Microencapsulation of Propolis and Honey Using Mixtures of Maltodextrin/Tara Gum and Modified Native Potato Starch/Tara Gum
Abstract
1. Introduction
2. Materials and Methods
2.1. Materials
2.2. Obtaining Native Potato Starch Modified with Octenyl Succinic Anhydride (OSA)
2.3. Obtaining Ethanolic Extracts from Propolis
2.4. Microencapsulation of Ethanolic Extracts of Propolis and Bee Honey
2.5. Total Flavonoids Content
2.6. Total Phenolic Compounds Content
2.7. Antioxidant Capacity Obtained by 2,2 Diphenyl-1-picrylhydrazyl (DPPH) and 2,2’-azinobis-3-ethylbenzothiazoline-6-sulfonic Acid (ABTS) Methods
2.8. pH and Soluble Solids in Honey
2.9. Encapsulation Efficiency, Yield, Hygroscopicity, and Solubility in Microencapsulates
2.10. Moisture, Water Activity (Aw), Bulk Density, and Color in Microencapsulates
2.11. Analysis of Total Organic Carbon (TOC) in Microencapsulates
2.12. Analysis by Scanning Electron Microscopy (SEM) and Energy Dispersive X-ray Spectroscopy (EDS)
2.13. Analysis of Particle Size and Potential ζ
2.14. Thermal Analysis in Microencapsulates
2.15. Analysis by Fourier Transform Infrared Spectroscopy (FTIR)
2.16. Analysis by X-ray Diffraction (XRD)
2.17. Kinetic Study of Phenolic Compounds
2.18. Particle Size in Aqueous Solution
2.19. Statistical Analysis
3. Results and Discussion
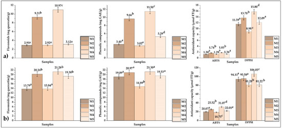
3.1. Characterization of Crude Propolis and Ethanolic Propolis Extracts before Microencapsulation
3.2. Characterization of Samples of Honey before Microencapsulation
3.3. Characterization of Wall Materials before Microencapsulation
3.4. Characterization of Microencapsulates
3.4.1. Physical and Chemical Properties of Microencapsulates
3.4.2. Analysis of Total Organic Carbon (TOC)
3.4.3. Analysis by SEM and EDS
3.4.4. Analysis of Particle Size and Potential ζ
3.4.5. Thermal Analysis
3.4.6. Analysis by FTIR
3.4.7. Analysis by X-ray Diffraction (XRD)
3.4.8. Kinetic Study of Phenolic Compounds
3.4.9. Particle Size in Aqueous Solution
4. Conclusions
Author Contributions
Funding
Data Availability Statement
Acknowledgments
Conflicts of Interest
References
- Maroof, K.; Lee, R.F.; Siow, L.F.; Gan, S.H. Microencapsulation of propolis by spray drying: A review. Dry. Technol. 2022, 40, 1083–1102. [Google Scholar] [CrossRef]
- Ligarda-Samanez, C.A.; Choque-Quispe, D.; Moscoso-Moscoso, E.; Huamán-Carrión, M.L.; Ramos-Pacheco, B.S.; Peralta-Guevara, D.E.; Cruz, G.D.; Martínez-Huamán, E.L.; Arévalo-Quijano, J.C.; Muñoz-Saenz, J.C.; et al. Obtaining and Characterizing Andean Multi-Floral Propolis Nanoencapsulates in Polymeric Matrices. Foods 2022, 11, 3153. [Google Scholar] [CrossRef]
- Wieczorek, P.P.; Hudz, N.; Yezerska, O.; Horčinová-Sedláčková, V.; Shanaida, M.; Korytniuk, O.; Jasicka-Misiak, I. Chemical Variability and Pharmacological Potential of Propolis as a Source for the Development of New Pharmaceutical Products. Molecules 2022, 27, 1600. [Google Scholar] [CrossRef]
- Jedlińska, A.; Samborska, K.; Wieczorek, A.; Wiktor, A.; Ostrowska-Ligęza, E.; Jamróz, W.; Skwarczyńska-Maj, K.; Kiełczewski, D.; Błażowski, Ł.; Tułodziecki, M. The application of dehumidified air in rapeseed and honeydew honey spray drying-Process performance and powders properties considerations. J. Food Eng. 2019, 245, 80–87. [Google Scholar] [CrossRef]
- Nunes, A.; Azevedo, G.Z.; dos Santos, B.R.; Borges, C.V.; Lima, G.P.P.; Crocoli, L.C.; Moura, S.; Maraschin, M. Characterization of Brazilian floral honey produced in the states of Santa Catarina and São Paulo through ultraviolet–visible (UV–vis), near-infrared (NIR), and nuclear magnetic resonance (NMR) spectroscopy. Food Res. Int. 2022, 162, 111913. [Google Scholar] [CrossRef] [PubMed]
- Becerril-Sánchez, A.L.; Quintero-Salazar, B.; Dublán-García, O.; Escalona-Buendía, H.B. Phenolic Compounds in Honey and Their Relationship with Antioxidant Activity, Botanical Origin, and Color. Antioxidants 2021, 10, 1700. [Google Scholar] [CrossRef]
- Furuta, T.; Neoh, T.L. Microencapsulation of food bioactive components by spray drying: A review. Dry. Technol. 2021, 39, 1800–1831. [Google Scholar] [CrossRef]
- Mohammadalinejhad, S.; Kurek, M.A. Microencapsulation of Anthocyanins—Critical Review of Techniques and Wall Materials. Appl. Sci. 2021, 11, 3936. [Google Scholar] [CrossRef]
- Coimbra, P.P.S.; Cardoso, F.d.S.N.; Goncalves, E.C.B.d.A. Spray-drying wall materials: Relationship with bioactive compounds. Crit. Rev. Food Sci. Nutr. 2021, 61, 2809–2826. [Google Scholar] [CrossRef]
- Kandasamy, S.; Naveen, R. A review on the encapsulation of bioactive components using spray-drying and freeze-drying techniques. J. Food Process. Eng. 2022, 45, e14059. [Google Scholar] [CrossRef]
- Šturm, L.; Osojnik Črnivec, I.G.; Istenič, K.; Ota, A.; Megušar, P.; Slukan, A.; Humar, M.; Levic, S.; Nedović, V.; Kopinč, R.; et al. Encapsulation of non-dewaxed propolis by freeze-drying and spray-drying using gum Arabic, maltodextrin and inulin as coating materials. Food Bioprod. Process. 2019, 116, 196–211. [Google Scholar] [CrossRef]
- Kyriakoudi, A.; Tsimidou, M.Z. Properties of encapsulated saffron extracts in maltodextrin using the Büchi B-90 nano spray-dryer. Food Chem. 2018, 266, 458–465. [Google Scholar] [CrossRef]
- Carpentier, J.; Conforto, E.; Chaigneau, C.; Vendeville, J.-E.; Maugard, T. Microencapsulation and controlled release of α-tocopherol by complex coacervation between pea protein and tragacanth gum: A comparative study with arabic and tara gums. Innov. Food Sci. Emerg. Technol. 2022, 77, 102951. [Google Scholar] [CrossRef]
- Ligarda-Samanez, C.A.; Moscoso-Moscoso, E.; Choque-Quispe, D.; Palomino-Rincón, H.; Martínez-Huamán, E.L.; Huamán-Carrión, M.L.; Peralta-Guevara, D.E.; Aroni-Huamán, J.; Arévalo-Quijano, J.C.; Palomino-Rincón, W.; et al. Microencapsulation of Erythrocytes Extracted from Cavia porcellus Blood in Matrices of Tara Gum and Native Potato Starch. Foods 2022, 11, 2107. [Google Scholar] [CrossRef]
- Khlestkin, V.; Erst, T.; Igoshin, A.; Rozanova, I.; Khlestkina, E. Meta-Analysis of Genetic Factors for Potato Starch Phosphorylation. Agronomy 2022, 12, 1343. [Google Scholar] [CrossRef]
- Altuna, L.; Herrera, M.L.; Foresti, M.L. Synthesis and characterization of octenyl succinic anhydride modified starches for food applications. A review of recent literature. Food Hydrocoll. 2018, 80, 97–110. [Google Scholar] [CrossRef]
- Ramakrishnan, Y.; Adzahan, N.M.; Yusof, Y.A.; Muhammad, K. Effect of wall materials on the spray drying efficiency, powder properties and stability of bioactive compounds in tamarillo juice microencapsulation. Powder Technol. 2018, 328, 406–414. [Google Scholar] [CrossRef]
- Hoyos-Leyva, J.D.; Bello-Pérez, L.A.; Alvarez-Ramirez, J.; Garcia, H.S. Microencapsulation using starch as wall material: A review. Food Rev. Int. 2018, 34, 148–161. [Google Scholar] [CrossRef]
- Choque-Quispe, D.; Froehner, S.; Ligarda-Samanez, C.A.; Ramos-Pacheco, B.S.; Palomino-Rincón, H.; Choque-Quispe, Y.; Solano-Reynoso, A.M.; Taipe-Pardo, F.; Zamalloa-Puma, L.M.; Calla-Florez, M.; et al. Preparation and Chemical and Physical Characteristics of an Edible Film Based on Native Potato Starch and Nopal Mucilage. Polymers 2021, 13, 3719. [Google Scholar] [CrossRef]
- Siroha, A.K.; Bangar, S.P.; Sandhu, K.S.; Lorenzo, J.M.; Trif, M. Octenyl Succinic Anhydride Modified Pearl Millet Starches: An Approach for Development of Films/Coatings. Polymers 2022, 14, 2478. [Google Scholar] [CrossRef]
- Popova, M.; Bankova, V.; Butovska, D.; Petkov, V.; Nikolova-Damyanova, B.; Sabatini, A.G.; Marcazzan, G.L.; Bogdanov, S. Validated methods for the quantification of biologically active constituents of poplar-type propolis. Phytochem. Anal. Int. J. Plant Chem. Biochem. Tech. 2004, 15, 235–240. [Google Scholar] [CrossRef] [PubMed]
- Singleton, V.L.; Orthofer, R.; Lamuela-Raventós, R.M. Analysis of total phenols and other oxidation substrates and antioxidants by means of folin-ciocalteu reagent. In Methods in Enzymology; Academic Press: Cambridge, MA, USA, 1999; Volume 299, pp. 152–178. [Google Scholar]
- Amarowicz, R.; Pegg, R.B.; Rahimi-Moghaddam, P.; Barl, B.; Weil, J.A. Free-radical scavenging capacity and antioxidant activity of selected plant species from the Canadian prairies. Food Chem. 2004, 84, 551–562. [Google Scholar] [CrossRef]
- Ibrahim, M.E.E.-D.; Alqurashi, R.M. Anti-fungal and antioxidant properties of propolis (bee glue) extracts. Int. J. Food Microbiol. 2022, 361, 109463. [Google Scholar] [CrossRef]
- Shehata, M.G.; Ahmad, F.T.; Badr, A.N.; Masry, S.H.; El-Sohaimy, S.A. Chemical analysis, antioxidant, cytotoxic and antimicrobial properties of propolis from different geographic regions. Ann. Agric. Sci. 2020, 65, 209–217. [Google Scholar] [CrossRef]
- Dorman, H.J.D.; Hiltunen, R. Fe(III) reductive and free radical-scavenging properties of summer savory (Satureja hortensis L.) extract and subfractions. Food Chem. 2004, 88, 193–199. [Google Scholar] [CrossRef]
- Tomé, A.C.; da Silva, F.A. Alginate based encapsulation as a tool for the protection of bioactive compounds from aromatic herbs. Food Hydrocoll. Health 2022, 2, 100051. [Google Scholar] [CrossRef]
- Horwitz, W. Official methods of analysis of AOAC international. In Agricultural Chemicals, Contaminants, Drugs; Horwitz, W., Ed.; AOAC International: Gaithersburg, MD, USA, 2000; Volume I. [Google Scholar]
- Schramm, L.L. Emulsions, Foams, Suspensions, and Aerosols: Microscience and Applications; John Wiley & Sons: Hoboken, NJ, USA, 2014. [Google Scholar]
- Khacha-Ananda, S.; Tragoolpua, K.; Chantawannakul, P.; Tragoolpua, Y. Antioxidant and anti-cancer cell proliferation activity of propolis extracts from two extraction methods. Asian Pac. J. Cancer Prev. 2013, 14, 6991–6995. [Google Scholar] [CrossRef]
- Betances-Salcedo, E.; Revilla, I.; Vivar-Quintana, A.M.; González-Martín, M.I. Flavonoid and Antioxidant Capacity of Propolis Prediction Using Near Infrared Spectroscopy. Sensors 2017, 17, 1647. [Google Scholar] [CrossRef]
- Chang, C.-C.; Yang, M.-H.; Wen, H.-M.; Chern, J.-C. Estimation of total flavonoid content in propolis by two complementary colorimetric methods. J. Food Drug Anal. 2002, 10, 3. [Google Scholar] [CrossRef]
- Liben, T.; Atlabachew, M.; Abebe, A.J.C.F. Total phenolic, flavonoids and some selected metal content in honey and propolis samples from South Wolo zone, Amhara region, Ethiopia. Cogent Food Agric. 2018, 4, 1475925. [Google Scholar] [CrossRef]
- Ding, Q.; Sheikh, A.R.; Gu, X.; Li, J.; Xia, K.; Sun, N.; Wu, R.A.; Luo, L.; Zhang, Y.; Ma, H. Chinese Propolis: Ultrasound-assisted enhanced ethanolic extraction, volatile components analysis, antioxidant and antibacterial activity comparison. Food Sci. Nutr. 2021, 9, 313–330. [Google Scholar] [CrossRef] [PubMed]
- Albu, A.; Radu-Rusu, C.-G.; Pop, I.M.; Frunza, G.; Nacu, G. Quality Assessment of Raw Honey Issued from Eastern Romania. Agriculture 2021, 11, 247. [Google Scholar] [CrossRef]
- Pant, K.; Thakur, M.; Chopra, H.K.; Nanda, V. Encapsulated bee propolis powder: Drying process optimization and physicochemical characterization. LWT 2022, 155, 112956. [Google Scholar] [CrossRef]
- Busch, V.M.; Pereyra-Gonzalez, A.; Šegatin, N.; Santagapita, P.R.; Poklar Ulrih, N.; Buera, M.P. Propolis encapsulation by spray drying: Characterization and stability. LWT 2017, 75, 227–235. [Google Scholar] [CrossRef]
- Andrade, J.K.S.; Denadai, M.; Andrade, G.R.S.; da Cunha Nascimento, C.; Barbosa, P.F.; Jesus, M.S.; Narain, N. Development and characterization of microencapsules containing spray dried powder obtained from Brazilian brown, green and red propolis. Food Res. Int. 2018, 109, 278–287. [Google Scholar] [CrossRef] [PubMed]
- Kaul, S.; Kaur, K.; Mehta, N.; Dhaliwal, S.S.; Kennedy, J.F. Characterization and optimization of spray dried iron and zinc nanoencapsules based on potato starch and maltodextrin. Carbohydr. Polym. 2022, 282, 119107. [Google Scholar] [CrossRef] [PubMed]
- Wang, L.; Clardy, A.; Hui, D.; Wu, Y. Physiochemical properties of encapsulated bitter melon juice using spray drying. Bioact. Carbohydr. Diet. Fibre 2021, 26, 100278. [Google Scholar] [CrossRef]
- Bicudo, M.O.P.; Jó, J.; Oliveira, G.A.d.; Chaimsohn, F.P.; Sierakowski, M.R.; Freitas, R.A.d.; Ribani, R.H. Microencapsulation of juçara (Euterpe edulis M.) pulp by spray drying using different carriers and drying temperatures. Dry. Technol. 2015, 33, 153–161. [Google Scholar] [CrossRef]
- Moslemi, M.; Hosseini, H.; Erfan, M.; Mortazavian, A.M.; Fard, R.M.N.; Neyestani, T.R.; Komeyli, R. Characterisation of spray-dried microparticles containing iron coated by pectin/resistant starch. Int. J. Food Sci. Technol. 2014, 49, 1736–1742. [Google Scholar] [CrossRef]
- de Barros Fernandes, R.V.; Borges, S.V.; Botrel, D.A. Gum arabic/starch/maltodextrin/inulin as wall materials on the microencapsulation of rosemary essential oil. Carbohydr. Polym. 2014, 101, 524–532. [Google Scholar] [CrossRef]
- Wardhani, D.H.; Wardana, I.N.; Ulya, H.N.; Cahyono, H.; Kumoro, A.C.; Aryanti, N. The effect of spray-drying inlet conditions on iron encapsulation using hydrolysed glucomannan as a matrix. Food Bioprod. Process. 2020, 123, 72–79. [Google Scholar] [CrossRef]
- Premi, M.; Sharma, H. Effect of different combinations of maltodextrin, gum arabic and whey protein concentrate on the encapsulation behavior and oxidative stability of spray dried drumstick (Moringa oleifera) oil. Int. J. Biol. Macromol. 2017, 105, 1232–1240. [Google Scholar] [CrossRef] [PubMed]
- Ruengdech, A.; Siripatrawan, U. Improving encapsulating efficiency, stability, and antioxidant activity of catechin nanoemulsion using foam mat freeze-drying: The effect of wall material types and concentrations. LWT 2022, 162, 113478. [Google Scholar] [CrossRef]
- Zotarelli, M.F.; da Silva, V.M.; Durigon, A.; Hubinger, M.D.; Laurindo, J.B. Production of mango powder by spray drying and cast-tape drying. Powder Technol. 2017, 305, 447–454. [Google Scholar] [CrossRef]
- Tuyen, C.K.; Nguyen, M.H.; Roach, P.D. Effects of spray drying conditions on the physicochemical and antioxidant properties of the Gac (Momordica cochinchinensis) fruit aril powder. J. Food Eng. 2010, 98, 385–392. [Google Scholar] [CrossRef]
- Ricci, A.; Mejia, J.A.A.; Versari, A.; Chiarello, E.; Bordoni, A.; Parpinello, G.P. Microencapsulation of polyphenolic compounds recovered from red wine lees: Process optimization and nutraceutical study. Food Bioprod. Process. 2022, 132, 1–12. [Google Scholar] [CrossRef]
- Salum, P.; Berktas, S.; Cam, M.; Erbay, Z. Enzyme-modified cheese powder production: Influence of spray drying conditions on the physical properties, free fatty acid content and volatile compounds. Int. Dairy J. 2022, 125, 105241. [Google Scholar] [CrossRef]
- Koç, M.; Baysan, U.; Devseren, E.; Okut, D.; Atak, Z.; Karataş, H.; Kaymak-Ertekin, F. Effects of different cooking methods on the chemical and physical properties of carrots and green peas. Innov. Food Sci. Emerg. Technol. 2017, 42, 109–119. [Google Scholar] [CrossRef]
- Vítězová, M.; Jančiková, S.; Dordević, D.; Vítěz, T.; Elbl, J.; Hanišáková, N.; Jampílek, J.; Kushkevych, I. The possibility of using spent coffee grounds to improve wastewater treatment due to respiration activity of microorganisms. Appl. Sci. 2019, 9, 3155. [Google Scholar] [CrossRef]
- Ligarda-Samanez, C.A.; Choque-Quispe, D.; Palomino-Rincón, H.; Ramos-Pacheco, B.S.; Moscoso-Moscoso, E.; Huamán-Carrión, M.L.; Peralta-Guevara, D.E.; Obregón-Yupanqui, M.E.; Aroni-Huamán, J.; Bravo-Franco, E.Y.; et al. Modified Polymeric Biosorbents from Rumex acetosella for the Removal of Heavy Metals in Wastewater. Polymers 2022, 14, 2191. [Google Scholar] [CrossRef]
- Rezvankhah, A.; Emam-Djomeh, Z.; Askari, G. Encapsulation and delivery of bioactive compounds using spray and freeze-drying techniques: A review. Dry. Technol. 2020, 38, 235–258. [Google Scholar] [CrossRef]
- Choque-Quispe, D.; Mojo-Quisani, A.; Ligarda-Samanez, C.A.; Calla-Florez, M.; Ramos-Pacheco, B.S.; Zamalloa-Puma, L.M.; Peralta-Guevara, D.E.; Solano-Reynoso, A.M.; Choque-Quispe, Y.; Zamalloa-Puma, A. Preliminary Characterization of a Spray-Dried Hydrocolloid from a High Andean Algae (Nostoc sphaericum). Foods 2022, 11, 1640. [Google Scholar] [CrossRef] [PubMed]
- Samborska, K.; Poozesh, S.; Barańska, A.; Sobulska, M.; Jedlińska, A.; Arpagaus, C.; Malekjani, N.; Jafari, S.M. Innovations in spray drying process for food and pharma industries. J. Food Eng. 2022, 321, 110960. [Google Scholar] [CrossRef]
- Zhang, H.; Gong, T.; Li, J.; Pan, B.; Hu, Q.; Duan, M.; Zhang, X. Study on the Effect of Spray Drying Process on the Quality of Microalgal Biomass: A Comprehensive Biocomposition Analysis of Spray-Dried S. acuminatus Biomass. BioEnergy Res. 2022, 15, 320–333. [Google Scholar] [CrossRef]
- Halahlah, A.; Piironen, V.; Mikkonen, K.S.; Ho, T.M. Polysaccharides as wall materials in spray-dried microencapsulation of bioactive compounds: Physicochemical properties and characterization. Crit. Rev. Food Sci. Nutr. 2022, 2, 1–33. [Google Scholar] [CrossRef] [PubMed]
- Li, N.; Li, X.; Yang, P.; Liu, H.; Kong, L.; Yu, X. Microencapsulation of Fe2+ in Spray-Dried Lactose for Improved Bioavailability. Bioinorg. Chem. Appl. 2021, 2021, 5840852. [Google Scholar] [CrossRef]
- Mishra, A.; Kumar, J.; Bhainsa, K.C. Applicability of Spray Drying Technique to Prepare Nano-Micro Carriers: A Review. Nanoarchitectonics 2022, 3, 33–45. [Google Scholar] [CrossRef]
- da Silva, F.C.; da Fonseca, C.R.; de Alencar, S.M.; Thomazini, M.; Balieiro, J.C.d.C.; Pittia, P.; Favaro-Trindade, C.S. Assessment of production efficiency, physicochemical properties and storage stability of spray-dried propolis, a natural food additive, using gum Arabic and OSA starch-based carrier systems. Food Bioprod. Process. 2013, 91, 28–36. [Google Scholar] [CrossRef]
- Di Battista, C.A.; Constenla, D.; Ramírez-Rigo, M.V.; Piña, J. The use of arabic gum, maltodextrin and surfactants in the microencapsulation of phytosterols by spray drying. Powder Technol. 2015, 286, 193–201. [Google Scholar] [CrossRef]
- Adsare, S.R.; Annapure, U.S. Microencapsulation of curcumin using coconut milk whey and Gum Arabic. J. Food Eng. 2021, 298, 110502. [Google Scholar] [CrossRef]
- Medina-Torres, L.; Calderas, F.; Ramírez, D.M.N.; Herrera-Valencia, E.E.; Bernad, M.J.B.; Manero, O. Spray drying egg using either maltodextrin or nopal mucilage as stabilizer agents. J. Food Sci. Technol. 2017, 54, 4427. [Google Scholar] [CrossRef]
- Tontul, I.; Topuz, A. Spray-drying of fruit and vegetable juices: Effect of drying conditions on the product yield and physical properties. Trends Food Sci. Technol. 2017, 63, 91–102. [Google Scholar] [CrossRef]
- Ferrari, C.C.; Germer, S.P.M.; de Aguirre, J.M. Effects of spray-drying conditions on the physicochemical properties of blackberry powder. Dry. Technol. 2012, 30, 154–163. [Google Scholar] [CrossRef]
- Ballesteros, L.F.; Ramirez, M.J.; Orrego, C.E.; Teixeira, J.A.; Mussatto, S.I. Encapsulation of antioxidant phenolic compounds extracted from spent coffee grounds by freeze-drying and spray-drying using different coating materials. Food Chem. 2017, 237, 623–631. [Google Scholar] [CrossRef]
- Jafari, Y.; Sabahi, H.; Rahaie, M. Stability and loading properties of curcumin encapsulated in Chlorella vulgaris. Food Chem. 2016, 211, 700–706. [Google Scholar] [CrossRef] [PubMed]
- Castro-López, C.; Espinoza-González, C.; Ramos-González, R.; Boone-Villa, V.D.; Aguilar-González, M.A.; Martínez-Ávila, G.C.; Aguilar, C.N.; Ventura-Sobrevilla, J.M. Spray-drying encapsulation of microwave-assisted extracted polyphenols from Moringa oleifera: Influence of tragacanth, locust bean, and carboxymethyl-cellulose formulations. Food Res. Int. 2021, 144, 110291. [Google Scholar] [CrossRef] [PubMed]
- Nandiyanto, A.B.D.; Oktiani, R.; Ragadhita, R. How to read and interpret FTIR spectroscope of organic material. Indones. J. Sci. Technol. 2019, 4, 97–118. [Google Scholar] [CrossRef]
- Outuki, P.M.; de Francisco, L.M.B.; Hoscheid, J.; Bonifácio, K.L.; Barbosa, D.S.; Cardoso, M.L.C. Development of arabic and xanthan gum microparticles loaded with an extract of Eschweilera nana Miers leaves with antioxidant capacity. Colloids Surf. A: Physicochem. Eng. Asp. 2016, 499, 103–112. [Google Scholar] [CrossRef]
- Cai, R.; Wang, S.; Meng, Y.; Meng, Q.; Zhao, W. Rapid quantification of flavonoids in propolis and previous study for classification of propolis from different origins by using near infrared spectroscopy. Anal. Methods 2012, 4, 2388–2395. [Google Scholar] [CrossRef]
- dos Santos Grasel, F.; Ferrão, M.F.; Wolf, C.R. Development of methodology for identification the nature of the polyphenolic extracts by FTIR associated with multivariate analysis. Spectrochim. Acta Part A Mol. Biomol. Spectrosc. 2016, 153, 94–101. [Google Scholar] [CrossRef]
- Krishnaiah, D.; Sarbatly, R.; Nithyanandam, R. Microencapsulation of Morinda citrifolia L. extract by spray-drying. Chem. Eng. Res. Des. 2012, 90, 622–632. [Google Scholar] [CrossRef]
- Franca, J.R.; De Luca, M.P.; Ribeiro, T.G.; Castilho, R.O.; Moreira, A.N.; Santos, V.R.; Faraco, A.A. Propolis-based chitosan varnish: Drug delivery, controlled release and antimicrobial activity against oral pathogen bacteria. BMC Complement. Altern. Med. 2014, 14, 478. [Google Scholar] [CrossRef] [PubMed]
- Martín Ramos, P.; Ruíz Potosme, N.M.; Fernández Coppel, I.A.; Martín Gil, J. Potential of ATR-FTIR Spectroscopy for the Classification of Natural Resins. Biol. Eng. Med. Sci. Rep. 2018, 4, 3–6. [Google Scholar]
- Moţ, A.C.; Silaghi-Dumitrescu, R.; Sârbu, C. Rapid and effective evaluation of the antioxidant capacity of propolis extracts using DPPH bleaching kinetic profiles, FT-IR and UV–vis spectroscopic data. J. Food Compos. Anal. 2011, 24, 516–522. [Google Scholar] [CrossRef]
- Cardoso, E.d.O.; Conti, B.J.; Santiago, K.B.; Conte, F.L.; Oliveira, L.P.G.; Hernandes, R.T.; Golim, M.d.A.; Sforcin, J.M. Phenolic compounds alone or in combination may be involved in propolis effects on human monocytes. J. Pharm. Pharmacol. 2017, 69, 99–108. [Google Scholar] [CrossRef]
- Sousa, C.M.d.M.; Silva, H.R.; Ayres, M.C.C.; Costa, C.L.S.d.; Araújo, D.S.; Cavalcante, L.C.D.; Barros, E.D.S.; Araújo, P.B.d.M.; Brandão, M.S.; Chaves, M.H. Fenóis totais e atividade antioxidante de cinco plantas medicinais. Quím. Nova 2007, 30, 351–355. [Google Scholar] [CrossRef]
- Tahir, H.E.; Xiaobo, Z.; Zhihua, L.; Jiyong, S.; Zhai, X.; Wang, S.; Mariod, A.A. Rapid prediction of phenolic compounds and antioxidant activity of Sudanese honey using Raman and Fourier transform infrared (FT-IR) spectroscopy. Food Chem. 2017, 226, 202–211. [Google Scholar] [CrossRef]
- Shakoury, N.; Aliyari, M.A.; Salami, M.; Emam-Djomeh, Z.; Vardhanabhuti, B.; Moosavi-Movahedi, A.A. Encapsulation of propolis extract in whey protein nanoparticles. LWT 2022, 158, 113138. [Google Scholar] [CrossRef]
- Mavri, A.; Abramovič, H.; Polak, T.; Bertoncelj, J.; Jamnik, P.; Smole Možina, S.; Jeršek, B. Chemical properties and antioxidant and antimicrobial activities of Slovenian propolis. Chem. Biodivers. 2012, 9, 1545–1558. [Google Scholar] [CrossRef]














| Microencapsulates A | M1-A | M2-A | M3-A | M4-A | M5-A | |||||
|---|---|---|---|---|---|---|---|---|---|---|
| Properties | ± SD | * | ± SD | * | ± SD | * | ± SD | * | ± SD | * |
| Phenolic compounds | 2.81 ± 0.01 | a | 5.07 ± 0.03 | b | 1.90 ± 0.03 | c | 6.24 ± 0.02 | d | 3.91 ± 0.01 | e |
| Flavonoids | 2.38 ± 0.05 | a | 5.14 ± 0.05 | b | 1.87 ± 0.05 | c | 6.71 ± 0.09 | d | 2.60 ± 0.05 | e |
| DPPH | 11.86 ± 0.30 | a | 18.66 ± 0.68 | b | 9.67 ± 0.39 | c | 22.19 ± 0.98 | d | 13.43 ± 0.39 | e |
| ABTS | 2.55 ± 0.06 | a | 3.13 ± 0.05 | b | 2.38 ± 0.06 | c | 3.64 ± 0.09 | d | 2.83 ± 0.05 | e |
| Encapsulation efficiency (%) | 29.45 ± 0.03 | a | 48.39 ± 0.16 | b | 25.57 ± 0.23 | c | 58.64 ± 0.11 | d | 40.08 ± 0.05 | e |
| Yield (%) | 51.23 ± 1.05 | a | 52.34 ± 0.81 | ab | 51.34 ± 1.20 | a | 53.24 ±0.89 | a | 52.25 ± 1.00 | ab |
| Hygroscopicity (%) | 8.34 ± 0.66 | a | 6.82 ± 0.06 | b | 8.22 ± 0.18 | a | 6.63 ± 0.18 | b | 6.94 ± 0.16 | b |
| Solubility | 90.28 ± 0.46 | ab | 90.59 ± 1.29 | ab | 91.26 ± 0.56 | b | 89.63 ± 0.87 | a | 92.84 ± 0.46 | c |
| Moisture (%) | 5.41 ± 0.03 | a | 6.87 ± 0.04 | b | 7.33 ± 0.06 | c | 7.23 ± 0.06 | c | 6.75 ± 0.09 | d |
| Aw | 0.26 ± 0.002 | a | 0.33 ± 0.001 | b | 0.36 ± 0.001 | c | 0.35 ± 0.001 | d | 0.33 ± 0.001 | b |
| Bulk density | 0.41 ± 0.02 | a | 0.33 ± 0.01 | b | 0.31 ± 0.01 | b | 0.33 ± 0.01 | b | 0.33 ± 0.01 | b |
| L | 92.39 ± 0.02 | a | 90.81 ± 0.04 | b | 92.16 ± 0.01 | c | 91.94 ± 0.08 | d | 92.82 ± 0.01 | e |
| a | −0.78 ± 0.01 | a | −0.46 ± 0.01 | b | −0.85 ± 0.01 | c | −1.12 ± 0.01 | d | −0.88 ± 0.01 | e |
| b | 5.88 ± 0.01 | a | 7.19 ± 0.02 | b | 6.30 ± 0.01 | c | 6.56 ± 0.03 | d | 6.05 ± 0.05 | e |
| MicroencapsulatesB | M1-B | M2-B | M3-B | M4-B | M5-B | |||||
| Properties | ± SD | * | ± SD | * | ± SD | * | ± SD | * | ± SD | * |
| Phenolic compounds | 2.59 ± 0.08 | a | 4.82 ± 0.03 | b | 1.56 ± 0.04 | c | 6.04 ± 0.02 | d | 3.37 ± 0.01 | e |
| Flavonoids | 2.24 ± 0.05 | a | 4.97 ± 0.03 | b | 1.77 ± 0.07 | c | 6.53 ± 0.09 | d | 2.45 ± 0.07 | e |
| DPPH | 11.79 ± 0.20 | a | 16.74 ± 0.49 | b | 8.71 ± 0.39 | c | 20.25 ± 0.59 | d | 12.81 ± 0.30 | e |
| ABTS | 2.27 ± 0.05 | a | 2.85 ± 0.03 | b | 2.05 ± 0.07 | c | 3.27 ± 0.09 | d | 2.67 ± 0.07 | e |
| Encapsulation efficiency (%) | 24.66 ± 0.39 | a | 46.01 ±0.16 | b | 20.93 ± 0.28 | c | 56.74 ± 0.09 | d | 34.46 ± 0.07 | e |
| Yield (%) | 55.83 ± 0.93 | ab | 57.03 ± 0.21 | b | 55.00 ±0.85 | a | 56.28 ± 0.45 | ab | 55.90 ± 0.85 | ab |
| Hygroscopicity (%) | 9.45 ± 0.16 | a | 7.93 ± 0.17 | b | 9.63 ± 0.19 | a | 7.61 ± 0.06 | b | 8.22 ± 0.18 | b |
| Solubility | 82.89 ± 1.46 | a | 81.83 ± 1.17 | a | 78.16 ± 0.57 | b | 76.14 ± 1.15 | c | 78.62 ± 0.96 | b |
| Moisture (%) | 5.28 ± 0.03 | a | 6.75 ± 0.05 | b | 7.03 ± 0.11 | c | 7.02 ± 0.10 | c | 5.29 ± 0.09 | a |
| Aw | 0.26 ± 0.001 | a | 0.33 ± 0.001 | b | 0.34 ± 0.001 | c | 0.34 ±0.002 | c | 0.26 ± 0.002 | a |
| Bulk density | 0.39 ± 0.01 | a | 0.32 ± 0.01 | b | 0.32 ± 0.01 | b | 0.32 ± 0.02 | b | 0.41 ± 0.02 | a |
| L | 92.00 ± 0.01 | a | 91.13 ± 0.01 | b | 92.26 ± 0.01 | c | 92.03 ± 0.01 | d | 92.56 ± 0.03 | e |
| a | −0.76 ± 0.01 | a | −0.48 ± 0.01 | b | −0.73 ± 0.01 | c | −1.19 ± 0.01 | d | −0.94 ± 0.02 | e |
| b | 6.44 ± 0.01 | a | 7.34 ± 0.01 | b | 5.72 ± 0.01 | c | 6.46 ± 0.02 | a | 6.30 ± 0.01 | d |
| Microencapsulate A | M1-A | M2-A | M3-A | M4-A | M5-A | |||||
|---|---|---|---|---|---|---|---|---|---|---|
| Element | C | O | C | O | C | O | C | O | C | O |
| Atomic % | 64.7 | 35.3 | 48.4 | 51.6 | 75.0 | 25.0 | 71.5 | 28.5 | 51.4 | 48.6 |
| Atomic % Error | 0.1 | 0.1 | 0.1 | 0.2 | 0.2 | 0.1 | 0.2 | 0.1 | 0.1 | 0.1 |
| Weight % | 57.9 | 42.1 | 41.3 | 58.7 | 69.2 | 30.8 | 65.4 | 34.6 | 44.2 | 55.8 |
| Weight % Error | 0.1 | 0.1 | 0.1 | 0.3 | 0.1 | 0.1 | 0.1 | 0.1 | 0.1 | 0.2 |
| Microencapsulate B | M1-B | M2-B | M3-B | M4-B | M5-B | |||||
| Element | C | O | C | O | C | O | C | O | C | O |
| Atomic % | 46.3 | 53.7 | 40.1 | 59.9 | 41.0 | 59.0 | 41.5 | 58.5 | 41.0 | 59.0 |
| Atomic % Error | 0.1 | 0.2 | 0.1 | 0.2 | 0.1 | 0.2 | 0.1 | 0.2 | 0.1 | 0.2 |
| Weight % | 39.2 | 60.8 | 33.4 | 66.6 | 34.3 | 65.7 | 34.8 | 65.2 | 34.3 | 65.7 |
| Weight % Error | 0.1 | 0.2 | 0.1 | 0.2 | 0.1 | 0.2 | 0.1 | 0.2 | 0.1 | 0.2 |
| Microencapsulates | Peak | Size (nm) | % | Microencapsulates | Peak | Size (nm) | % |
|---|---|---|---|---|---|---|---|
| M1-A | 1 | 219.30 | 100 | M1-B | 1 | 232.00 | 100 |
| M2-A | 1 | 250.30 | 100 | M2-B | 1 | 169.90 | 100 |
| M3-A | 1 | 168.30 | 89.53 | M3-B | 1 | 430.80 | 100 |
| 2 | 13.06 | 10.47 | M4-B | 1 | 191.60 | 100 | |
| M4-A | 1 | 174.80 | 100 | M5-B | 1 | 135.00 | 94.57 |
| M5-A | 1 | 153.9 | 100 | 2 | 1.44 | 5.43 |
Disclaimer/Publisher’s Note: The statements, opinions and data contained in all publications are solely those of the individual author(s) and contributor(s) and not of MDPI and/or the editor(s). MDPI and/or the editor(s) disclaim responsibility for any injury to people or property resulting from any ideas, methods, instructions or products referred to in the content. |
© 2023 by the authors. Licensee MDPI, Basel, Switzerland. This article is an open access article distributed under the terms and conditions of the Creative Commons Attribution (CC BY) license (https://creativecommons.org/licenses/by/4.0/).
Share and Cite
Ligarda-Samanez, C.A.; Choque-Quispe, D.; Moscoso-Moscoso, E.; Huamán-Carrión, M.L.; Ramos-Pacheco, B.S.; De la Cruz, G.; Arévalo-Quijano, J.C.; Muñoz-Saenz, J.C.; Muñoz-Melgarejo, M.; Quispe-Quezada, U.R.; et al. Microencapsulation of Propolis and Honey Using Mixtures of Maltodextrin/Tara Gum and Modified Native Potato Starch/Tara Gum. Foods 2023, 12, 1873. https://doi.org/10.3390/foods12091873
Ligarda-Samanez CA, Choque-Quispe D, Moscoso-Moscoso E, Huamán-Carrión ML, Ramos-Pacheco BS, De la Cruz G, Arévalo-Quijano JC, Muñoz-Saenz JC, Muñoz-Melgarejo M, Quispe-Quezada UR, et al. Microencapsulation of Propolis and Honey Using Mixtures of Maltodextrin/Tara Gum and Modified Native Potato Starch/Tara Gum. Foods. 2023; 12(9):1873. https://doi.org/10.3390/foods12091873
Chicago/Turabian StyleLigarda-Samanez, Carlos A., David Choque-Quispe, Elibet Moscoso-Moscoso, Mary L. Huamán-Carrión, Betsy S. Ramos-Pacheco, Germán De la Cruz, José C. Arévalo-Quijano, Jenny C. Muñoz-Saenz, Mauricio Muñoz-Melgarejo, Uriel R. Quispe-Quezada, and et al. 2023. "Microencapsulation of Propolis and Honey Using Mixtures of Maltodextrin/Tara Gum and Modified Native Potato Starch/Tara Gum" Foods 12, no. 9: 1873. https://doi.org/10.3390/foods12091873
APA StyleLigarda-Samanez, C. A., Choque-Quispe, D., Moscoso-Moscoso, E., Huamán-Carrión, M. L., Ramos-Pacheco, B. S., De la Cruz, G., Arévalo-Quijano, J. C., Muñoz-Saenz, J. C., Muñoz-Melgarejo, M., Quispe-Quezada, U. R., Gutiérrez-Gómez, E., Luciano-Alipio, R., Zamalloa-Puma, M. M., Álvarez-López, G. J., & Sucari-León, R. (2023). Microencapsulation of Propolis and Honey Using Mixtures of Maltodextrin/Tara Gum and Modified Native Potato Starch/Tara Gum. Foods, 12(9), 1873. https://doi.org/10.3390/foods12091873

