Antioxidant, Antibacterial and Antibiofilm Activity of Nanoemulsion-Based Natural Compound Delivery Systems Compared with Non-Nanoemulsified Versions
Abstract
1. Introduction
2. Materials and Methods
2.1. Materials
2.2. Nanoemulsion Development
2.3. Physicochemical Properties of Nanoemulsions
2.4. Antioxidant Activity
2.5. Antibacterial Activity
2.5.1. Preparation of Bacterial Suspensions
2.5.2. Minimum Inhibitory Concentration (MIC)
2.5.3. Bacterial Adhesion
2.5.4. Removal of Adhered Cells
2.6. Statistical Analysis
3. Results and Discussion
3.1. Droplet Properties
3.2. Antioxidant Activity
3.3. Minimum Inhibitory Concentration (MIC)
3.4. Antiadhesion Activity
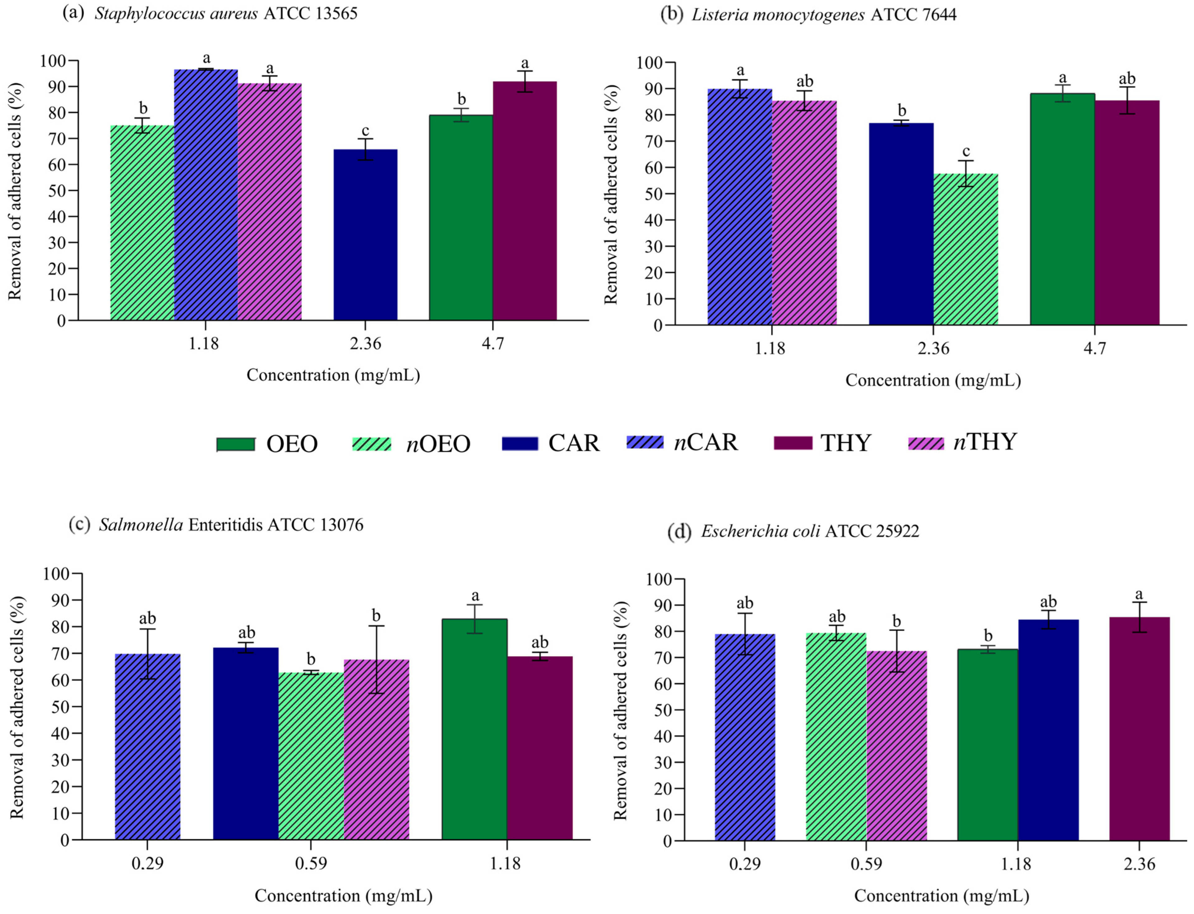
3.5. Removal of Adhered Cells
4. Conclusions
Author Contributions
Funding
Institutional Review Board Statement
Informed Consent Statement
Data Availability Statement
Conflicts of Interest
References
- da Silva, B.D.; do Rosário, D.K.A.; Weitz, D.A.; Conte-Junior, C.A. Essential Oil Nanoemulsions: Properties, Development, and Application in Meat and Meat Products. Trends Food Sci. Technol. 2022, 121, 1–13. [Google Scholar] [CrossRef]
- Sharma, K.; Babaei, A.; Oberoi, K.; Aayush, K.; Sharma, R.; Sharma, S. Essential Oil Nanoemulsion Edible Coating in Food Industry: A Review. Food Bioprocess Technol. 2022, 15, 2375–2395. [Google Scholar] [CrossRef]
- Yakoubi, S.; Kobayashi, I.; Uemura, K.; Nakajima, M.; Isoda, H.; Ksouri, R.; Saidani-Tounsi, M.; Neves, M.A. Essential-Oil-Loaded Nanoemulsion Lipidic-Phase Optimization and Modeling by Response Surface Methodology (RSM): Enhancement of Their Antimicrobial Potential and Bioavailability in Nanoscale Food Delivery System. Foods 2021, 10, 3149. [Google Scholar] [CrossRef]
- da Silva, B.D.; Rosario, D.K.A.D.; Conte-Junior, C.A. Can Droplet Size Influence Antibacterial Activity in Ultrasound-Prepared Essential Oil Nanoemulsions? Crit. Rev. Food Sci. Nutr. 2022; online ahead of print. [Google Scholar] [CrossRef]
- Bernardo, Y.A.d.A.; do Rosario, D.K.A.; Conte-Junior, C.A. Ultrasound on Milk Decontamination: Potential and Limitations Against Foodborne Pathogens and Spoilage Bacteria. Food Rev. Int. 2021, 39, 320–333. [Google Scholar] [CrossRef]
- Galvan, D.; Effting, L.; Torres Neto, L.; Conte-Junior, C.A. An Overview of Research of Essential Oils by Self-Organizing Maps: A Novel Approach for Meta-Analysis Study. Compr. Rev. Food Sci. Food Saf. 2021, 20, 3136–3163. [Google Scholar] [CrossRef]
- Torres Neto, L.; Monteiro, M.L.G.; Machado, M.A.M.; Galvan, D.; Conte Junior, C.A. An Optimization of Oregano, Thyme, and Lemongrass Essential Oil Blend to Simultaneous Inactivation of Relevant Foodborne Pathogens by Simplex–Centroid Mixture Design. Antibiotics 2022, 11, 1572. [Google Scholar] [CrossRef] [PubMed]
- FDA CFR-Code of Federal Regulations Title 21—Food and Drugs. Available online: https://www.accessdata.fda.gov/scripts/cdrh/cfdocs/cfcfr/CFRSearch.cfm?fr=182.20 (accessed on 3 June 2021).
- Kachur, K.; Suntres, Z. The Antibacterial Properties of Phenolic Isomers, Carvacrol and Thymol. Crit. Rev. Food Sci. Nutr. 2020, 60, 3042–3053. [Google Scholar] [CrossRef]
- Badia, V.; de Oliveira, M.S.R.; Polmann, G.; Milkievicz, T.; Galvão, A.C.; da Silva Robazza, W. Effect of the Addition of Antimicrobial Oregano (Origanum vulgare) and Rosemary (Rosmarinus officinalis) Essential Oils on Lactic Acid Bacteria Growth in Refrigerated Vacuum-Packed Tuscan Sausage. Braz. J. Microbiol. 2020, 51, 289–301. [Google Scholar] [CrossRef] [PubMed]
- Pateiro, M.; Munekata, P.E.S.; Sant’Ana, A.S.; Domínguez, R.; Rodríguez-Lázaro, D.; Lorenzo, J.M. Application of Essential Oils as Antimicrobial Agents against Spoilage and Pathogenic Microorganisms in Meat Products. Int. J. Food Microbiol. 2021, 337, 108966. [Google Scholar] [CrossRef]
- da Silva, B.D.; Bernardes, P.C.; Pinheiro, P.F.; Fantuzzi, E.; Roberto, C.D. Chemical Composition, Extraction Sources and Action Mechanisms of Essential Oils: Natural Preservative and Limitations of Use in Meat Products. Meat Sci. 2021, 176, 108463. [Google Scholar] [CrossRef]
- Barradas, T.N.; de Holanda e Silva, K.G. Nanoemulsions of Essential Oils to Improve Solubility, Stability and Permeability: A Review. Environ. Chem. Lett. 2021, 19, 1153–1171. [Google Scholar] [CrossRef]
- Yazgan, H.; Ozogul, Y.; Kuley, E. Antimicrobial Influence of Nanoemulsified Lemon Essential Oil and Pure Lemon Essential Oil on Food-Borne Pathogens and Fish Spoilage Bacteria. Int. J. Food Microbiol. 2019, 306, 108266. [Google Scholar] [CrossRef] [PubMed]
- Pavoni, L.; Perinelli, D.R.; Bonacucina, G.; Cespi, M.; Palmieri, G.F. An Overview of Micro- and Nanoemulsions as Vehicles for Essential Oils: Formulation, Preparation and Stability. Nanomaterials 2020, 10, 135. [Google Scholar] [CrossRef] [PubMed]
- da Silva, B.D.; do Rosário, D.K.A.; de Aguiar Bernardo, Y.A.; Conte-Junior, C.A. Improvement of Physicochemical and Antibacterial Properties of Nanoemulsified Origanum vulgare Essential Oil Through Optimization of Ultrasound Processing Variables. Food Bioprocess Technol. 2023; online ahead of print. [Google Scholar] [CrossRef]
- Ojha, K.S.; Tiwari, B.K.; O’Donnell, C.P. Effect of Ultrasound Technology on Food and Nutritional Quality. Adv. Food Nutr. Res. 2018, 84, 207–240. [Google Scholar] [CrossRef] [PubMed]
- Rufino, M.S.M.; Alves, R.E.; Brito, E.S.; Morais, S.M.; Sampaio, C.d.G.; Pérez-Jiménez, J.; Saura-Calixto, F.D. Metodologia Científica: Determinação Da Atividade Antioxidante Total Em Frutas Pela Captura Do Radical Livre DPPH Introdução. Comun. Tec. Embrapa 2007, 127, 1–4. [Google Scholar]
- Baj, T.; Baryluk, A.; Sieniawska, E. Application of Mixture Design for Optimum Antioxidant Activity of Mixtures of Essential Oils from Ocimum basilicum L., Origanum majorana L. and Rosmarinus officinalis L. Ind. Crops Prod. 2018, 115, 52–61. [Google Scholar] [CrossRef]
- M100-S16CLSI; Performance Standards for Antimicrobial Susceptibility Testing. Clinical and Laboratory Standards Institute Document; CLSI: Wayne, PA, USA, 2006.
- Wiegand, I.; Hilpert, K.; Hancock, R.E.W. Agar and Broth Dilution Methods to Determine the Minimal Inhibitory Concentration (MIC) of Antimicrobial Substances. Nat. Protoc. 2008, 3, 163–175. [Google Scholar] [CrossRef]
- Pejčić, M.; Stojanović-Radić, Z.; Genčić, M.; Dimitrijević, M.; Radulović, N. Anti-Virulence Potential of Basil and Sage Essential Oils: Inhibition of Biofilm Formation, Motility and Pyocyanin Production of Pseudomonas aeruginosa Isolates. Food Chem. Toxicol. 2020, 141, 111431. [Google Scholar] [CrossRef]
- Dghais, S.; Ben Jemaa, M.; Chouchen, M.; Jallouli, S.; Ksouri, R.; Falleh, H. Nano-Emulsification of Cinnamon and Curcuma Essential Oils for the Quality Improvement of Minced Meat Beef. Foods 2023, 12, 235. [Google Scholar] [CrossRef]
- Håkansson, A.; Rayner, M. General Principles of Nanoemulsion Formation by High-Energy Mechanical Methods. In Nanoemulsions: Formulation, Applications, and Characterization; Elsevier Science: Amsterdam, The Netherlands, 2018; pp. 103–139. [Google Scholar] [CrossRef]
- Ozogul, Y.; Kuley Boğa, E.; Akyol, I.; Durmus, M.; Ucar, Y.; Regenstein, J.M.; Köşker, A.R. Antimicrobial Activity of Thyme Essential Oil Nanoemulsions on Spoilage Bacteria of Fish and Food-Borne Pathogens. Food Biosci. 2020, 36, 100635. [Google Scholar] [CrossRef]
- Sepahvand, S.; Amiri, S.; Radi, M.; Akhavan, H.R. Antimicrobial Activity of Thymol and Thymol-Nanoemulsion Against Three Food-Borne Pathogens Inoculated in a Sausage Model. Food Bioprocess Technol. 2021, 14, 1936–1945. [Google Scholar] [CrossRef]
- Granato, D.; Shahidi, F.; Wrolstad, R.; Kilmartin, P.; Melton, L.D.; Hidalgo, F.J.; Miyashita, K.; van Camp, J.; Alasalvar, C.; Ismail, A.B.; et al. Antioxidant Activity, Total Phenolics and Flavonoids Contents: Should We Ban in vitro Screening Methods? Food Chem. 2018, 264, 471–475. [Google Scholar] [CrossRef]
- Beena; Kumar, D.; Rawat, D.S. Synthesis and Antioxidant Activity of Thymol and Carvacrol Based Schiff Bases. Bioorg. Med. Chem. Lett. 2013, 23, 641–645. [Google Scholar] [CrossRef]
- Lou, Z.; Chen, J.; Yu, F.; Wang, H.; Kou, X.; Ma, C.; Zhu, S. The Antioxidant, Antibacterial, Antibiofilm Activity of Essential Oil from Citrus medica L. Var. Sarcodactylis and Its Nanoemulsion. LWT-Food Sci. Technol. 2017, 80, 371–377. [Google Scholar] [CrossRef]
- Zamaniahari, S.; Jamshidi, A.; Moosavy, M.H.; Khatibi, S.A. Preparation and Evaluation of Mentha spicata L. Essential Oil Nanoemulsion: Physicochemical Properties, Antibacterial Activity against Foodborne Pathogens and Antioxidant Properties. J. Food Meas. Charact. 2022, 16, 3289–3300. [Google Scholar] [CrossRef]
- da Silva, B.D.; Bernardes, P.C.; Pinheiro, P.F.; di Giorgio Giannotti, J.; Roberto, C.D. Plectranthus amboinicus (Lour.) Spreng. Essential Oil as a Natural Alternative for the Conservation of Beef Patties Stored under Refrigeration. Food Biosci. 2022, 49, 101896. [Google Scholar] [CrossRef]
- Beales, N. Adaptation of Microorganisms to Cold Temperatures, Weak Acid Preservatives, Low PH, and Osmotic Stress: A Review. Compr. Rev. Food Sci. Food Saf. 2004, 3, 1–20. [Google Scholar] [CrossRef]
- Cui, H.; Zhang, C.; Li, C.; Lin, L. Antimicrobial Mechanism of Clove Oil on Listeria monocytogenes. Food Control 2018, 94, 140–146. [Google Scholar] [CrossRef]
- Jiménez, M.; Domínguez, J.A.A.; Pascual-Pineda, L.A.A.; Azuara, E.; Beristain, C.I.I.; Jimenez, M.; Dominguez, J.A.; Pascual-Pineda, L.A.A.; Azuara, E.; Beristain, C.I.I.; et al. Elaboration and Characterization of O/W Cinnamon (Cinnamomum zeylanicum) and Black Pepper (Piper nigrum) Emulsions. Food Hydrocoll. 2018, 77, 902–910. [Google Scholar] [CrossRef]
- Moghimi, R.; Aliahmadi, A.; Rafati, H.; Abtahi, H.R.; Amini, S.; Feizabadi, M.M. Antibacterial and Anti-Biofilm Activity of Nanoemulsion of Thymus daenensis Oil against Multi-Drug Resistant Acinetobacter baumannii. J. Mol. Liq. 2018, 265, 765–770. [Google Scholar] [CrossRef]
- Ćirić, A.D.; Petrović, J.D.; Glamočlija, J.M.; Smiljković, M.S.; Nikolić, M.M.; Stojković, D.S.; Soković, M.D. Natural Products as Biofilm Formation Antagonists and Regulators of Quorum Sensing Functions: A Comprehensive Review Update and Future Trends. S. Afr. J. Bot. 2019, 120, 65–80. [Google Scholar] [CrossRef]
- Gloag, E.S.; Fabbri, S.; Wozniak, D.J.; Stoodley, P. Biofilm Mechanics: Implications in Infection and Survival. Biofilm 2020, 2, 100017. [Google Scholar] [CrossRef] [PubMed]
- Lou, Z.X.; Letsididi, K.S.; Yu, F.H.; Pei, Z.J.; Wang, H.X.; Letsididi, R. Inhibitive Effect of Eugenol and Its Nanoemulsion on Quorum Sensing-Mediated Virulence Factors and Biofilm Formation by Pseudomonas aeruginosa. J. Food Prot. 2019, 82, 379–389. [Google Scholar] [CrossRef] [PubMed]
- Ghaderi, L.; Aliahmadi, A.; Ebrahimi, S.N.; Rafati, H. Effective Inhibition and Eradication of Pseudomonas aeruginosa Biofilms by Satureja khuzistanica Essential Oil Nanoemulsion. J. Drug Deliv. Sci. Technol. 2021, 61, 102260. [Google Scholar] [CrossRef]
- Barros, C.H.N.; Casey, E. A Review of Nanomaterials and Technologies for Enhancing the Antibiofilm Activity of Natural Products and Phytochemicals. ACS Appl. Nano Mater. 2020, 3, 8537–8556. [Google Scholar] [CrossRef]



| nOEO | nCAR | nTHY | |
|---|---|---|---|
| DS (nm) | 54.47 ± 0.43 a | 81.66 ± 3.95 b | 84.07 ± 0.77 b |
| PDI | 0.24 ± 0.01 b | 0.17 ± 0.02 a | 0.24 ± 0.01 b |
| ZP (mV) | −8.42 ± 0.74 a | −11.99 ± 0.45 b | −12.77 ± 0.84 b |
| pH | 6.03 ± 0.02 a | 6.12 ± 0.03 a | 6.03 ± 0.01 a |
| Bacteria | OEO | nOEO | CAR | nCAR | THY | nTHY |
|---|---|---|---|---|---|---|
| Escherichia coli | 0.59 | 0.29 | 0.59 | 0.147 | 1.18 | 0.29 |
| Salmonella Enteritidis | 0.59 | 0.29 | 0.29 | 0.147 | 0.59 | 0.29 |
| Staphylococcus aureus | 2.36 | 0.59 | 1.18 | 0.59 | 2.36 | 0.59 |
| Listeria monocytogenes | 2.36 | 1.18 | 1.18 | 0.59 | 2.36 | 0.59 |
Disclaimer/Publisher’s Note: The statements, opinions and data contained in all publications are solely those of the individual author(s) and contributor(s) and not of MDPI and/or the editor(s). MDPI and/or the editor(s) disclaim responsibility for any injury to people or property resulting from any ideas, methods, instructions or products referred to in the content. |
© 2023 by the authors. Licensee MDPI, Basel, Switzerland. This article is an open access article distributed under the terms and conditions of the Creative Commons Attribution (CC BY) license (https://creativecommons.org/licenses/by/4.0/).
Share and Cite
da Silva, B.D.; do Rosário, D.K.A.; Neto, L.T.; Lelis, C.A.; Conte-Junior, C.A. Antioxidant, Antibacterial and Antibiofilm Activity of Nanoemulsion-Based Natural Compound Delivery Systems Compared with Non-Nanoemulsified Versions. Foods 2023, 12, 1901. https://doi.org/10.3390/foods12091901
da Silva BD, do Rosário DKA, Neto LT, Lelis CA, Conte-Junior CA. Antioxidant, Antibacterial and Antibiofilm Activity of Nanoemulsion-Based Natural Compound Delivery Systems Compared with Non-Nanoemulsified Versions. Foods. 2023; 12(9):1901. https://doi.org/10.3390/foods12091901
Chicago/Turabian Styleda Silva, Bruno Dutra, Denes Kaic Alves do Rosário, Luiz Torres Neto, Carini Aparecida Lelis, and Carlos Adam Conte-Junior. 2023. "Antioxidant, Antibacterial and Antibiofilm Activity of Nanoemulsion-Based Natural Compound Delivery Systems Compared with Non-Nanoemulsified Versions" Foods 12, no. 9: 1901. https://doi.org/10.3390/foods12091901
APA Styleda Silva, B. D., do Rosário, D. K. A., Neto, L. T., Lelis, C. A., & Conte-Junior, C. A. (2023). Antioxidant, Antibacterial and Antibiofilm Activity of Nanoemulsion-Based Natural Compound Delivery Systems Compared with Non-Nanoemulsified Versions. Foods, 12(9), 1901. https://doi.org/10.3390/foods12091901

