NH2-MIL-125(Ti)/Reduced Graphene Oxide Enhanced Electrochemical Detection of Fenitrothion in Agricultural Products
Abstract
1. Introduction
2. Materials and Methods
2.1. Reagents and Chemicals
2.2. Apparatus and Measurement
2.3. Synthesis of NH2-MIL-125(Ti) and NH2-MIL-125(Ti)/RGO
2.4. Preparation of NH2-MIL-125(Ti)/RGO/GCE
2.5. Electrochemical Measurements
2.6. Spiked Sample Preparation
2.7. Determination of FT by GC-MS
3. Results
3.1. Characterization of NH2-MIL-125(Ti)/RGO
3.2. Electrochemical Investigation and Determination of FT
3.2.1. Electrochemical Behavior of the Modified Electrodes
3.2.2. Chronocoulometric Behavior and Reaction Mechanism
3.2.3. Feasibility Analysis of Electrochemical Sensor
3.3. Optimization of Experimental Conditions
3.3.1. Effect of pH
3.3.2. Effect of Scan Rate
3.3.3. Effect of Accumulation Time and Loading Amount
3.4. Analytical Performance of the Electrochemical Sensor
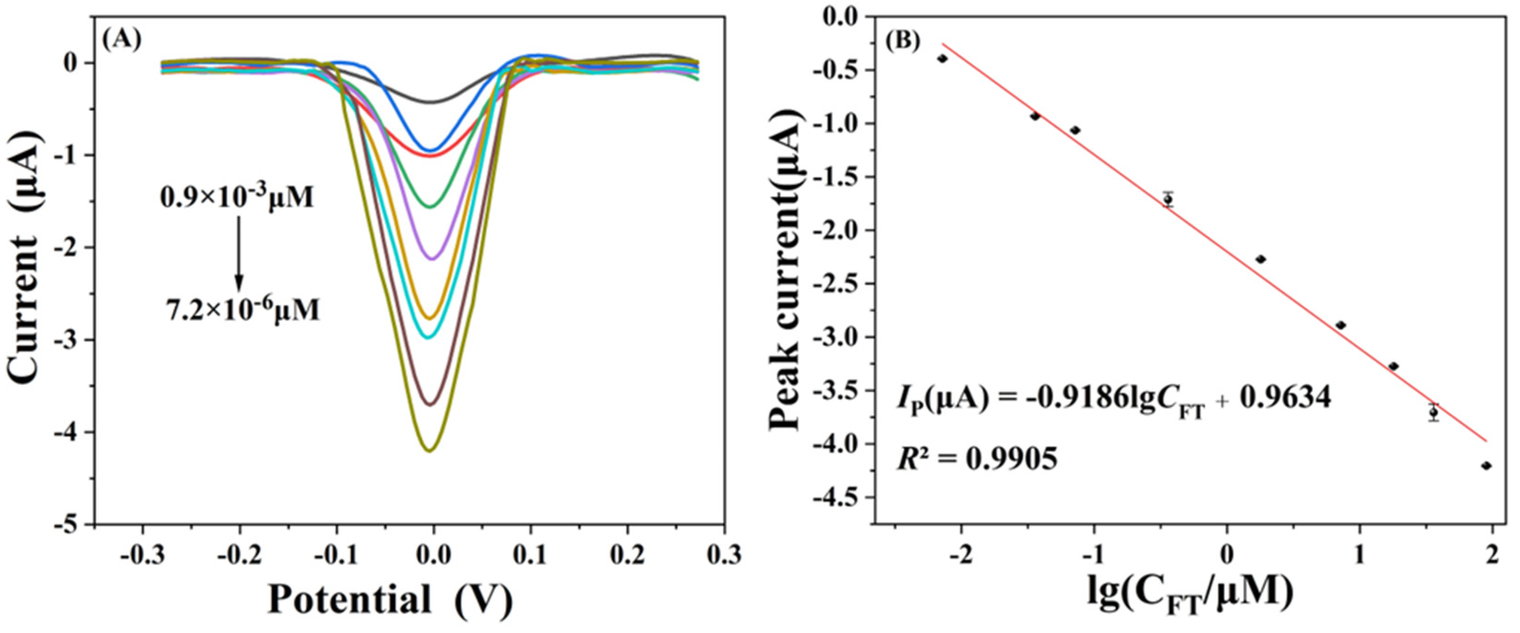
3.4.1. Sensitivity of the Fabricated Sensor for FT Detection
3.4.2. Reproducibility, Repeatability, Stability, and Selectivity
3.5. Sensor Performance in Extracts from Agricultural Product Samples
4. Conclusions
Supplementary Materials
Author Contributions
Funding
Data Availability Statement
Acknowledgments
Conflicts of Interest
References
- Li, X.Y.; Gao, X.; Gai, P.P.; Liu, X.J.; Li, F. Degradable metal-organic framework/methylene blue composites-based homogeneous electrochemical strategy for pesticide assay. Sens. Actuators B Chem. 2020, 323, 128701. [Google Scholar] [CrossRef]
- Rajaji, U.; Chinnapaiyan, S.; Chen, T.W.; Chen, S.M.; Mani, G.; Mani, V.; Ali, M.A.; Al-Hemaid, F.M.A.; El-Shikh, M.S. Rational construction of novel strontium hexaferrite decorated graphitic carbon nitrides for highly sensitive detection of neurotoxic organophosphate pesticide in fruits. Electrochim. Acta 2021, 371, 137756. [Google Scholar] [CrossRef]
- Espinoza-Navarro, O.; Ponce-Larosa, C.; Bustos-Obregon, E. Organophosphorous pesticides: Their effects on biosentinel species and humans. Control and application in chile. Int. J. Morphol. 2017, 35, 1069–1074. [Google Scholar] [CrossRef]
- Nemati, M.; Tuzen, M.; Farazajdeh, M.A.; Kaya, S.; Mogaddam, M.R.A. Development of dispersive solid-liquid extraction method based on organic polymers followed by deep eutectic solvents elution—Application in extraction of some pesticides from milk samples prior to their determination by HPLC-MS/MS. Anal. Chim. Acta 2022, 1199, 339570. [Google Scholar] [CrossRef] [PubMed]
- Zhang, Q.Q.; Xiao, W.M.; Wu, Y.Q.; Fan, Y.X.; Zou, W.H.T.; Xu, K.; Yuan, Y.; Mao, X.J.; Wang, Y.X. A simple, environmental-friendly and reliable d-SPE method using amino-containing metal-organic framework MIL-125-NH2 to determine pesticide residues in pomelo samples from different localities. Food Chem. 2022, 372, 131208. [Google Scholar] [CrossRef] [PubMed]
- Huang, L.S.; Wang, F.; Weng, S.Z.; Pan, F.F.; Liang, D. Surface-enhanced Raman spectroscopy for rapid and accurate detection of fenitrothion residue in maize. Spectrosc. Spectr. Anal. 2018, 38, 2782–2787. [Google Scholar]
- Da Silva, J.A.V.; Modesto-Costa, L.; De Koning, M.C.; Borges, I., Jr.; Franca, T.C.C. Theoretical NMR and conformational analysis of solvated oximes for organophosphates-inhibited acetylcholinesterase reactivation. J. Mol. Struct. 2018, 1152, 311–320. [Google Scholar] [CrossRef]
- Kumaran, A.; Vashishth, R.; Singh, S.; Surendran, J.A.; Chellam, P.V. Biosensors for detection of organophosphate pesticides: Current technologies and future directives. Microchem. J. 2022, 178, 107420. [Google Scholar] [CrossRef]
- Kilele, J.C.; Chokkareddy, R.; Redhi, G.G. Ultra-sensitive electrochemical sensor for fenitrothion pesticide residues in fruit samples using IL@CoFe2O4NPs@MWCNTs nanocomposite. Microchem. J. 2021, 164, 106012. [Google Scholar] [CrossRef]
- Kumaravel, A.; Murugananthan, M. Electrochemical detection of fenitrothion using nanosilver/dodecane modified glassy carbon electrode. Sens. Actuators B Chem. 2021, 331, 129467. [Google Scholar] [CrossRef]
- Karadurmus, L.; Kaya, S.I.; Ozkan, S.A. Recent advances of enzyme biosensors for pesticide detection in foods. J. Food Meas. Charact. 2021, 15, 4582–4595. [Google Scholar] [CrossRef]
- Jain, U.; Saxena, K.; Hooda, V.; Balayan, S.; Singh, A.P.; Tikadar, M.; Chauhan, N. Emerging vistas on pesticides detection based on electrochemical biosensors—An update. Food Chem. 2022, 371, 131126. [Google Scholar] [CrossRef] [PubMed]
- Ashouri, V.; Adib, K.; Nasrabadi, M.R. A new strategy for the adsorption and removal of fenitrothion from real samples by active-extruded MOF (AE-MOF UiO-66) as an adsorbent. New J. Chem. 2021, 45, 5029–5039. [Google Scholar] [CrossRef]
- Zhang, J.H.; Wang, Z.Z.; Deng, T.; Zhang, W. Ni(OH)2 derived Ni-MOF supported on carbon nanowalls for supercapacitors. Nanotechnology 2021, 32, 195404. [Google Scholar] [CrossRef]
- Mostafa, M.; Bin Jumah, M.N.; Othman, S.I.; Alruhaimi, R.S.; Salama, Y.F.; Allam, A.A.; Abukhadra, M.R. Effective removal of different species of organophosphorus pesticides (acephate, omthosate, and methyl parathion) using chitosan/Zeolite-A as multifunctional adsorbent. Environ. Technol. Innov. 2021, 24, 101875. [Google Scholar] [CrossRef]
- Ponnuchamy, M.; Kapoor, A.; Kumar, P.S.; Vo, D.V.N.; Balakrishnan, A.; Jacob, M.M.; Sivaraman, P. Sustainable adsorbents for the removal of pesticides from water: A review. Environ. Chem. Lett. 2021, 19, 2425–2463. [Google Scholar] [CrossRef]
- Dinali, L.A.F.; De Oliveira, H.L.; Teixeira, L.S.; Borges, W.D.; Borges, K.B. Mesoporous molecularly imprinted polymer core@shell hybrid silica nanoparticles as adsorbent in microextraction by packed sorbent for multiresidue determination of pesticides in apple juice. Food Chem. 2021, 345, 128745. [Google Scholar] [CrossRef]
- Deep, A.; Bhardwaj, S.K.; Paul, A.K.; Kim, K.H.; Kumar, P. Surface assembly of nano-metal organic framework on amine functionalized indium tin oxide substrate for impedimetric sensing of parathion. Biosens. Bioelectron. 2015, 65, 226–231. [Google Scholar] [CrossRef]
- Samadi-Maybodi, A.; Nikou, M. Modeling of removal of an organophosphorus pesticide from aqueous solution by amagnetic metal-organic framework composite. Chin. J. Chem. Eng. 2021, 40, 323–335. [Google Scholar] [CrossRef]
- Duan, S.; Wu, X.Y.; Shu, Z.X.; Xiao, A.H.; Chai, B.; Pi, F.W.; Wang, J.H.; Dai, H.; Liu, X.D. Curcumin-enhanced MOF electrochemical sensor for sensitive detection of methyl parathion in vegetables and fruits. Microchem. J. 2023, 184, 108182. [Google Scholar] [CrossRef]
- Osman, D.I.; El-Sheikh, S.M.; Sheta, S.M.; Ali, O.I.; Salem, A.M.; Shousha, W.G.; El-Khamisy, S.F.; Shawky, S.M. Nucleic acids biosensors based on metal-organic framework (MOF): Paving the way to clinical laboratory diagnosis. Biosens. Bioelectron. 2019, 141, 111451. [Google Scholar] [CrossRef]
- Marimuthu, M.; Arumugam, S.S.; Jiao, T.H.; Sabarinathan, D.; Li, H.H.; Chen, Q.S. Metal organic framework based sensors for the detection of food contaminants. TrAC Trends Anal. Chem. 2022, 154, 116642. [Google Scholar] [CrossRef]
- Ozcan, A.; Topcuogullari, D.; Ozcan, A.A. Fenitrothion sensing with reduced graphene oxide decorated fumed silica nanocomposite modified glassy carbon electrode. Sens. Actuators B Chem. 2019, 284, 179–185. [Google Scholar] [CrossRef]
- Ghoreishi, S.M.; Behpour, M.; Mortazavi, M.; Khoobi, A. Fabrication of a graphene oxide nano-sheet modified electrode for determination of dopamine in the presence of tyrosine: A multivariate optimization strategy. J. Mol. Liq. 2016, 215, 31–38. [Google Scholar] [CrossRef]
- Dan-Hardi, M.; Serre, C.; Frot, T.; Rozes, L.; Maurin, G.; Sanchez, C.; Ferey, G. A new photoactive crystalline highly porous titanium(IV) dicarboxylate. J. Am. Chem. Soc. 2009, 131, 10857–10859. [Google Scholar] [CrossRef]
- Yang, C.; Wang, J.; Yan, W.Q.; Xia, Y. Facile synthesis disposable MOF membrane filter: Growth of NH2-MIL-125 (Ti) on filter paper for fast removal of organophosphorus pesticides in aqueous solution and vegetables. Food Chem. 2022, 389, 133056. [Google Scholar] [CrossRef]
- El-Shahat, M.; Abdelhamid, A.E.; Abdelhameed, R.M. Capture of iodide from wastewater by effective adsorptive membrane synthesized from MIL-125-NH2 and cross-linked chitosan. Carbohydr. Polym. 2020, 231, 115742. [Google Scholar] [CrossRef] [PubMed]
- Ling, L.J.; Xu, J.P.; Deng, Y.H.; Peng, Q.; Chen, J.H.; He, Y.S.; Nie, Y.J. One-pot hydrothermal synthesis of amine-functionalized metal-organic framework/reduced graphene oxide composites for the electrochemical detection of bisphenol A. Anal. Methods 2018, 10, 2722–2730. [Google Scholar] [CrossRef]
- Chang, H.W.; Chen, C.L.; Chen, Y.H.; Chang, Y.M.; Liu, F.J.; Tsai, Y.C. Electrochemical organophosphorus pesticide detection using nanostructured gold-modified electrodes. Sensors 2022, 22, 9938. [Google Scholar] [CrossRef]
- Sun, Y.W.; Liu, L.L.; Ji, T.T.; Yan, J.H.; Liu, Y. Complete twin suppression in oriented NH2-MIL-125 film via facile coordination modulation. Chem. Commun. 2022, 58, 8822–8825. [Google Scholar] [CrossRef]
- Guo, Z.; Huang, G.Q.; Li, J.; Wang, Z.Y.; Xu, X.F. Graphene oxide-Ag/poly-L-lysine modified glassy carbon electrode as an electrochemical sensor for the determination of dopamine in the presence of ascorbic acid. J. Electroanal. Chem. 2015, 759, 113–121. [Google Scholar] [CrossRef]
- Dhivya, E.; Magadevan, D.; Palguna, Y.; Mishra, T.; Aman, N. Synthesis of titanium based hetero MOF photocatalyst for reduction of Cr (VI) from wastewater. J. Environ. Chem. Eng. 2019, 7, 103240. [Google Scholar] [CrossRef]
- Bagherzadeh, M.; Safarkhani, M.; Kiani, M.; Radmanesh, F.; Daneshgar, H.; Ghadiri, A.M.; Taghavimandi, F.; Fatahi, Y.; Safari-Alighiarloo, N.; Ahmadi, S.; et al. MIL-125-based nanocarrier decorated with Palladium complex for targeted drug delivery. Sci. Rep. 2022, 12, 12105. [Google Scholar] [CrossRef] [PubMed]
- Wang, L.; Li, X.; Yang, R.; Li, J.J.; Qu, L.B. A highly sensitive and selective electrochemical sensor for pentachlorophenol based on reduced graphite oxide-silver nanocomposites. Food Anal. Methods 2020, 13, 2050–2058. [Google Scholar] [CrossRef]
- Anson, F.C. Application of potentiostatic current integration to the study of the adsorption of Cobalt(III)-(Ethylenedinitrilo(tetraacetate) on mercury electrodes. Anal. Chem. 1964, 36, 932–934. [Google Scholar] [CrossRef]
- Kokulnathan, T.; Wang, T.J.; Duraisamy, N.; Kumar, E.A.; An Ni, S. Hierarchical nanoarchitecture of zirconium phosphate/graphene oxide: Robust electrochemical platform for detection of fenitrothion. J. Hazard. Mater. 2021, 412, 125257. [Google Scholar] [CrossRef]
- Salehzadeh, H.; Ebrahimi, M.; Nematollahi, D.; Salarian, A.A. Electrochemical study of fenitrothion and bifenox and their simultaneous determination using multiwalled carbon nanotube modified glassy carbon electrode. J. Electroanal. Chem. 2016, 767, 188–194. [Google Scholar] [CrossRef]
- Shanbhag, M.M.; Shetti, N.P.; Kulkarni, R.M.; Chandra, P. Nanostructured Ba/ZnO modified electrode as a sensor material for detection of organosulfur thiosalicylic acid. Microchem. J. 2020, 159, 105409. [Google Scholar] [CrossRef]
- Yigit, A.; Pinar, P.T.; Akinay, Y.; Alma, M.H.; Menges, N. Nanotube-boramidic acid derivative for dopamine sensing. Chemistryselect 2021, 6, 6302–6313. [Google Scholar] [CrossRef]
- Soysal, M. Voltammetric determination of fenitrothion based on pencil graphite electrode modified with poly(Purpald((R))). Chem. Pap. 2019, 73, 1785–1794. [Google Scholar] [CrossRef]
- Kumaravel, A.; Chandrasekaran, M. A biocompatible nano TiO2/nafion composite modified glassy carbon electrode for the detection of fenitrothion. J. Electroanal. Chem. 2011, 650, 163–170. [Google Scholar] [CrossRef]
- Sgobbi, L.F.; Machado, S.A.S. Functionalized polyacrylamide as an acetylcholinesterase-inspired biomimetic device for electrochemical sensing of organophosphorus pesticides. Biosens. Bioelectron. 2018, 100, 290–297. [Google Scholar] [CrossRef]
- Geremedhin, W.; Amare, M.; Admassie, S. Electrochemically pretreated glassy carbon electrode for electrochemical detection of fenitrothion in tap water and human urine. Electrochim. Acta 2013, 87, 749–755. [Google Scholar] [CrossRef]
- Pellicer, C.; Gomez-Caballero, A.; Unceta, N.; Goicolea, M.A.; Barrio, R.J. Using a portable device based on a screen-printed sensor modified with a molecularly imprinted polymer for the determination of the insecticide fenitrothion in forest samples. Anal. Methods 2010, 2, 1280–1285. [Google Scholar] [CrossRef]
- Akyüz, D.; Keleş, T.; Biyiklioglu, Z.; Koca, A. Electrochemical pesticide sensors based on electropolymerized metallophthalocyanines. J. Electroanal. Chem. 2017, 804, 53–63. [Google Scholar] [CrossRef]
- Canevari, T.C.; Prado, T.M.; Cincotto, F.H.; Machado, S.A.S. Immobilization of ruthenium phthalocyanine on silica-coated multi-wall partially oriented carbon nanotubes: Electrochemical detection of fenitrothion pesticide. Mater. Res. Bull. 2016, 76, 41–47. [Google Scholar] [CrossRef]
- Itkes, M.P.M.; De Oliveira, G.G.; Silva, T.A.; Fatibello, O.; Janegitz, B.C. Voltammetric sensing of fenitrothion in natural water and orange juice samples using a single-walled carbon nanohorns and zein modified sensor. J. Electroanal. Chem. 2019, 840, 21–26. [Google Scholar] [CrossRef]
- Mosleh, M.; Ghoreishi, S.M.; Masoum, S.; Khoobi, A. Determination of quercetin in the presence of tannic acid in soft drinks based on carbon nanotubes modified electrode using chemometric approaches. Sens. Actuators B Chem. 2018, 272, 605–611. [Google Scholar] [CrossRef]





| Sample | FT Added (μM) | FT Found (Mean ± SD) (μM) | Recovery (%) | RSD (%) | GC-MS Validation (Mean ± SD) (μM) | Recovery a (%) | RSD (%) b | |
|---|---|---|---|---|---|---|---|---|
| Cereals | Rice flour | 0.36 | 0.36 ± 0.04 | 102.24 | 2.13 | 0.36 ± 0.01 | 99.35 | 1.98 | 
| 1.8 | 1.81 ± 0.03 | 100.47 | 1.22 | 1.81 ± 0.01 | 100.52 | 1.65 | ||
| 3.6 | 3.59 ± 0.04 | 99.78 | 1.87 | 3.61 ± 0.04 | 100.19 | 1.02 | ||
| Wheat flour | 0.36 | 0.35 ± 0.07 | 98.37 | 2.45 | 0.35 ± 0.01 | 96.85 | 2.04 | |
| 1.8 | 1.82 ± 0.04 | 101.79 | 2.34 | 1.80 ± 0.02 | 100.24 | 1.75 | ||
| 3.6 | 3.58 ± 0.06 | 99.70 | 1.94 | 3.62 ± 0.07 | 100.66 | 2.04 | ||
| Vegetables | Cucumber | 0.36 | 0.36 ± 0.01 | 103.44 | 2.81 | 0.36 ± 0.01 | 101.30 | 1.89 | 
| 1.8 | 1.77 ± 0.08 | 98.07 | 1.98 | 1.78 ± 0.03 | 99.65 | 1.53 | ||
| 3.6 | 3.68 ± 0.01 | 102.33 | 1.57 | 3.63 ± 0.06 | 100.81 | 1.49 | ||
| Tomato | 0.36 | 0.34 ± 0.01 | 94.21 | 3.74 | 0.36 ± 0.01 | 100.83 | 2.34 | |
| 1.8 | 1.83 ± 0.02 | 101.56 | 2.94 | 1.81 ± 0.03 | 100.70 | 1.58 | ||
| 3.6 | 3.53 ± 0.10 | 97.93 | 1.58 | 3.62 ± 0.07 | 100.62 | 1.30 | ||
| Fruits | Grape | 0.36 | 0.35 ± 0.01 | 97.22 | 2.91 | 0.37 ± 0.01 | 102.67 | 1.26 | 
| 1.8 | 1.70 ± 0.07 | 94.28 | 3.75 | 1.81 ± 0.02 | 100.81 | 1.50 | ||
| 3.6 | 3.67 ± 0.07 | 102.01 | 1.95 | 3.65 ± 0.04 | 101.43 | 0.99 | ||
| Peach | 0.36 | 0.35 ± 0.01 | 96.67 | 2.21 | 0.35 ± 0.01 | 98.22 | 1.91 | |
| 1.8 | 1.77 ± 0.01 | 98.20 | 1.74 | 1.82 ± 0.01 | 100.69 | 1.48 | ||
| 3.6 | 3.70 ± 0.02 | 102.06 | 1.69 | 3.64 ± 0.02 | 100.58 | 1.27 | ||
| Disclaimer/Publisher’s Note: The statements, opinions and data contained in all publications are solely those of the individual author(s) and contributor(s) and not of MDPI and/or the editor(s). MDPI and/or the editor(s) disclaim responsibility for any injury to people or property resulting from any ideas, methods, instructions or products referred to in the content. | 
© 2023 by the authors. Licensee MDPI, Basel, Switzerland. This article is an open access article distributed under the terms and conditions of the Creative Commons Attribution (CC BY) license (https://creativecommons.org/licenses/by/4.0/).
Share and Cite
Shu, Z.; Zou, Y.; Wu, X.; Zhang, Q.; Shen, Y.; Xiao, A.; Duan, S.; Pi, F.; Liu, X.; Wang, J.; et al. NH2-MIL-125(Ti)/Reduced Graphene Oxide Enhanced Electrochemical Detection of Fenitrothion in Agricultural Products. Foods 2023, 12, 1534. https://doi.org/10.3390/foods12071534
Shu Z, Zou Y, Wu X, Zhang Q, Shen Y, Xiao A, Duan S, Pi F, Liu X, Wang J, et al. NH2-MIL-125(Ti)/Reduced Graphene Oxide Enhanced Electrochemical Detection of Fenitrothion in Agricultural Products. Foods. 2023; 12(7):1534. https://doi.org/10.3390/foods12071534
Chicago/Turabian StyleShu, Zaixi, Yue Zou, Xuyue Wu, Qi Zhang, Yafang Shen, Anhong Xiao, Shuo Duan, Fuwei Pi, Xiaodan Liu, Jiahua Wang, and et al. 2023. "NH2-MIL-125(Ti)/Reduced Graphene Oxide Enhanced Electrochemical Detection of Fenitrothion in Agricultural Products" Foods 12, no. 7: 1534. https://doi.org/10.3390/foods12071534
APA StyleShu, Z., Zou, Y., Wu, X., Zhang, Q., Shen, Y., Xiao, A., Duan, S., Pi, F., Liu, X., Wang, J., & Dai, H. (2023). NH2-MIL-125(Ti)/Reduced Graphene Oxide Enhanced Electrochemical Detection of Fenitrothion in Agricultural Products. Foods, 12(7), 1534. https://doi.org/10.3390/foods12071534
 
        


 
       