Ultrasonication: An Efficient Alternative for the Physical Modification of Starches, Flours and Grains
Abstract
1. Introduction
2. Physical Modification by Ultrasonic Treatments
3. Effect of Ultrasound Modifications on Morphological Properties
3.1. Surface Damage
3.2. Particle Size
3.3. Color
4. Effect of Ultrasounds on Structural Properties
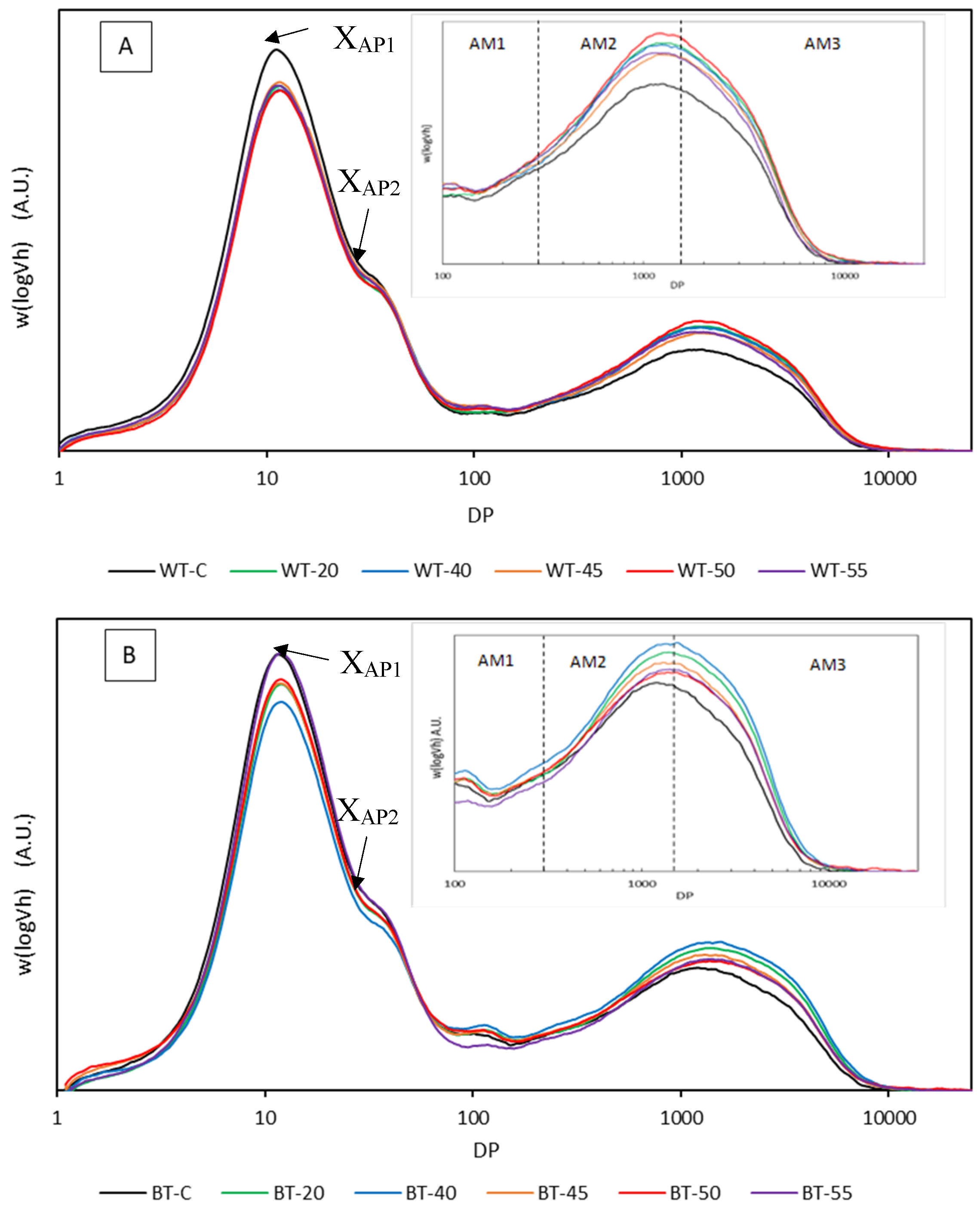
4.1. Molecular Structure of Starch—Molecular Weight and Chain Length Distribution
4.2. Changes in the Crystalline and Chemical Structure of Starch
4.2.1. Polarized Light Microscopy (PLM)
4.2.2. X-ray Diffraction (XRD)
4.2.3. Fourier Transform Infrared Spectroscopy (FTIR)
4.2.4. Raman Spectroscopy
4.2.5. Nuclear Magnetic Resonance Spectroscopy (NMR)
5. Effect of Ultrasounds on Techno-Functional Properties
5.1. Swelling Power and Solubility
5.2. Pasting Properties
5.3. Paste Clarity
6. Effect of Ultrasonication on the Thermal Properties
7. Effect of Ultrasonication on Gel Properties
7.1. Rheological Properties
7.1.1. Steady Shear Flow Behavior
7.1.2. Dynamic Oscillatory Assays
Strain/Stress Sweeps
Frequency Sweep
7.2. Textural Properties
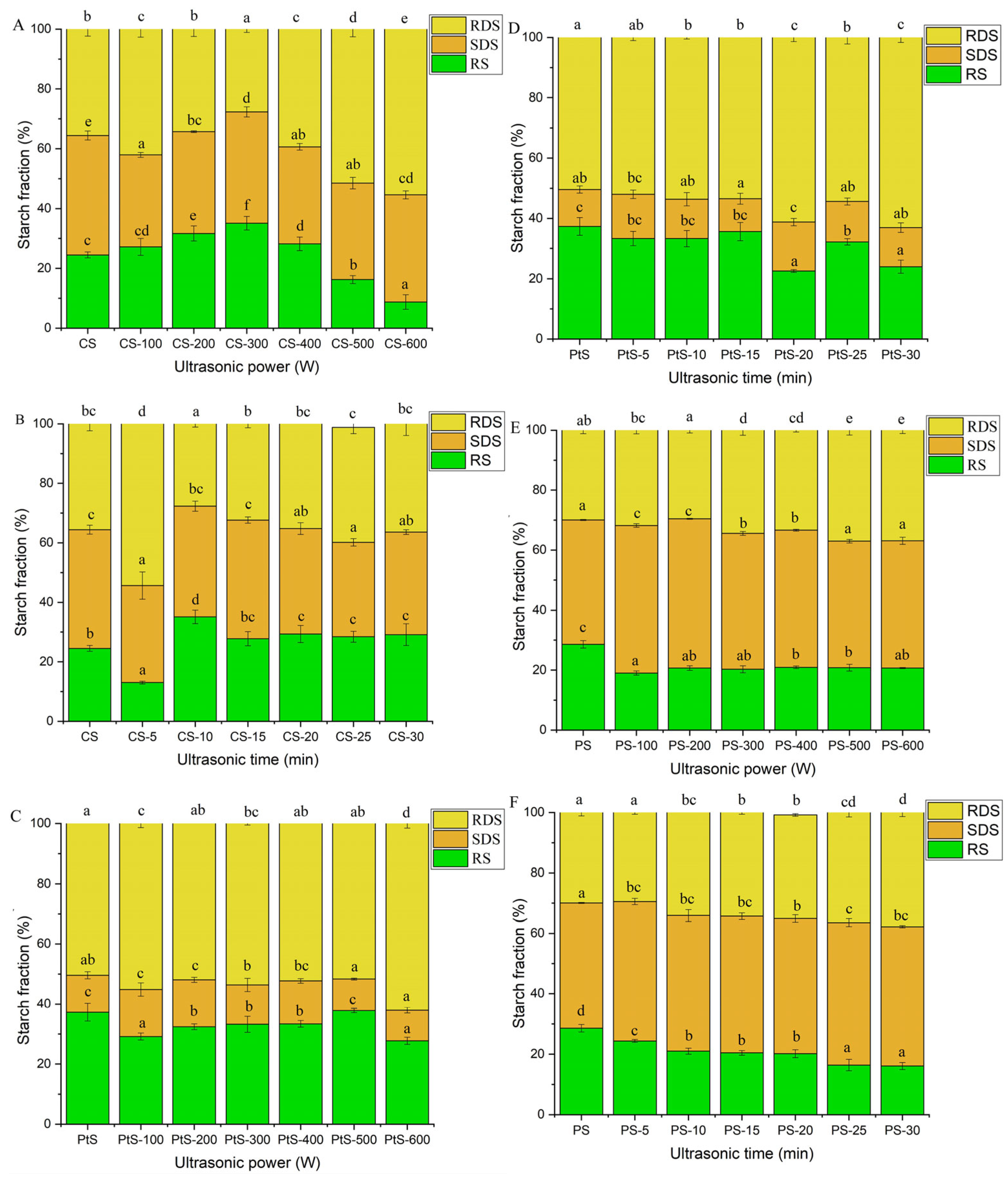
8. Effect of Ultrasonication on Starch Digestibility
| Botanical Origin | Parameters Studied | Reference |
|---|---|---|
| STARCHES | ||
| Potato | Frequency, time, atmosphere, concentration, volume | (Gallant et al., 1972) [21] |
| Frequency, time, atmosphere, concentration, volume | (Degrois et al., 1974) [62] | |
| Time, temperature, concentration | (Azhar and Hamdy, 1979) [84] | |
| Time, source of starch | (Chung et al., 2002) [80] | |
| Source of starch, USC application device, concentration | (Iida et al., 2008) [4] | |
| Source of starch, solvent | (Chan et al., 2010) [48] | |
| Power | (Zhu et al., 2012) [46] | |
| Power | (Zuo et al., 2012) [20] | |
| Solvent, source of starch | (Sujka and Jamroz, 2013) [42] | |
| Frequency, power, time | (Bai et al., 2017) [2] | |
| Source of starch, solvent | (Sujka, 2017) [3] | |
| Frequency, temperature | (Hu et al., 2019) [32] | |
| Concentration | (Nie et al., 2019) [82] | |
| Single and dual treatments | (Cao and Gao, 2020) [33] | |
| Temperature | (Ouyang et al., 2021) [41] | |
| Power, time | (Zhang et al., 2021) [71] | |
| Single and dual treatments | (Wang, Wang et al., 2022) [35] | |
| Single and dual treatments | (Zhou et al., 2023) [85] | |
| Waxy potato | Frequency, power, time | (Bai et al., 2017) [2] |
| Sweet potato | Time, temperature, concentration | (Azhar and Hamdy, 1979) [84] |
| Source of starch, USC application device, concentration | (Iida et al., 2008) [4] | |
| Frequency, time | (Zheng et al., 2013) [8] | |
| Intensity, time, temperature, concentration | (Jin et al., 2020) [49] | |
| Time | (Wang, Xu et al., 2020) [30] | |
| Time, temperature | (Ulfa et al., 2023) [86] | |
| Rice | Time, source of starch | (Chung et al., 2002) [80] |
| Solvent, source of starch | (Sujka and Jamroz, 2013) [42] | |
| Source of starch, solvent | (Sujka, 2017) [3] | |
| Source of starch, time | (Kaur and Gill, 2019) [51] | |
| Power | (Yang, Kong et al., 2019) [40] | |
| Dual treatments | (Li et al., 2022) [87] | |
| Probe tip, power, time | (Yu et al., 2013) [23] | |
| Purple rice | Single and dual treatments, poser | (Su et al., 2024) [34] |
| Waxy rice | Time, temperature | (Isono et al., 1994) [69] |
| Source of starch | (Luo et al., 2008) [26] | |
| Power, intensity, temperature | (Zuo et al., 2009) [15] | |
| Corn/ Maize | Atmosphere | (Czechowska-Biskup et al., 2005) [16] |
| Time | (Huang et al., 2007) [38] | |
| Source of starch, USC application device, concentration | (Iida et al., 2008) [4] | |
| Source of starch, solvent | (Chan et al., 2010) [48] | |
| USC application device, power, time | (Herceg et al., 2010) [1] | |
| USC application device, power, time | (Jambrak et al., 2010) [7] | |
| Solvent, source of starch | (Sujka and Jamroz, 2013) [42] | |
| Frequency, time | (Hu et al., 2014) [74] | |
| Amplitude, time, temperature, concentration | (Amini et al., 2015) [13] | |
| Frequency | (Hu et al., 2015) [56] | |
| Power, time, concentration | (Kang et al., 2016) [5] | |
| Time | (Flores-Silva et al., 2017) [37] | |
| Source of starch, solvent | (Sujka, 2017) [3] | |
| Power, time, temperature | (Li et al., 2018) [19] | |
| Source of starch | (Minakawa et al., 2019) [64] | |
| Temperature | (Ouyang et al., 2021) [41] | |
| Time | (Rahaman et al., 2021) [44] | |
| Power, time | (Zhang et al., 2021) [71] | |
| Dual treatments, time | (Yilmaz and Tugrul, 2023) [88] | |
| Source of starch | (Luo et al., 2008) [26] | |
| Time | (Bel Haaj et al., 2013) [6] | |
| Dual treatments, time | (Flores-Silva et al., 2018) [81] | |
| Source of starch, time | (Kaur and Gill, 2019) [51] | |
| Single and dual treatments | (Wang, Wang et al., 2022) [35] | |
| Source of starch, time | (Wei et al., 2023) [70] | |
| Single and dual treatments | (Zhou et al., 2023) [85] | |
| Waxy corn/maize | Source of starch, USC application device, concentration | (Iida et al., 2008) [4] |
| Time | (Bel Haaj et al., 2013) [6] | |
| Time | (Wei et al., 2021) [78] | |
| Power | (Yang, Lu et al., 2019) [45] | |
| High-amylose maize | Glycerol content | (Lima and Andrade, 2010) [89] |
| Amylomaize V | Source of starch | (Luo et al., 2008) [26] |
| Tapioca/cassava | Source of starch, USC application device, concentration | (Iida et al., 2008) [4] |
| Amplitude, time | (Manchun et al., 2012) [59] | |
| Amplitude, time, temperature | (Monroy et al., 2018) [52] | |
| Source of starch | (Minakawa et al., 2019) [64] | |
| Time | (Rahaman et al., 2021) [44] | |
| Wheat | Time | (Seguchi et al., 1994) [68] |
| Solvent, source of starch | (Sujka and Jamroz, 2013) [42] | |
| Source of starch, solvent | (Sujka, 2017) [3] | |
| Source of starch, time | (Kaur and Gill, 2019) [51] | |
| Source of starch, time | (Karwasra et al., 2020) [50] | |
| Barley | Source of starch, time | (Kaur an Gill, 2019) [51] |
| Oat | USC application device, time | (Falsafi et al., 2019) [31] |
| Millet | Frequency, temperature | (Hu et al., 2019) [32] |
| Frequency, time, concentration | (Li et al., 2019) [39] | |
| White finger millet | Single and dual treatments | (Amarnath et al., 2023) [27] |
| Foxtail millet | Single and dual treatments | (Babu et al., 2019) [28] |
| Quinoa | Source of starch, time | (Wei et al., 2023) [70] |
| Taro | Amplitude, time, cycle | (Sit et al., 2014) [18] |
| Time, source of starch | (Carmona-García et al., 2016) [61] | |
| Dual treatments | (Thomaz et al., 2020) [79] | |
| Purple taro | Amplitude | (Martins et al., 2020) [90] |
| Yam | Amplitude, time | (Bernardo et al., 2018) [47] |
| Source of starch | (Minakawa et al., 2019) [64] | |
| Arrowhead | Tri-frequency treatments, power, time | (Raza et al., 2021) [57] |
| Dual frequency, complex-formation | (Raza et al., 2023) [91] | |
| Plantain | Time, source of starch | (Carmona-García et al., 2016) [61] |
| Sago | Source of starch, solvent | (Chan et al., 2010) [48] |
| Pinhão | Modification method | (Gonçalves et al., 2014) [92] |
| Single and dual treatments | (Pinto et al., 2015) [75] | |
| Chestnut | Single and dual treatments | (Wang, Wu et al., 2020) [36] |
| Mung bean | Time, source of starch | (Chung et al., 2002) [80] |
| Source of starch, solvent | (Chan et al., 2010) [48] | |
| Pea | Single and dual treatments | (Han et al., 2021) [67] |
| Temperature | (Ouyang et al., 2021) [41] | |
| Power, time | (Zhang et al., 2021) [71] | |
| Temperature | (Han et al., 2023) [60] | |
| Single and dual treatments | (Hu et al., 2023) [63] | |
| Cowpea | Dual treatments | (Acevedo et al., 2022) [72] |
| Banana | Amplitude, time | (Orsuwan and Sothornvit, 2015) [93] |
| Amplitude | (Sun et al., 2022) [29] | |
| Kiwi | Power, time | (Wang, Lv et al., 2022) [58] |
| Retrograded starch (RS3) | Power | (Ding et al., 2019) [43] |
| FLOURS | ||
| Rice | Time, concentration | (Vela, Villanueva, Solaesa, et al., 2021) [53] |
| Temperature | (Vela, Villanueva and Ronda, 2021) [25] | |
| Water removal method | (Vela, Villanueva, Náthia-Neves, et al., 2023) [66] | |
| Corn | Water removal method | (Vela, Villanueva, Náthia-Neves, et al., 2023) [66] |
| Potato | Power, time | (Hou et al., 2023) [77] |
| Purple dawn sweet potato | Source of flour, time | (Cui and Zhu, 2020) [10] |
| Red sweet potato | Source of flour, time | (Cui and Zhu, 2020) [10] |
| Wheat | Source of flour, time | (Cui and Zhu, 2020) [10] |
| Tef | Temperature | (Vela, Villanueva, Li, et al., 2023) [54] |
| Temperature | (Vela, Villanueva, Ozturk, et al., 2023) [24] | |
| Water removal method | (Vela, Villanueva, Náthia-Neves, et al., 2023) [66] | |
| Canary seed | Temperature | (Náthia-Neves, et al., 2024) [73] |
| Quinoa | Time | (Zhu and Li, 2019) [65] |
| Water removal method | (Vela, Villanueva, Náthia-Neves, et al., 2023) [66] | |
| GRAINS | ||
| Rice | Temperature | (Cui et al., 2010) [55] |
| Time, temperature | (Park and Han, 2016) [76] | |
| Source of rice, amplitude, time | (Shah et al., 2023) [94] | |
| Buckwheat | Solvent, sonicated amount | (Harasym et al., 2020) [9] |
9. Conclusions
Supplementary Materials
Funding
Institutional Review Board Statement
Informed Consent Statement
Data Availability Statement
Acknowledgments
Conflicts of Interest
References
- Herceg, I.L.; Jambrak, A.R.; Šubarić, D.; Brnčić, M.; Brnčić, S.R.; Badanjak, M.; Tripalo, B.; Ježek, D.; Novotni, D.; Herceg, Z. Texture and pasting properties of ultrasonically treated corn starch. Czech J. Food Sci. 2010, 28, 83–93. [Google Scholar] [CrossRef]
- Bai, W.; Hébraud, P.; Ashokkumar, M.; Hemar, Y. Investigation on the pitting of potato starch granules during high frequency ultrasound treatment. Ultrason. Sonochem. 2017, 35, 547–555. [Google Scholar] [CrossRef] [PubMed]
- Sujka, M. Ultrasonic modification of starch—Impact on granules porosity. Ultrason. Sonochem. 2017, 37, 424–429. [Google Scholar] [CrossRef] [PubMed]
- Iida, Y.; Tuziuti, T.; Yasui, K.; Towata, A.; Kozuka, T. Control of viscosity in starch and polysaccharide solutions with ultrasound after gelatinization. Innov. Food Sci. Emerg. Technol. 2008, 9, 140–146. [Google Scholar] [CrossRef]
- Kang, N.; Zuo, Y.J.; Hilliou, L.; Ashokkumar, M.; Hemar, Y. Viscosity and hydrodynamic radius relationship of high-power ultrasound depolymerised starch pastes with different amylose content. Food Hydrocoll. 2016, 52, 183–191. [Google Scholar] [CrossRef]
- Bel Haaj, S.; Magnin, A.; Pétrier, C.; Boufi, S. Starch nanoparticles formation via high power ultrasonication. Carbohydr. Polym. 2013, 92, 1625–1632. [Google Scholar] [CrossRef] [PubMed]
- Jambrak, A.R.; Herceg, Z.; Šubarić, D.; Babić, J.; Brnčić, M.; Brnčić, S.R.; Bosiljkov, T.; Čvek, D.; Tripalo, B.; Gelo, J. Ultrasound effect on physical properties of corn starch. Carbohydr. Polym. 2010, 79, 91–100. [Google Scholar] [CrossRef]
- Zheng, J.; Li, Q.; Hu, A.; Yang, L.; Lu, J.; Zhang, X.; Lin, Q. Dual-frequency ultrasound effect on structure and properties of sweet potato starch. Starch/Staerke 2013, 65, 621–627. [Google Scholar] [CrossRef]
- Harasym, J.; Satta, E.; Kaim, U. Ultrasound treatment of buckwheat grains impacts important functional properties of resulting flour. Molecules 2020, 25, 3012. [Google Scholar] [CrossRef] [PubMed]
- Cui, R.; Zhu, F. Effect of ultrasound on structural and physicochemical properties of sweetpotato and wheat flours. Ultrason. Sonochem. 2020, 66, 105118. [Google Scholar] [CrossRef] [PubMed]
- Singh, J.; Kaur, L.; McCarthy, O.J. Factors influencing the physico-chemical, morphological, thermal and rheological properties of some chemically modified starches for food applications—A review. Food Hydrocoll. 2007, 21, 1–22. [Google Scholar] [CrossRef]
- Zhu, F. Impact of ultrasound on structure, physicochemical properties, modifications, and applications of starch. Trends Food Sci. Technol. 2015, 43, 1–17. [Google Scholar] [CrossRef]
- Amini, A.M.; Razavi, S.M.A.; Mortazavi, S.A. Morphological, physicochemical, and viscoelastic properties of sonicated corn starch. Carbohydr. Polym. 2015, 122, 282–292. [Google Scholar] [CrossRef] [PubMed]
- Chemat, F.; Zill-E-Huma; Khan, M.K. Applications of ultrasound in food technology: Processing, preservation and extraction. Ultrason. Sonochem. 2011, 18, 813–835. [Google Scholar] [CrossRef] [PubMed]
- Zuo, J.Y.; Knoerzer, K.; Mawson, R.; Kentish, S.; Ashokkumar, M. The pasting properties of sonicated waxy rice starch suspensions. Ultrason. Sonochem. 2009, 16, 462–468. [Google Scholar] [CrossRef]
- Czechowska-Biskup, R.; Rokita, B.; Lotfy, S.; Ulanski, P.; Rosiak, J.M. Degradation of chitosan and starch by 360-kHz ultrasound. Carbohydr. Polym. 2005, 60, 175–184. [Google Scholar] [CrossRef]
- Chatel, G.; Novikova, L.; Petit, S. How efficiently combine Sonochem. and clay science? Appl. Clay Sci. 2016, 119, 193–201. [Google Scholar] [CrossRef]
- Sit, N.; Misra, S.; Deka, S.C. Yield and Functional Properties of Taro Starch as Affected by Ultrasound. Food Bioprocess Technol. 2014, 7, 1950–1958. [Google Scholar] [CrossRef]
- Li, M.; Li, J.; Zhu, C. Effect of ultrasound pretreatment on enzymolysis and physicochemical properties of corn starch. Int. J. Biol. Macromol. 2018, 111, 848–856. [Google Scholar] [CrossRef] [PubMed]
- Zuo, Y.Y.J.; Hébraud, P.; Hemar, Y.; Ashokkumar, M. Quantification of high-power ultrasound induced damage on potato starch granules using light microscopy. Ultrason. Sonochem. 2012, 19, 421–426. [Google Scholar] [CrossRef] [PubMed]
- Gallant, D.; Degrois, M.; Sterling, C.; Guilbot, M. Microscopic effects of ultrasound on the structure of potato starch Preliminary study. Starch-Starke 1972, 24, 116–123. [Google Scholar] [CrossRef]
- Hemwimol, S.; Pavasant, P.; Shotipruk, A. Ultrasound-assisted extraction of anthraquinones from roots of Morinda citrifolia. Ultrason. Sonochem. 2006, 13, 543–548. [Google Scholar] [CrossRef] [PubMed]
- Yu, S.; Zhang, Y.; Ge, Y.; Zhang, Y.; Sun, T.; Jiao, Y.; Zheng, X.Q. Effects of ultrasound processing on the thermal and retrogradation properties of nonwaxy rice starch. J. Food Process Eng. 2013, 36, 793–802. [Google Scholar] [CrossRef]
- Vela, A.J.; Villanueva, M.; Ozturk, O.K.; Hamaker, B.; Ronda, F. Modification of the microstructure of tef [Eragrostis tef (Zucc.) Trotter] flour ultrasonicated at different temperatures. Impact on its techno-functional and rheological properties. Curr. Res. Food Sci. 2023, 6, 100456. [Google Scholar] [CrossRef] [PubMed]
- Vela, A.J.; Villanueva, M.; Ronda, F. Low-frequency ultrasonication modulates the impact of annealing on physicochemical and functional properties of rice flour. Food Hydrocoll. 2021, 120, 106933. [Google Scholar] [CrossRef]
- Luo, Z.; Fu, X.; He, X.; Luo, F.; Gao, Q.; Yu, S. Effect of ultrasonic treatment on the physicochemical properties of maize starches differing in amylose content. Starch/Staerke 2008, 60, 646–653. [Google Scholar] [CrossRef]
- Amarnath, M.S.; Muhammed, A.; Antony, A.K.; Malini, B.; Sunil, C.K. White finger millet starch: Physical modification (annealing and ultrasound), and its impact on physicochemical, functional, thermal and structural properties. Food Humanity 2023, 1, 599–606. [Google Scholar] [CrossRef]
- Babu, A.S.; Mohan, R.J.; Parimalavalli, R. Effect of single and dual-modifications on stability and structural characteristics of foxtail millet starch. Food Chem. 2019, 271, 457–465. [Google Scholar] [CrossRef]
- Sun, Y.; Yang, Y.; Zheng, L.; Zheng, X.; Xiao, D.; Wang, S.; Zhang, Z.; Ai, B.; Sheng, Z. Physicochemical, structural, and digestive properties of banana starch modified by ultrasound and resveratrol treatments. Foods 2022, 11, 3741. [Google Scholar] [CrossRef] [PubMed]
- Wang, H.; Xu, K.; Ma, Y.; Liang, Y.; Zhang, H.; Chen, L. Impact of ultrasonication on the aggregation structure and physicochemical characteristics of sweet potato starch. Ultrason. Sonochem. 2020, 63, 104868. [Google Scholar] [CrossRef] [PubMed]
- Falsafi, S.R.; Maghsoudlou, Y.; Rostamabadi, H.; Rostamabadi, M.M.; Hamedi, H.; Hosseini, S.M.H. Preparation of physically modified oat starch with different sonication treatments. Food Hydrocoll. 2019, 89, 311–320. [Google Scholar] [CrossRef]
- Hu, A.; Li, Y.; Zheng, J. Dual-frequency ultrasonic effect on the structure and properties of starch with different size. LWT 2019, 106, 254–262. [Google Scholar] [CrossRef]
- Cao, M.; Gao, Q. Effect of dual modification with ultrasonic and electric field on potato starch. Int. J. Biol. Macromol. 2020, 150, 637–643. [Google Scholar] [CrossRef] [PubMed]
- Su, Q.; Cai, S.; Duan, Q.; Huang, W.; Huang, Y.; Chen, P.; Xie, F. Combined effect of heat moisture and ultrasound treatment on the physicochemical, thermal and structural properties of new variety of purple rice starch. Int. J. Biol. Macromol. 2024, 26, 129748. [Google Scholar] [CrossRef] [PubMed]
- Wang, L.; Wang, M.; Zhou, Y.; Wu, Y.; Ouyang, J. Influence of ultrasound and microwave treatments on the structural and thermal properties of normal maize starch and potato starch: A comparative study. Food Chem. 2022, 377, 131990. [Google Scholar] [CrossRef] [PubMed]
- Wang, M.; Wu, Y.; Liu, Y.; Ouyang, J. Effect of ultrasonic and microwave dual-treatment on the physicochemical properties of chestnut starch. Polymers 2020, 12, 1718. [Google Scholar] [CrossRef] [PubMed]
- Flores-Silva, P.C.; Roldan-Cruz, C.A.; Chavez-Esquivel, G.; Vernon-Carter, E.J.; Bello-Perez, L.A.; Alvarez-Ramirez, J. In vitro digestibility of ultrasound-treated corn starch. Starch-Staerke 2017, 69, 1700040. [Google Scholar] [CrossRef]
- Huang, Q.; Li, L.; Fu, X. Ultrasound effects on the structure and chemical reactivity of cornstarch granules. Starch/Staerke 2007, 59, 371–378. [Google Scholar] [CrossRef]
- Li, Y.; Hu, A.; Zheng, J.; Wang, X. Comparative studies on structure and physiochemical changes of millet starch under microwave and ultrasound at the same power. Int. J. Biol. Macromol. 2019, 141, 76–84. [Google Scholar] [CrossRef] [PubMed]
- Yang, W.; Kong, X.; Zheng, Y.; Sun, W.; Chen, S.; Liu, D.; Zhang, H.; Fang, H.; Tian, J.; Ye, X. Controlled ultrasound treatments modify the morphology and physical properties of rice starch rather than the fine structure. Ultrason. Sonochem. 2019, 59, 104709. [Google Scholar] [CrossRef] [PubMed]
- Ouyang, Q.; Wang, X.; Xiao, Y.; Luo, F.; Lin, Q.; Ding, Y. Structural changes of A-, B- and C-type starches of corn, potato and pea as influenced by sonication temperature and their relationship with digestibility. Food Chem. 2021, 358, 129858. [Google Scholar] [CrossRef] [PubMed]
- Sujka, M.; Jamroz, J. Ultrasound-treated starch: SEM and TEM imaging, and functional behaviour. Food Hydrocoll. 2013, 31, 413–419. [Google Scholar] [CrossRef]
- Ding, Y.; Luo, F.; Lin, Q. Insights into the relations between the molecular structures and digestion properties of retrograded starch after ultrasonic treatment. Food Chem. 2019, 294, 248–259. [Google Scholar] [CrossRef] [PubMed]
- Rahaman, A.; Kumari, A.; Zeng, X.A.; Adil Farooq, M.; Siddique, R.; Khalifa, I.; Siddeeg, A.; Ali, M.; Faisal Manzoor, M. Ultrasound based modification and structural-functional analysis of corn and cassava starch. Ultrason. Sonochem. 2021, 80, 105795. [Google Scholar] [CrossRef] [PubMed]
- Yang, Q.Y.; Lu, X.X.; Chen, Y.Z.; Luo, Z.G.; Xiao, Z.G. Fine structure, crystalline and physicochemical properties of waxy corn starch treated by ultrasound irradiation. Ultrason. Sonochem. 2019, 51, 350–358. [Google Scholar] [CrossRef] [PubMed]
- Zhu, J.; Li, L.; Chen, L.; Li, X. Study on supramolecular structural changes of ultrasonic treated potato starch granules. Food Hydrocoll. 2012, 29, 116–122. [Google Scholar] [CrossRef]
- Bernardo, C.O.; Ascheri, J.L.R.; Chávez, D.W.H.; Carvalho, C.W.P. Ultrasound Assisted Extraction of Yam (Dioscorea bulbífera) Starch: Effect on Morphology and Functional Properties. Starch/Staerke 2018, 70, 1700185. [Google Scholar] [CrossRef]
- Chan, H.T.; Bhat, R.; Karim, A.A. Effects of sodium dodecyl sulphate and sonication treatment on physicochemical properties of starch. Food Chem. 2010, 120, 703–709. [Google Scholar] [CrossRef]
- Jin, J.; Lin, H.; Yagoub, A.E.G.A.; Xiong, S.; Xu, L.; Udenigwe, C.C. Effects of high power ultrasound on the enzymolysis and structures of sweet potato starch. J. Sci. Food Agric. 2020, 100, 3498–3506. [Google Scholar] [CrossRef] [PubMed]
- Karwasra, B.L.; Kaur, M.; Gill, B.S. Impact of ultrasonication on functional and structural properties of Indian wheat (Triticum aestivum L.) cultivar starches. Int. J. Biol. Macromol. 2020, 164, 1858–1866. [Google Scholar] [CrossRef] [PubMed]
- Kaur, H.; Gill, B.S. Effect of high-intensity ultrasound treatment on nutritional, rheological and structural properties of starches obtained from different cereals. Int. J. Biol. Macromol. 2019, 126, 367–375. [Google Scholar] [CrossRef] [PubMed]
- Monroy, Y.; Rivero, S.; García, M.A. Microstructural and techno-functional properties of cassava starch modified by ultrasound. Ultrason. Sonochem. 2018, 42, 795–804. [Google Scholar] [CrossRef] [PubMed]
- Vela, A.J.; Villanueva, M.; Solaesa, Á.G.; Ronda, F. Impact of high-intensity ultrasound waves on structural, functional, thermal and rheological properties of rice flour and its biopolymers structural features. Food Hydrocoll. 2021, 113, 106480. [Google Scholar] [CrossRef]
- Vela, A.J.; Villanueva, M.; Li, C.; Hamaker, B.; Ronda, F. Ultrasound treatments of tef [Eragrostis tef (Zucc.) Trotter] flour rupture starch α-(1,4) bonds and fragment amylose with modification of gelatinization properties. LWT 2023, 174, 114463. [Google Scholar] [CrossRef]
- Cui, L.; Pan, Z.; Yue, T.; Atungulu, G.G.; Berrios, J. Effect of ultrasonic treatment of brown rice at different temperatures on cooking properties and quality. Cereal Chem. 2010, 87, 403–408. [Google Scholar] [CrossRef]
- Hu, A.; Jiao, S.; Zheng, J.; Li, L.; Fan, Y.; Chen, L.; Zhang, Z. Ultrasonic frequency effect on corn starch and its cavitation. LWT 2015, 60, 941–947. [Google Scholar] [CrossRef]
- Raza, H.; Ameer, K.; Ma, H.; Liang, Q.; Ren, X. Structural and physicochemical characterization of modified starch from arrowhead tuber (Sagittaria sagittifolia L.) using tri-frequency power ultrasound. Ultrason. Sonochem. 2021, 80, 105826. [Google Scholar] [CrossRef]
- Wang, J.; Lv, X.; Lan, T.; Lei, Y.; Suo, J.; Zhao, Q.; Lei, J.; Sun, X.; Ma, T. Modification in structural, physicochemical, functional, and in vitro digestive properties of kiwi starch by high-power ultrasound treatment. Ultrason. Sonochem. 2022, 86, 106004. [Google Scholar] [CrossRef] [PubMed]
- Manchun, S.; Nunthanid, J.; Limmatvapirat, S.; Sriamornsak, P. Effect of ultrasonic treatment on physical properties of tapioca starch. Adv. Mater. Res. 2012, 506, 294–297. [Google Scholar] [CrossRef]
- Han, L.; Huang, J.; Yu, Y.; Thakur, K.; Wei, Z.; Xiao, L.; Yang, X. The alterations in granule, shell, blocklets, and molecular structure of pea starch induced by ultrasound. Int. J. Biol. Macromol. 2023, 240, 124319. [Google Scholar] [CrossRef]
- Carmona-García, R.; Bello-Pérez, L.A.; Aguirre-Cruz, A.; Aparicio-Saguilán, A.; Hernández-Torres, J.; Alvarez-Ramirez, J. Effect of ultrasonic treatment on the morphological, physicochemical, functional, and rheological properties of starches with different granule size. Starch/Staerke 2016, 68, 972–979. [Google Scholar] [CrossRef]
- Degrois, M.; Gallant, D.; Baldo, P.; Guilbot, A. The effects of ultrasound on starch grains. Ultrasonics 1974, 12, 129–131. [Google Scholar] [CrossRef]
- Hu, R.; Wu, L.; Liao, X.; Zhang, F.; Zheng, J. Synergistic modification of ultrasound and bamboo leaf flavonoid on the rheological properties, multi-scale structure, and in vitro digestibility of pea starch. Food Chem. 2023, 429, 136959. [Google Scholar] [CrossRef] [PubMed]
- Minakawa, A.F.K.; Faria-Tischer, P.C.S.; Mali, S. Simple ultrasound method to obtain starch micro- and nanoparticles from cassava, corn and yam starches. Food Chem. 2019, 283, 11–18. [Google Scholar] [CrossRef] [PubMed]
- Zhu, F.; Li, H. Modification of quinoa flour functionality using ultrasound. Ultrason. Sonochem. 2019, 52, 305–310. [Google Scholar] [CrossRef]
- Vela, A.J.; Villanueva, M.; Náthia-Neves, G.; Ronda, F. Impact of solubilized substances on the techno-functional, pasting and rheological properties of ultrasound-modified rice, tef, corn and quinoa flours. Foods 2023, 12, 484. [Google Scholar] [CrossRef] [PubMed]
- Han, L.; Cao, S.; Yu, Y.; Xu, X.; Cao, X.; Chen, W. Modification in physicochemical, structural and digestive properties of pea starch during heat-moisture process assisted by pre- and post-treatment of ultrasound. Food Chem. 2021, 360, 129929. [Google Scholar] [CrossRef] [PubMed]
- Seguchi, M.; Higasa, T.; Mori, T. Study of wheat starch structures by sonication treatment. Cereal Chem. 1994, 71, 636–639. [Google Scholar]
- Isono, Y.; Watanabe, T.; Kumagai, T. Ultrasonic degradation of waxy rice starch. Biosci. Biotechnol. Biochem. 1994, 58, 1799–1802. [Google Scholar] [CrossRef][Green Version]
- Wei, Y.; Li, G.; Zhu, F. Impact of long-term ultrasound treatment on structural and physicochemical properties of starches differing in granule size. Carbohydr. Polym. 2023, 320, 121195. [Google Scholar] [CrossRef] [PubMed]
- Zhang, B.; Xiao, Y.; Wu, X.; Luo, F.; Lin, Q.; Ding, Y. Changes in structural, digestive, and rheological properties of corn, potato, and pea starches as influenced by different ultrasonic treatments. Int. J. Biol. Macromol. 2021, 185, 206–218. [Google Scholar] [CrossRef] [PubMed]
- Acevedo, B.A.; Villanueva, M.; Chaves, M.G.; Avanza, M.; Ronda, F. Modification of structural and physicochemical properties of cowpea (Vigna unguiculata) starch by hydrothermal and ultrasound treatments. Food Hydrocoll. 2022, 124 Pt A, 107266. [Google Scholar] [CrossRef]
- Náthia-Neves, G.; Villanueva, M.; Ronda, F. Impact of lipids on the functional, rheological, pasting and thermal properties of ultrasound-processed canary seed flours. Food Hydrocoll. 2024, 150, 109727. [Google Scholar] [CrossRef]
- Hu, A.; Li, L.; Zheng, J.; Lu, J.; Meng, X.; Liu, Y. Different-frequency ultrasonic effects on properties and structure of corn starch. J. Sci. Food Agric. 2014, 94, 2929–2934. [Google Scholar] [CrossRef] [PubMed]
- Pinto, V.Z.; Vanier, N.L.; Deon, V.G.; Moomand, K.; el Halal, S.L.M.; Zavareze, E.D.R.; Lim, L.T.; Dias, A.R.G. Effects of single and dual physical modifications on pinhão starch. Food Chem. 2015, 187, 98–105. [Google Scholar] [CrossRef] [PubMed]
- Park, D.J.; Han, J.A. Quality controlling of brown rice by ultrasound treatment and its effect on isolated starch. Carbohydr. Polym. 2016, 137, 30–38. [Google Scholar] [CrossRef] [PubMed]
- Hou, X.; Li, X.; Li, J.; Cong, J.; Jiang, L.; Shen, G.; Chen, A.; Zhang, Z. Changes in the structural and physicochemical characteristics of sonicated potato flour. Ultrason. Sonochem. 2023, 99, 106573. [Google Scholar] [CrossRef] [PubMed]
- Wei, B.; Qi, H.; Zuo, J.; Li, H.; Wang, J.; Xu, B.; Ma, H. Degradation mechanism of amylopectin under ultrasonic irradiation. Food Hydrocoll. 2021, 111, 106371. [Google Scholar] [CrossRef]
- Thomaz, L.; Ito, V.C.; Malucelli, L.C.; da Silva Carvalho Filho, M.A.; Demiate, I.M.; Bet, C.D.; Marinho, M.T.; Schnitzler, E.; Lacerda, L.G. Effects of dual modification on thermal, structural and pasting properties of taro (Colocasia esculenta L.) starch. J. Therm. Anal. Calorim. 2020, 139, 3123–3132. [Google Scholar] [CrossRef]
- Chung, K.M.; Moon, T.W.; Kim, H.; Chun, J.K. Physicochemical properties of sonicated mung bean, potato, and rice starches. Cereal Chem. 2002, 79, 631–633. [Google Scholar] [CrossRef]
- Flores-Silva, P.C.; Alvarez-Ramirez, J.; Bello-Perez, L.A. Effect of Dual Modification Order with Ultrasound and Hydrothermal Treatments on Starch Digestibility. Starch/Staerke 2018, 70, 1700284. [Google Scholar] [CrossRef]
- Nie, H.; Li, C.; Liu, P.H.; Lei, C.Y.; Li, J. Retrogradation, gel texture properties, intrinsic viscosity and degradation mechanism of potato starch paste under ultrasonic irradiation. Food Hydrocoll. 2019, 95, 590–600. [Google Scholar] [CrossRef]
- Englyst, K.N.; Englyst, H.N.; Hudson, G.K.; Cole, T.J.; Cummings, J.H. Rapidly available glucose in foods: An in vitro measurement that reflects the glycemic response. Am. J. Clin. Nutr. 1999, 69, 448–454. [Google Scholar] [CrossRef] [PubMed]
- Azhar, A.; Hamdy, M.K. Sonication effect on potato starch and sweet potato powder. J. Food Sci. 1979, 44, 801–804. [Google Scholar] [CrossRef]
- Zhou, Y.; Wang, M.; Wang, L.; Liu, L.; Wu, Y.; Ouyang, J. Comparison of the effect of ultrasound and microwave on the functional properties and in vitro digestibility of normal maize starch and potato starch. J. Food Process Eng. 2022, 46, e14222. [Google Scholar] [CrossRef]
- Ulfa, G.M.; Putri, W.D.R.; Fibrianto, K.; Widjanarko, S.B. Optimization of temperature and reaction influence on ultrasound-modified sweet potato starch. Food Res. 2023, 7 (Suppl. S1), 133–138. [Google Scholar] [CrossRef] [PubMed]
- Li, S.; Li, Q.; Zhu, F.; Song, H.; Wang, C.; Guan, X. Effect of vacuum combined ultrasound treatment on the fine structure and physicochemical properties of rice starch. Food Hydrocoll. 2022, 124 Pt A, 107198. [Google Scholar] [CrossRef]
- Yilmaz, A.; Tugrul, N. Effect of ultrasound-microwave and microwave-ultrasound treatment on physicochemical properties of corn starch. Ultrason. Sonochem. 2023, 98, 106516. [Google Scholar] [CrossRef] [PubMed]
- Lima, F.F.; Andrade, C.T. Effect of melt-processing and ultrasonic treatment on physical properties of high-amylose maize starch. Ultrason. Sonochem. 2010, 17, 637–641. [Google Scholar] [CrossRef] [PubMed]
- Martins, A.; Beninca, C.; Bet, C.D.; Bisinella, R.Z.B.; de Oliveira, C.S.; Hornung, P.S.; Schnitzler, E. Ultrasonic modification of purple taro starch (Colocasia esculenta B. Tini): Structural, psychochemical and thermal properties. J. Therm. Anal. Calorim. 2020, 142, 819–828. [Google Scholar] [CrossRef]
- Raza, H.; Ameer, K.; Ren, X.; Liu, Y.; Kang, L.; Liang, Q.; Guo, T.; Ma, H.; Wang, M. Synergistic impact of heat-ultrasound treatment on the properties and digestibility of Sagittaria sagittifolia L. starch-phenolic acid complexes. Int. J. Biol. Macromol. 2023, 245, 125457. [Google Scholar] [CrossRef] [PubMed]
- Gonçalves, P.M.; Noreña, C.P.Z.; da Silveira, N.P.; Brandelli, A. Characterization of starch nanoparticles obtained from Araucaria angustifolia seeds by acid hydrolysis and ultrasound. LWT 2014, 58, 21–27. [Google Scholar] [CrossRef]
- Orsuwan, A.; Sothornvit, R. Effect of miniemulsion cross-linking and ultrasonication on properties of banana starch. Int. J. Food Sci. Technol. 2015, 50, 298–304. [Google Scholar] [CrossRef]
- Shah, A.; Wang, Y.; Tao, H.; Zhang, W.; Cao, S. Insights into the structural characteristics and in vitro starch digestibility on parboiled rice as affected by ultrasound treatment in soaking process. Food Chem. X 2023, 19, 100816. [Google Scholar] [CrossRef]










Disclaimer/Publisher’s Note: The statements, opinions and data contained in all publications are solely those of the individual author(s) and contributor(s) and not of MDPI and/or the editor(s). MDPI and/or the editor(s) disclaim responsibility for any injury to people or property resulting from any ideas, methods, instructions or products referred to in the content. |
© 2024 by the authors. Licensee MDPI, Basel, Switzerland. This article is an open access article distributed under the terms and conditions of the Creative Commons Attribution (CC BY) license (https://creativecommons.org/licenses/by/4.0/).
Share and Cite
Vela, A.J.; Villanueva, M.; Ronda, F. Ultrasonication: An Efficient Alternative for the Physical Modification of Starches, Flours and Grains. Foods 2024, 13, 2325. https://doi.org/10.3390/foods13152325
Vela AJ, Villanueva M, Ronda F. Ultrasonication: An Efficient Alternative for the Physical Modification of Starches, Flours and Grains. Foods. 2024; 13(15):2325. https://doi.org/10.3390/foods13152325
Chicago/Turabian StyleVela, Antonio J., Marina Villanueva, and Felicidad Ronda. 2024. "Ultrasonication: An Efficient Alternative for the Physical Modification of Starches, Flours and Grains" Foods 13, no. 15: 2325. https://doi.org/10.3390/foods13152325
APA StyleVela, A. J., Villanueva, M., & Ronda, F. (2024). Ultrasonication: An Efficient Alternative for the Physical Modification of Starches, Flours and Grains. Foods, 13(15), 2325. https://doi.org/10.3390/foods13152325

