Analysis of the Pomelo Peel Essential Oils at Different Storage Durations Using a Visible and Near-Infrared Spectroscopic on Intact Fruit
Abstract
1. Introduction
2. Materials and Methods
2.1. VIS/NIR Scanning
2.2. Reference Analysis
2.3. Data Analysis
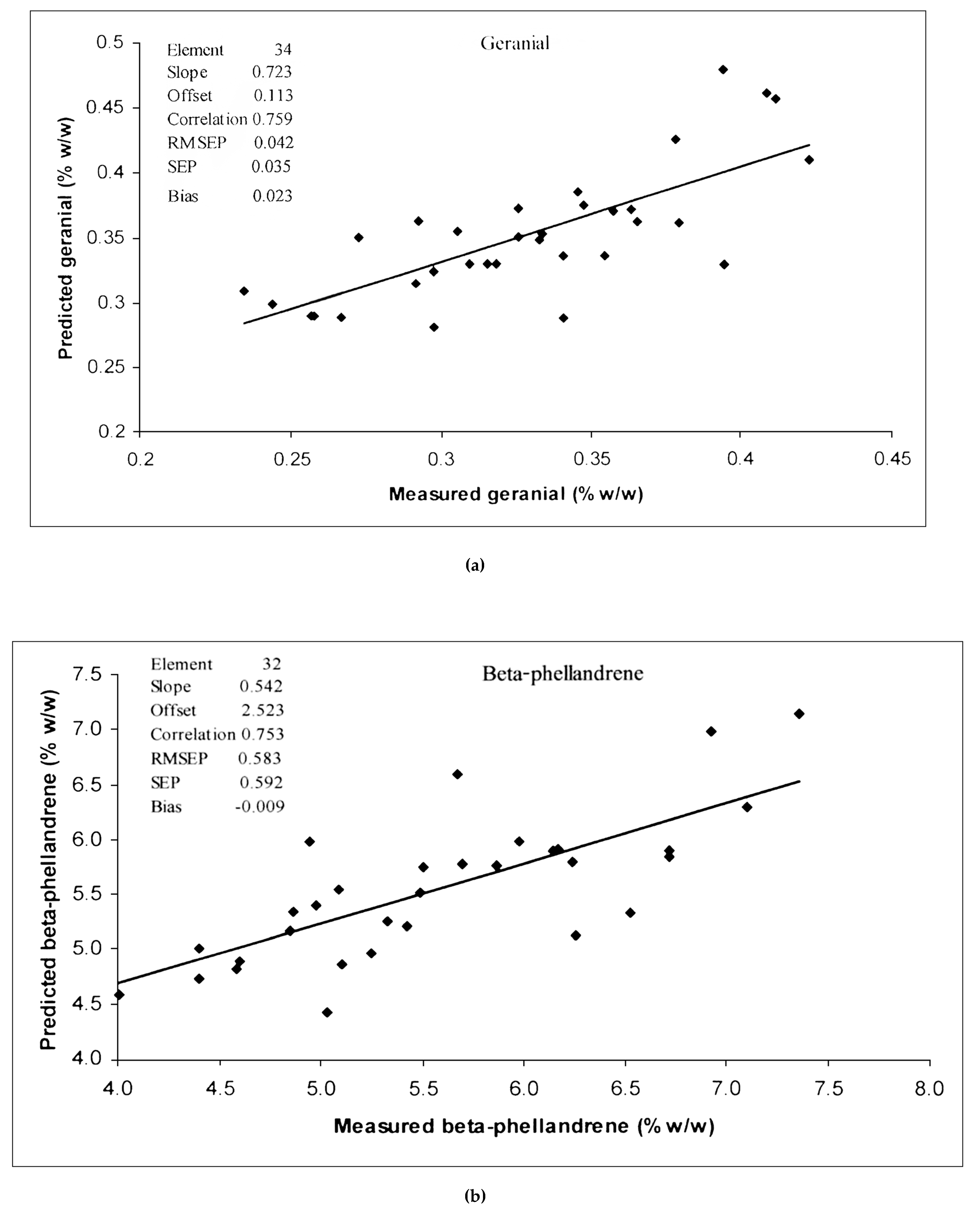
3. Results
4. Discussion
5. Conclusions
Author Contributions
Funding
Institutional Review Board Statement
Informed Consent Statement
Data Availability Statement
Acknowledgments
Conflicts of Interest
References
- Hodgson, R.W. Horticultural varieties of citrus. Hist. World Distrib. Bot. Var. 1967, 431–591. [Google Scholar]
- Hariya, T. The possibility of regulating the function of adipose cells by odorants. Aroma Res. 2003, 13, 72–78. [Google Scholar]
- Kazuhiko, T. Antioxidants in grapefruit oil. Aromatopia 1997, 24, 42–44. [Google Scholar]
- Xie, J.; Sun, B.; Wang, S.; Ito, Y. Isolation and purification of nootkatone from the essential oil of fruits of Alpinia oxyphylla Miquel by high-speed counter-current chromatography. Food Chem. 2009, 117, 375–380. [Google Scholar] [CrossRef]
- Chen, Y.; Xie, B.; Liu, X. Crystal structure of nootkatone and its application as tobacco flavorant. Fine Chem. 2006, 23, 980–982. [Google Scholar]
- Yamahara, J.; LI, Y.H.; Tamai, Y. Anti-ulcer effect in rats of bitter cardamon constituents. Chem. Pharm. Bull. 1990, 38, 3053–3054. [Google Scholar] [CrossRef]
- Miyazawa, M.; Nakamura, Y.; Ishikawa, Y. Insecticidal sesquiterpene from Alpinia oxyphylla against Drosophila melanogaster. J. Agric. Food Chem. 2000, 48, 3639–3641. [Google Scholar] [CrossRef]
- Wikipedia. Phellandrene. Available online: http://en.wikipedia.org/wiki/Phellandrene (accessed on 9 November 2023).
- Moraes, T.M.; Kushima, H.; Moleiro, F.C.; Santos, R.C.; Rocha, L.R.M.; Marques, M.O.; Vilegas, W.; Hiruma-Lima, C.A. Effects of limonene and essential oil from Citrus aurantium on gastric mucosa: Role of prostaglandins and gastric mucus secretion. Chem. Biol. Interact. 2009, 180, 499–505. [Google Scholar] [CrossRef]
- Sun, J. D-Limonene: Safety and clinical applications. Altern. Med. Rev. A J. Clin. Ther. 2007, 12, 259–264. [Google Scholar]
- Ueno, R. Method for treating gastrointestinal disorder. U.S. Patent US 8,748,481, 10 June 2014. [Google Scholar]
- Tuan, N.T.; Dang, L.N.; Huong, B.T.C.; Danh, L.T. One step extraction of essential oils and pectin from pomelo (Citrus grandis) peels. Chem. Eng. Process. Process Intensif. 2019, 142, 107550. [Google Scholar] [CrossRef]
- Steuer, B.; Schulz, H.; Läger, E. Classification and analysis of citrus oils by NIR spectroscopy. Food Chem. 2001, 72, 113–117. [Google Scholar] [CrossRef]
- Wilson, N.D.; Ivanova, M.S.; Watt, R.A.; Moffat, A.C. The quantification of citral in lemongrass and lemon oils by near-infrared spectroscopy. J. Pharm. Pharmacol. 2002, 54, 1257–1263. [Google Scholar] [CrossRef] [PubMed]
- Sandasi, M.; Kamatou, G.P.P.; Gavaghan, C.; Baranska, M.; Viljoen, A. A quality control method for geranium oil based on vibrational spectroscopy and chemometric data analysis. Vib. Spectrosc. 2011, 57, 242–247. [Google Scholar] [CrossRef]
- Juliani, H.R.; Kapteyn, J.; Jones, D.; Koroch, A.R.; Wang, M.; Charles, D.; Simon, J.E. Application of near-infrared spectroscopy in quality control and determination of adulteration of african essential oils. Phytochem. Anal. 2006, 17, 121–128. [Google Scholar] [CrossRef]
- Schulz, H.; Quilitzsch, R.; Krüger, H. Rapid evaluation and quantitative analysis of thyme, origano and chamomile essential oils by ATR-IR and NIR spectroscopy. J. Mol. Struct. 2003, 661–662, 299–306. [Google Scholar] [CrossRef]
- Sirisomboon, P.; Tanaka, M.; Fujita, S.; Kojima, T. Evaluation of pectin constituents of Japanese pear by near infrared spectroscopy. J. Food Eng. 2007, 78, 701–707. [Google Scholar] [CrossRef]
- Tewari, J.C.; Dixit, V.; Cho, B.-K.; Malik, K.A. Determination of origin and sugars of citrus fruits using genetic algorithm, correspondence analysis and partial least square combined with fiber optic NIR spectroscopy. Spectrochim. Acta Part A Mol. Biomol. Spectrosc. 2008, 71, 1119–1127. [Google Scholar] [CrossRef]
- Rungpichayapichet, P.; Chaiyarattanachote, N.; Khuwijitjaru, P.; Nakagawa, K.; Nagle, M.; Müller, J.; Mahayothee, B. Comparison of near-infrared spectroscopy and hyperspectral imaging for internal quality determination of ‘Nam Dok Mai’mango during ripening. J. Food Meas. Charact. 2022, 17, 1–14. [Google Scholar] [CrossRef]
- Moghimi, A.; Aghkhani, M.H.; Sazgarnia, A.; Sarmad, M. Vis/NIR spectroscopy and chemometrics for the prediction of soluble solids content and acidity (pH) of kiwifruit. Biosyst. Eng. 2010, 106, 295–302. [Google Scholar] [CrossRef]
- Subedi, P.; Walsh, K.B. Assessment of sugar and starch in intact banana and mango fruit by SWNIR spectroscopy. Postharvest Biol. Technol. 2011, 62, 238–245. [Google Scholar] [CrossRef]
- Ncama, K.; Tesfay, S.Z.; Fawole, O.A.; Opara, U.L.; Magwaza, L.S. Non-destructive prediction of ‘Marsh’ grapefruit susceptibility to postharvest rind pitting disorder using reflectance Vis/NIR spectroscopy. Sci. Hortic. 2018, 231, 265–271. [Google Scholar] [CrossRef]
- Xu, S.; Lu, H.; Ference, C.; Qiu, G.; Liang, X. Rapid nondestructive detection of water content and granulation in postharvest “shatian” pomelo using visible/near-infrared spectroscopy. Biosensors 2020, 10, 41. [Google Scholar] [CrossRef]
- Abu-Khalaf, N.; Hmidat, M. Visible/Near Infrared (VIS/NIR) spectroscopy as an optical sensor for evaluating olive oil quality. Computers and Electronics in Agriculture. Comput. Electron. Agric. 2020, 173, 105445. [Google Scholar] [CrossRef]
- Magwaza, L.S.; Opara, U.L.; Nieuwoudt, H.; Cronje, P.J.R.; Saeys, W.; Nicolaï, B. NIR Spectroscopy Applications for Internal and External Quality Analysis of Citrus Fruit—A Review. Food Bioprocess Technol. 2012, 5, 425–444. [Google Scholar] [CrossRef]
- Sirisomboon, P.; Duangchang, J. Prediction and analysis of peel essential oil of pomelo by NIR spectroscopy. In Proceedings of the 10th International Conference of Thailand Society of Agricultural Engineering Suranaree Univeristy of Technology, Nakhon Rachasima, Thailand, 1–3 April 2009. [Google Scholar]
- Rodov, V.; Agar, T.; Peretz, J.; Nafussi, B.; Kim, J.J.; Ben-Yehoshua, S. Effect of combined application of heat treatments and plastic packaging on keeping quality of ‘Oroblanco’fruit (Citrus grandis L. × C. paradisi Macf.). Postharvest Biol. Technol. 2000, 20, 287–294. [Google Scholar] [CrossRef]
- Njoroge, S.M.; Koaze, H.; Karanja, P.N.; Sawamura, M. Volatile Constituents of Redblush Grapefruit (Citrus paradise) and Pummelo (Citrus grandis) Peel Essential Oils from Kenya. J. Agric. Food Chem. 2005, 53, 9790–9794. [Google Scholar] [CrossRef] [PubMed]
- Tantishaiyakul, V. Prediction of aqueous solubility of organic salts of diclofenac using PLS and molecular modeling. Int. J. Pharm. 2004, 275, 133–139. [Google Scholar] [CrossRef]
- Haaland, D.M.; Thomas, E.V. Partial Least-Squares methods for spectral analyses. 1. Relation to other quantitative calibration methods and the extraction of qualitative information. Anal. Chem. 1988, 60, 1193–1202. [Google Scholar] [CrossRef]
- Williams, P.; Manley, M.; Antoniszyn, J. Near-Infrared Technology: Getting the Best Out of Light; Sun Press: Stellenbosch, South Africa, 2019. [Google Scholar]
- Obenland, D.; Margosan, D.; Houck, L.; Aung, L. Essential oils and chilling injury in lemon. HortScience 1997, 32, 108–111. [Google Scholar] [CrossRef]
- Liu, C.; Yan, F.; Gao, H.; He, M.; Wang, Z.; Cheng, Y.; Deng, X.; Xu, J. Features of citrus terpenoid production as revealed by carotenoid, limonoid and aroma profiles of two pummelos (Citrus maxima) with different flesh color. J. Sci. Food Agric. 2015, 95, 111–119. [Google Scholar] [CrossRef] [PubMed]
- Aharoni, A.; P Giri, A.; Verstappen, F.W.A.; Bertea, C.M.; Sevenier, R.; Sun, Z.; Jongsma, M.A.; Schwab, W.; Bouwmeester, H.J. Gain and loss of fruit flavor compounds produced by wild and cultivated strawberry species. Plant Cell 2004, 16, 3110–3131. [Google Scholar] [CrossRef] [PubMed]
- McCaskill, D.; Croteau, R. Some caveats for bioengineering terpenoid metabolism in plants. Trends Biotechnol. 1998, 16, 349–355. [Google Scholar] [CrossRef]
- Pott, D.M.; Vallarino, J.G.; Osorio, S. Metabolite changes during postharvest storage: Effects on fruit quality traits. Metabolites 2020, 10, 187. [Google Scholar] [CrossRef] [PubMed]
- Cheng, J.-H.; Jin, H.; Xuc, Z.; Zheng, F. NIR hyperspectral imaging with multivariate analysis for measurement of oil and protein contents in peanut varieties. Anal. Methods 2014, 9, 6148–6154. [Google Scholar] [CrossRef]
- Drawert, F.; Berger, R.G.; Godelmann, R. Regioselective biotransformation of valencene in cell suspension cultures of Citrus sp. Plant Cell Rep. 1984, 3, 37–40. [Google Scholar] [CrossRef] [PubMed]
- Sawamura, M.; Tsuji, T.; Kuwahara, S. Changes in the Volatile Constituents of Pummelo (Citrus grandis Osbeck forma Tosa-bun tan) during Storage. Food Nutr. 1989, 53, 243–246. [Google Scholar] [CrossRef][Green Version]
- Sawamura, M.; Kuwahara, S.; Shichiri, K.-i.; Aoki, T. Volatile constituents of several varieties of pummelos and a comparison of the nootkatone levels in pummelos and other citrus fruits. Agric. Biol. Chem. 1990, 52, 803–805. [Google Scholar] [CrossRef]
- Davies, F.K.; García-Cerdán, J.G.; Wintz, H.-C.; Melis, A. Paradigm of monoterpene (β-phellandrene) hydrocarbons production via photosynthesis in cyanobacteria. BioEnergy Res. 2013, 6, 917–929. [Google Scholar] [CrossRef]
- Lado, J.; Gurrea, A.; Zacarías, L.; Rodrigo, M.J. Influence of the storage temperature on volatile emission, carotenoid content and chilling injury development in Star Ruby red grapefruit. Food Chem. 2019, 295, 72–81. [Google Scholar] [CrossRef]
- Obenland, D.; Collin, S.; Sievert, J.R.; Arpaia, M.L. Mandar in flavor and aroma volatile composition are strongly influenced by holding temperature. Postharvest Biol. Technol. 2013, 82, 6–14. [Google Scholar] [CrossRef]
- Obenland, D.; Collin, S.; Mackey, B.; Sievert, J.; Arpaia, M.L. Storage temperature and time influences sensory quality of mandarins by altering soluble solids, acidity and aroma volatile composition. Postharvest Biol. Technol. 2011, 59, 187–193. [Google Scholar] [CrossRef]
- ElMasry, G.; Wang, N.; El Sayed, A.; Ngadi, M. Hyperspectral imaging for nondestructive determination of some quality attributes for strawberry. J. Food Eng. 2007, 81, 98–107. [Google Scholar] [CrossRef]
- Abbott, J.A.; Lu, R.; Upchurch, B.L.; Stroshine, R.L. Technologies for non-destructive quality evaluation of fruits and vegetables. In Horticultural Reviews; Janick, J., Ed.; John Wiley & Sons, Inc.: Hoboken, NJ, USA, 1997; Volume 20. [Google Scholar]
- Chauchard, F.; Cogdill, R.P.; Roussel, S.; Roger, J.-M.; Maurel, V.B. Application of LS-SVM to non-linear phenomena in NIR spectroscopy: Development of a robust and portable sensor for acidity prediction in grapes. Chemom. Intell. Lab. Syst. 2004, 71, 141–150. [Google Scholar] [CrossRef]
- Workman, J.; Weyer, L. Practical Guide to Interpretive Near-Infrared Spectroscopy; CRC Press: Boca Raton, FL, USA, 2007. [Google Scholar]
- Mostafa, A.A.; Al-Askar, A.A.; Almaary, K.S.; Dawoud, T.M.; Sholkamy, E.N.; Bakri, M. Antimicrobial activity of some plant extracts against bacterial strains causing food poisoning diseases. Saudi J. Biol. Sci. 2017, 25, 361–366. [Google Scholar] [CrossRef]
- Yumnam, M.; Marak, P.R.; Gupta, A.K.; Rather, M.A.; Mishra, P. Effect of pomelo peel essential oil on the storage stability of a few selected varieties of freshwater fish. J. Agric. Food Res. 2023, 11, 100472. [Google Scholar] [CrossRef]
- Teerachaichayut, S.; Kil, K.Y.; Terdwongworakul, A.; Thanapase, W.; Nakanishi, Y. Non-destructive prediction of translucent flesh disorder in intact mangosteen by short wavelength near infrared spectroscopy. Postharvest Biol. Technol. 2007, 43, 202–206. [Google Scholar] [CrossRef]
- Osborne, B.G. Near Infrared Spectroscopy in Food Analysis; Longman Scientific & Technical: New York, NY, USA, 1986. [Google Scholar]
- Makky, M.; Soni, P. In situ quality assessment of intact oil palm fresh fruit bunches using rapid portable non-contact and non-destructive approach. J. Food Eng. 2014, 120, 248–259. [Google Scholar] [CrossRef]
- Armstrong, P.R. Rapid single-kernel NIR measurement of grain and oil-seed attributes. Appl. Eng. Agric. 2006, 22, 767–772. [Google Scholar] [CrossRef]
- Hernandez-Sanchez, N.; Gomez-del-Campo, M. From NIR spectra to singular wavelengths for the estimation of the oil and water contents in olive fruits. Grasas Y Aceites 2018, 69, 278. [Google Scholar] [CrossRef]
- Tocmo, R.; Pena-Fronteras, J.; Calumba, K.F.; Mendoza, M.; Johnson, J.J. Valorization of pomelo (Citrus grandis Osbeck) peel: A review of current utilization, phytochemistry, bioactivities, and mechanisms of action. Compr. Rev. Food Sci. Food Saf. 2020, 19, 1969–2012. [Google Scholar] [CrossRef]
- Rahman, N.F.A.; Shamsudin, R.; Ismail, A.; Shah, N.N.A.K. Effects of post-drying methods on pomelo fruit peels. Food Sci. Biotechnol. 2016, 25, 85–90. [Google Scholar] [CrossRef] [PubMed]
- Choung, M.G.; Baek, I.Y.; Kang, S.T.; Han, W.Y.; Shin, D.C.; Moon, H.P.; Kang, K.H. Non-destructive method for selection of soybean lines contained high protein and oil by near infrared reflectance spectroscopy. Korean J. Crop Sci. 2001, 46, 401–406. [Google Scholar]
- Clark, C.J.; Mcglone, A.; Requejo, C.; White, A.; Woolf, A. Dry matter determination in ‘Hass’ avocado by NIR spectroscopy. Postharvest Biol. Technol. 2003, 29, 301–308. [Google Scholar] [CrossRef]
- Cédric, C.; Gérard, M.; Quennoz, M.; Brabant, C.; Oberson, C.; Simonnet, X. Prediction of essential oil content of oregano by hand-held and Fourier transform NIR spectroscopy. J. Sci. Food Agric. 2014, 94, 1397–1402. [Google Scholar] [CrossRef]
- Haute, S.V.; Nikkhah, A.; Malavi, D.; Kiani, S. Prediction of essential oil content in spearmint (Mentha spicata) via near-infrared hyperspectral imaging and chemometrics. Sci. Rep. 2023, 13, 4261. [Google Scholar] [CrossRef]
- Bourgou, S.; Rahali, F.Z.; Ourghemmi, I.; Tounsi, M.S. Changes of peel essential oil composition of four Tunisian citrus during fruit maturation. Sci. World J. 2012, 528593. [Google Scholar] [CrossRef] [PubMed]
- Lee, H.; Cho, B.-K.; Kim, M.S.; Lee, W.-H.; Tewari, J.; Bae, H.; Sohn, S.-I.; Chi, H.-Y. Prediction of crude protein and oil content of soybeans using Raman spectroscopy. Sens. Actuators B Chem. 2013, 185, 694–700. [Google Scholar] [CrossRef]
- Kaewsorn, K.; Sirisomboon, P. Study on evaluation of gamma oryzanol of germinated brown rice by near infrared spectroscopy. J. Innov. Opt. Health Sci. 2014, 7, 1450002. [Google Scholar] [CrossRef]
- Kaewsorn, K.; Sirisomboon, P. Determination of the gamma-aminobutyric acid content of germinated brown rice by near infrared spectroscopy. J. Near Infrared Spectrosc. 2014, 22, 45–54. [Google Scholar] [CrossRef]
- Dvoracek, V.; Prohasková, A.; Chrpová, J.; Štěrbová, L. Near infrared spectroscopy for deoxynivalenol content estimation in intact wheat grain. Plant Soil Environ. 2012, 58, 196–203. [Google Scholar] [CrossRef]
- Sirisomboon, P.; Lapcharoensuk, R. Evaluation of the physicochemical and textural properties of pomelo fruit following storage. Fruits 2012, 67, 399–413. [Google Scholar] [CrossRef]













| Storage Days | Mean Concentration (% w/w) | |||
|---|---|---|---|---|
| Nootkatone | β-Phellandrene | Geranial | Limonene | |
| 0 | Not detectable | 6.16 ± 0.56 a | 0.39 ± 0.06 a | 79.95 ± 1.63 cd |
| 15 | Not detectable | 6.22 ± 0.62 a | 0.40 ± 0.05 a | 80.37 ± 1.93 cd |
| 30 | 0.06 ± 0.02 e | 5.27 ± 0.54 bc | 0.33 ± 0.04 c | 83.07 ± 1.72 b |
| 45 | 0.08 ± 0.05 e | 4.85 ± 0.66 cd | 0.31 ± 0.04 cd | 84.23 ± 1.5 ab |
| 60 | 0.13 ± 0.07 de | 4.64 ± 0.59d | 0.27 ± 0.03 d | 84.61 ± 1.42 a |
| 75 | 0.22 ± 0.12 cd | 5.00 ± 0.73 cd | 0.31 ± 0.04 cd | 83.89 ± 1.98 ab |
| 90 | 0.33 ± 0.16 c | 6.32 ± 1.02 a | 0.33 ± 0.05 bc | 79.54 ± 2.36 d |
| 105 | 0.47 ± 0.30 b | 5.70 ± 0.98 ab | 0.31 ± 0.07 cd | 81.13 ± 1.90 c |
| 120 | 0.63 ± 0.22 a | 6.15 ± 0.9 a | 0.37 ± 0.07 ab | 79.17 ± 2.09 d |
| Parameters | Calibration Set | Prediction Set | ||||||
|---|---|---|---|---|---|---|---|---|
| n | Range (%) | Mean (%) | SD (%) | n | Range (%) | Mean (%) | SD (%) | |
| Nootkatone | 71 | 0.02–0.98 | 0.26 | 0.22 | 24 | 0.04–0.68 | 0.26 | 0.19 |
| β-phellandrene | 87 | 3.67–7.54 | 5.57 | 0.92 | 32 | 3.99–7.36 | 5.54 | 0.90 |
| Geranial | 90 | 0.16–0.51 | 0.33 | 0.06 | 34 | 0.23–0.42 | 0.32 | 0.05 |
| Limonene | 93 | 76.02–87.82 | 81.79 | 2.72 | 33 | 78.17–85.94 | 81.71 | 2.39 |
| Parameters | Pretreatment | PCs | Calibration | Prediction | |||||
|---|---|---|---|---|---|---|---|---|---|
| r | SEC (%) | Bias (%) | r | SEP (%) | Bias (%) | RPD | |||
| Nootkatone | Full MSC | 4 | 0.85 | 0.11 | 1.49 × 10−8 | 0.82 | 0.11 | 0.01 | 1.7 |
| β-phellandrene | 2nd derivative | 5 | 0.73 | 0.63 | −1.01 × 10−7 | 0.75 | 0.59 | −0.01 | 1.5 |
| Geranial | Full MSC | 12 | 0.84 | 0.03 | 9.14 × 10−7 | 0.76 | 0.03 | 0.02 | 1.5 |
| Limonene | Raw | 10 | 0.76 | 1.76 | 1.48 × 10−5 | 0.67 | 1.82 | 0.35 | 1.3 |
| Parameters | Pretreatment | Kernel | Degree | Calibration | Prediction | |||
|---|---|---|---|---|---|---|---|---|
| R | SECV | r | SEP | Bias | ||||
| nootkatone | D2 | Poly | 3 | 0.86 | 0.092 | 0.62 | 0.196 | −0.009 |
| geranial | D2 | Poly | 3 | 0.88 | 0.018 | 0.68 | 0.052 | −0.002 |
| β-phellandrene | Na | Na | ||||||
| limonene | Na | Na | ||||||
| Parameters | Pretreatment | Hidden Layer | Calibration | Prediction | |||
|---|---|---|---|---|---|---|---|
| R | SECV | r | SEP | Bias | |||
| nootkatone | D1 | 70 10 10 | 0.98 | 0.05 | 0.79 | 0.16 | −0.02 |
| geranial | D2 | 60 10 | 1.00 | 0.00 | 0.43 | 0.06 | 0.01 |
| β-phellandrene | Mean normalization | 40 10 | 0.62 | 0.77 | 0.27 | 0.86 | −0.19 |
| limonene | Mean centering | 80 10 | 0.29 | 3.76 | 0.51 | 1.98 | 0.36 |
Disclaimer/Publisher’s Note: The statements, opinions and data contained in all publications are solely those of the individual author(s) and contributor(s) and not of MDPI and/or the editor(s). MDPI and/or the editor(s) disclaim responsibility for any injury to people or property resulting from any ideas, methods, instructions or products referred to in the content. |
© 2024 by the authors. Licensee MDPI, Basel, Switzerland. This article is an open access article distributed under the terms and conditions of the Creative Commons Attribution (CC BY) license (https://creativecommons.org/licenses/by/4.0/).
Share and Cite
Sirisomboon, P.; Duangchang, J.; Phanomsophon, T.; Lapcharoensuk, R.; Shrestha, B.P.; Kasemsamran, S.; Thanapase, W.; Pornchaloempong, P.; Tsuchikawa, S. Analysis of the Pomelo Peel Essential Oils at Different Storage Durations Using a Visible and Near-Infrared Spectroscopic on Intact Fruit. Foods 2024, 13, 2379. https://doi.org/10.3390/foods13152379
Sirisomboon P, Duangchang J, Phanomsophon T, Lapcharoensuk R, Shrestha BP, Kasemsamran S, Thanapase W, Pornchaloempong P, Tsuchikawa S. Analysis of the Pomelo Peel Essential Oils at Different Storage Durations Using a Visible and Near-Infrared Spectroscopic on Intact Fruit. Foods. 2024; 13(15):2379. https://doi.org/10.3390/foods13152379
Chicago/Turabian StyleSirisomboon, Panmanas, Jittra Duangchang, Thitima Phanomsophon, Ravipat Lapcharoensuk, Bim Prasad Shrestha, Sumaporn Kasemsamran, Warunee Thanapase, Pimpen Pornchaloempong, and Satoru Tsuchikawa. 2024. "Analysis of the Pomelo Peel Essential Oils at Different Storage Durations Using a Visible and Near-Infrared Spectroscopic on Intact Fruit" Foods 13, no. 15: 2379. https://doi.org/10.3390/foods13152379
APA StyleSirisomboon, P., Duangchang, J., Phanomsophon, T., Lapcharoensuk, R., Shrestha, B. P., Kasemsamran, S., Thanapase, W., Pornchaloempong, P., & Tsuchikawa, S. (2024). Analysis of the Pomelo Peel Essential Oils at Different Storage Durations Using a Visible and Near-Infrared Spectroscopic on Intact Fruit. Foods, 13(15), 2379. https://doi.org/10.3390/foods13152379

