Combined Relaxation Spectra for the Prediction of Meat Quality: A Case Study on Broiler Breast Fillets with the Wooden Breast Condition
Abstract
1. Introduction
2. Materials and Methods
2.1. Sample Collection
2.2. Water-Holding Capacity Determination
2.3. TD-NMR Measurements
2.4. Meat-Texture Measurements
2.5. Statistical Analysis
2.6. Multivariate Analysis
3. Results and Discussion
3.1. Meat-Quality Traits of Broiler Breast Fillets with the WB Condition
3.2. Spectrum Description of Broiler Breast Fillets with the WB Condition
3.3. PCA Analysis
3.4. PLSR Prediction Models for Water-Holding Capacity
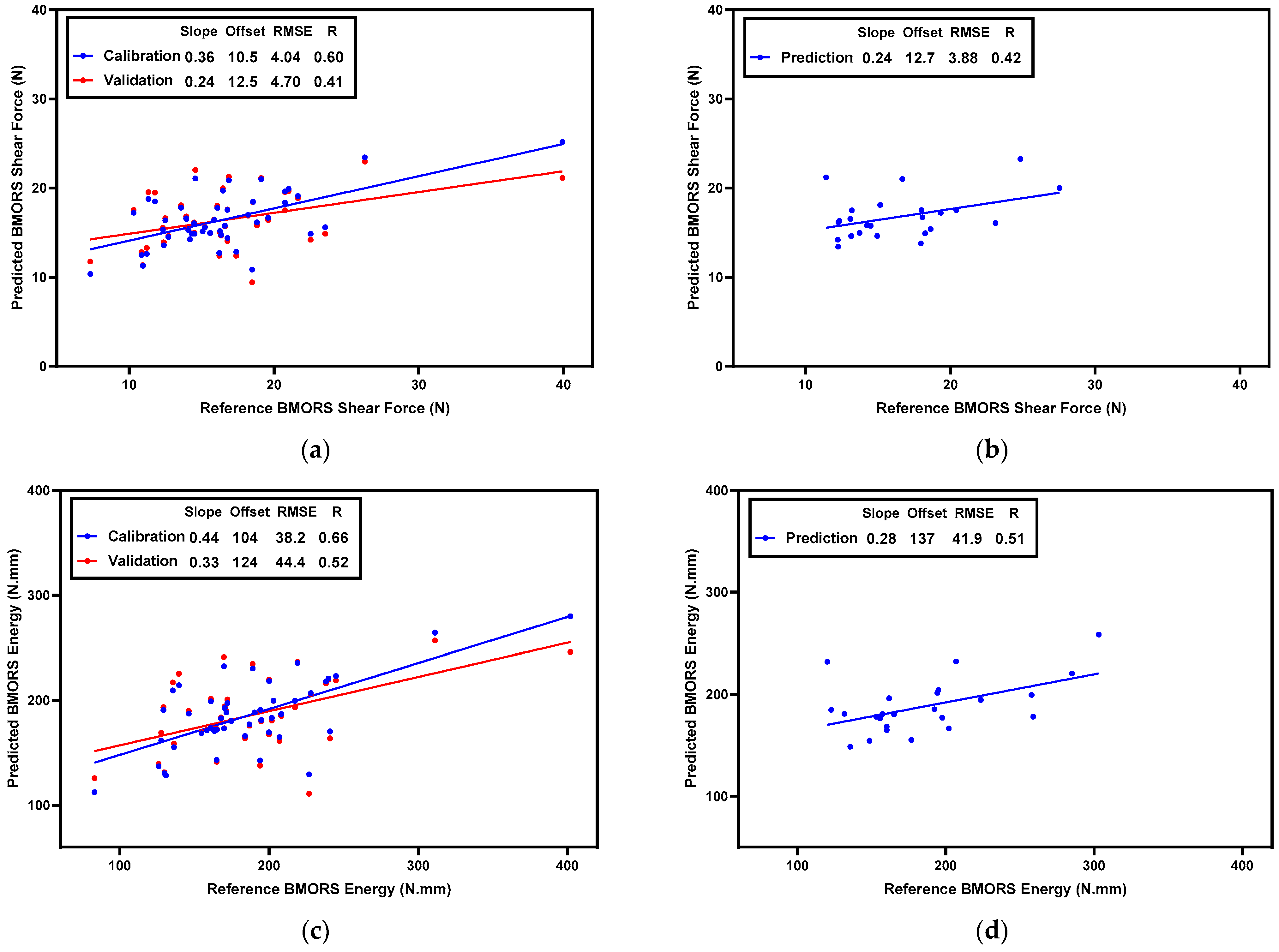
3.5. PLSR Prediction Models for Meat Texture
3.6. PLS-DA Model for Predicting the Wooden Breast Condition
4. Conclusions
Author Contributions
Funding
Data Availability Statement
Conflicts of Interest
References
- Prieto, N.; Roehe, R.; Lavín, P.; Batten, G.; Andrés, S. Application of near infrared reflectance spectroscopy to predict meat and meat products quality: A review. Meat Sci. 2009, 83, 175–186. [Google Scholar] [CrossRef] [PubMed]
- Jackman, P.; Sun, D.W.; Allen, P. Recent advances in the use of computer vision technology in the quality assessment of fresh meats. Trends Food Sci. Technol. 2011, 22, 185–197. [Google Scholar] [CrossRef]
- Cheng, J.H.; Nicolai, B.; Sun, D.W. Hyperspectral imaging with multivariate analysis for technological parameters prediction and classification of muscle foods: A review. Meat Sci. 2017, 123, 182–191. [Google Scholar] [CrossRef] [PubMed]
- Bertram, H.C.; Karlsson, A.H.; Rasmussen, M.; Pedersen, O.D.; Dønstrup, S.; Andersen, H.J. Origin of Multiexponential T2 Relaxation in Muscle Myowater. J. Agric. Food Chem. 2001, 49, 3092–3100. [Google Scholar] [CrossRef] [PubMed]
- Bertram, H.C.; Dønstrup, S.; Karlsson, A.H.; Andersen, H.J. Continuous distribution analysis of T2 relaxation in meat-an approach in the determination of water-holding capacity. Meat Sci. 2002, 60, 279–285. [Google Scholar] [CrossRef] [PubMed]
- Zhu, H.; O’Farrell, M.; Hansen, E.W.; Andersen, P.V.; Berg, P.; Egelandsdal, B. The potential for predicting purge in packaged meat using low field NMR. J. Food Eng. 2017, 206, 98–105. [Google Scholar] [CrossRef]
- Pang, B.; Bowker, B.; Zhang, J.; Yang, Y.; Zhuang, H. Prediction of water holding capacity in intact broiler breast fillets affected by the woody breast condition using time-domain NMR. Food Control 2020, 118, 107391. [Google Scholar] [CrossRef]
- Bertram, H.C.; Aaslyng, M.D.; Andersen, H.J. Elucidation of the relationship between cooking temperature, water distribution and sensory attributes of pork—A combined NMR and sensory study. Meat Sci. 2005, 70, 75–81. [Google Scholar] [CrossRef] [PubMed]
- Bertram, H.C.; Straadt, I.K.; Jensen, J.A.; Aaslyng, M.D. Relationship between water mobility and distribution and sensory attributes in pork slaughtered at an age between 90 and 180 days. Meat Sci. 2007, 77, 190–195. [Google Scholar] [CrossRef]
- Pereira, F.M.V.; Pflanzer, S.B.; Gomig, T.; Gomes, C.L.; de Felício, P.E.; Colnago, L.A. Fast determination of beef quality parameters with time-domain nuclear magnetic resonance spectroscopy and chemometrics. Talanta 2013, 108, 88–91. [Google Scholar] [CrossRef]
- Rudi, T.; Guthausen, G.; Burk, W.; Reh, C.T.; Isengard, H.D. Simultaneous determination of fat and water content in caramel using time domain NMR. Food Chem. 2008, 106, 1375–1378. [Google Scholar] [CrossRef]
- Gauthausen, G.; Kamlowski, A.; Schmalbein, D. Method for Determining the Content of At Least One Component of a Sample by Means of a Nuclear Magnetic Resonance Pulse Spectrometer. U.S. Patent 7397241B2, 8 July 2008. [Google Scholar]
- Horn, P.J.; Neogi, P.; Tombokan, X.; Ghosh, S.; Campbell, B.T.; Chapman, K.D. Simultaneous Quantification of Oil and Protein in Cottonseed by Low-Field Time-Domain Nuclear Magnetic Resonance. J. Am. Oil Chem. Soc. 2011, 88, 1521–1529. [Google Scholar] [CrossRef]
- Castell-Palou, A.; Rosselló, C.; Femenia, A.; Simal, S. Simultaneous quantification of fat and water content in cheese by TD-NMR. Food Bioprocess Technol. 2013, 6, 2685–2694. [Google Scholar] [CrossRef]
- Sihvo, H.K.; Immonen, K.; Puolanne, E. Myodegeneration with fibrosis and regeneration in the pectoralis major muscle of broilers. Vet. Pathol. 2014, 51, 619–623. [Google Scholar] [CrossRef] [PubMed]
- Sun, X.; Koltes, D.A.; Coon, C.N.; Chen, K.; Owens, C.M. Instrumental compression force and meat attribute changes in woody broiler breast fillets during short-term storage. Poult. Sci. 2018, 97, 2600–2606. [Google Scholar] [CrossRef] [PubMed]
- Pang, B.; Bowker, B.; Xue, C.; Chang, Y.; Zhang, J.; Gao, L.; Zhuang, H. Evaluation of visible spectroscopy and low-field nuclear magnetic resonance techniques for screening the presence of defects in broiler breast fillets. Food Control 2023, 144, 109386. [Google Scholar] [CrossRef]
- Zhang, J.; Zhuang, H.; Bowker, B.; Stelzleni, A.M.; Yang, Y.; Pang, B.; Gao, Y.; Thippareddi, H. Evaluation of multi blade shear (MBS) for determining texture of raw and cooked broiler breast fillets with the woody breast myopathy. Poult. Sci. 2021, 100, 101123. [Google Scholar] [CrossRef]
- Bowker, B.; Zhuang, H.; Yoon, S.C.; Tasoniero, G.; Lawrence, K. Relationships between attributes of woody breast and white striping myopathies in commercially processed broiler breast meat. J. Appl. Poult. Res. 2019, 28, 490–496. [Google Scholar] [CrossRef]
- Tasoniero, G.; Bertram, H.C.; Young, J.F.; Dalle Zotte, A.; Puolanne, E. Relationship between hardness and myowater properties in Wooden Breast affected chicken meat: A nuclear magnetic resonance study. LWT 2017, 86, 20–24. [Google Scholar] [CrossRef]
- Bowker, B.; Zhuang, H. Detection of razor shear force differences in broiler breast meat due to the woody breast condition depends on measurement technique and meat state. Poult. Sci. 2019, 98, 6170–6176. [Google Scholar] [CrossRef]
- Sun, X.; Giampietro-Ganeco, A.; Mueller, A.; Maynard, C.J.; Caldas-Cueva, J.P.; Owens, C.M. Meat quality traits and Blunt Meullenet-Owens Razor Shear characteristics of broiler breast fillets affected by woody breast condition and post-cooking meat temperature. Poult. Sci. 2021, 100, 101212. [Google Scholar] [CrossRef]
- Wold, J.P.; Veiseth-Kent, E.; Høst, V.; Løvland, A. Rapid on-line detection and grading of wooden breast myopathy in chicken fillets by near-infrared spectroscopy. PLoS ONE 2017, 12, e173384. [Google Scholar] [CrossRef] [PubMed]
- Cai, K.; Shao, W.; Chen, X.; Campbell, Y.L.; Nair, M.N.; Suman, S.P.; Beach, C.M.; Guyton, M.C.; Schilling, M.W. Meat quality traits and proteome profile of woody broiler breast (pectoralis major) meat. Poult. Sci. 2018, 97, 337–346. [Google Scholar] [CrossRef]
- Soglia, F.; Mudalal, S.; Babini, E.; Di Nunzio, M.; Mazzoni, M.; Sirri, F.; Cavani, C.; Petracci, M. Histology, composition, and quality traits of chicken Pectoralis major muscle affected by wooden breast abnormality. Poult. Sci. 2016, 95, 651–659. [Google Scholar] [CrossRef]
- Soglia, F.; Laghi, L.; Canonico, L.; Cavani, C.; Petracci, M. Functional property issues in broiler breast meat related to emerging muscle abnormalities. Food Res. Int. 2016, 89, 1071–1076. [Google Scholar] [CrossRef]
- Xing, T.; Zhao, X.; Zhang, L.; Li, J.L.; Zhou, G.H.; Xu, X.L.; Gao, F. Characteristics and incidence of broiler chicken wooden breast meat under commercial conditions in China. Poult. Sci. 2020, 99, 620–628. [Google Scholar] [CrossRef] [PubMed]
- Desai, M.A.; Jackson, V.; Zhai, W.; Suman, S.P.; Nair, M.N.; Beach, C.M.; Schilling, M.W. Proteome basis of pale, soft, and exudative-like (PSE-like) broiler breast (Pectoralis major) meat. Poult. Sci. 2016, 95, 2696–2706. [Google Scholar] [CrossRef]
- Lee, Y.S.; Owens, C.M.; Meullenet, J.F. The meullenet-owens razor shear (mors) for predicting poultry meat tenderness: Its applications and optimization. J. Texture Stud. 2008, 39, 655–672. [Google Scholar] [CrossRef]
- Wu, D.; Sun, D.W.; He, Y. Application of long-wave near infrared hyperspectral imaging for measurement of color distribution in salmon fillet. Innov. Food Sci. Emerg. Technol. 2012, 16, 361–372. [Google Scholar] [CrossRef]
- Todt, H.; Guthausen, G.; Burk, W.; Schmalbein, D.; Kamlowski, A. Water/moisture and fat analysis by time-domain NMR. Food Chem. 2006, 96, 436–440. [Google Scholar] [CrossRef]
- Provencher, S.W. Contin: A general purpose constrained regularization program for inverting noisy linear algebraic and integral equations. Comput. Phys. Commun. 1982, 27, 229–242. [Google Scholar] [CrossRef]
- Cavitt, L.C.; Youm, G.W.; Meullenet, J.F.; Owens, C.M.; Xiong, R. Prediction of poultry meat tenderness using razor blade shear, Allo-Kramer shear, and sarcomere length. J. Food Sci. 2004, 69, Q11–Q15. [Google Scholar] [CrossRef]
- Xiong, R.; Cavitt, L.C.; Meullenet, J.F.; Owens, C.M. Comparison of Allo–Kramer, Warner–Bratzler and razor blade shears for predicting sensory tenderness of broiler breast meat. J. Texture Stud. 2006, 37, 179–199. [Google Scholar] [CrossRef]
- Morey, A.; Smith, A.E.; Garner, L.J.; Cox, M.K. Application of bioelectrical impedance analysis to detect broiler breast filets affected with woody breast myopathy. Front. Physiol. 2020, 11, 808. [Google Scholar] [CrossRef] [PubMed]
- Palka, K.; Daun, H. Changes in texture, cooking losses, and myofibrillar structure of bovine M. semitendinosus during heating. Meat Sci. 1999, 51, 237–243. [Google Scholar] [CrossRef] [PubMed]
- Sun, X.; Maynard, C.J.; Caldas-Cueva, J.P.; Coon, C.N.; Owens, C.M. Using air deformation of raw fillet surfaces to identify severity of woody breast myopathy in broiler fillets. LWT 2021, 141, 110904. [Google Scholar] [CrossRef]
- Sun, X.; Maynard, C.J.; Caldas-Cueva, J.P.; Bai, Y.; You, J.; Dong, Y. Use of image analysis to evaluate morphometric measurements of broiler breast fillets affected by the woody breast condition. J. Food Sci. Technol. 2022, 59, 4457–4465. [Google Scholar] [CrossRef] [PubMed]
- Yoon, S.; Bowker, B.C.; Zhuang, H.; Lawrence, K.C. Development of Imaging System for Online Detection of Chicken Meat with Wooden Breast Condition. Sensors 2022, 22, 1036. [Google Scholar] [CrossRef]
- Wold, J.P.; Måge, I.; Løvland, A.; Sanden, K.W.; Ofstad, R. Near-infrared spectroscopy detects woody breast syndrome in chicken fillets by the markers protein content and degree of water binding. Poult. Sci. 2019, 98, 480–490. [Google Scholar] [CrossRef]






| Trait | The WB Condition | ||
|---|---|---|---|
| Normal | Moderate WB | Severe WB | |
| Drip Loss (%) | 1.14 ± 0.53 b | 1.64 ± 0.77 a | 1.84 ± 0.71 a |
| Cook Loss (%) | 24.1 ± 2.6 c | 27.0 ± 2.9 b | 30.0 ± 3.1 a |
| BMORS shear force (raw, N) | 17.8 ± 7.7 c | 30.3 ± 15.0 b | 44.3 ± 17.4 a |
| BMORS energy (raw, N·mm) | 151 ± 57 c | 272 ± 142 b | 417 ± 179 a |
| BMORS shear force (cooked, N) | 15.0 ± 2.6 b | 15.7 ± 4.7 ab | 18.6 ± 5.9 a |
| BMORS energy (cooked, N·mm) | 172 ± 24 b | 174 ± 49 b | 211 ± 62 a |
| The WB Condition | Actual Result | ||||||
|---|---|---|---|---|---|---|---|
| Calibration Set | Prediction Set | ||||||
| Normal | Moderate WB | Severe WB | Normal | Moderate WB | Severe WB | ||
| Predicted Result | Normal | 29 | 2 | 0 | 14 | 1 | 0 |
| Moderate WB | 3 | 28 | 5 | 2 | 12 | 3 | |
| Severe WB | 0 | 2 | 27 | 0 | 3 | 13 | |
| Accuracy for identifying WB (%) | 94.8 | 93.8 | |||||
| Total Accuracy (%) | 87.5 | 81.3 | |||||
Disclaimer/Publisher’s Note: The statements, opinions and data contained in all publications are solely those of the individual author(s) and contributor(s) and not of MDPI and/or the editor(s). MDPI and/or the editor(s) disclaim responsibility for any injury to people or property resulting from any ideas, methods, instructions or products referred to in the content. |
© 2024 by the authors. Licensee MDPI, Basel, Switzerland. This article is an open access article distributed under the terms and conditions of the Creative Commons Attribution (CC BY) license (https://creativecommons.org/licenses/by/4.0/).
Share and Cite
Pang, B.; Bowker, B.; Yoon, S.-C.; Yang, Y.; Zhang, J.; Xue, C.; Chang, Y.; Sun, J.; Zhuang, H. Combined Relaxation Spectra for the Prediction of Meat Quality: A Case Study on Broiler Breast Fillets with the Wooden Breast Condition. Foods 2024, 13, 1816. https://doi.org/10.3390/foods13121816
Pang B, Bowker B, Yoon S-C, Yang Y, Zhang J, Xue C, Chang Y, Sun J, Zhuang H. Combined Relaxation Spectra for the Prediction of Meat Quality: A Case Study on Broiler Breast Fillets with the Wooden Breast Condition. Foods. 2024; 13(12):1816. https://doi.org/10.3390/foods13121816
Chicago/Turabian StylePang, Bin, Brian Bowker, Seung-Chul Yoon, Yi Yang, Jian Zhang, Changhu Xue, Yaoguang Chang, Jingxin Sun, and Hong Zhuang. 2024. "Combined Relaxation Spectra for the Prediction of Meat Quality: A Case Study on Broiler Breast Fillets with the Wooden Breast Condition" Foods 13, no. 12: 1816. https://doi.org/10.3390/foods13121816
APA StylePang, B., Bowker, B., Yoon, S.-C., Yang, Y., Zhang, J., Xue, C., Chang, Y., Sun, J., & Zhuang, H. (2024). Combined Relaxation Spectra for the Prediction of Meat Quality: A Case Study on Broiler Breast Fillets with the Wooden Breast Condition. Foods, 13(12), 1816. https://doi.org/10.3390/foods13121816

