, Marco Sebastiano Bella, Marco Sebastiano Cannone, and Luigi Chies. 2024. "Effects of Bergamot (Citrus bergamia Risso) By-Product on Growth Performance and Meat Quality of Growing Rabbits" Foods 13, no. 16: 2611. https://doi.org/10.3390/foods13162611
APA StyleScerra, M., Foti, F., Caparra, P., Bognanno, M., Fortugno, P., Autolitano, D., Viglianti, D., Bella, M. S., Cannone, M. S., & Chies, L. (2024). Effects of Bergamot (Citrus bergamia Risso) By-Product on Growth Performance and Meat Quality of Growing Rabbits. Foods, 13(16), 2611. https://doi.org/10.3390/foods13162611

