Assessment of Different Levels of Blackcurrant Juice and Furcellaran on the Quality of Fermented Whey-Based Beverages Using Rheological and Mechanical Vibration Damping Techniques
Abstract
1. Introduction
2. Materials and Methods
2.1. Materials
2.2. Manufacture of the Fermented Beverage Models (Samples)
2.3. Psysicochemical Analysis and Sediment Content Determination
2.4. Turbidity Analysis
2.5. Rheological Analysis
2.6. Displacement Transmissibility Measurements
2.7. Instrumental Analysis of Colour
2.8. Sensory Analysis
2.9. Statistical Analysis
3. Results and Discussion
3.1. Psychicochemical and Turbidity Analyses
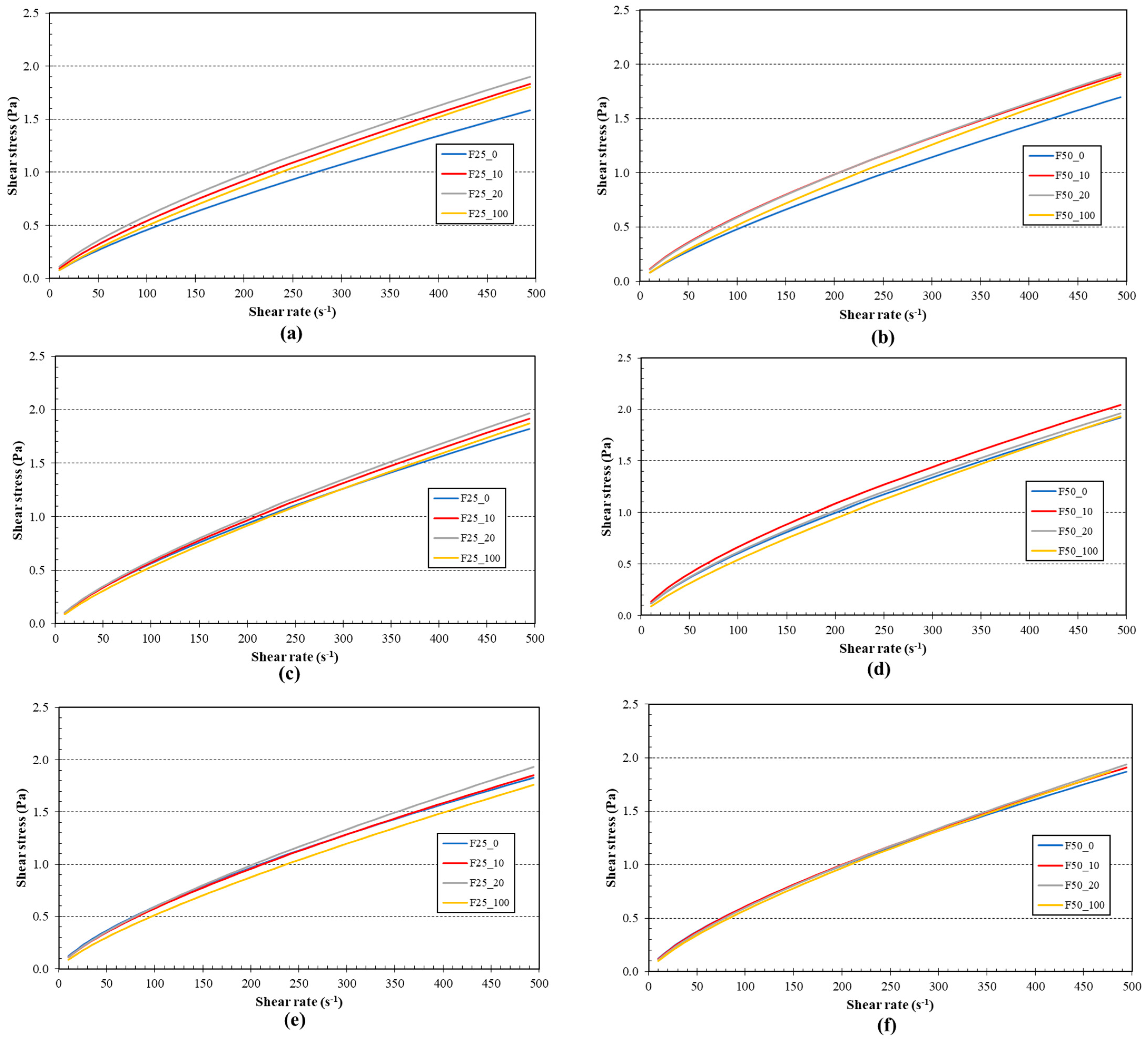
3.2. Rheological Analysis
3.3. Mechanical Vibration Damping Analysis
3.4. Instrumental Colour Analysis
3.5. Sensory Analysis
4. Conclusions
Author Contributions
Funding
Data Availability Statement
Conflicts of Interest
References
- Delshadi, R.; Bahrami, A.; Tafti, A.G.; Barba, F.J.; Williams, L.L. Micro and nano-encapsulation of vegetable and essential oils to develop functional food products with improved nutritional profiles. Trends Food Sci. Technol. 2020, 104, 72–83. [Google Scholar] [CrossRef]
- AbdulAlim, T.S.; Zayan, A.F.; Campelo, P.H.; Bakry, A.M. Development of new functional fermented product: Mulberry-whey beverage. J. Nutr. Food Technol. 2018, 1, 64–69. [Google Scholar] [CrossRef]
- Yadav, J.S.S.; Yan, S.; Pilli, S.; Kumar, L.; Tyagi, R.D.; Surampalli, R.Y. Cheese whey: A potential resource to transform into bioprotein, functional/nutritional proteins and bioactive peptides. Biotechnol. Adv. 2015, 33, 756–774. [Google Scholar] [CrossRef] [PubMed]
- Pescuma, M.; de Valdez, G.F.; Mozzi, F. Whey-derived valuable products obtained by microbial fermentation. Appl. Microbiol. Biotechnol. 2015, 99, 6183–6196. [Google Scholar] [CrossRef] [PubMed]
- Alrosan, M.; Tan, T.C.; Koh, W.Y.; Easa, A.M.; Gammoh, S.; Alu’datt, M.H. Overview of fermentation process: Structure-function relationship on protein quality and non-nutritive compounds of plant-based proteins and carbohydrates. Crit. Rev. Food Sci. Nutr. 2023, 63, 7677–7691. [Google Scholar] [CrossRef] [PubMed]
- Bandara, T.A.; Munasinghe-Arachchige, S.P.; Gamlath, C.J. Fermented whey beverages: A review of process fundamentals, recent developments and nutritional potential. Int. J. Dairy Technol. 2023, 76, 737–757. [Google Scholar] [CrossRef]
- Tsermoula, P.; Khakimov, B.; Nielsen, J.H.; Engelsen, S.B. WHEY-The waste-stream that became more valuable than the food product. Trends Food Sci. Technol. 2021, 118, 230–241. [Google Scholar] [CrossRef]
- Chavan, R.S.; Shraddha, R.C.; Kumar, A.; Nalawade, T. Whey based beverage: Its functionality, formulations, health benefits and applications. J. Food Process. Technol. 2015, 6, 495. [Google Scholar]
- Mauriello, G.; Moio, L.; Moschetti, G.; Piombino, P.; Addeo, F.; Coppola, S. Characterization of lactic acid bacteria strains on the basis of neutral volatile compounds produced in whey. J. Appl. Microbiol. 2001, 90, 928–942. [Google Scholar] [CrossRef]
- Vashisht, P.; Chaudhary, V.; Sharma, S.; Devi, H.; Singh, T.P. Whey Kefir: A sustainable solution to reduce waste and improve health. ACS Food Sci. Technol. 2023, 3, 1403–1410. [Google Scholar] [CrossRef]
- Alrosan, M.; Tan, T.C.; Easa, A.M.; Gammoh, S.; Alu’datt, M.H.; Kubow, S.; Al-Qaisi, A. Enhanced functionality of fermented whey protein using water kefir. Int. J. Food Prop. 2023, 26, 1663–1677. [Google Scholar] [CrossRef]
- Gao, X.; Li, B. Chemical and microbiological characteristics of kefir grains and their fermented dairy products: A review. Cogent Food Agric. 2016, 2, 1272152. [Google Scholar] [CrossRef]
- Coma, M.E.; Peltzer, M.A.; Delgado, J.F.; Salvay, A.G. Water kefir grains as an innovative source of materials: Study of plasticiser content on film properties. Eur. Polym. J. 2019, 120, 109234. [Google Scholar] [CrossRef]
- Guzel-Seydim, Z.B.; Gökırmaklı, Ç.; Greene, A.K. A comparison of milk kefir and water kefir: Physical, chemical, microbiological and functional properties. Trends Food Sci. Technol. 2021, 113, 42–53. [Google Scholar] [CrossRef]
- Barukčić, I.; Božanić, R.; Tratnik, L. Whey-based beverages—A new generation of diary products. J. Mljekarstvo 2008, 58, 257–274. [Google Scholar]
- Mattila, P.H.; Hellström, J.; McDougall, G.; Dobson, G.; Pihlava, J.M.; Tiirikka, T.; Karjalainen, R. Polyphenol and vitamin C contents in European commercial blackcurrant juice products. Food Chem. 2011, 127, 1216–1223. [Google Scholar] [CrossRef] [PubMed]
- Kruszewski, B.; Zawada, K.; Karpiński, P. Impact of high-pressure homogenization parameters on physicochemical characteristics, bioactive compounds content, and antioxidant capacity of blackcurrant juice. Molecules 2021, 26, 1802. [Google Scholar] [CrossRef] [PubMed]
- Kowalski, R.; de Mejia, E.G. Phenolic composition, antioxidant capacity and physical characterization of ten blackcurrant (Ribes nigrum) cultivars, their juices, and the inhibition of type 2 diabetes and inflammation biochemical markers. Food Chem. 2021, 359, 129889. [Google Scholar] [CrossRef] [PubMed]
- May, N.; Guenther, E. Shared benefit by Material Flow Cost Accounting in the food supply chain–The case of berry pomace as upcycled by-product of a black currant juice production. J. Clean. Prod. 2020, 245, 118946. [Google Scholar] [CrossRef]
- Koffi, E.; Shewfelt, R.; Wicker, L. Storage stability and sensory analysis of uht-processed whey-banana beverages. J. Food Qual. 2005, 28, 386–401. [Google Scholar] [CrossRef]
- Ahmed, T.; Sabuz, A.A.; Mohaldar, A.; Fardows, H.S.; Inbaraj, B.S.; Sharma, M.; Sridhar, K. Development of novel whey-mango based mixed beverage: Effect of storage on physicochemical, microbiological, and sensory analysis. Foods 2023, 12, 237. [Google Scholar] [CrossRef] [PubMed]
- Hege, J.; Palberg, T.; Vilgis, T.A. Interactions of different hydrocolloids with milk proteins. J. Phys. Mater. 2020, 3, 044003. [Google Scholar] [CrossRef]
- Milani, J.; Maleki, G. Hydrocolloids in food industry. Food Ind. Process.–Methods Equip. 2012, 2, 2–37. [Google Scholar]
- Abedi, F.; Sani, A.M.; Karazhiyan, H. Effect of some hydrocolloids blend on viscosity and sensory properties of raspberry juice-milk. J. Food Sci. Technol. 2014, 51, 2246–2250. [Google Scholar] [CrossRef] [PubMed]
- Kůrová, V.; Salek, R.N.; Černíková, M.; Lorencová, E.; Zalešáková, L.; Buňka, F. Furcellaran as a substitute for emulsifying salts in processed cheese spread and the resultant storage changes. Int. J. Dairy Technol. 2022, 75, 679–689. [Google Scholar] [CrossRef]
- Garofalo, C.; Ferrocino, I.; Reale, A.; Sabbatini, R.; Milanović, V.; Alkić-Subašić, M.; Osimani, A. Study of kefir drinks produced by backslopping method using kefir grains from Bosnia and Herzegovina: Microbial dynamics and volatilome profile. Food Res. Int. 2020, 137, 109369. [Google Scholar] [CrossRef] [PubMed]
- Kim, D.H.; Jeong, D.; Song, K.Y.; Seo, K.H. Comparison of traditional and backslopping methods for kefir fermentation based on physicochemical and microbiological characteristics. LWT 2018, 97, 503–507. [Google Scholar] [CrossRef]
- ISO 7027-1:2016; Water Quality—Determination of Turbidity. International Organization for Standardization: Geneva, Switzerland, 2016.
- Kolniak-Ostek, J.; Oszmiański, J.; Rutkowski, K.P.; Wojdyło, A. Effect of 1-methylcyclopropene postharvest treatment apple and storage on the cloudy juices properties. LWT-Food Sci. Technol. 2014, 59, 1166–1174. [Google Scholar] [CrossRef]
- Rao, S.S. Mechanical Vibrations, 5th ed.; Pearson Education, Inc.: Upper Saddle River, NJ, USA, 2011; pp. 281–287. [Google Scholar]
- Wang, Y.; Li, S.; Neild, S.A.; Jiang, J.Z. Comparison of the dynamic performance of nonlinear one and two degree-of-freedom vibration isolators with quasi-zero stiffness. Nonlinear Dyn. 2017, 88, 635–654. [Google Scholar] [CrossRef]
- Stephen, N. On Energy Harvesting from Ambient Vibration. J. Sound Vib. 2006, 293, 409–425. [Google Scholar] [CrossRef]
- Lv, Q.; Yao, Z. Analysis of the effects of nonlinear viscous damping on vibration isolator. Nonlinear Dyn. 2015, 79, 2325–2332. [Google Scholar] [CrossRef]
- Lapčík, L.; Vašina, M.; Lapčíková, B.; Bureček, A.; Hružík, L. Effect of rapeseed oil on the rheological, mechanical and thermal properties of plastic lubricants. Mech. Time-Depend. Mater. 2022, 26, 33–47. [Google Scholar] [CrossRef]
- Salek, R.N.; Vašina, M.; Lapčík, L.; Černíková, M.; Lorencová, E.; Li, P.; Buňka, F. Evaluation of various emulsifying salts addition on selected properties of processed cheese sauce with the use of mechanical vibration damping and rheological methods. LWT 2019, 107, 178–184. [Google Scholar] [CrossRef]
- Song, Y.; Zhuang, Z.; Wang, X.; Fang, Q.; Cheng, Z.; Zhang, T. Vibration Damping and Noise Reduction of a New Non-Newtonian Fluid Damper in a Washing Machine. Actuators 2024, 13, 9. [Google Scholar] [CrossRef]
- Sun, J.; Jiao, S.; Huang, X.; Hua, H. Investigation into the impact and buffering characteristics of a non-Newtonian fluid damper: Experiment and simulation. Shock Vib. 2014, 2014, 170464. [Google Scholar] [CrossRef]
- Pereira, M.O.; Guimarães, J.T.; Ramos, G.L.; do Prado-Silva, L.; Nascimento, J.S.; Sant’Ana, A.S.; Cruz, A.G. Inactivation kinetics of Listeria monocytogenes in whey dairy beverage processed with ohmic heating. LWT 2020, 127, 109420. [Google Scholar] [CrossRef]
- ISO Standard No. 8589; Sensory Analysis—General Guidance for the Design of Test Rooms. International Organization for Standardization: Geneva, Switzerland, 2007.
- Kelanne, N.; Yang, B.; Liljenbäck, L.; Laaksonen, O. Phenolic compound profiles in alcoholic black currant beverages produced by fermentation with Saccharomyces and non-Saccharomyces yeasts. J. Agric. Food Chem. 2020, 68, 10128–10141. [Google Scholar] [CrossRef] [PubMed]
- Patelski, A.M.; Dziekońska-Kubczak, U.; Ditrych, M. The Fermentation of Orange and Black Currant Juices by the Probiotic Yeast Saccharomyces cerevisiae var. boulardii. Appl. Sci. 2024, 14, 3009. [Google Scholar] [CrossRef]
- Levkov, V.; Elizabeta, C.; Gjorgovska, N.; Mateva, N.; Belichovska, D. Changes of nutritional characteristics of whey fermented with kefir grains-a preliminary results. Int. J. Innov. Approaches Agric. Res. 2021, 5, 424–433. [Google Scholar] [CrossRef]
- Nursiwi, A.; Nurhartadi, E.; Utami, R.; Sari, A.M.; Laksono, P.W.; Aprilia, E.N. Characteristic of fermented whey beverage with addition of tomato juice (Lycopersicum esculentum). IOP Conf. Ser. Mater. Sci. Eng. 2017, 193, 012009. [Google Scholar] [CrossRef]
- Şafak, H.; Gün, İ.; Tudor Kalit, M.; Kalit, S. Physico-chemical, microbiological and sensory properties of water kefir drinks produced from demineralized whey and dimrit and shiraz grape varieties. Foods 2023, 12, 1851. [Google Scholar] [CrossRef] [PubMed]
- Corona, O.; Randazzo, W.; Miceli, A.; Guarcello, R.; Francesca, N.; Erten, H.; Settanni, L. Characterization of kefir-like beverages produced from vegetable juices. LWT-Food Sci. Technol. 2016, 66, 572–581. [Google Scholar] [CrossRef]
- Luo, S.; DeMarsh, T.A.; DeRiancho, D.; Stelick, A.; Alcaine, S.D. Characterization of the fermentation and sensory profiles of novel yeast-fermented acid whey beverages. Foods 2021, 10, 1204. [Google Scholar] [CrossRef] [PubMed]
- Paredes, J.L.; Escudero-Gilete, M.L.; Vicario, I.M. A new functional kefir fermented beverage obtained from fruit and vegetable juice: Development and characterization. LWT 2022, 154, 112728. [Google Scholar] [CrossRef]
- Okaru, A.O.; Lachenmeier, D.W. Defining no and low (NoLo) alcohol products. Nutrients 2022, 14, 3873. [Google Scholar] [CrossRef] [PubMed]
- Randazzo, W.; Corona, O.; Guarcello, R.; Francesca, N.; Germanà, M.A.; Erten, H.; Settanni, L. Development of new non-dairy beverages from Mediterranean fruit juices fermented with water kefir microorganisms. Food Microbiol. 2016, 54, 40–51. [Google Scholar] [CrossRef]
- Laureys, D.; De Vuyst, L. Microbial species diversity, community dynamics, and metabolite kinetics of water kefir fermentation. Appl. Environ. Microbiol. 2014, 80, 2564–2572. [Google Scholar] [CrossRef] [PubMed]
- Spizzirri, U.G.; Loizzo, M.R.; Aiello, F.; Prencipe, S.A.; Restuccia, D. Non-dairy kefir beverages: Formulation, composition, and main features. J. Food Compos. Anal. 2023, 117, 105130. [Google Scholar] [CrossRef]
- Saluri, M.; Robal, M.; Tuvikene, R. Hybrid carrageenans as beer wort fining agents. Food Hydrocoll. 2019, 86, 26–33. [Google Scholar] [CrossRef]
- Ogawa, M.; Carmona-Jiménez, P.; García-Martínez, T.; Jorrín-Novo, J.V.; Moreno, J.; Rey, M.D.; Moreno-García, J. Use of yeast biocapsules as a fungal-based immobilized cell technology for Indian Pale Ale-type beer brewing. Appl. Microbiol. Biotechnol. 2022, 106, 7615–7625. [Google Scholar] [CrossRef]
- Laureys, D.; Aerts, M.; Vandamme, P.; De Vuyst, L. Oxygen and diverse nutrients influence the water kefir fermentation process. Food Microbiol. 2018, 73, 351–361. [Google Scholar] [CrossRef] [PubMed]
- Surja, L.L.; Dwiloka, B.; Rizqiati, H. Effect of high fructose syrup (HFS) addition on chemical and organoleptic properties of green coconut water kefir. J. Appl. Food Technol. 2019, 6, 3–8. [Google Scholar] [CrossRef]
- Ozcelik, F.; Akan, E.; Kinik, O. Use of Cornelian cherry, hawthorn, red plum, roseship and pomegranate juices in the production of water kefir beverages. Food Biosci. 2021, 42, 101219. [Google Scholar] [CrossRef]
- Punoo, H.A.; Rather, J.A.; Muzaffar, A. Development of soy whey fortified orange juice beverages: Their physicochemical, rheological, antioxidant, and sensory properties. Explor. Foods Foodomics 2023, 1, 206–220. [Google Scholar] [CrossRef]
- Iskakova, J.; Smanalieva, J.; Methner, F.J. Investigation of changes in rheological properties during processing of fermented cereal beverages. J. Food Sci. Technol. 2019, 56, 3980–3987. [Google Scholar] [CrossRef]
- Sabokbar, N.; Moosavi-Nasab, M.; Khodaiyan, F. Preparation and characterization of an apple juice and whey based novel beverage fermented using kefir grains. Food Sci. Biotechnol. 2015, 24, 2095–2104. [Google Scholar] [CrossRef]





| Samples * | Time (h) | pH | TSS 1 (°Bx) | Density (kg·m−3) | Ethanol (% v/v) | Turbidity (NTU) |
|---|---|---|---|---|---|---|
| F25_0 | 4 | 6.18 ± 0.03 a,A | 5.13 ± 0.05 a,A | 1.021 ± 0.001 a,A | 0.06 ± 0.02 a,A | 824 ± 1 a,A |
| F25_10 | 3.86 ± 0.02 b,A | 5.53 ± 0.09 b,A | 1.024 ± 0.001 b,A | 0.02 ± 0.01 b,A | 762 ± 1 b,A | |
| F25_20 | 3.41 ± 0.01 c,A | 6.83 ± 0.05 c,A | 1.029 ± 0.002 c,A | 0.03 ± 0.01 b,A | 682 ± 1 c,A | |
| F25_100 | 2.77 ± 0.01 d,A | 15.43 ± 0.05 d,A | 1.064 ± 0.002 d,A | 0.03 ± 0.01 b,A | 564 ± 4 d,A | |
| F50_0 | 6.14 ± 0.03 a,A | 5.33 ± 0.05 e,A | 1.021 ± 0.001 a,A | 0.06 ± 0.02 a,A | 855 ± 1 e,A | |
| F50_10 | 3.85 ± 0.02 b,A | 5.97 ± 0.05 f,A | 1.025 ± 0.002 b,A | 0.01 ± 0.01 b,A | 753 ± 2 f,A | |
| F50_20 | 3.40 ± 0.03 c,A | 6.73 ± 0.05 g,A | 1.029 ± 0.001 c,A | 0.02 ± 0.01 b,A | 672 ± 1 g,A | |
| F50_100 | 2.77 ± 0.01 d,A | 15.63 ± 0.05 h,A | 1.066 ± 0.002 d,A | 0.04 ± 0.02 b,A | 563 ± 4 h,A | |
| F25_0 | 24 | 4.25 ± 0.02 a,B | 3.57 ± 0.05 a,B | 1.015 ± 0.002 a,B | 0.79 ± 0.02 a,B | 811 ± 1 a,B |
| F25_10 | 4.50 ± 0.03 b,B | 4.87 ± 0.05 b,B | 1.016 ± 0.001 b,B | 1.05 ± 0.01 b,B | 714 ± 1 b,B | |
| F25_20 | 3.36 ± 0.01 c,B | 5.77 ± 0.09 c,B | 1.020 ± 0.002 c,B | 1.18 ± 0.02 c,B | 676 ± 2 c,B | |
| F25_100 | 2.74 ± 0.01 d,B | 14.77 ± 0.05 d,B | 1.058 ± 0.003 d,B | 1.31 ± 0.02 d,B | 427 ± 1 d,B | |
| F50_0 | 4.28 ± 0.02 a,B | 3.73 ± 0.05 e,B | 1.015 ± 0.002 a,B | 0.79 ± 0.01 a,B | 802 ± 2 e,B | |
| F50_10 | 4.48 ± 0.02 b,B | 5.10 ± 0.08 f,B | 1.017 ± 0.001 b,B | 1.05 ± 0.01 b,B | 750 ± 1 f,A | |
| F50_20 | 3.36 ± 0.03 c,A | 5.83 ± 0.12 g,B | 1.020 ± 0.001 c,B | 1.18 ± 0.02 c,B | 670 ± 2 g,A | |
| F50_100 | 2.77 ± 0.03 d,A | 15.17 ± 0.09 h,B | 1.054 ± 0.002 d,B | 1.32 ± 0.02 d,B | 557 ± 3 h,A | |
| F25_0 | 48 | 3.83 ± 0.02 a,C | 2.73 ± 0.05 a,C | 1.014 ± 0.002 a,C | 0.92 ± 0.02 a,C | 744 ± 1 a,C |
| F25_10 | 4.08 ± 0.03 b,C | 3.73 ± 0.09 b,C | 1.015 ± 0.001 b,C | 1.18 ± 0.01 b,C | 681 ± 2 b,C | |
| F25_20 | 3.35 ± 0.02 c,B | 4.30 ± 0.14 c,C | 1.017 ± 0.001 c,C | 1.58 ± 0.01 c,C | 635 ± 2 c,C | |
| F25_100 | 2.73 ± 0.01 d,B | 9.60 ± 0.02 d,C | 1.031 ± 0.001 d,C | 4.86 ± 0.01 d,C | 325 ± 1 d,C | |
| F50_0 | 3.85 ± 0.01 a,C | 2.87 ± 0.05 e,C | 1.014 ± 0.002 a,B | 0.92 ± 0.01 a,C | 763 ± 2 e,C | |
| F50_10 | 4.13 ± 0.02 b,C | 3.27 ± 0.05 f,C | 1.015 ± 0.002 b,B | 1.31 ± 0.02 d,C | 697 ± 2 f,C | |
| F50_20 | 3.35 ± 0.01 c,A | 3.90 ± 0.08 g,C | 1.016 ± 0.001 c,C | 1.71 ± 0.01 e,C | 620 ± 3 g,C | |
| F50_100 | 2.75 ± 0.02 d,A | 10.43 ± 0.05 h,C | 1.029 ± 0.002 d,C | 4.59 ± 0.01 f,C | 314 ± 3 h,C |
| Power-Law Model | Herschel–Bulkley Model | |||||||
|---|---|---|---|---|---|---|---|---|
| Samples * | Time (h) | K 1 (Pa·s) | N 1 (−) | R2 (−) | τ0 1 (Pa) | K 1 (Pa·s) | N 1 (−) | R2 (−) |
| F25_0 | 4 | 0.0127 a,A | 0.778 a,A | 0.93 | 0.1697 a,A | 0.001 a,A | 1.601 a,A | 0.99 |
| F25_10 | 0.0163 b,A | 0.761 b,A | 0.94 | 0.2367 b,A | 0.001 a,A | 1.716 b,A | 0.99 | |
| F25_20 | 0.0205 c,A | 0.732 c,A | 0.94 | 0.2678 c,A | 0.001 a,A | 1.682 c,A | 0.99 | |
| F25_100 | 0.0120 d,A | 0.808 d,A | 0.94 | 0.1886 d,A | 0.001 a,A | 1.681 d,A | 0.99 | |
| F50_0 | 0.0126 a,A | 0.791 e,A | 0.93 | 0.1861 e,A | 0.001 a,A | 1.664 e,A | 0.99 | |
| F50_10 | 0.0209 e,A | 0.730 f,A | 0.94 | 0.2827 f,A | 0.001 a,A | 1.726 f,A | 0.99 | |
| F50_20 | 0.0196 f,A | 0.740 g,A | 0.94 | 0.2731 g,A | 0.001 a,A | 1.734 g,A | 0.99 | |
| F50_100 | 0.0126 g,A | 0.807 h,A | 0.93 | 0.2002 h,A | 0.001 a,A | 1.701 h,A | 0.99 | |
| F25_0 | 24 | 0.0192 a,B | 0.734 a,B | 0.93 | 0.2499 a,B | 0.001 a,A | 1.680 a,B | 0.99 |
| F25_10 | 0.0178 b,B | 0.754 b,B | 0.94 | 0.2450 b,B | 0.001 a,A | 1.663 b,B | 0.99 | |
| F25_20 | 0.0180 b,B | 0.757 c,B | 0.95 | 0.2506 c,B | 0.001 a,A | 1.619 c,B | 0.99 | |
| F25_100 | 0.0140 d,B | 0.790 d,B | 0.94 | 0.1966 d,B | 0.001 a,A | 1.604 d,B | 0.99 | |
| F50_0 | 0.0214 e,B | 0.725 e,B | 0.94 | 0.2888 e,B | 0.001 a,A | 1.726 e,B | 0.99 | |
| F50_10 | 0.0263 f,B | 0.702 f,B | 0.96 | 0.2865 f,B | 0.001 a,A | 1.438 f,B | 0.99 | |
| F50_20 | 0.0223 g,B | 0.722 g,B | 0.95 | 0.2846 g,B | 0.001 a,A | 1.611 g,B | 0.99 | |
| F50_100 | 0.0141 h,B | 0.794 h,B | 0.94 | 0.2112 h,B | 0.001 a,A | 1.670 h,B | 0.99 | |
| F25_0 | 48 | 0.0234 a,C | 0.705 a,C | 0.94 | 0.2887 a,C | 0.001 a,A | 1.723 a,C | 0.99 |
| F25_10 | 0.0201 b,C | 0.729 b,C | 0.94 | 0.2744 b,C | 0.001 a,A | 1.730 b,C | 0.99 | |
| F25_20 | 0.0199 c,C | 0.740 c,C | 0.94 | 0.2503 c,C | 0.001 a,A | 1.602 c,C | 0.99 | |
| F25_100 | 0.0151 d,C | 0.768 d,C | 0.93 | 0.2039 d,C | 0.001 a,A | 1.642 d,C | 0.99 | |
| F50_0 | 0.0241 e,C | 0.701 e,C | 0.94 | 0.3034 e,C | 0.001 a,A | 1.730 e,C | 0.99 | |
| F50_10 | 0.0232 f,C | 0.713 f,C | 0.94 | 0.3045 f,C | 0.001 a,A | 1.735 f,C | 0.99 | |
| F50_20 | 0.0201 g,C | 0.737 g,C | 0.94 | 0.2746 g,C | 0.001 a,A | 1.684 g,C | 0.99 | |
| F50_100 | 0.0180 h,C | 0.753 h,C | 0.95 | 0.2420 h,C | 0.001 a,A | 1.579 h,C | 0.99 | |
| Samples ** | Time (h) | First Resonance Frequency (Hz) |
|---|---|---|
| F25_0 | 4 | 92 ± 8 a,A |
| F25_10 | 70 ± 5 b,A | |
| F25_20 | 69 ± 6 b,A | |
| F25_100 | 77 ± 7 b,A | |
| F50_0 | 87 ± 7 a,A | |
| F50_10 | 66 ± 5 b,A | |
| F50_20 | 61 ± 3 b,A | |
| F50_100 | 67 ± 4 b,A | |
| F25_0 | 24 | 77 ± 4 a,B |
| F25_10 | 64 ± 3 b,B | |
| F25_20 | 52 ± 3 c,B | |
| F25_100 | 70 ± 5 a,B | |
| F50_0 | 61 ± 6 a,B | |
| F50_10 | 50 ± 3 b,B | |
| F50_20 | 53 ± 4 b,B | |
| F50_100 | 57 ± 4 b,B | |
| F25_0 | 48 | 72 ± 5 a,B |
| F25_10 | 66 ± 6 a,B | |
| F25_20 | 58 ± 5 b,B | |
| F25_100 | 82 ± 6 c,B | |
| F50_0 | 71 ± 6 a,B | |
| F50_10 | 65 ± 4 a,B | |
| F50_20 | 56 ± 5 b,B | |
| F50_100 | 63 ± 5 a,B |
| Sample | Time (h) | L* (−) | a* (−) | b* (−) | C* (−) | h (°) |
|---|---|---|---|---|---|---|
| F25_0 | 4 | 69.73 ± 0.03 a,A | 0.97 ± 0.06 a,A | 16.72 ± 0.11 a,A | 16.75 ± 0.11 a,A | 86.69 ± 0.19 a,A |
| F25_10 | 21.15 ± 1.30 b,A | 29.17 ± 0.70 b,A | 26.45 ± 0.39 b,A | 39.38 ± 0.30 b,A | 42.19 ± 0.38 b,A | |
| F25_20 | 7.72 ± 0.38 c,A | 30.89 ± 0.51 c,A | 12.27 ± 0.65 c,A | 33.24 ± 0.71 c,A | 21.66 ± 0.72 c,A | |
| F25_100 | 2.86 ± 0.01 d,A | 18.99 ± 0.06 d,A | 4.93 ± 0.02 d,A | 19.62 ± 0.07 d,A | 14.54 ± 0.01 d,A | |
| F50_0 | 69.37 ± 0.15 e,A | 1.42 ± 0.05 e,A | 17.97 ± 0.15 e,A | 18.02 ± 0.15 e,A | 85.48 ± 0.13 e,A | |
| F50_10 | 21.20 ± 0.51 f,A | 29.85 ± 0.09 f,A | 26.65 ± 0.27 b,A | 40.01 ± 0.22 f,A | 41.76 ± 0.25 f,A | |
| F50_20 | 7.80 ± 0.65 g,A | 31.49 ± 0.67 g,A | 13.44 ± 1.12 c,A | 34.24 ± 1.05 c,A | 23.08 ± 1.31 g,A | |
| F50_100 | 2.91 ± 0.05 h,A | 19.58 ± 0.31 h,A | 5.01 ± 0.08 f,A | 20.21 ± 0.32 g, A | 14.35 ± 0.02 h,A | |
| F25_0 | 24 | 66.53 ± 0.07 a,B | 0.95 ± 0.23 a,B | 13.28 ± 0.92 a,B | 13.31 ± 0.93 a,B | 85.92 ± 0.86 a,B |
| F25_10 | 19.35 ± 0.63 b,B | 21.99 ± 0.11 b,B | 25.42 ± 0.29 b,B | 33.61 ± 0.16 b,B | 49.13 ± 0.45 b,B | |
| F25_20 | 7.44 ± 0.93 c,A | 30.79 ± 1.12 c,B | 12.83 ± 1.60 c,B | 33.36 ± 0.16 c,B | 22.55 ± 1.80 c,B | |
| F25_100 | 2.57 ± 0.09 d,B | 16.99 ± 0.57 d,B | 4.38 ± 0.38 d,B | 17.54 ± 0.59 d,B | 14.47 ± 0.03 d,B | |
| F50_0 | 67.70 ± 0.78 e,B | 1.17 ± 0.09 e,B | 13.97 ± 0.41 a,B | 14.02 ± 0.41 a,B | 85.24 ± 0.29 a,B | |
| F50_10 | 26.16 ± 0.81 f,B | 20.54 ± 0.39 f,B | 24.83 ± 0.25 e,B | 32.22 ± 0.43 e,B | 50.41 ± 0.28 e,B | |
| F50_20 | 7.88 ± 1.23 g,A | 31.15 ± 1.29 c,B | 13.58 ± 2.11 c,B | 34.01 ± 1.02 c,B | 23.44 ± 2.37 c,B | |
| F50_100 | 2.09 ± 0.25 h,B | 14.17 ± 1.66 d,B | 3.61 ± 0.43 f,B | 14.63 ± 1.72 f,B | 14.28 ± 0.05 f,B | |
| F25_0 | 48 | 65.37 ± 0.49 a,C | 1.06 ± 0.05 a,C | 13.18 ± 0.26 a,C | 13.22 ± 0.25 a,C | 85.38 ± 0.29 a,C |
| F25_10 | 19.11 ± 0.33 b,C | 24.00 ± 0.22 b,C | 25.81 ± 0.59 b,C | 35.25 ± 0.28 b,C | 47.08 ± 0.91 b,C | |
| F25_20 | 7.49 ± 0.95 c,C | 30.67 ± 1.14 c,C | 12.90 ± 1.64 c,C | 33.29 ± 1.68 c,C | 22.74 ± 1.86 c,C | |
| F25_100 | 0.84 ± 0.09 d,C | 5.69 ± 0.57 d,C | 1.44 ± 0.15 d,C | 5.87 ± 0.60 d,C | 14.20 ± 0.06 d,C | |
| F50_0 | 62.61 ± 1.33 e,C | 1.08 ± 0.12 a,C | 13.49 ± 0.14 a,C | 13.53 ± 0.13 a,C | 85.42 ± 0.57 a,C | |
| F50_10 | 23.78 ± 1.21 f,C | 22.66 ± 0.16 e,C | 25.97 ± 0.29 b,C | 34.47 ± 0.32 b,C | 48.89 ± 0.12 e,C | |
| F50_20 | 6.21 ± 0.91 g,C | 28.81 ± 1.60 c,C | 10.72 ± 1.57 c,C | 30.75 ± 2.05 e,C | 20.32 ± 1.67 c,C | |
| F50_100 | 0.76 ± 0.08 h,C | 5.20 ± 0.54 d,C | 1.31 ± 0.14 d,C | 5.36 ± 0.56 d,C | 14.10 ± 0.03 d,C |
| Sample | Appearance | Taste | Aroma | Off-Flavour | Overall Rating |
|---|---|---|---|---|---|
| F25_0 | 4 a,A | 4 a,A | 4 a,A | 3 a,A | 4 a,A |
| F25_10 | 4 a,A | 4 a,A | 3 b,A | 3 a,A | 4 a,A |
| F25_20 | 3 b,A | 3 b,A | 3 b,A | 2 b,A | 3 b,A |
| F25_100 | 2 c,A | 5 c,A | 2 c,A | 1 c,A | 3 b,A |
| F50_0 | 4 a,A | 4 a,A | 4 a,A | 3 a,A | 4 a,A |
| F50_10 | 4 a,A | 4 a,A | 3 b,A | 3 a,A | 4 a,A |
| F50_20 | 2 c,B | 2 d,B | 2 c,B | 2 b,A | 2 c,B |
| F50_100 | 2 c,A | 4 a,C | 2 c,A | 2 b,B | 3 b,A |
Disclaimer/Publisher’s Note: The statements, opinions and data contained in all publications are solely those of the individual author(s) and contributor(s) and not of MDPI and/or the editor(s). MDPI and/or the editor(s) disclaim responsibility for any injury to people or property resulting from any ideas, methods, instructions or products referred to in the content. |
© 2024 by the authors. Licensee MDPI, Basel, Switzerland. This article is an open access article distributed under the terms and conditions of the Creative Commons Attribution (CC BY) license (https://creativecommons.org/licenses/by/4.0/).
Share and Cite
Rejdlová, A.; Vašina, M.; Lorencová, E.; Hružík, L.; Salek, R.N. Assessment of Different Levels of Blackcurrant Juice and Furcellaran on the Quality of Fermented Whey-Based Beverages Using Rheological and Mechanical Vibration Damping Techniques. Foods 2024, 13, 1855. https://doi.org/10.3390/foods13121855
Rejdlová A, Vašina M, Lorencová E, Hružík L, Salek RN. Assessment of Different Levels of Blackcurrant Juice and Furcellaran on the Quality of Fermented Whey-Based Beverages Using Rheological and Mechanical Vibration Damping Techniques. Foods. 2024; 13(12):1855. https://doi.org/10.3390/foods13121855
Chicago/Turabian StyleRejdlová, Anita, Martin Vašina, Eva Lorencová, Lumír Hružík, and Richardos Nikolaos Salek. 2024. "Assessment of Different Levels of Blackcurrant Juice and Furcellaran on the Quality of Fermented Whey-Based Beverages Using Rheological and Mechanical Vibration Damping Techniques" Foods 13, no. 12: 1855. https://doi.org/10.3390/foods13121855
APA StyleRejdlová, A., Vašina, M., Lorencová, E., Hružík, L., & Salek, R. N. (2024). Assessment of Different Levels of Blackcurrant Juice and Furcellaran on the Quality of Fermented Whey-Based Beverages Using Rheological and Mechanical Vibration Damping Techniques. Foods, 13(12), 1855. https://doi.org/10.3390/foods13121855

