Analysis of Light Penetration Depth in Apple Tissues by Depth-Resolved Spatial-Frequency Domain Imaging
Abstract
1. Introduction
2. Theoretical Formulation for SFDI
2.1. Image Formation and Image Processing
2.2. Image Contrast
2.3. Light Penetration
3. Materials and Methods
3.1. SFDI System
3.2. Experiments
3.2.1. Experiment 1: Penetrating Capacity of DC and AC Images
3.2.2. Experiment 2: Investigating Light Penetration Depth
3.2.3. Experiment 3: Detecting Early Bruises in Apples
4. Results and Discussion
4.1. Penetrating Capacity of DC and AC Images
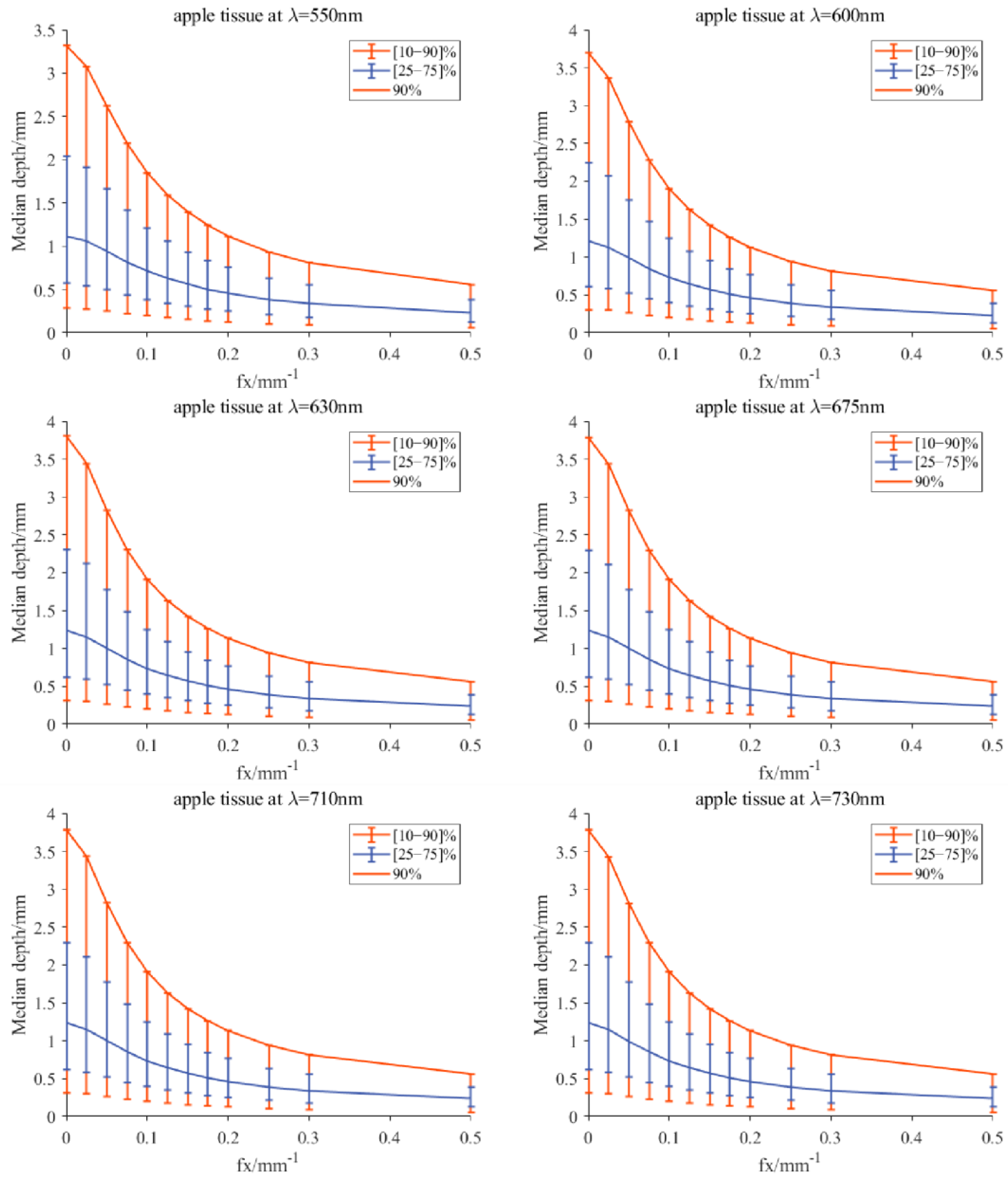
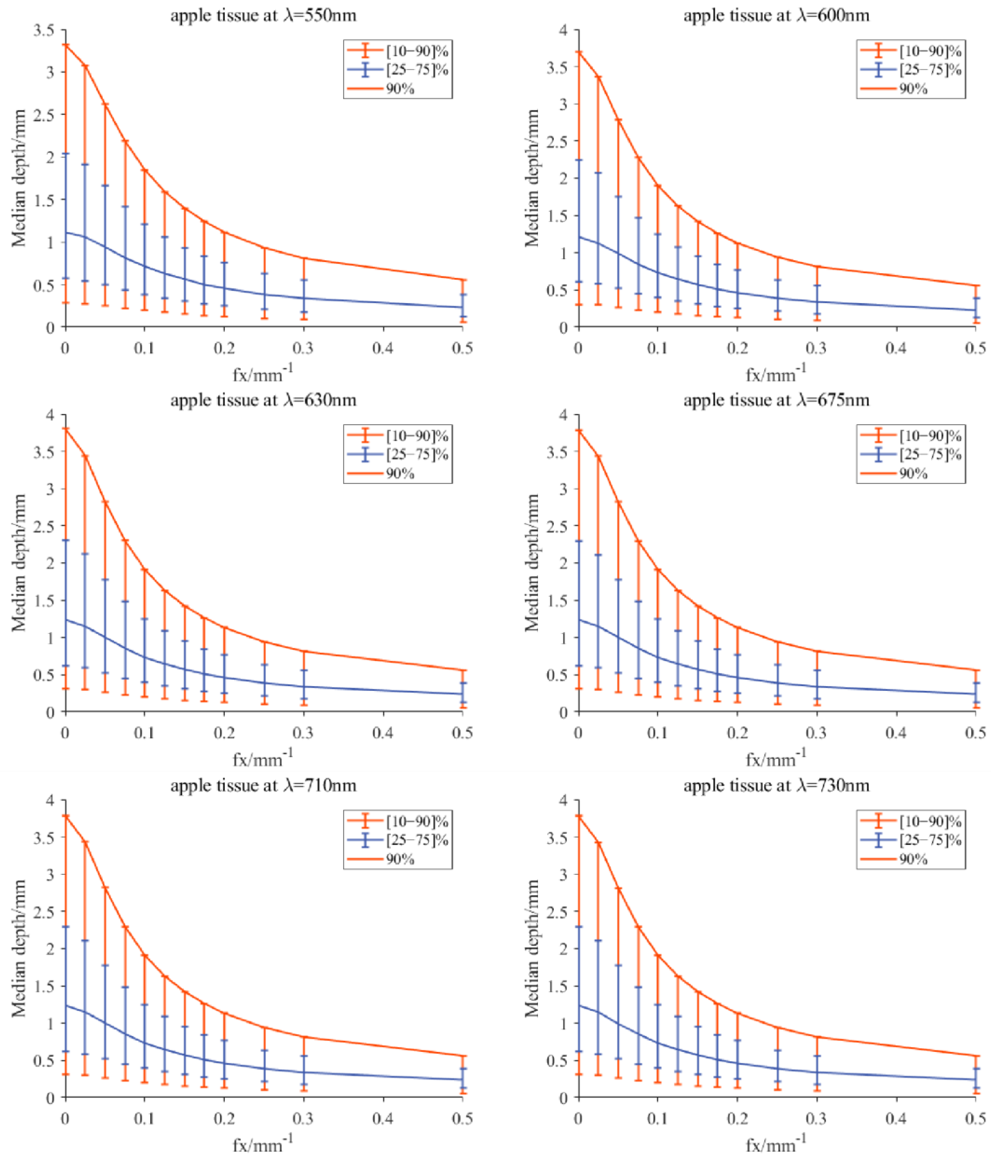
4.2. Investigating Light Penetration Depth
4.3. Validation in Detecting Early-Stage Bruise of Apple
5. Conclusions
Author Contributions
Funding
Data Availability Statement
Conflicts of Interest
References
- Askoura, M.L.; Vaudelle, F.; L′Huillier, J.-P. Use of steady-state imaging setup for assessing the internal optical properties of non-spherical apple samples. Comput. Electron. Agric. 2019, 157, 181–188. [Google Scholar] [CrossRef]
- Luo, W.; Fan, G.Z.; Tian, P.; Dong, W.T.; Zhang, H.L.; Zhan, B.S. Spectrum classification of citrus tissues infected by fungi and multispectral image identification of early rotten oranges. Spectrochim. Acta Part A Mol. Biomol. Spectrosc. 2022, 279, 121412. [Google Scholar] [CrossRef] [PubMed]
- Yin, H.; Li, B.; Liu, Y.D.; Zhang, F.; Su, C.T.; Ou-yang, A. Detection of early bruises on loquat using hyperspectral imaging technology coupled with band ratio and improved Otsu method. Spectrochim. Acta Part A Mol. Biomol. Spectrosc. 2022, 283, 121775. [Google Scholar] [CrossRef] [PubMed]
- Lu, Y.Z.; Lu, R.F. Siritool: A Matlab Graphical User Interface for Image Analysis in Structured-Illumination Reflectance Imaging for Fruit Defect Detection. Trans. ASABE 2020, 63, 1037–1047. [Google Scholar] [CrossRef]
- Luo, Y.F.; Jiang, X.; Fu, X.P. Spatial Frequency Domain Imaging System Calibration, Correction and Application for Pear Surface Damage Detection. Foods 2021, 10, 2151. [Google Scholar] [CrossRef]
- Sun, Z.Z.; Hu, D.; Xie, L.J.; Ying, Y.B. Detection of early stage bruise in apples using optical property mapping. Comput. Electron. Agric. 2022, 194, 106725. [Google Scholar] [CrossRef]
- He, X.M.; Fu, X.P.; Li, T.W.; Rao, X.Q. Spatial frequency domain imaging for detecting bruises of pears. J. Food Meas. Charact. 2018, 12, 1266–1273. [Google Scholar] [CrossRef]
- Zhang, M.Y.; Li, C.Y.; Yang, F.Z. Optical properties of blueberry flesh and skin and Monte Carlo multi-layered simulation of light interaction with fruit tissues. Postharvest Biol. Technol. 2019, 150, 28–41. [Google Scholar] [CrossRef]
- Liu, D.Y.; Xie, D.D.; Guo, W.C. Effect of CPPU on bulk optical properties of kiwifruit during storage in near-infrared range. J. Sci. Food Agric. 2020, 100, 3111–3119. [Google Scholar] [CrossRef]
- Sun, Y.; Lu, R.F.; Pan, L.Q.; Wang, X.C.; Tu, K. Assessment of the optical properties of peaches with fungal infection using spatially-resolved diffuse reflectance technique and their relationships with tissue structural and biochemical properties. Food Chem. 2020, 321, 126704. [Google Scholar] [CrossRef]
- Hu, D.; Lu, R.F.; Ying, Y.B. Spatial-frequency domain imaging coupled with frequency optimization for estimating optical properties of two-layered food and agricultural products. J. Food Eng. 2020, 277, 109909. [Google Scholar] [CrossRef]
- Vanoli, M.; Van Beers, R.; Sadar, N.; Rizzolo, A.; Buccheri, M.; Grassi, M.; Lovati, F.; Nicolaï, B.; Aernouts, B.; Watté, R.; et al. Time- and spatially-resolved spectroscopy to determine the bulk optical properties of ‘Braeburn’ apples after ripening in shelf life. Postharvest Biol. Technol. 2020, 168, 111233. [Google Scholar] [CrossRef]
- Lu, Y.Z.; Saeys, W.; Kim, M.; Peng, Y.K.; Lu, R.F. Hyperspectral imaging technology for quality and safety evaluation of horticultural products: A review and celebration of the past 20-year progress. Postharvest Biol. Technol. 2020, 170, 111318. [Google Scholar] [CrossRef]
- Lu, Y.Z.; Li, R.; Lu, R.F. Fast demodulation of pattern images by spiral phase transform in structured-illumination reflectance imaging for detection of bruises in apples. Comput. Electron. Agric. 2016, 127, 652–658. [Google Scholar] [CrossRef]
- Lu, Y.Z.; Li, R.; Lu, R.F. Structured-illumination reflectance imaging (SIRI) for enhanced detection of fresh bruises in apples. Postharvest Biol. Technol. 2016, 117, 89–93. [Google Scholar] [CrossRef]
- Zhao, Y.Y.; Pilvar, A.; Tank, A.; Peterson, H.; Jiang, J.; Aster, J.C.; Dumas, J.P.; Pierce, M.C.; Roblyer, D. Shortwave-infrared meso-patterned imaging enables label-free mapping of tissue water and lipid content. Nat Commun 2020, 11, 5355. [Google Scholar] [CrossRef]
- Pilvar, A.; Plutzky, J.; Pierce, M.C.; Roblyer, D. Shortwave infrared spatial frequency domain imaging for non-invasive measurement of tissue and blood optical properties. J. Biomed. Opt. 2022, 27, 066003. [Google Scholar] [CrossRef]
- Lee, S.Y.; Zheng, C.; Brothers, R.; Buckley, E.M. Small separation frequency-domain near-infrared spectroscopy for the recovery of tissue optical properties at millimeter depths. Biomed. Opt. Express 2019, 10, 5362–5377. [Google Scholar] [CrossRef]
- Nguyen, J.Q.; Crouzet, C.; Mai, T.; Riola, K.; Uchitel, D.; Liaw, L.H.; Bernal, N.; Ponticorvo, A.; Choi, B.; Durkin, A.J. Spatial frequency domain imaging of burn wounds in a preclinical model of graded burn severity. J. Biomed. Opt. 2013, 18, 66010. [Google Scholar] [CrossRef]
- Robbins, C.M.; Raghavan, G.; Antaki, J.F.; Kainerstorfer, J.M. Feasibility of spatial frequency-domain imaging for monitoring palpable breast lesions. J. Biomed. Opt. 2017, 22, 121605. [Google Scholar] [CrossRef]
- Lu, Y.Z.; Lu, R.F. Structured-illumination reflectance imaging for the detection of defects in fruit: Analysis of resolution, contrast and depth-resolving features. Biosys. Eng. 2019, 180, 1–15. [Google Scholar] [CrossRef]
- Cuccia, D.J.; Bevilacqua, F.P.; Durkin, A.J.; Ayers, F.R.; Tromberg, B.J. Quantitation and mapping of tissue optical properties using modulated imaging. J. Biomed. Opt. 2009, 14, 024012. [Google Scholar] [CrossRef]
- Goodman, J.W. Introduction to Fourier Optics; McGraw-Hill: New York, NY, USA, 1998. [Google Scholar]
- Gustafsson, M.G.L. Nonlinear structured-illumination microscopy: Wide-field fluorescence imaging with theoretically unlimited resolution. Proc. Natl. Acad. Sci. USA 2005, 102, 13081–13086. [Google Scholar] [CrossRef] [PubMed]
- Neil, M.A.A.; Juskaitis, R.; Wilson, T. Method of obtaining optical sectioning by using structured light in a conventional microscope. Opt. Lett. 1997, 22, 1905–1907. [Google Scholar] [CrossRef]
- Ntziachristos, V. Going deeper than microscopy: The optical imaging frontier in biology. Nat. Methods 2010, 7, 603–614. [Google Scholar] [CrossRef] [PubMed]
- Gigan, S. Optical microscopy aims deep. Nat. Photon 2017, 11, 16. [Google Scholar] [CrossRef]
- Wilson, B.C.; Jacques, S.L. Optical reflectance and transmittance of tissues: Principles and applications. IJQE 1990, 77, 2186–2199. [Google Scholar] [CrossRef]
- Wang, L.H.; Jacques, S.L. Monte Carlo Modeling of Light Transport in Multi-Layered Tissues in Standard C; University of Texas M.D. Anderson Cancer Center: Houston, TX, USA, 1992; Volume 47, pp. 131–146. [Google Scholar]
- Bigio, I.J.; Fantini, S. Quantitative Biomedical Optics: Theory, Methods, and Applications; Cambridge University Press: Cambridge, UK, 2016. [Google Scholar]
- Lu, Y.Z.; Lu, R.F. Development of a Multispectral Structured Illumination Reflectance Imaging (SIRI) System and Its Application to Bruise Detection of Apples. Trans. ASABE 2017, 60, 1379–1389. [Google Scholar] [CrossRef]
- Sun, Z.Z.; Xie, L.J.; Hu, D.; Ying, Y.B. An artificial neural network model for accurate and efficient optical property mapping from spatial-frequency domain images. Comput. Electron. Agric. 2021, 188, 106340. [Google Scholar] [CrossRef]
- Hayakawa, C.K.; Karrobi, K.; Pera, V.; Roblyer, D.; Venugopalan, V. Optical sampling depth in the spatial frequency domain. J. Biomed. Opt. 2019, 24, 071603. [Google Scholar] [CrossRef]
- Hu, D.; Sun, T.; Yao, L.J.; Yang, Z.D.; Wang, A.C.; Ying, Y.B. Monte Carlo: A flexible and accurate technique for modeling light transport in food and agricultural products. Trends Food Sci. Technol. 2020, 102, 280–290. [Google Scholar] [CrossRef]
- Sun, X.L.; Sun, Z.Z.; Zhou, T.T.; Hu, D.; Sun, T.; Yang, Z.D.; Zhou, G.Q. Optical characterization of liquid phantoms in 500–1000 nm using an improved single integrating sphere system. Infrared Phys. Technol. 2022, 127, 104386. [Google Scholar] [CrossRef]
- Makous, P. Spatial frequency, phase, and the contrast of natural images. J. Opt. Soc. Am. A 2002, 19, 1096–1106. [Google Scholar]
- Wang, W.; Li, C.; Tollner, E.W.; Rains, G.C.; Gitaitis, R.D. A liquid crystal tunable filter based shortwave infrared spectral imaging system: Calibration and characterization. Comput. Electron. Agric. 2012, 80, 135–144. [Google Scholar] [CrossRef]
- Lammertyn, J.; Peirs, A.; Baerdemaeker, J.D.; Nicola, B. Light penetration properties of NIR radiation in fruit with respect to non-destructive quality assessment. Postharvest. Biol. Technol. 2000, 18, 121–132. [Google Scholar] [CrossRef]
- Binzoni, T.; Vogel, A.; Gandjbakhche, A.H.; Marchesini, R. Detection limits of multi-spectral optical imaging under the skin surface. Phys. Med. Biol. 2008, 53, 617–636. [Google Scholar] [CrossRef]











| Wavelength (nm) | ||
|---|---|---|
| 550 | 0.0302 | 1.286 |
| 600 | 0.0232 | 1.273 |
| 630 | 0.0218 | 1.259 |
| 675 | 0.0224 | 1.251 |
| 710 | 0.0222 | 1.256 |
| 730 | 0.0223 | 1.256 |
Disclaimer/Publisher’s Note: The statements, opinions and data contained in all publications are solely those of the individual author(s) and contributor(s) and not of MDPI and/or the editor(s). MDPI and/or the editor(s) disclaim responsibility for any injury to people or property resulting from any ideas, methods, instructions or products referred to in the content. |
© 2023 by the authors. Licensee MDPI, Basel, Switzerland. This article is an open access article distributed under the terms and conditions of the Creative Commons Attribution (CC BY) license (https://creativecommons.org/licenses/by/4.0/).
Share and Cite
Zhou, T.; Hu, D.; Qiu, D.; Yu, S.; Huang, Y.; Sun, Z.; Sun, X.; Zhou, G.; Sun, T.; Peng, H. Analysis of Light Penetration Depth in Apple Tissues by Depth-Resolved Spatial-Frequency Domain Imaging. Foods 2023, 12, 1783. https://doi.org/10.3390/foods12091783
Zhou T, Hu D, Qiu D, Yu S, Huang Y, Sun Z, Sun X, Zhou G, Sun T, Peng H. Analysis of Light Penetration Depth in Apple Tissues by Depth-Resolved Spatial-Frequency Domain Imaging. Foods. 2023; 12(9):1783. https://doi.org/10.3390/foods12091783
Chicago/Turabian StyleZhou, Tongtong, Dong Hu, Dekai Qiu, Shengqi Yu, Yuping Huang, Zhizhong Sun, Xiaolin Sun, Guoquan Zhou, Tong Sun, and Hehuan Peng. 2023. "Analysis of Light Penetration Depth in Apple Tissues by Depth-Resolved Spatial-Frequency Domain Imaging" Foods 12, no. 9: 1783. https://doi.org/10.3390/foods12091783
APA StyleZhou, T., Hu, D., Qiu, D., Yu, S., Huang, Y., Sun, Z., Sun, X., Zhou, G., Sun, T., & Peng, H. (2023). Analysis of Light Penetration Depth in Apple Tissues by Depth-Resolved Spatial-Frequency Domain Imaging. Foods, 12(9), 1783. https://doi.org/10.3390/foods12091783

