Non-Destructive Inspection of Physicochemical Indicators of Lettuce at Rosette Stage Based on Visible/Near-Infrared Spectroscopy
Abstract
1. Introduction
2. Materials and Methods
2.1. Experimental Materials
2.2. Measurement Indicators and Methods
2.2.1. Determination of Soluble Solids Content
2.2.2. Determination of Moisture Content
2.2.3. Determination of Vitamin C
2.3. Visible/Near-Infrared Spectral Acquisition
2.4. Modeling and Evaluation Methodology
3. Results
3.1. Changes in Physicochemical Index Parameters with Time in Lettuce at Rosette Stage
3.2. Characteristics of Visible/Near-Infrared Diffuse Reflectance Spectra of Lettuce at Rosette Stage and Changing Law
3.2.1. Characterization of Visible/Near-Infrared Diffuse Reflectance Spectra of Lettuce at Rosette Stage
3.2.2. Changing Pattern of Visible/Near-Infrared Diffuse Reflectance Spectra of Lettuce at Rosette Stage
3.3. Classification of the Sample Set
3.4. Spectral Data Preprocessing
3.5. Spectral Characteristic Wavelength Selection
3.5.1. CARS Method for Extracting Characteristic Wavelengths
3.5.2. UVE Method for Extracting Characteristic Wavelengths
3.5.3. SPA Method for Extracting Characteristic Wavelengths
3.6. Modeling and Validation of Effects
3.6.1. Modeling
3.6.2. Validation of Effects
3.7. Portable Visible/Near-Infrared Spectroscopy Testing Device for Lettuce Physical and Chemical Indicators
3.7.1. Detection Device Design
3.7.2. Software Design
3.8. Device Performance Testing Experiment
4. Discussion
Author Contributions
Funding
Data Availability Statement
Conflicts of Interest
References
- Ye, Z.; Tan, X.; Dai, M.; Chen, X.; Zhong, Y.; Zhang, Y.; Ruan, Y.; Kong, D. A hyperspectral deep learning attention model for predicting lettuce chlorophyll content. Plant Methods 2024, 20, 22. [Google Scholar] [CrossRef] [PubMed]
- Ling, C.; Wang, Y.; Pang, X.B.; Li, Z.L.; Deng, C.; Xu, Z.J. Progress of lettuce variety selection and new variety protection in China. Chin. Veg. 2022, 02, 5–12. [Google Scholar] [CrossRef]
- Kim, M.J.; Moon, Y.; Tou, J.C.; Mou, B.; Waterland, N.L. Nutritional value, bioactive compounds and health benefits of lettuce (Lactuca sativa L.). J. Food Compos. Anal. 2016, 49, 19–34. [Google Scholar] [CrossRef]
- Yang, X.; Gil, M.I.; Yang, Q.; Tomás-Barberán, F.A. Bioactive compounds in lettuce: Highlighting the benefits to human health and impacts of preharvest and postharvest practices. Compr. Rev. Food Sci. Food Saf. 2021, 21, 4–45. [Google Scholar] [CrossRef] [PubMed]
- Nicolle, C.; Cardinault, N.; Gueux, E.; Jaffrelo, L.; Rock, E.; Mazur, A.; Amouroux, P.; Rémésy, C. Health effect of vegetable-based diet: Lettuce consumption improves cholesterol metabolism and antioxidant status in the rat. Clin. Nutr. 2004, 23, 605–614. [Google Scholar] [CrossRef] [PubMed]
- Sun, H.X.; Wang, R.R.; Zhang, S.; Ren, R.; Su, L.; Lu, X. Determination of soluble solids content of Jade Dew pear based on visible/near-infrared spectroscopy. Agric. Prod. Process. 2023, 46–48+54. [Google Scholar] [CrossRef]
- Shen, Y.L. Research on Optical Measurement Method of Water Content of Lettuce Leaves. Master’s Thesis, Hebei Agricultural University, Baoding, China, 2020. [Google Scholar] [CrossRef]
- He, B.S.; Zhang, C.H.; Zuo, C.; Wang, D.; Li, C.; Li, H.; Ma, B.; Yuan, C. Research progress on the detection of vitamin C content in food. Jiangxi J. Agric. 2010, 22, 111–114+117. [Google Scholar] [CrossRef]
- Li, H.Q.; Sun, H.; Li, M.Z. Detection of vitamin C content in nodular kale based on visible/short-wave near-infrared spectroscopy. J. Agric. Eng. 2018, 34, 269–275. [Google Scholar]
- Yusmanizar; Setiasih, I.S.; Nurjanah, S.; Muhaeimin, M.; Nurhadi, B.; Rosniawaty, S.; Munawar, A.A. Fast and non-destructive prediction of moisture content and chologenic acid of intact coffee beans using near-infrared reflectance spectroscopy. IOP Conf. Series: Mater. Sci. Eng. 2019, 506, 012033. [Google Scholar] [CrossRef]
- Zhang, Y.; Guo, W. Moisture content detection of maize seed based on visible/near-infrared and near-infrared hyperspectral imaging technology. Int. J. Food Sci. Technol. 2020, 55, 631–640. [Google Scholar] [CrossRef]
- Shang, M.; Xue, L.; Jiang, W.; Cheng, B.; Li, Z.; Liu, M.; Li, J. Sorting of navel orange soluble solids content based on online near-infrared spectroscopy. Int. J. Food Eng. 2023, 19, 487–495. [Google Scholar] [CrossRef]
- Zhao, F.; Du, G.; Huang, Y. Exploring the use of near-infrared spectroscopy as a tool to predict quality attributes in prickly pear (Rosa roxburghii Tratt) with chemometrics variable strategy. J. Food Compos. Anal. 2021, 105, 104225. [Google Scholar] [CrossRef]
- Wang, T.T.; Feng, G.H.; Zhu, Y.J. Rapid determination of soluble solids and vitamin C content in blueberries by near-infrared spectroscopy combined with chemometrics. Food Ind. Sci. Technol. 2023, 44, 297–305. [Google Scholar] [CrossRef]
- Gao, S. Development of Spectral/Image Nondestructive Testing Technology and Device for Internal Quality of Red Grapes. Ph.D. Thesis, Huazhong Agricultural University, Wuhan, China, 2020. [Google Scholar]
- Lang, L. Development of a Visible/Near-Infrared Spectroscopy Detector for Fruit Brix. Ph.D. Thesis, Zhejiang University, Hangzhou, China, 2016. [Google Scholar]
- Ye, Z.F. Research on Non-Destructive Detection of Sex of Early Hatching Chicken Embryo Eggs Based on Spectral-Image Information. Master’s Thesis, Huazhong Agricultural University, Wuhan, China, 2022. [Google Scholar]
- Liu, F. Research on the Mechanism and Method of Rapid Nondestructive Detection of Life Information of Oilseed Rape Based on Spectral and Multispectral Imaging Technology. Ph.D. Thesis, Zhejiang University, Hangzhou, China, 2011. [Google Scholar]
- Dong, J.L.; Guo, W.C. Nondestructive determination of apple internal qualities using near-infrared hyperspectral reflectance imaging. Food Anal. Methods 2015, 8, 2635–2646. [Google Scholar] [CrossRef]
- Cong, S.L. Research on Detection of Multiple Pesticide Residues in Lettuce Leaves Based on Hyperspectral Image Technology. Master’s Thesis, Jiangsu University, Zhenjiang, China, 2019. [Google Scholar]
- Tian, W.Q. Spectral-Image Based Nondestructive Detection of Internal Quality of Salted Eggs during Pickling Period. Master’s Thesis, Huazhong Agricultural University, Wuhan, China, 2023. [Google Scholar]
- Wang, J.; Wang, L.S.; Wang, R.J. Visible/near-infrared spectral analysis of total nitrogen content of compound fertilizer based on preferred wavelength. J. Lumin. 2018, 39, 1785–1791. [Google Scholar]
- Wang, F.; Peng, Y.; Tang, X.; Li, L.; Li, Y. Nondestructive visible/near-infrared transmission spectroscopy for soluble solids content of cherry tomatoes. Chin. J. Food 2018, 18, 235–240. [Google Scholar] [CrossRef]
- Shi, Y.Y.; Li, J.Y.; Chu, X.L. Progress and application of multivariate correction modeling transfer methods. Anal. Chem. 2019, 47, 479–487. [Google Scholar] [CrossRef]
- Tian, W.Q. Non-Destructive Detection of Internal Quality of Salted Eggs during Pickling Period Based on Spectral-Image. Master’s Thesis, Huazhong Agricultural University, Wuhan, China, 2023. [Google Scholar]
- Savitzky, A.; Golay, M.J.E. Smoothing and differentiation of data by simplified least squares procedures. Anal. Chem. 1964, 36, 1627–1639. [Google Scholar] [CrossRef]
- Chen, B.W. Prediction of Timber Properties of Winged Podocarp Plantation Forests Based on Fourier Infrared Spectroscopy. Master’s Thesis, Fujian University of Agriculture and Forestry, Fuzhou, China, 2022. [Google Scholar]














| Indicators | Sample Set | Maximum Values | Minimum Value | Average Value | Standard Deviation |
|---|---|---|---|---|---|
| SSC/°Brix | calibration set | 4.84 | 1.48 | 2.68 | 0.6323 |
| prediction set | 4.00 | 1.74 | 2.56 | 0.5422 | |
| MC/% | calibration set | 97.27 | 88.57 | 92.31 | 2.0924 |
| prediction set | 96.59 | 87.89 | 92.03 | 2.3821 | |
| VC/% | calibration set | 44.63 | 6.33 | 18.74 | 8.9190 |
| prediction set | 42.00 | 7.28 | 19.09 | 8.8027 |
| Indicators | Preprocessing Methods | Lvs Number of Principal Factors | Calibration Set | Prediction Set | RPD | ||
|---|---|---|---|---|---|---|---|
| RMSEC | RMSEP | ||||||
| SSC | RAW | 16 | 0.8758 | 0.3041 | 0.7093 | 0.3800 | 1.4268 |
| MVN | 13 | 0.8462 | 0.3357 | 0.6640 | 0.4062 | 1.3348 | |
| Center | 16 | 0.8761 | 0.3034 | 0.7087 | 0.3824 | 1.4247 | |
| Nor | 16 | 0.8711 | 0.3093 | 0.6878 | 0.3944 | 1.3748 | |
| MA | 16 | 0.8508 | 0.3310 | 0.7069 | 0.3808 | 1.4238 | |
| S_G | 21 | 0.8771 | 0.2718 | 0.8508 | 0.3839 | 1.9130 | |
| SNV | 14 | 0.8602 | 0.3222 | 0.6746 | 0.4024 | 1.3460 | |
| MSC | 11 | 0.8047 | 0.3658 | 0.7749 | 0.3953 | 1.4640 | |
| MC | RAW | 15 | 0.5730 | 2.8119 | 0.3948 | 5.2439 | 0.4543 |
| MVN | 15 | 0.9749 | 0.4649 | 0.7413 | 1.6321 | 1.4596 | |
| Center | 13 | 0.9587 | 0.5824 | 0.8374 | 1.2601 | 1.8749 | |
| Nor | 14 | 0.9610 | 0.5767 | 0.8485 | 1.2654 | 1.8824 | |
| MA | 16 | 0.5661 | 2.7600 | 0.4105 | 5.2676 | 0.4522 | |
| S_G | 16 | 0.8493 | 1.1696 | 0.8465 | 1.0296 | 1.8947 | |
| SNV | 15 | 0.9745 | 0.4972 | 0.7801 | 1.2984 | 1.5405 | |
| MSC | 14 | 0.9786 | 0.4455 | 0.8391 | 1.1571 | 1.8421 | |
| VC | RAW | 13 | 0.9041 | 3.7928 | 0.6560 | 6.7292 | 1.3124 |
| MVN | 12 | 0.8973 | 3.9184 | 0.6534 | 6.6583 | 1.3265 | |
| Center | 13 | 0.9244 | 3.5724 | 0.6604 | 6.6912 | 1.3197 | |
| Nor | 13 | 0.9080 | 3.7184 | 0.6668 | 6.5634 | 1.3457 | |
| MA | 13 | 0.8749 | 4.2981 | 0.6636 | 6.6278 | 1.3326 | |
| S_G | 13 | 0.7923 | 5.3987 | 0.7888 | 5.4520 | 1.6285 | |
| SNV | 10 | 0.8532 | 4.5439 | 0.6597 | 6.5950 | 1.3384 | |
| MSC | 11 | 0.8675 | 4.4935 | 0.6355 | 6.3393 | 1.2520 | |
| Indicators | Characteristic Wavelength Selection Methods | Number of Characteristic Wave Points | Lvs Number of Principal Factors | Calibration Set | Prediction Set | RPD | ||
|---|---|---|---|---|---|---|---|---|
| RMSEC | RMSEP | |||||||
| SSC | Raw | 1360 | 15 | 0.8376 | 0.3144 | 0.8204 | 0.4152 | 1.7986 |
| CARS | 22 | 18 | 0.8149 | 0.3382 | 0.8032 | 0.4318 | 1.7228 | |
| UVE | 468 | 17 | 0.8548 | 0.2976 | 0.8369 | 0.4007 | 1.8745 | |
| SPA | 17 | 15 | 0.7341 | 0.4123 | 0.7071 | 0.5297 | 1.3649 | |
| MC | Raw | 1360 | 13 | 0.9247 | 0.8742 | 0.8169 | 1.3986 | 1.6892 |
| CARS | 24 | 14 | 0.8697 | 1.1276 | 0.8410 | 1.3094 | 1.8447 | |
| UVE | 464 | 19 | 0.9174 | 0.9114 | 0.8223 | 1.3841 | 1.7134 | |
| SPA | 18 | 16 | 0.7468 | 1.5329 | 0.8041 | 1.4763 | 1.6053 | |
| VC | Raw | 1360 | 16 | 0.7496 | 5.8320 | 0.7310 | 6.0328 | 1.5012 |
| CARS | 21 | 18 | 0.7213 | 6.1108 | 0.7031 | 6.4914 | 1.4361 | |
| UVE | 434 | 17 | 0.8146 | 5.1817 | 0.7849 | 5.4597 | 1.6298 | |
| SPA | 23 | 19 | 0.7231 | 6.0986 | 0.5527 | 7.6327 | 1.2049 | |
| Indicators | Characteristic Wavelength Selection Methods | Number of Characteristic Wave Points | Lvs Number of Principal Factors | Calibration Set | Prediction Set | RPD | ||
|---|---|---|---|---|---|---|---|---|
| RMSEC | RMSEP | |||||||
| SSC | Raw | 1360 | 21 | 0.8771 | 0.2718 | 0.8508 | 0.3839 | 1.9130 |
| CARS | 25 | 23 | 0.8528 | 0.2955 | 0.8290 | 0.4075 | 1.8023 | |
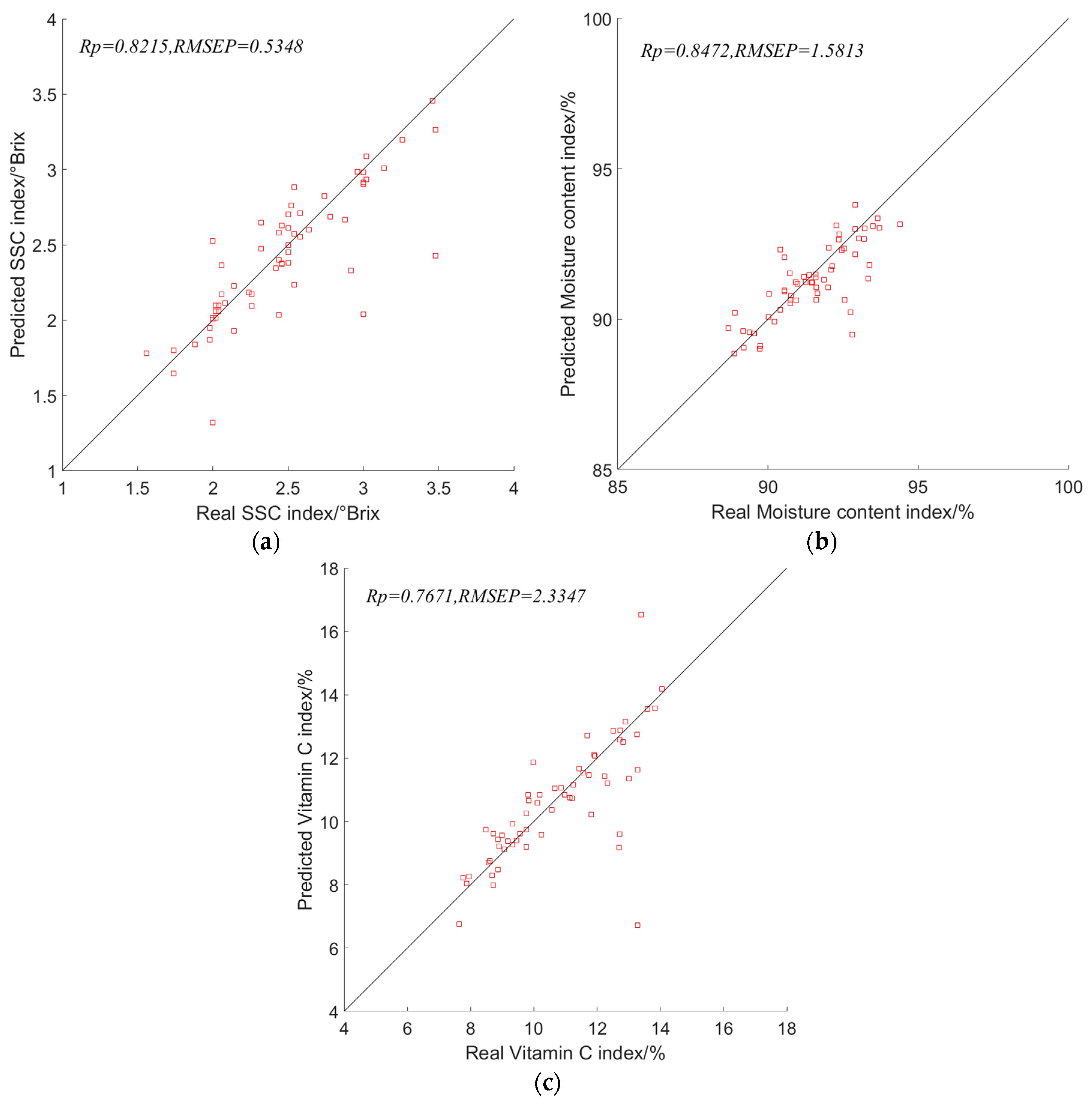
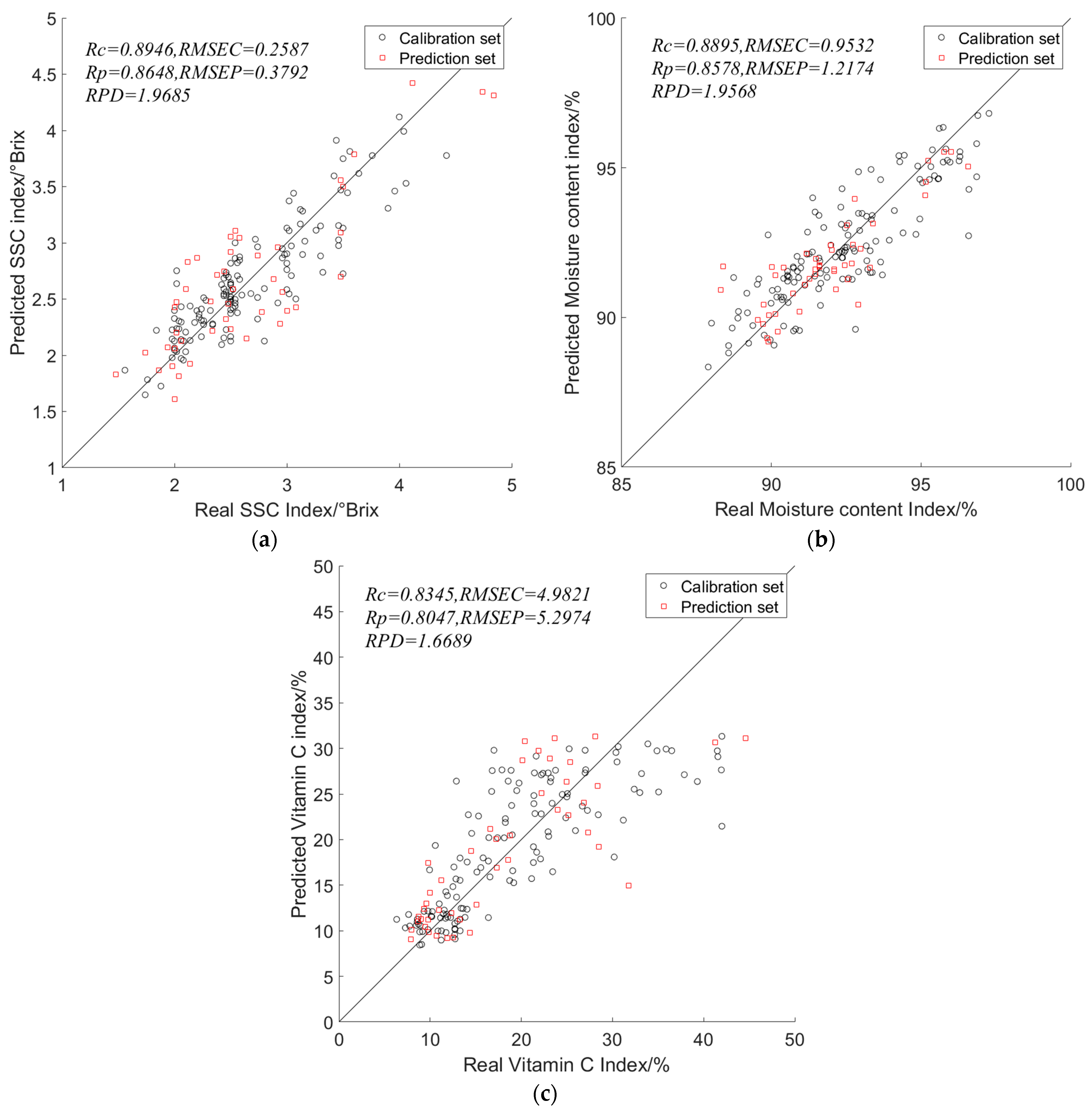
| UVE | 437 | 20 | 0.8946 | 0.2587 | 0.8648 | 0.3792 | 1.9685 | |
| SPA | 17 | 9 | 0.7766 | 0.3968 | 0.7272 | 0.377 | 1.4383 | |
| MC | Raw | 1360 | 14 | 0.9610 | 0.5767 | 0.8485 | 1.2654 | 1.8824 |
| CARS | 33 | 8 | 0.8895 | 0.9532 | 0.8578 | 1.2174 | 1.9568 | |
| UVE | 445 | 15 | 0.9528 | 0.6330 | 0.8475 | 1.2626 | 1.8867 | |
| SPA | 16 | 14 | 0.7998 | 1.2544 | 0.8382 | 1.3451 | 1.7710 | |
| VC | Raw | 1360 | 13 | 0.7923 | 5.3987 | 0.7888 | 5.4520 | 1.6285 |
| CARS | 20 | 20 | 0.7478 | 5.8800 | 0.7682 | 5.6500 | 1.5714 | |
| UVE | 417 | 25 | 0.8345 | 4.9821 | 0.8047 | 5.2974 | 1.6689 | |
| SPA | 21 | 16 | 0.7549 | 5.8262 | 0.5843 | 7.1427 | 1.2365 | |
| Indicators | Characteristic Wavelength Selection Methods | Number of Characteristic Wave Points | Calibration Set | Prediction Set | RPD | ||||
|---|---|---|---|---|---|---|---|---|---|
| RMSEC | RMSEP | ||||||||
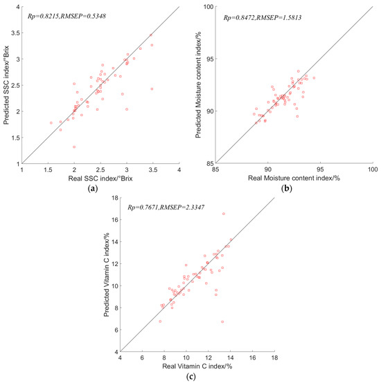
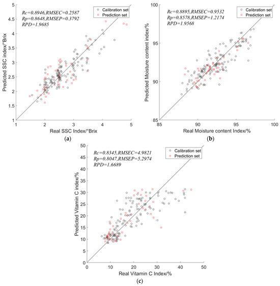
| SSC | Raw | 1360 | 12,546 | 4138 | 0.8704 | 0.2802 | 0.8106 | 0.4339 | 1.6789 |
| CARS | 21 | 14,762 | 4684 | 0.7031 | 0.4068 | 0.7666 | 0.5042 | 1.4414 | |
| UVE | 487 | 9547 | 3621 | 0.8470 | 0.3023 | 0.7941 | 0.4505 | 1.6124 | |
| SPA | 16 | 11,436 | 3847 | 0.6973 | 0.4440 | 0.7861 | 0.4301 | 1.5499 | |
| MC | Raw | 1360 | 9201 | 2548 | 0.8348 | 1.2345 | 0.8137 | 1.4682 | 1.6685 |
| CARS | 29 | 9847 | 2998 | 0.8246 | 1.2897 | 0.8067 | 1.5078 | 1.6347 | |
| UVE | 383 | 8479 | 2136 | 0.8547 | 1.1049 | 0.8320 | 1.3746 | 1.7649 | |
| SPA | 18 | 10,345 | 3478 | 0.8147 | 1.3946 | 0.7698 | 2.1439 | 1.4581 | |
| VC | Raw | 1360 | 9678 | 3147 | 0.7452 | 5.9123 | 0.7149 | 7.1948 | 1.4138 |
| CARS | 26 | 10,698 | 3657 | 0.7346 | 6.0314 | 0.7039 | 7.3124 | 1.3887 | |
| UVE | 427 | 8524 | 2237 | 0.7982 | 5.4497 | 0.7586 | 6.7536 | 1.5248 | |
| SPA | 19 | 10,169 | 4079 | 0.7534 | 5.8017 | 0.7228 | 7.1146 | 1.4376 | |
Disclaimer/Publisher’s Note: The statements, opinions and data contained in all publications are solely those of the individual author(s) and contributor(s) and not of MDPI and/or the editor(s). MDPI and/or the editor(s) disclaim responsibility for any injury to people or property resulting from any ideas, methods, instructions or products referred to in the content. |
© 2024 by the authors. Licensee MDPI, Basel, Switzerland. This article is an open access article distributed under the terms and conditions of the Creative Commons Attribution (CC BY) license (https://creativecommons.org/licenses/by/4.0/).
Share and Cite
Li, W.; Wang, Q.; Wang, Y. Non-Destructive Inspection of Physicochemical Indicators of Lettuce at Rosette Stage Based on Visible/Near-Infrared Spectroscopy. Foods 2024, 13, 1863. https://doi.org/10.3390/foods13121863
Li W, Wang Q, Wang Y. Non-Destructive Inspection of Physicochemical Indicators of Lettuce at Rosette Stage Based on Visible/Near-Infrared Spectroscopy. Foods. 2024; 13(12):1863. https://doi.org/10.3390/foods13121863
Chicago/Turabian StyleLi, Wei, Qiaohua Wang, and Yingli Wang. 2024. "Non-Destructive Inspection of Physicochemical Indicators of Lettuce at Rosette Stage Based on Visible/Near-Infrared Spectroscopy" Foods 13, no. 12: 1863. https://doi.org/10.3390/foods13121863
APA StyleLi, W., Wang, Q., & Wang, Y. (2024). Non-Destructive Inspection of Physicochemical Indicators of Lettuce at Rosette Stage Based on Visible/Near-Infrared Spectroscopy. Foods, 13(12), 1863. https://doi.org/10.3390/foods13121863

