Invasive Round Goby (Neogobius melanostomus) Fish from the Southern Baltic as a Source of Arsenic and Selenium—Food Safety Aspects
Abstract
1. Introduction
| Area (Reference) | Species | Se | Area (Reference) | Species | As | |
|---|---|---|---|---|---|---|
| Bovan Reservoir, Serbia [23] | Pikeperch (Sander lucioperca) | 0.091 | Bovan Reservoir, Serbia [23] | Pikeperch (Sander lucioperca) | 0.003 | Fresh water |
| Catfish (Silurus glanis) | 0.142 | Catfish (Silurus glanis) | 0.002 | |||
| Pike (Esox lucius) | 0.170 | Pike (Esox lucius) | 0.001 | |||
| Prussian carp (Carassius gibelio) | 0.237 | Prussian carp (Carassius gibelio) | 0.003 | |||
| Bream (Abramis brama) | 0.258 | Bream (Abramis brama) | 0.002 | |||
| Colorado River, USA [24] | Common carp (Cyprinus carpio) | 6.03 | Tercan Dam Lake, Turkey [25] | Common carp (Cyprinus carpio) | 0.383 | |
| Fathead minnow (Pimephales promelas) | 11.89 | Bulatmai barbell (Luciobarbus capito) | 0.124 | |||
| Pike (Esox lucius) | 2.53 | Tigris scraper (Capoeta umbla) | 0.186 | |||
| Black bullhead (Ameiurus melas) | 4.35 | Grass carp (Ctenopharyngodon idella) | 0.774 | |||
| Yellow perch (Perca flavescens) | 13.53 | French fishing areas, France [26] | Pikeperch (Sander lucioperca) | 0.029–0.233 | ||
| Rainbow trout (Oncorhynchus mykiss) | 3.38 | Bream (Abramis brama) | 0.029–0.331 | |||
| Pike (Esox lucius) | 0.017–0.356 | |||||
| Mediterranean Sea [12] | Blue shark (Prionace glauca) | 0.63 | Bay of Bengal, Bangladesh [27] | Gold-spotted grenadier anchovy (Coilia dussumieri) | 1.330 | Sea |
| Porbeagle (Lamna nasus) | 1.25 | |||||
| Picked dogfish (Squalus acanthias) | 1.25 | Fringescale sardinella (Sardinella fimbriata) | 3.930 | |||
| Smooth-hound (Mustelus mustelus) | 1.03 | |||||
| Thornback ray (Raja clavata) | 0.65 | Back Bay, Canada [28] | Whitefish (Gadus morhua) | 0.77 | ||
| Longnose sucker (Catostomus catostomus) | 1.15 | |||||
| Pacific, Hawaii [29] | Yellowfin tuna (Thunnus albacares) | 1.25 | Baltic Sea [30] | Baltic cod (Gadus morhua) | 0.390 | |
| Striped marlin (Tetrapturus audax) | 0.72 | European sprat (Sprattus sprattus) | 0.636 | |||
| Blue marlin (Makaira nigricans) | 1.59 | Baltic herring (Clupea harengus membras) | 0.460 | |||
| Swordfish (Xiphias gladius) | 0.39 | European flounder (Platichthys flesus) | 0.588 | |||
| Central Pacific [31] | Mako shark (Isurus oxyrinchus) | 0.32 | Hai Phong, Vietnam [32] | Northern snakehead (Channa argus) | 1.180 | |
| Swordfish (Xiphias gladius) | 0.43 | Iridescent shark catfish (Pangasianodon hypophthalmus) | 1.660 | |||
| Skipjack tuna (Katsuwonus pelamis) | 1.56 | |||||
| Mediterranean Sea [33] | European pilchard (Sardina pilchardus) | 0.15 | Gulf of Guinea [34] | Madeiran sardinella (Madeiran sardinella) | 1.560 | |
| European hake (Merluccius merluccius) | 0.29 | Angola dentex (Dentex angolensis) | 1.870 | |||
| European seabass (Dicentrarchus labrax) | 0.30 | European barracuda (Sphyraena sphyraena) | 0.820 |
2. Methods
2.1. Study Area
2.2. Fish, Water, and Bottom Sediments Sample Collection
2.3. Dissection of Sampled Fish
2.4. Elemental Analysis
2.5. Quality Control and Quality Assurance
2.6. Estimated Daily Intake
2.7. Nutritional Quality
- -
- Tolerable daily intake (TDI), provisional tolerable weekly intake (PTWI), and acceptable daily intake (ADI) for inorganic As;
- -
- Recommended dietary allowance (RDA) and tolerable upper intake level (UL) for Se.
2.8. Human Health Risk Assessment
2.9. Statistical Analysis
3. Results
3.1. Arsenic and Selenium in Water and Bottom Sediments
3.2. Fish
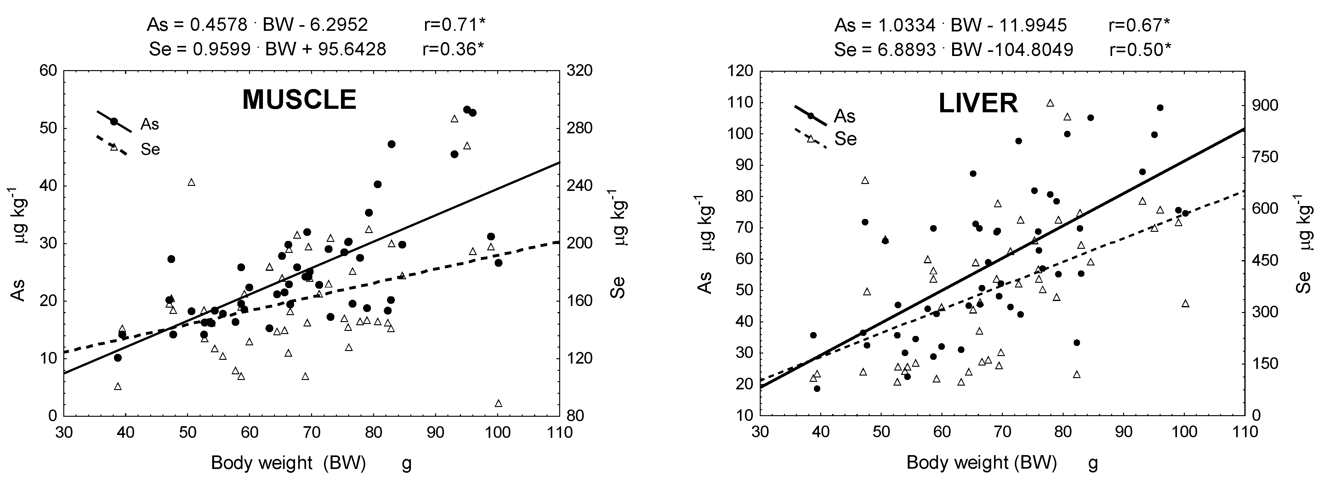
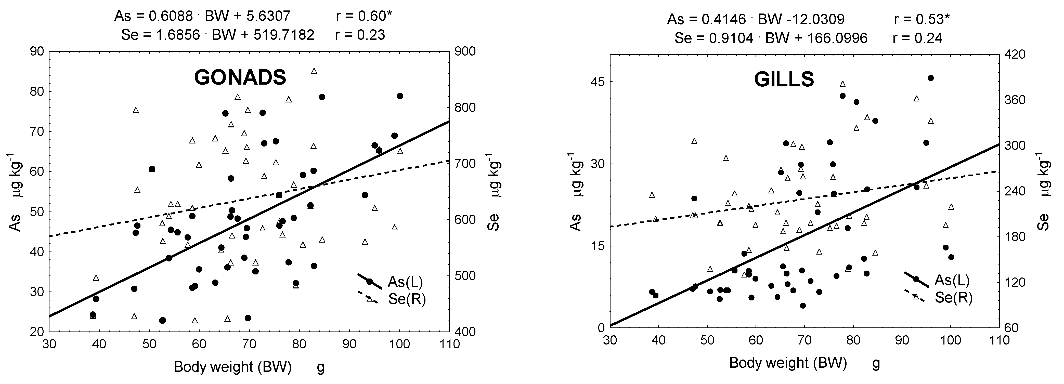
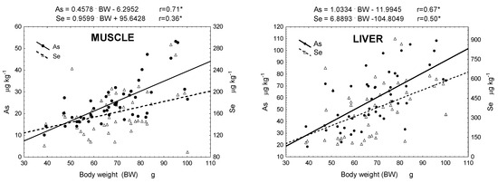
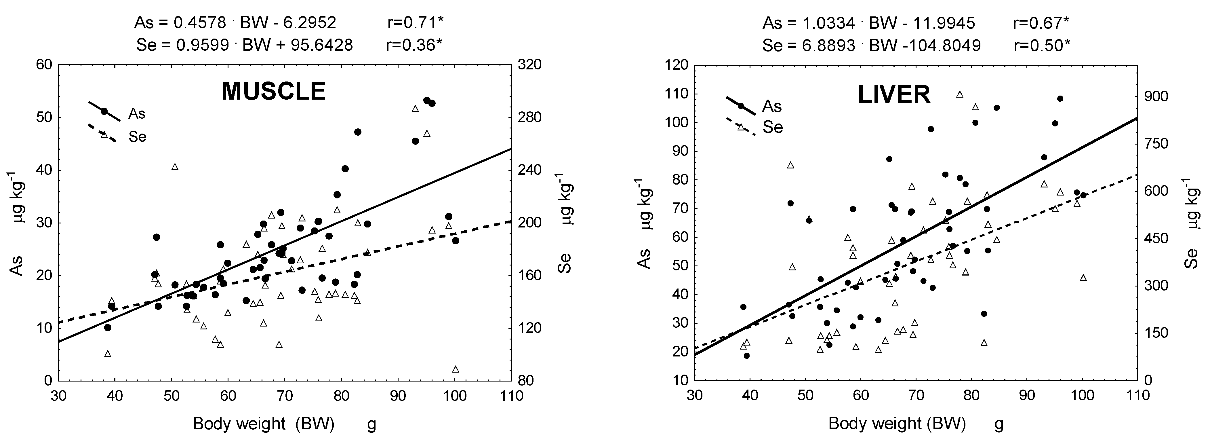
3.3. Arsenic and Selenium in Round Goby Tissue
3.4. Nutritional Quality and Potential Risks to Consumers
4. Discussion
4.1. Water and Bottom Sediment Quality Assessment
4.2. Analysis of As and Se Content in Round Goby
4.3. Nutritional Quality and Health Risk Assessment
5. Summary
Author Contributions
Funding
Institutional Review Board Statement
Informed Consent Statement
Data Availability Statement
Conflicts of Interest
References
- Bolt, H.M.; Marchan, R.; Hengstler, J.G. Selenium: An element with two faces. Arch. Toxicol. 2011, 85, 1493–1494. [Google Scholar] [CrossRef] [PubMed]
- Chandel, M.; Sharma, A.K.; Thakur, K.; Sharma, D.; Brar, B.; Mahajan, D.; Kumari, H.; Pankaj, P.P.; Kumar, R. Poison in the water: Arsenic’s silent assault on fish health. J. Appl. Toxicol. 2024, 1–20. [Google Scholar] [CrossRef] [PubMed]
- Vinceti, M.; Wicentini, M.; Wise, L.A.; Sacchettini, C.; Malagoli, C.; Ballotari, P.; Filippini, T.; Malavolti, M.; Rossi, P.G. Cancer incidence following long-term consumption of drinking water with high inorganic selenium content. Sci. Total Environ. 2018, 635, 390–396. [Google Scholar] [CrossRef] [PubMed]
- EFSA Panel on Nutrition. Scientific opinion on the tolerable upper intake level for selenium. EFSA J. 2022, 21, 7704. [Google Scholar] [CrossRef] [PubMed]
- EFSA, European Food Safety Authority. Update of the risk assessment of inorganic arsenic in food. EFSA J. 2024, 22, e8488. [Google Scholar]
- Nogueira, C.W.; Barbosa, N.V.; Rocha, J.B.T. Toxicology and pharmacology of synthetic organoselenium compounds: An update. Arch. Toxicol. 2021, 95, 1179–1226. [Google Scholar] [CrossRef] [PubMed]
- Ro, S.-H.; Bae, J.; Jang, Y.; Myers, J.F.; Chung, S.; Yu, J.; Natarajan, S.K.; Franco, R.; Song, H.-S. Arsenic toxicity on metabolism and autophagy in adipose and muscle tissues. Antioxidants 2022, 11, 689. [Google Scholar] [CrossRef] [PubMed]
- Vinceti, M.; Filippini, T.; Biswas, A.; Michalke, B.; Dhillon, K.S.; Naidu, R. Selenium: A global contaminant of significant concern to environment and human health. In Inorganic Contaminants and Radionuclides; Naidu, R., Ed.; Elsevier: Amsterdam, The Netherlands, 2024; pp. 427–480. [Google Scholar] [CrossRef]
- Palma-Lara, I.; Martínez-Castillo, M.; Quintana-Pérez, J.C.; Arellano-Mendoza, M.G.; Tamay-Cach, F.; Valenzuela-Limón, O.L.; García-Montalvo, E.A.; Hernández-Zavala, A. Arsenic exposure: A public health problem leading to several cancers. Regul. Toxicol. Pharmacol. 2020, 110, 104539. [Google Scholar] [CrossRef] [PubMed]
- Kaur, R.; Garkal, A.; Sarode, L.; Bangar, P.; Mehta, T.; Singh, D.P.; Rawal, R. Understanding arsenic toxicity: Implications for environmental exposure and human health. J. Hazard. Mater. Lett. 2024, 5, 100090. [Google Scholar] [CrossRef]
- Kipp, A.P.; Strohmb, D.; Brigelius-Flohéa, R.; Schomburgc, L.; Bechtholdb, A.; Leschik-Bonnetb, E.; Hesekerd, H. Revised reference values for selenium intake. J. Trace Elem. Med. Biol. 2015, 32, 195–199. [Google Scholar] [CrossRef] [PubMed]
- Storelli, A.; Barone, G.; Garofalo, R.; Busco, A.; Storelli, M.M. Determination of mercury. methylmercury and selenium concentrations in elasmobranch meat: Fish consumption safety. Int. J. Environ. Res. Public Health 2022, 19, 788. [Google Scholar] [CrossRef] [PubMed]
- Uddin, A.N.; Burns, F.J.; Rossman, T.G. Vitamin E and organoselenium prevent the cocarcinogenic activity of arsenite with solar UVR in mouse skin. Carcinogenesis 2005, 26, 2179–2186. [Google Scholar] [CrossRef] [PubMed]
- Loomba, R.; Filippini, T.; Chalwa, R.; Chaudhary, R.; Cilloni, S.; Datt, C.; Singh, S.; Dhillon, K.; Vinceti, M. Exposure to a high selenium environment in Punjab, India: Effects on blood chemistry. Sci. Total Environ. 2020, 716, 135347. [Google Scholar] [CrossRef] [PubMed]
- Rodríguez-Sosa, M.; García-Montalvo, E.A.; Del Razo, L.M.; Vega, L. Effect of selenomethionine supplementation in food on the excretion and toxicity of arsenic exposure in female mice. Biol. Trace Elem. Res. 2013, 156, 279–287. [Google Scholar] [CrossRef] [PubMed]
- Liu, T.; Zhao, Y.; Bai, J.; Liang, N.; Wang, C.; Wang, P. Study on the content of selenium in fish muscles and the bioaccumulation effect in Bosten Lake, Xinjiang. Northwest. Geol. 2021, 54, 236–243. [Google Scholar] [CrossRef]
- Wang, L.; Sagada, G.; Wang, R.; Li, P.; Xu, B.; Zhang, C.; Qiao, J.; Yan, Y. Different forms of selenium supplementation in fish feed: The bioavailability, nutritional functions, and potential toxicity. Aquaculture 2022, 549, 737819. [Google Scholar] [CrossRef]
- IM FNB Institute of Medicine Food and Nutrition Board. Dietary Reference Intakes for Vitamin C, Vitamin E, Selenium, and Carotenoids; National Academy Press: Washington, DC, USA, 2000; Available online: http://www.nap.edu/catalog/9810.html (accessed on 15 January 2024).
- FAO UN Food and Agriculture Organization of the United Nations. Fish and Seafood Supply per Person; FAO UN Food and Agriculture Organization of the United Nations: Rome, Italy, 2023; Available online: http://www.fao.org/faostat/en/#data/FBS (accessed on 15 January 2024).
- EFSA European Food Safety Authority. Chronic dietary exposure to inorganic arsenic. EFSA J. 2021, 19, 6380. [Google Scholar] [CrossRef] [PubMed]
- Food and Agriculture Organization of the United Nations; World Health Organization. Safety Evaluation of Certain Contaminants in Food. Arsenic; WHO Food Additives Series 63; FAO JECFA MONOGRAPHS: Rome, Italy, 2011; Volume 8, pp. 153–316. [Google Scholar]
- EFSA European Food Safety Authority. Scientific opinion on arsenic in food. EFSA panel on Contaminants in the Food Chain (CONTAM). EFSA J. 2009, 7, 1351. [Google Scholar] [CrossRef]
- Milošković, A.; Simić, V. Arsenic and Other Trace Elements in Five Edible Fish Species in Relation to Fish Size and Weight and Potential Health Risks for Human Consumption. Pol. J. Environ. Stud. 2015, 24, 199–206. [Google Scholar] [CrossRef] [PubMed]
- Day, N.K.; Schmidt, T.S.; Roberts, J.J.; Osmundson, B.C.; Willacker, J.J.; Eagles-Smith, C.A. Mercury and selenium concentrations in fishes of the Upper Colorado River Basin. southwestern United States: A retrospective assessment. PLoS ONE 2020, 15, e0226824. [Google Scholar] [CrossRef] [PubMed]
- Günes, M.; Sökmen, T.; Kirici, M. Determination of Some Metal Levels in Water. Sediment and Fish Species of Tercan Dam Lake. Turkey. Appl. Ecol. Environ. Res. 2019, 17, 14961–14972. [Google Scholar] [CrossRef]
- Noël, L.; Chekri, R.; Millour, S.; Merlo, M.; Leblanc, J.-C.; Guerin, T. Distribution and relationships of As, Cd, Pb and Hg in freshwater fish from five French fishing areas. Chemosphere 2013, 90, 1900–1910. [Google Scholar] [CrossRef] [PubMed]
- Mamun, A.-A.; Bhowmik, S.; Sarwar, M.S.; Akter, S.; Pias, T.; Zakaria, M.A.; Islam, M.M.; Egna, H.; Evans, F.; Wahab, M.A.; et al. Preparation and quality characterization of marine small pelagic fish powder: A novel ready-to-use nutritious food product for vulnerable populations. Meas. Food 2022, 8, 100067. [Google Scholar] [CrossRef]
- Rosemond, S.; Xie, Q.; Liber, K. Arsenic concentration and speciation in five freshwater fish species from Back Bay near Yellowknife. NT. Canada. Environ. Monit. Assess. 2008, 147, 199–210. [Google Scholar] [CrossRef] [PubMed]
- Kaneko, J.J.; Ralston, N.V.C. Selenium and Mercury in Pelagic Fish in the Central North Pacific Near Hawaii. Biol. Trace Elem. Res. 2007, 119, 242–254. [Google Scholar] [CrossRef] [PubMed]
- Polak-Juszczak, L.; Szlinder Richert, J. Arsenic Speciation in Fish from Baltic Sea Close to Chemical Munitions Dumpsites. Chemosphere 2021, 284, 131326. [Google Scholar] [CrossRef] [PubMed]
- Ralston, N.V.C.; Kaneko, J.J.; Raymond, L.J. Selenium health benefit values provide a reliable index of seafood benefits vs. risks. J. Trace Elem. Med. Biol. 2019, 55, 50–57. [Google Scholar] [CrossRef] [PubMed]
- Ngoc, N.T.M.; Chuyen, N.V.; Thao, N.T.T.; Duc, N.Q.; Trang, N.T.T.; Binh, N.T.T.; Sa, H.C.; Tran, N.B.; Ba, N.V.; Khai, N.V.; et al. Chromium, cadmium, lead and arsenic concentrations in water, vegetables and seafood consumed in a coastal area in Northern Vietnam. Environ. Health Insights 2020, 14, 1178630220921410. [Google Scholar] [CrossRef] [PubMed]
- Barone, G.; Storelli, A.; Meleleo, D.; Dambrosio, A.; Garofalo, R.; Busco, A.; Storelli, M.M. Levels of Mercury. Methylmercury and Selenium in Fish: Insights into Children Food Safety. Toxics 2021, 9, 39. [Google Scholar] [CrossRef] [PubMed]
- Nyarko, E.; Boateng, C.M.; Asamoah, O.; Edusei, M.O.; Mahu, E. Potential Human Health Risks Associated with Ingestion of Heavy Metals through Fish Consumption in the Gulf of Guinea. Toxicol. Rep. 2023, 10, 117–123. [Google Scholar] [CrossRef] [PubMed]
- Otten, J.J.; Hellwig, J.P.; Meyers, L.D. Dietary Reference Intakes. The Essential Guide to Nutrient Requirements; Institute of Medicine of the National Academies, The National Academies Press: Washington, DC, USA, 2006; 560p. [Google Scholar]
- Brauer, M.; Behrens, J.W.; Christoffersen, M.; Hyldig, G.; Jacobsen, C.; Björnsdottir, K.H.; van Deurs, K. Seasonal patterns in round goby (Neogobius melanostromus) catch rates, catch composition, and dietary quality. Fish. Res. 2020, 222, 105412. [Google Scholar] [CrossRef]
- Melvere, M.; Ivanovs, K.; Pubule, J.; Blumberga, D. Use of round goby (Neogobius melanostomus) processing waste in bioeconomy. Energy Procedia 2017, 128, 484–490. [Google Scholar] [CrossRef]
- Zarev, V.; Apostolou, A.; Velkov, B.; Vassilev, M. Bulgarian black sea gobies as important object in the commercial fishing. Bulg. J. Agric. Sci. 2013, 19, 233–236. [Google Scholar]
- Czerniejewski, P.; Brysiewicz, A. Condition and population structure of the round goby (Neogobius melanostomus Pallas, 1811) in Szczecin Lagoon in 2010–2014. J. Water Land Dev. 2018, 37, 49–55. [Google Scholar] [CrossRef]
- Regulation (EU) No 1143/2014 of the European Parliament and of the Council of 22 October 2014 on the Prevention and Management of the Introduction and Spread of Invasive Alien Species. OJEU L 317, 4.11.2014. p. 35. Available online: http://data.europa.eu/eli/reg/2014/1143/oj (accessed on 26 May 2024).
- Nędzarek, A.; Kubiak, J.; Tórz, A.; Machula, S. Heavy metals in the waters of Dąbie lake in the years 1997–2000. Ecol. Chem. Eng. 2007, 14, 77–83. [Google Scholar]
- Nędzarek, A.; Kubiak, J.; Tórz, A. Organic pollution of Lake Dąbie waters in 1997–2000. Electron. J. Pol. Agric. Univ. Fish. 2007, 10, 8. [Google Scholar]
- Radziejewska, T.; Schrenewski, G. The Szczecin (Oder-) Lagoon. In Ecology of Baltic Coastal Waters; Schiewer, U., Ed.; Springer: Berlin/Heidelberg, Germany, 2008; pp. 115–129. [Google Scholar]
- Dybowski, D.; Janecki, M.; Nowicki, A.; Dzierzbicka-Glowacka, L.A. Assessing the impact of chemical loads from agriculture holdings on the Puck Bay environment with the High-Resolution Ecosystem Model of the Puck Bay, Southern Baltic Sea. Water 2020, 12, 2068. [Google Scholar] [CrossRef]
- Nędzarek, A.; Czerniejewski, P. Assessment of heavy metal concentrations and bioaccumulation in the invasive round goby (Neogobius melanostomus) and associated risks to human health. Eur. Zool. J. 2024, 91, 440–456. [Google Scholar] [CrossRef]
- APHA. Standard Methods for Examination of Water and Wastewater, 20th ed.; American Public Health Association: Washington, DC, USA, 1999; p. 1325. ISBN 0875532357. [Google Scholar]
- Nędzarek, A.; Czerniejewski, P. Impact of polyaluminum chloride on the bioaccumulation of selected elements in the tissues of invasive spiny-cheek crayfish (Faxonius limosus)—Potential risks to consumers. Sci. Total Environ. 2022, 828, 154435. [Google Scholar] [CrossRef] [PubMed]
- NYS DOH. Nev York State Department of Health. Hopewell Precision Area Contamination: Appendix C—NYS DOH. In Procedure for Evaluating Potential Health Risk for Contaminants of Concern; NYS DOH: New York, USA, 2007. Available online: http://www.health.ny.gov/environmental/investigations/hopewell/appendc.html (accessed on 9 January 2024).
- Nędzarek, A.; Czerniejewski, P.; Tórz, A. Macro- and trace elements in Chinese mitten crabs (Eriocheir sinensis) from Szczecin Lagoon, Poland—Implications for human health. Aquaculture 2019, 506, 229–237. [Google Scholar] [CrossRef]
- Baars, A.J.; Theelen, R.M.C.; Janssen, P.J.C.M.; Hesse, J.M.; van Apeldoorn, M.E.; Meijerink, M.C.M.; Verdam, M.J.; Zeilmaker, M.J. Re-Evaluation of Human Toxicological Maximum Permissible Risk Levels; National Institute for Public Health and the Environment—RIVM: Bilthoven, The Netherlands, 2001; pp. 1–297. [Google Scholar]
- Salahinejad, M.; Aflaki, F. Toxic and essential elements content of black tea leaves and their tea infusion consumed in Iran. Biol. Trace Elem. Res. 2010, 134, 109–117. [Google Scholar] [PubMed]
- Tan, Y.; Peng, B.; Wu, Y.; Xiong, L.; Sun, J.; Peng, G.; Xufeng Bai, X. Human health risk assessment of toxic heavy metal and metalloid intake via consumption of red swamp crayfish (Procambarus clarkii) from rice-crayfish co-culture fields in China. Food Control 2021, 128, 108181. [Google Scholar] [CrossRef]
- EPA United States Environmental Protection Agency. Guidance for Assessing Chemical Contaminant Data for Use in Fish Advisories. In Risk Assessment and Fish Consumption Limits, 3rd ed.; EPA United States Environmental Protection Agency: Washington, DC, USA, 2000; Volume 2. [Google Scholar]
- US EPA United States Environmental Protection Agency. Regional Screening Level (RSL) Summary Table (TR=1E-06, HQ=1) November 2023. Available online: https://semspub.epa.gov/work/HQ/404330.pdf (accessed on 10 January 2024).
- Tanamal, C.; Blais, J.M.; Yumvihoze, E.; Chan, H.M. Health risk assessment of inorganic arsenic exposure through fish consumption in Yellowknife, Northwest Territories, Canada. Hum. Ecol. Risk Assess. Int. J. 2021, 27, 1072–1093. [Google Scholar] [CrossRef]
- Ghosh, D.; Ghosh, A.; Bhadury, P. Arsenic through aquatic trophic levels: Effects, transformations and biomagnification—A concise review. Geosci. Lett. 2022, 9, 20. [Google Scholar] [CrossRef]
- Helios-Rybicka, E.; Adamiec, E.; Aleksander-Kwaterczak, U. Distribution of trace metals in the Odra River system: Water–suspended matter–sediments. Limnologica 2005, 35, 185–198. [Google Scholar] [CrossRef]
- Wożnica, A.; Absalon, D.; Matysik, M.; Bąk, M.; Cieplok, A.; Halabowski, D.; Koczorowska, A.; Krodkiewska, M.; Libera, M.; Sierka, E.; et al. Analysis of the salinity of the Vistula River based on patrol monitoring and State Environmental Monitoring. Water 2023, 15, 838. [Google Scholar] [CrossRef]
- Xu, Z.N.; Lin, Z.Q.; Zhao, G.S.; Guo, Y.B. Biogeochemical behavior of selenium in soil-air-water environment and its effects on human health. Int. J. Environ. Sci. Technol. 2024, 21, 1159–1180. [Google Scholar] [CrossRef]
- Maher, W.A.; Batley, G.E.; Krikowa, F.; Ellwood, M.J.; Potts, J.; Swanson, R.; Scanes, P. Selenium cycling in a marine dominated estuary: Lake Macquarie, NSW, Australia a case study. Environ. Chem. 2022, 19, 132–143. [Google Scholar] [CrossRef]
- Pałka, I.; Saniewska, D.; Bielecka, L.; Kobos, J.; Grzybowski, W. Uptake and trophic transfer of selenium into phytoplankton and zooplankton of the southern Baltic Sea. Sci. Total Environ. 2024, 909, 168312. [Google Scholar] [CrossRef]
- Borah, R.; Taki, K.; Gogoi, A.; Das, P.; Kumar, M. Contemporary distribution and impending mobility of arsenic, copper and zinc in a tropical (Brahmaputra) riverbed sediment, Assam, India. Ecotoxicol. Environ. Saf. 2018, 161, 769–776. [Google Scholar] [CrossRef] [PubMed]
- Kucharski, D.; Giebułtowicz, J.; Drobniewska, A.; Nałęcz-Jawecki, G.; Skowronek, A.; Strzelecka, A.; Mianowicz, K.; Drzewicz, P. The study on contamination of bottom sediments from the Odra River estuary (SW Baltic Sea) by tributyltin using environmetric methods. Chemosphere 2022, 308, 136133. [Google Scholar] [CrossRef] [PubMed]
- Szubska, M.; Bełdowski, J. Spatial distribution of arsenic in surface sediments of the southern Baltic Sea. Oceanologia 2023, 65, 423–433. [Google Scholar] [CrossRef]
- Subotić, S.; Višnjić Jeftić, Ž.; Spasić, S.; Hegediš, A.; Krpo-Ćetković, J.; Lenhardt, M. Distribution and accumulation of elements (As, Cu, Fe, Hg, Mn, and Zn) in tissues of fish species from different trophic levels in the Danube River at the confluence with the Sava River (Serbia). Environ. Sci. Pollut. Res. 2013, 20, 5309–5317. [Google Scholar] [CrossRef] [PubMed]
- Li, Z.-M.; Wang, X.-L.; Jin, X.-M.; Huang, J.-Q.; Wang, L.-S. The effect of selenium on antioxidant system in aquaculture animals. Front. Physiol. 2023, 14, 1153511. [Google Scholar] [CrossRef]
- Rathore, S.S.; Murthy, H.S.; Girisha, S.K.; Nithin, M.S.; Nasren, S.; Mamun, M.A.A.; Puneeth, T.G.; Rakesh, K.; Kumar, B.T.N.; Pai, M. Supplementation of nano-selenium in fish diet: Impact on selenium assimilation and immune-regulated selenoproteome expression in monosex Nile tilapia (Oreochromis niloticus). Comp. Biochem. Physiol. C Toxicol. Pharmacol. 2021, 240, 108907. [Google Scholar] [CrossRef]
- Moges, F.D.; Hamdi, H.; Al-Barty, A.; Zaid, A.A.; Sundaray, M.; Parashar, S.K.S.; Gubale, A.G.; Das, B. Effects of selenium nanoparticle on the growth performance and nutritional quality in Nile Tilapia, Oreochromis niloticus. PLoS ONE 2022, 17, e0268348. [Google Scholar] [CrossRef] [PubMed]
- Pei, J.; Zuo, J.; Wang, X.; Yin, J.; Liu, L.; Fan, W. The bioaccumulation and tissue distribution of arsenic species in tilapia. Int. J. Environ. Res. Public Health 2019, 16, 757. [Google Scholar] [CrossRef] [PubMed]
- Kaçar, E. Heavy metal concentrations in various tissues of two fish species from Damsa Dam Lake (Turkey) and associated health risk assessment. J. Trace Elem. Med. Biol. 2024, 81, 127339. [Google Scholar] [CrossRef]
- Omidi, F.; Jafaryan, H.; Patimar, R.; Harsij, M.; Paknejad, H. Biochemical biomarkers of skin mucus in Neogobius melanostomus for assessing lead pollution in the Gulf of Gorgan (Iran). Toxicol. Rep. 2020, 7, 109–117. [Google Scholar] [CrossRef]
- Canpolat, O.; Eroglu, M.; Dusukcan, M. Transfer factor of some heavy metals in muscle of Cyprinus carpio. Fresenius Environ. Bull. 2016, 25, 4988–4994. [Google Scholar]
- Qi, Z.; Duan, A.; Ng, K. Selenoproteins in health. Molecules 2023, 29, 136. [Google Scholar] [CrossRef]





| Elements | Water | Bottom Sediments | ||||||
|---|---|---|---|---|---|---|---|---|
| Dąbie Lake μg L−1 | Szczecin Lagoon | Puck Bay | Average | Dąbie Lake mg kg−1 | Szczecin Lagoon | Puck Bay | Average | |
| As | 0.947 B | 0.703 B | 0.307 A | 0.652 | 0.675 C | 0.322 B | 0.153 A | 0.383 |
| ±0.075 | ±0.152 | ±0.025 | ±0.293 | ±0.076 | ±0.088 | ±0.012 | ±0.235 | |
| Se | 2.00 A | 1.73 A | 1.41 A | 1.71 | 0.373 C | 0.297 B | 0.136 A | 0.268 |
| ±0.66 | ±0.32 | ±0.05 | ±0.451 | ±0.055 | ±0.023 | ±0.005 | ±0.108 | |
| Sampling Place | Sex of Fish | N | Total Length cm | Individual Weight g |
|---|---|---|---|---|
| Dąbie Lake | F | 8 | 15.00 ± 0.55 a | 72.41 ± 13.05 a |
| M | 8 | 16.70 ± 0.87 a | 80.98 ± 9.20 a | |
| Together | 16 | 15.88 ± 1.11 A | 76.69 ± 12.08 B | |
| Szczecin Lagoon | F | 8 | 16.10 ± 0.93 a | 69.49 ± 19.26 a |
| M | 8 | 16.30 ± 0.86 a | 71.27 ± 9.03 a | |
| Together | 16 | 16.21 ± 0.91 A | 70.32 ± 15.38 B | |
| Puck Bay | F | 8 | 16.60 ± 0.98 b | 61.82 ± 11.76 b |
| M | 8 | 15.20 ± 0.81 a | 55.28 ± 9.6 a | |
| Together | 16 | 16.37 ± 0.93 A | 58.55 ± 11.22 A | |
| Average | F | 24 | 15.57 ± 0.97 a | 67.91 ± 16.04 a |
| M | 24 | 16.07 ± 1.08 a | 69.18 ± 14.26 a | |
| Together | 48 | 15.82 ± 1.05 | 68.54 ± 15.03 |
| Elements | Sampling Place | Muscle μg kg−1 | Liver | Gonads | Gills | Total Average |
|---|---|---|---|---|---|---|
| As | Dąbie Lake | 34.7 ± 9.7 B | 82.2 ± 16.4 C | 55.7 ± 14.1 B | 31.3 ± 7.4 B | 36.9 ± 23.1 |
| Szczecin Lagoon | 22.1 ± 5.5 A | 55.5 ± 17.1 B | 50.0 ± 14.51 B | 10.6 ± 3.1 A | ||
| Puck Bay | 18.5 ± 4.2 A | 38.8 ± 10.9 A | 36.4 ±10.5 A | 7.3 ± 2.2 A | ||
| Average | 25.1 ± 9.7 | 58.8 ± 23.3 | 47.4 ± 15.2 | 16.4 ± 11.7 | ||
| Se | Dąbie Lake | 170.3 ± 48.8 A | 528.6 ± 183.9 B | 671.4 ± 104.3 A | 267.4 ± 67.1 B | 348.1 ± 219.3 |
| Szczecin Lagoon | 161.0 ±41.9 A | 440.4 ± 96.9 B | 632.6 ±99.7 A | 182.5 ± 29.9 A | ||
| Puck Bay | 153.0 ± 27.9 A | 133.2 ± 24.1 A | 601.7 ± 124.7 A | 235.6 ± 35.3 B | ||
| Average | 161.4 ± 40.3 | 367.4 ± 208.1 | 635.3 ± 111.5 | 228.5 ± 58.1 |
| Elements | DRI | mg Day−1 | %DRI | Szczecin Lagoon | Puck Bay | Average |
|---|---|---|---|---|---|---|
| Dąbie Lake | ||||||
| As * | TDI a | 0.07 | 0.50 | 0.32 | 0.26 | 0.36 |
| PTWI b | 0.15 | 0.23 | 0.15 | 0.12 | 0.17 | |
| ADI c | 0.13 | 0.30 | 0.17 | 0.14 | 0.20 | |
| Se | RDA d | 0.055 | 31.0 | 29.3 | 27.8 | 29.4 |
| UL d | 0.400 | 4.3 | 4.0 | 3.8 | 4.03 | |
| UL e | 0.255 | 6.7 | 6.3 | 6.0 | 6.33 |
| Elements | Sampling Place | RfD a mg kg−1 Day−1 | EDI mg kg−1 Day−1 | %RfD | THQ | CSF a mg kg−1 Day−1 | CR b mg kg−1 Day−1 |
|---|---|---|---|---|---|---|---|
| As | Dąbie Lake | 3.00 × 10−4 | 1.49 × 10−5 | 4.96 | 4.96 × 10−2 | 1.5 | 2.23 × 10−6 |
| Szczecin Lagoon | 9.47 × 10−6 | 3.16 | 3.16 × 10−2 | 1.42 × 10−6 | |||
| Puck Bay | 7.93 × 10−6 | 2.64 | 2.64 × 10−2 | 1.19 × 10−6 | |||
| Average | 1.08 × 10−5 | 3.59 | 3.59 × 10−2 | 1.61 × 10−6 | |||
| Se | Dąbie Lake | 5.00 × 10−3 | 7.30 × 10−5 | 1.46 | 1.46 × 10−2 | - | - |
| Szczecin Lagoon | 6.90 × 10−5 | 1.38 | 1.38 × 10−2 | - | |||
| Puck Bay | 6.56 × 10−5 | 1.31 | 1.31 × 10−2 | - | |||
| Average | 6.92 × 10−5 | 1.38 | 1.38 × 10−2 | - |
Disclaimer/Publisher’s Note: The statements, opinions and data contained in all publications are solely those of the individual author(s) and contributor(s) and not of MDPI and/or the editor(s). MDPI and/or the editor(s) disclaim responsibility for any injury to people or property resulting from any ideas, methods, instructions or products referred to in the content. |
© 2024 by the authors. Licensee MDPI, Basel, Switzerland. This article is an open access article distributed under the terms and conditions of the Creative Commons Attribution (CC BY) license (https://creativecommons.org/licenses/by/4.0/).
Share and Cite
Nędzarek, A.; Czerniejewski, P. Invasive Round Goby (Neogobius melanostomus) Fish from the Southern Baltic as a Source of Arsenic and Selenium—Food Safety Aspects. Foods 2024, 13, 1779. https://doi.org/10.3390/foods13111779
Nędzarek A, Czerniejewski P. Invasive Round Goby (Neogobius melanostomus) Fish from the Southern Baltic as a Source of Arsenic and Selenium—Food Safety Aspects. Foods. 2024; 13(11):1779. https://doi.org/10.3390/foods13111779
Chicago/Turabian StyleNędzarek, Arkadiusz, and Przemysław Czerniejewski. 2024. "Invasive Round Goby (Neogobius melanostomus) Fish from the Southern Baltic as a Source of Arsenic and Selenium—Food Safety Aspects" Foods 13, no. 11: 1779. https://doi.org/10.3390/foods13111779
APA StyleNędzarek, A., & Czerniejewski, P. (2024). Invasive Round Goby (Neogobius melanostomus) Fish from the Southern Baltic as a Source of Arsenic and Selenium—Food Safety Aspects. Foods, 13(11), 1779. https://doi.org/10.3390/foods13111779

