White Lupine (Lupinus albus L.) Flours for Healthy Wheat Breads: Rheological Properties of Dough and the Bread Quality
Abstract
1. Introduction
2. Materials and Methods
2.1. Samples
- Commercial wheat flour type 0000 (Molino Campodónico Ltd., La Plata, Buenos Aires, Argentina) [22] suitable for breadmaking with 14.3% of protein was used;
- White lupine (Lupinus albus L.) flour from the Portuguese cultivar, Misak, and the cultivar from Chile, Rumbo, were used.
2.2. Percentage Composition of Lupine Flours
2.3. Thermal Properties of Lupine Flour Suspension
2.4. Hydration and Rheological Properties of Dough
2.4.1. Farinograph Assays of Blends
2.4.2. Dough Formulation
2.4.3. Moisture and Water Activity
2.4.4. Molecular Mobility
2.4.5. Dough Texture
2.4.6. Dough Viscoelasticity
2.5. Bread Quality Evaluation
2.5.1. Specific Volume
2.5.2. Protein and Moisture Content
2.5.3. Water Activity and Molecular Mobility
2.5.4. Texture Properties
2.6. Statistical Analysis
3. Results and Discussion
3.1. Nutritional Composition and Thermal Stability of Proteins of White Lupine Flours
3.2. Hydration and Rheological Properties of Lupine Wheat Dough
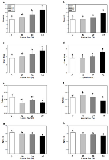
3.3. Bread Quality of Wheat Bread Complemented with Lupine
4. Conclusions
Author Contributions
Funding
Institutional Review Board Statement
Informed Consent Statement
Data Availability Statement
Acknowledgments
Conflicts of Interest
References
- Käss, E.; Wink, M. Molecular phylogeny and phylogeography of the genus Lupinus. In Proceedings of the 8th International Lupin Conference, Asilomar, CA, USA, 11–16 May 1999; Hill, G.D., Ed.; 1999; pp. 248–254. [Google Scholar]
- Pereira, A.; Ramos, F.; Sanches Silva, A. Lupin (Lupinus albus L.) Seeds: Balancing the Good and the Bad and Addressing Future Challenges. Molecules 2022, 27, 8557. [Google Scholar] [CrossRef]
- D’Agostina, A.; Antonioni, C.; Resta, D.; Arnoldi, A.; Bez, J.; Knauf, U.; Wäsche, A. Optimization of a pilot-scale process for producing lupin protein isolates with valuable technological properties and minimum thermal damage. J. Agric. Food Chem. 2006, 54, 92–98. [Google Scholar] [CrossRef]
- Spina, A.; Saletti, R.; Fabroni, S.; Natalello, A.; Cunsolo, V.; Scarangella, M.; Rapisarda, P.; Canale, M. Muccilli Multielemental, Nutritional, and Proteomic Characterization of Different Lupinus spp. Genotypes: A Source of Nutrients for Dietary Use. Molecules 2022, 27, 8771. [Google Scholar] [CrossRef]
- Huyghe, C. White lupin (Lupinus albus L.). Field Crops Res. 1998, 53, 147–160. [Google Scholar] [CrossRef]
- Lucas, M.M.; Stoddard F., L.; Annicchiarico, P.; Frías, J.; Martínez-Villaluenga, C.; Sussman, D.; Duranti, M.; Seger, A.; Zander, P.M.; Pueyo, J.J. The future of lupin as a protein crop in Europe. Front. Plant Sci. 2015, 6, 705. [Google Scholar] [CrossRef]
- Bhardwaj, H.L.; Hamama, A.A.; Merrick, L.C. Genotypic and environmental effects on lupin seed composition. Plant Food Hum. Nutr. 1998, 53, 1–13. [Google Scholar] [CrossRef]
- Kalogeropoulos, N.; Chiou, A.; Ioannou, M.; Karathanos, V.T.; Hassapidou, M.; Andrikopoulos, N.K. Nutritional evaluation and bioactive microconstituents (phytosterols, tocopherols, polyphenols, triterpenic acids) in cooked dry legumes usually consumed in the Mediterranean countries. Food Chem. 2010, 121, 682–690. [Google Scholar] [CrossRef]
- Boukid, F.; Pasqualone, A. Lupine (Lupinus spp.) proteins: Characteristics, safety and food applications. Eur. Food Res. Technol. 2022, 248, 345–356. [Google Scholar] [CrossRef]
- Gulewicz, P.; Martínez-Villaluenga, C.; Frias, J.; Ciesiołka, D.; Gulewicz, K.; Vidal-Valverde, C. Effect of germination on the protein fraction composition of different lupin seeds. Food Chem. 2008, 107, 830–844. [Google Scholar] [CrossRef]
- Clark, R.L.; Johnson, S.J. Sensory acceptability of foods with added lupin (Lupinus angustifolius) kernel fiber using pre-set criteria. J. Food Sci. 2002, 67, 356–362. [Google Scholar] [CrossRef]
- Hamama, A.A.; Bhardwaj, H.L. Phytosterols, triterpene alcohols, and phospholipids in seed oil from white lupin. J. Am. Oil Chem. Soc. 2004, 81, 1039–1044. [Google Scholar] [CrossRef]
- Bähr, M.; Fechner, A.; Hasenkopf, K.; Mittermaier, S.; Jahreis, G. Chemical composition of dehulled seeds of selected lupin cultivars in comparison to pea and soya bean. LWT—Food Sci. Technol. 2014, 59, 587–590. [Google Scholar] [CrossRef]
- Boschin, G.; D’Agostina, A.; Annicchiarico, P.; Arnoldi, A. Effect of genotype and environment on fatty acid composition of Lupinus albus L. seed. Food Chem. 2008, 108, 600–606. [Google Scholar] [CrossRef] [PubMed]
- Siger, A.; Czubinski, J.; Kachlicki, P.; Nogala-Kalucka, M. Antioxidant activity and phenolic content in three Lupin species. J. Food Compos. Anal. 2012, 25, 190–197. [Google Scholar] [CrossRef]
- Dalaram, I.S. Evaluation of Total Polyphenol Content and Antioxidant Capacity of Different Verity Lupin Seeds. Potravin. Slovak J. Food Sci. 2017, 11, 26–34. [Google Scholar] [CrossRef]
- Álvarez-Álvarez, J.; Guillamón, E.; Crespo, J.F.; Cuadrado, C.; Burbano, C.; Rodríguez, J.; Fernández, C.; Muzquiz, M. Effects of extrusion, boiling, autoclaving, and microwave heating on lupine allergenicity. J. Agric. Food Chem. 2005, 53, 1294–1298. [Google Scholar] [CrossRef] [PubMed]
- Guillamon, E.; Cuadrado, C.; Pedrosa, M.M.; Varela, A.; Cabellos, B.; Muzquiz, M.; Burbano, C. Breadmaking properties of wheat flour supplemented with thermally processed hypoallergenic lupine flour. Span. J. Agric. Res. 2010, 8, 100–108. [Google Scholar] [CrossRef]
- Henchion, M.; Hayes, M.; Mullen, A.M.; Fenelon, M.; Tiwari, B. Future protein supply and demand: Strategies and factors influencing a sustainable equilibrium. Foods 2017, 6, 53. [Google Scholar] [CrossRef]
- USDA. Thailand Food Proseeing Ingredient. Global Agricultural Information Network; Report US4/2/2019; USDA: Washington, DC, USA, 2019; pp. 1–10.
- Mitelut, A.C.; Popa, E.E.; Popescu, P.A.; Popa, M.E. Chapter 7—Trends of innovation in bread and bakery production. In Trends in Wheat and Bread Making; Galanakis, C.M., Ed.; Academic Press: Cambridge, MA, USA, 2021; pp. 199–226. [Google Scholar]
- AAC Argentinean Alimentarius Codex. Flours. Tomo I-a. Capítulos IX (Art. 661-Res.167).; Argentinean Alimentarius Codex. 2022. Available online: http://www.anmat.gov.ar/alimentos/normativas_alimentos_caa.asp (accessed on 3 March 2023).
- AACC. Approved Methods of the American Association of Cereal Chemists, 10th ed.; The Association: Saint Paul, MN, USA, 2000. [Google Scholar]
- Guardianelli, L.M.; Salinas, M.V.; Puppo, M.C. Chemical and thermal properties of flours from germinated amaranth seeds. J. Food Meas. Charact. 2019, 13, 1078–1088. [Google Scholar] [CrossRef]
- Salinas, M.V.; Carbas, B.; Brites, C.; Puppo, M.C. Influence of different carob fruit flours (Ceratonia siliqua L.) on wheat dough performance and bread quality. Food Bioprocess Technol. 2015, 8, 1561–1570. [Google Scholar] [CrossRef]
- Arp, C.G.; Correa, M.J.; Ferrero, C. Improving quality: Modified celluloses applied to bread dough with high level of resistant starch. Food Hydrocoll. 2021, 112, 106302. [Google Scholar] [CrossRef]
- Sousa, I.M.; Mitchell, J.R.; Ledward, D.A.; Hill, S.E.; da Costa, M.L.B. Differential scanning calorimetry of lupin and soy proteins. Z. Lebensm.-Unters. Forsch. 1995, 201, 566–569. [Google Scholar] [CrossRef]
- Muranyi, I.S.; Otto, C.; Pickardt, C.; Osen, R.; Koehler, P.; Schweiggert-Weisz, U. Influence of the isolation method of the technofunctional properties of protein isolates from Lupinus angustifloius L. J. Food Sci. 2016, 81, C2656–C2663. [Google Scholar] [CrossRef]
- Mazumder, K.; Biswas, B.; Kerr, P.G.; Blanchard, C.; Nabila, A.; Golder, M.; Gulzarul Aziz, M.; Farahnaky, A. Comparative assessment of nutritional, thermal, rheological and functional properties of nine Australian lupin cultivars. Sci. Rep. 2021, 11, 21515. [Google Scholar] [CrossRef] [PubMed]
- Dervas, G.; Doxastakis, G.; Hadjisavva-Zinoviadi, S.; Triantafillakos, N. Lupin flour addition to wheat flour doughs and effect on rheological properties. Food Chem. 1999, 66, 67–73. [Google Scholar] [CrossRef]
- Hoehnel, A.; Axel, C.; Bez, J.; Arendt, E.K.; Zannini, E. Comparative analysis of plant-based high-protein ingredients and their impact on quality of high-protein bread. J. Cereal Sci. 2019, 89, 102816. [Google Scholar] [CrossRef]
- Piasecka-Jóźwiak, K.; Księżak, J.; Słowik, E.; Chabłowska, B. The use of lupin flour as nutritional additive to organic wheat sourdough bread. J. Res. Appl. Agric. Eng. 2018, 63, 56–61. [Google Scholar]
- Carboni, D.A.; Salinas, M.V.; Puppo, M.C. Production of legume-wheat dough of optimum quality for breadmaking: Essential analyzes required. Curr. Opin. Food Sci. 2022, 49, 100970. [Google Scholar]
- Guardianelli, L.M.; Salinas, M.V.; Puppo, M.C. Hydration and rheological properties of amaranth-wheat flour dough: Influence of germination of amaranth seeds. Food Hydrocoll. 2019, 97, 105242. [Google Scholar] [CrossRef]
- Ahmed, A.R.; Mohammed, I.; Senge, B. Oscillation measurements and creep test of bread prepared from wheat-lupin flours and wheat flour-lupin fibre dough’s blends. Annu. Trans. Nord. Rheol. Soc. 2012, 20, 145–152. [Google Scholar]
- Liu, S.; Chen, D.; Xu, J. The effect of partially substituted lupin, soybean, and navy bean flours on wheat bread quality. Food Nutr. Sci. 2018, 9, 840. [Google Scholar]
- Doxastakis, G.; Zafiriadis, I.; Irakli, M.; Marlani, H.; Tananaki, C. Lupin, soya and triticale addition to wheat flour doughs and their effect on rheological properties. Food Chem. 2002, 77, 219–227. [Google Scholar] [CrossRef]
- Codină, G.G.; Marineac, A.R.; Todosi-Sănduleac, E. The influence of lupin flour addition on bread quality. Food Environ. Saf. J. 2017, 15, 216–226. [Google Scholar]
- Villarino CB, J.; Jayasena, V.; Coorey, R.; Chakrabarti-Bell, S.; Foley, R.; Fanning, K.; Johnson, S.K. The effects of lupin (Lupinus angustifolius) addition to wheat bread on its nutritional, phytochemical and bioactive composition and protein quality. Food Res. Int. 2015, 76, 58–65. [Google Scholar] [CrossRef]
- Kefale, B.; Yetenayet, B. Evaluation of bread prepared from composite flour of sweet lupine and bread wheat variety. J. Food Sci. Nutr. 2020, 6, 7–10. [Google Scholar]
- Martínez, M.M.; Román, L.; Gómez, M. Implications of hydration depletion in the in vitro starch digestibility of white bread crumb and crust. Food Chem. 2018, 239, 295–303. [Google Scholar] [CrossRef]
- Paraskevopoulou, A.; Provatidou, E.; Tsotsiou, D.; Kiosseoglou, V. Dough rheology and baking performance of wheat flour–lupin protein isolate blends. Food Res. Int. 2010, 43, 1009–1016. [Google Scholar] [CrossRef]





| Lupine Flour (%) | Mcont (%) | aw (-) | λ (ms) | |
|---|---|---|---|---|
| C | 0 | 44.7 ± 0.2 c | 0.973 ± 0.000 a | 8.8 ± 0.9 d | 
| M10 | 10 | 43.7 ± 0.5 a | 0.971 ± 0.001 a | 4.2 ± 0.1 c | 
| M20 | 20 | 44.3 ± 0.0 b | 0.973 ± 0.003 a | 3.1 ± 0.4 b | 
| M30 | 30 | 45.8 ± 0.1 d | 0.973 ± 0.001 a | 2.1 ± 0.3 a | 
| C | 0 | 44.7 ± 0.2 c | 0.973 ± 0.000 b | 8.8 ± 0.9 c | 
| R10 | 10 | 42.9 ± 0.1 a | 0.968 ± 0.001 a | 2.3 ± 0.9 b | 
| R20 | 20 | 43.2 ± 0.0 b | 0.967 ± 0.002 a | 1.3 ± 0.7 ab | 
| R30 | 30 | 43.0 ± 0.1 a | 0.967 ± 0.001 a | 0.4 ± 0.1 a | 
| Lupine Flour (%) | Hard (N) | Adh (N.s) | Cohes (-) | Sprin (-) | G’ (kPa) | tan δ (-) | |
|---|---|---|---|---|---|---|---|
| C | 0 | 1.2 ± 0.1 b | 4.3 ± 0.8 b | 0.78 ± 0.03 a | 0.91 ± 0.01 a | 18 ± 3 a | 0.41 ± 0.02 a | 
| M10 | 10 | 6.0 ± 1.3 d | 18.1 ± 2.8 d | 0.86 ± 0.04 b | 0.91 ± 0.01 a | 16 ± 1 a | 0.38 ± 0.02 a | 
| M20 | 20 | 4.0 ± 0.6 c | 15.1 ± 2.3 c | 0.87 ± 0.04 b | 0.89 ± 0.01 a | 17 ± 1 a | 0.40 ± 0.02 a | 
| M30 | 30 | 0.8 ± 0.1 a | 3.3 ± 0.4 a | 0.80 ± 0.03 a | 0.89 ± 0.02 a | 16 ± 1 a | 0.39 ± 0.00 a | 
| C | 0 | 1.2 ± 0.1 c | 4.3 ± 0.8 c | 0.78 ± 0.03 ab | 0.91 ± 0.01 b | 18 ± 3 ab | 0.41 ± 0.02 a | 
| R10 | 10 | 1.0 ± 0.1 b | 4.4 ± 0.3 c | 0.75 ± 0.02 a | 0.89 ± 0.01 ab | 21 ± 4 ab | 0.42 ± 0.01 a | 
| R20 | 20 | 0.9 ± 0.2 b | 3.6 ± 0.7 b | 0.82 ± 0.05 b | 0.91 ± 0.02 b | 14 ± 1 a | 0.41 ± 0.02 a | 
| R30 | 30 | 0.6 ± 0.1 a | 2.4 ± 0.4 a | 0.75 ± 0.03 a | 0.87 ± 0.02 a | 24 ± 3 b | 0.44 ± 0.02 a | 
| Lupine Flour (%) | Bread | Bread Crumb | ||||
|---|---|---|---|---|---|---|
| Vs (cm3/g) | Protein (%) | Mcont (%) | λ (ms) | aw (-) | ||
| C | 0 | 2.5 ± 0.2 a | 7.27 ± 0.00 a | 46.4 ± 0.1 c | 6.8 ± 0.2 d | 0.966 ± 0.000 a | 
| M10 | 10 | 2.6 ± 0.2 a | 8.69 ± 0.11 b | 44.5 ± 0.2 a | 4.2 ± 0.3 c | 0.968 ± 0.003 a | 
| M20 | 20 | 2.6 ± 0.1 a | 9.08 ± 0.10 c | 45.5 ± 0.1 b | 3.5 ± 0.2 b | 0.970 ± 0.001 a | 
| M30 | 30 | 2.4 ± 0.1 a | 9.59 ± 0.14 d | 46.2 ± 0.0 c | 3.0 ± 0.3 a | 0.967 ± 0.001 a | 
| C | 0 | 2.5 ± 0.2 a | 7.27 ± 0.00 a | 46.4 ± 0.1 c | 6.8 ± 0.2 c | 0.966 ± 0.000 b | 
| R10 | 10 | 2.9 ± 0.1 b | 9.30 ± 0.04 b | 43.7 ± 0.1 b | 2.3 ± 0.6 ab | 0.963 ± 0.000 ab | 
| R20 | 20 | 2.6 ± 0.2 a | 10.68 ± 0.15 c | 43.6 ± 0.1 b | 1.8 ± 0.7 a | 0.965 ± 0.001 b | 
| R30 | 30 | 2.5 ± 0.2 a | 13.55 ± 0.06 d | 43.5 ± 0.0 a | 3.0 ± 0.3 b | 0.966 ± 0.000 b | 
| Disclaimer/Publisher’s Note: The statements, opinions and data contained in all publications are solely those of the individual author(s) and contributor(s) and not of MDPI and/or the editor(s). MDPI and/or the editor(s) disclaim responsibility for any injury to people or property resulting from any ideas, methods, instructions or products referred to in the content. | 
© 2023 by the authors. Licensee MDPI, Basel, Switzerland. This article is an open access article distributed under the terms and conditions of the Creative Commons Attribution (CC BY) license (https://creativecommons.org/licenses/by/4.0/).
Share and Cite
Guardianelli, L.M.; Carbas, B.; Brites, C.; Puppo, M.C.; Salinas, M.V. White Lupine (Lupinus albus L.) Flours for Healthy Wheat Breads: Rheological Properties of Dough and the Bread Quality. Foods 2023, 12, 1645. https://doi.org/10.3390/foods12081645
Guardianelli LM, Carbas B, Brites C, Puppo MC, Salinas MV. White Lupine (Lupinus albus L.) Flours for Healthy Wheat Breads: Rheological Properties of Dough and the Bread Quality. Foods. 2023; 12(8):1645. https://doi.org/10.3390/foods12081645
Chicago/Turabian StyleGuardianelli, Luciano M., Bruna Carbas, Carla Brites, María C. Puppo, and María V. Salinas. 2023. "White Lupine (Lupinus albus L.) Flours for Healthy Wheat Breads: Rheological Properties of Dough and the Bread Quality" Foods 12, no. 8: 1645. https://doi.org/10.3390/foods12081645
APA StyleGuardianelli, L. M., Carbas, B., Brites, C., Puppo, M. C., & Salinas, M. V. (2023). White Lupine (Lupinus albus L.) Flours for Healthy Wheat Breads: Rheological Properties of Dough and the Bread Quality. Foods, 12(8), 1645. https://doi.org/10.3390/foods12081645
 
        






 
       