The Application of Phenolic Acids in The Obtainment of Packaging Materials Based on Polymers—A Review
Abstract
1. Introduction
2. Phenolic Acids
3. Benzoic Acid Derivatives
3.1. Sinapic Acid
3.2. Gallic Acid
3.3. Ellagic Acid
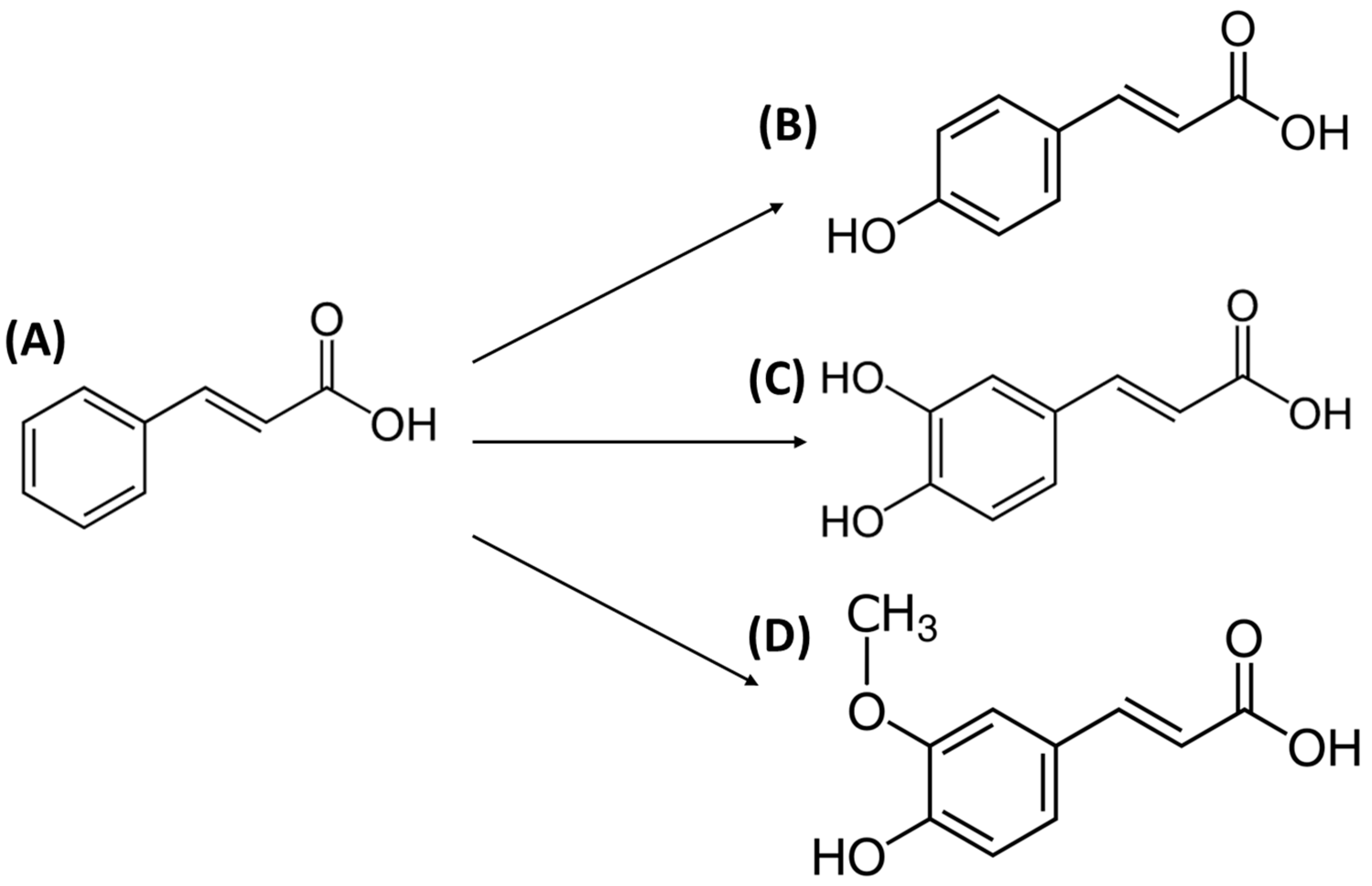
4. Cinnamic Acid Derivatives
4.1. p-Coumaric Acid
4.2. Caffeic Acid
4.3. Ferulic Acid
5. Summary of the Discussed Materials—Properties and Applications
6. Future Perspectives
7. Conclusions
Author Contributions
Funding
Institutional Review Board Statement
Informed Consent Statement
Data Availability Statement
Conflicts of Interest
References
- Youssef, A.M.; El-Sayed, S.M. Bionanocomposites materials for food packaging applications: Concepts and future outlook. Carbohyd. Polym. 2018, 193, 19–27. [Google Scholar] [CrossRef]
- Rhim, J.W.; Park, H.M.; Ha, C.S. Bio-nanocomposites for food packaging applications. Prog. Polym. Sci. 2013, 38, 1629–1652. [Google Scholar] [CrossRef]
- Jeevahan, J.; Chandrasekaran, M. Nanoedible films for food packaging: A review. J. Mater. Sci. 2019, 54, 12290–12318. [Google Scholar] [CrossRef]
- Balasubramaniam, S.P.L.; Howell, C.; Tajvidi, M.; Skonberg, D. Characterization of novel cellulose nanofibril and phenolic acid-based active and hydrophobic packaging films. Food Chem. 2022, 374, 131773. [Google Scholar] [CrossRef]
- Liu, J.; Pu, H.; Liu, S.; Kan, J.; Jin, C. Synthesis, characterization, bioactivity and potential application of phenolic acid grafted chitosan: A review. Carbohyd. Polym. 2017, 174, 999–1017. [Google Scholar] [CrossRef]
- Kaczmarek, B.; Mazur, O. Collagen-Based Materials Modified by Phenolic Acids—A Review. Materials 2020, 13, 3641. [Google Scholar] [CrossRef] [PubMed]
- Picchio, M.L.; Linck, Y.G.; Monti, G.A.; Gugliotta, L.M.; Minari, R.J.; Alvarez Igarzabal, C.I. Casein films crosslinked by tannic acid for food packaging applications. Food Hydrocoll. 2018, 84, 424–434. [Google Scholar] [CrossRef]
- Singh, A.K.; Kim, J.Y.; Lee, Y.S. Phenolic Compounds in Active Packaging and Edible Films/Coatings: Natural Bioactive Molecules and Novel Packaging Ingredients. Molecules 2022, 27, 7513. [Google Scholar] [CrossRef]
- Chaillou, L.L.; Nazareno, M.A. New Method to Determine Antioxidant Activity of Polyphenols. J. Agric. Food Chem. 2006, 54, 8397–8402. [Google Scholar] [CrossRef] [PubMed]
- Chen, J.H.; Ho, C.T. Antioxidant Activities of Caffeic Acid and Its Related Hydroxycinnamic Acid Compounds. J. Agric. Food Chem. 1997, 45, 2374–2378. [Google Scholar] [CrossRef]
- Liu, J.; Yong, H.; Liu, Y.; Bai, R. Recent advances in the preparation, structural characteristics, biological properties and applications of gallic acid grafted polysaccharides. Int. J. Biol. Macromol. 2020, 156, 1539–1555. [Google Scholar] [CrossRef] [PubMed]
- Selseleh, M.; Ebrahimi, S.N.; Aliahmadi, A.; Sonboli, A.; Mirjalili, M.H. Metabolic profiling, antioxidant, and antibacterial activity of some Iranian Verbascum L. species. Ind. Crop. Prod. 2020, 153, 112609. [Google Scholar] [CrossRef]
- del Olmo, A.; Calzada, J.; Nuñez, M. Benzoic acid and its derivatives as naturally occurring compounds in foods and as additives: Uses, exposure, and controversy. Crit. Rev. Food Sci. Nutr. 2017, 57, 3084–3103. [Google Scholar] [CrossRef] [PubMed]
- Chowdhury, T.; Das, M. Effect of antimicrobial on mechanical, barrier and optical properties of corn starch based self-supporting edible film. Int. J. Food Stud. 2013, 2, 212–223. [Google Scholar] [CrossRef]
- Lipatova, I.M.; Yusova, A.A.; Makarova, L.I. Functional films based on mechanoactivated starch with prolonged release of preservative. Food Biosci. 2022, 47, 101694. [Google Scholar] [CrossRef]
- Fedoseeva, E.N.; Fedoseev, V.B. Interaction of chitosan with benzoic acid in solution and films. Polym. Sci. Ser. A 2011, 53, 1040–1046. [Google Scholar] [CrossRef]
- Brink, I.; Šipailienė, A.; Leskauskaitė, D. Antimicrobial properties of chitosan and whey protein films applied on fresh cut turkey pieces. Int. J. Biol. Macromol. 2019, 130, 810–817. [Google Scholar] [CrossRef]
- da Rocha, M.; Loiko, M.R.; Tondo, E.C.; Prentice, C. Physical, mechanical and antimicrobial properties of Argentine anchovy (Engraulis anchoita) protein films incorporated with organic acids. Food Hydrocoll. 2014, 37, 213–220. [Google Scholar] [CrossRef]
- Goñi-Ciaurriz, L.; Vélaz, I. Antibacterial and degradable properties of β-cyclodextrin-TiO2 cellulose acetate and polylactic acid bionanocomposites for food packaging. Int. J. Biol. Macromol. 2022, 216, 347–360. [Google Scholar] [CrossRef]
- Weng, Y.M.; Hotchkiss, J.H. Anhydrides as antimycotic agents added to polyethylene films for food packaging. Packag. Technol. Sci. 1993, 6, 123–128. [Google Scholar] [CrossRef]
- Weng, Y.M.; Chen, M.J.; Chen, W. Antimicrobial Food Packaging Materials from Poly(ethylene-co-methacrylic acid). LWT-Food Sci. Technol. 1999, 32, 191–195. [Google Scholar] [CrossRef]
- Tan, Z.; Shahidi, F. Phytosteryl sinapates and vanillates: Chemoenzymatic synthesis and antioxidant capacity assessment. Food Chem. 2013, 138, 1438–1447. [Google Scholar] [CrossRef]
- Rabiej-Kozioł, D.; Tymczewska, A.; Szydłowska-Czerniak, A. Changes in Quality of Cold-Pressed Rapeseed Oil with Sinapic Acid Ester-Gelatin Films during Storage. Foods 2022, 11, 3341. [Google Scholar] [CrossRef] [PubMed]
- Crouvisier-Urion, K.; da Silva Farias, F.R.; Arunatat, S.; Griffin, D.; Gerometta, M.; Rocca-Smith, J.R.; Weber, G.; Sok, N.; Karbowiak, T. Functionalization of chitosan with lignin to produce active materials by waste valorization. Green Chem. 2019, 21, 4633–4641. [Google Scholar] [CrossRef]
- Kaya, M.; Khadem, S.; Cakmak, Y.S.; Mujtaba, M.; Ilk, S.; Akyuz, L.; Salaberria, A.M.; Labidi, J.; Abdulqadira, A.H.; Deligözf, E. Antioxidative and antimicrobial edible chitosan films blended with stem, leaf and seed extracts of Pistacia terebinthus for active food packaging. RSC Adv. 2018, 8, 3941–3950. [Google Scholar] [CrossRef]
- Kiokias, S.; Proestos, C.; Oreopoulou, V. Phenolic Acids of Plant Origin—A Review on Their Antioxidant Activity In Vitro (O/W Emulsion Systems) Along with Their in Vivo Health Biochemical Properties. Foods 2020, 9, 534. [Google Scholar] [CrossRef]
- Alencar Fernandes, F.H.; Nunes Salgado, H.R. Gallic Acid: Review of the Methods of Determination and Quantification. Crit. Rev. Anal. Chem. 2016, 46, 257–265. [Google Scholar] [CrossRef]
- Fang, Z.; Lin, D.; Warner, R.D.; Ha, M. Effect of gallic acid/chitosan coating on fresh pork quality in modified atmosphere packaging. Food Chem. 2018, 260, 90–96. [Google Scholar] [CrossRef]
- Sun, X.; Wang, Z.; Kadouh, H.; Zhou, K. The antimicrobial, mechanical, physical and structural properties of chitosan–gallic acid films. LWT 2014, 57, 83–89. [Google Scholar] [CrossRef]
- Zarandona, I.; Puertas, A.I.; Dueñas, M.T.; Guerrero, P.; de la Caba, K. Assessment of active chitosan films incorporated with gallic acid. Food Hydrocol. 2020, 101, 105486. [Google Scholar] [CrossRef]
- Wang, Y.; Du, H.; Xie, M.; Ma, G.; Yang, W.; Hu, Q.; Pei, F. Characterization of the physical properties and biological activity of chitosan films grafted with gallic acid and caffeic acid: A comparison study. Food Packag. Shelf Life 2019, 22, 100401. [Google Scholar] [CrossRef]
- Singh, G.; Singh, S.; Kumar, B.; Gaikwad, K.K. Active barrier chitosan films containing gallic acid based oxygen scavenger. J. Food Meas. Charact. 2021, 15, 585–593. [Google Scholar] [CrossRef]
- Liu, J.; Liu, S.; Zhang, X.; Kan, J.; Jin, C. Effect of gallic acid grafted chitosan film packaging on the postharvest quality of white button mushroom (Agaricus bisporus). Postharvest Biol. Technol. 2019, 147, 39–47. [Google Scholar] [CrossRef]
- Yadav, S.; Mehrotra, G.K.; Dutta, P.K. Chitosan based ZnO nanoparticles loaded gallic-acid films for active food packaging. Food Chem. 2021, 334, 127605. [Google Scholar] [CrossRef] [PubMed]
- Chi, C.; Li, X.; Zhang, Y.; Chen, L.; Xie, F.; Li, L.; Bai, G. Modulating the in vitro digestibility and predicted glycemic index of rice starch gels by complexation with gallic acid. Food Hydrocol. 2019, 89, 821–828. [Google Scholar] [CrossRef]
- Liu, Y.; Chen, L.; Xu, H.; Liang, Y.; Zheng, B. Understanding the digestibility of rice starch-gallic acid complexes formed by high pressure homogenization. Int. J. Biol. Macromol. 2019, 134, 856–863. [Google Scholar] [CrossRef] [PubMed]
- Zhao, Y.; Saldaña, M.D.A. Use of potato by-products and gallic acid for development of bioactive film packaging by subcritical water technology. J. Supercrit. Fluids 2019, 143, 97–106. [Google Scholar] [CrossRef]
- Promsorn, J.; Harnkarnsujarit, N. Oxygen absorbing food packaging made by extrusion compounding of thermoplastic cassava starch with gallic acid. Food Control 2022, 142, 109273. [Google Scholar] [CrossRef]
- Zhao, Y.; Teixeira, J.S.; Gänzle, M.M.; Saldaña, M.D.A. Development of antimicrobial films based on cassava starch, chitosan and gallic acid using subcritical water technology. J. Supercrit. Fluids 2018, 137, 101–110. [Google Scholar] [CrossRef]
- Pacheco, N.; Naal-Ek, M.G.; Ayora-Talavera, T.; Shirai, K.; Román-Guerrero, A.; Fabela-Morón, M.F.; Cuevas-Bernardino, J.C. Effect of bio-chemical chitosan and gallic acid into rheology and physicochemical properties of ternary edible films. Int. J. Biol. Macromol. 2019, 125, 149–158. [Google Scholar] [CrossRef]
- Guo, L.; Qiang, T.; Ma, Y.; Ren, L.; Zhu, C. Biodegradable Anti-Ultraviolet Film from Modified Gallic Acid Cross-linked Gelatin. ACS Sustain. Chem. Eng. 2021, 9, 8393–8401. [Google Scholar] [CrossRef]
- Rui, L.; Xie, M.; Hu, B.; Zhou, L.; Yin, D.; Zeng, X. A comparative study on chitosan/gelatin composite films with conjugated or incorporated gallic acid. Carbohyd. Polym. 2017, 173, 473–481. [Google Scholar] [CrossRef] [PubMed]
- Bhatia, S.; Al-Harrasi, A.; Al-Azri, M.S.; Ullah, S.; Makeen, H.A.; Meraya, A.M.; Albratty, M.; Najmi, A.; Anwer, M.K. Gallic Acid Crosslinked Gelatin and Casein Based Composite Films for Food Packaging Applications. Polymers 2022, 14, 4065. [Google Scholar] [CrossRef] [PubMed]
- Balasubramaniam, S.P.L.; Patel, A.S.; Nayak, B. Fabrication of antioxidative food packaging films using cellulose nanofibers, kappa-Carrageenan, and gallic acid. J. Food Process. Preserv. 2021, 45, e15480. [Google Scholar] [CrossRef]
- Debeaufort, F.; Riondet, J.; Brachais, C.-H.; Benbettaieb, N. Influence of Gelatin-Based Coatings Crosslinked with Phenolic Acids on PLA Film Barrier Properties. Coatings 2022, 12, 993. [Google Scholar] [CrossRef]
- Quiles-Carrillo, L.; Montava-Jordà, S.; Boronat, T.; Sammon, C.; Balart, R.; Torres-Giner, S. On the Use of Gallic Acid as a Potential Natural Antioxidant and Ultraviolet Light Stabilizer in Cast-Extruded Bio-Based High-Density Polyethylene Films. Polymers 2020, 12, 31. [Google Scholar] [CrossRef]
- Romero-Montero, A.; del Valle, L.J.; Puiggalí, J.; Montiel, C.; García-Arrazola, R.; Gimeno, M. Poly(gallic acid)-coated polycaprolactone inhibits oxidative stress in epithelial cells. Mat. Sci. Eng. C 2022, 115, 111154. [Google Scholar] [CrossRef]
- Shahidi, F.; Ambigaipalan, P. Phenolics and polyphenolics in foods, beverages and spices: Antioxidant activity and health effects –A review. JFF 2015, 18, 820–897. [Google Scholar] [CrossRef]
- González-Sarrías, A.; García-Villalba, R.; Núñez-Sánchez, M.A.; Tomé-Carneiro, J.; Zafrilla, P.; Mulero, J.; Tomás-Barberán, F.A.; Espín, J.C. Identifying the limits for ellagic acid bioavailability: A crossover pharmacokinetic study in healthy volunteers after consumption of pomegranate extracts. JFF 2015, 19, 225–235. [Google Scholar] [CrossRef]
- Vilela, C.; Pinto, R.J.B.; Coelho, J.; Domingues, M.R.M.; Daina, S.; Sadocco, P.; Santos, S.A.O.; Freire, C.S.R. Bioactive chitosan/ellagic acid films with UV-light protection for active food packaging. Food Hydrocoll. 2017, 73, 120–128. [Google Scholar] [CrossRef]
- Mohamed, S.A.A.; El-Sakhawy, M.; El-Sakhawy, M.A.M. Polysaccharides, Protein and Lipid -Based Natural Edible Films in Food Packaging: A Review. Carbohydr. Polym. 2020, 238, 116178. [Google Scholar] [CrossRef]
- Tirado-Gallegos, J.M.; Zamudio-Flores, P.B.; Ornelas-Paz, J.d.J.; Rios-Velasco, C.; Olivas Orozco, G.I.; Espino-Díaz, M.; Baeza-Jiménez, R.; Buenrostro-Figueroa, J.J.; Aguilar-González, M.A.; Lardizábal-Gutiérrez, D.; et al. Elaboration and Characterization of Active Apple Starch Films Incorporated with Ellagic Acid. Coatings 2018, 8, 384. [Google Scholar] [CrossRef]
- Luo, Y.; Liu, H.; Yang, S.; Zeng, J.; Wu, Z. Sodium Alginate-Based Green Packaging Films Functionalized by Guava Leaf Extracts and Their Bioactivities. Materials 2019, 12, 2923. [Google Scholar] [CrossRef] [PubMed]
- Tavares, W.S.; Ribeiro Pena, G.; Martin-Pastor, M.; Oliveira de Sousa, F.F. Design and characterization of ellagic acid-loaded zein nanoparticles and their effect on the antioxidant and antibacterial activities. J. Mol. Liq. 2021, 341, 116915. [Google Scholar] [CrossRef]
- Kim, S.; Gaber, M.W.; Zawaski, J.A.; Zhang, F.; Richardson, M.; Zhang, X.A.; Yang, Y. The inhibition of glioma growth in vitro and in vivo by a chitosan/ellagic acid composite biomaterial. Biomaterials 2009, 30, 4743–4751. [Google Scholar] [CrossRef]
- Tavares, W.S.; Tavares-Júnior, A.G.; Otero-Espinar, F.J.; Martín-Pastor, M.; Sousa, F.F.O. Design of ellagic acid-loaded chitosan/zein films for wound bandaging. J. Drug Deliv. Sci. Technol. 2020, 59, 101903. [Google Scholar] [CrossRef]
- Ruwizhi, N.; Aderibigbe, B.A. Cinnamic Acid Derivatives and Their Biological Efficacy. Int. J. Mol. Sci. 2020, 21, 5712. [Google Scholar] [CrossRef] [PubMed]
- Chandra, S.; Roy, A.; Jana, M.; Pahan, K. Cinnamic Acid Activates PPARα to Stimulate Lysosomal Biogenesis and Lower Amyloid Plaque Pathology in an Alzheimer’s Disease Mouse Model. Neurobiol. Dis. 2019, 124, 379–395. [Google Scholar] [CrossRef] [PubMed]
- Yilmaz, S.; Sova, M.; Ergün, S. Antimicrobial Activity of Trans-Cinnamic Acid and Commonly Used Antibiotics against Important Fish Pathogens and Nonpathogenic Isolates. J. Appl. Microbiol. 2018, 125, 1714–1727. [Google Scholar] [CrossRef] [PubMed]
- Adisakwattana, S. Cinnamic Acid and Its Derivatives: Mechanisms for Prevention and Management of Diabetes and Its Complications. Nutrients 2017, 9, 163. [Google Scholar] [CrossRef]
- Gunia-Krzyżak, A.; Słoczyńska, K.; Popiół, J.; Koczurkiewicz, P.; Marona, H.; Pękala, E. Cinnamic acid derivatives in cosmetics: Current use and future prospects. Int. J. Cosmet. Sci. 2018, 40, 356–366. [Google Scholar] [CrossRef]
- Peperidou, A.; Pontiki, E.; Hadjipavlou-Litina, D.; Voulgari, E.; Avgoustakis, K. Multifunctional Cinnamic Acid Derivatives. Molecules 2017, 22, 1247. [Google Scholar] [CrossRef] [PubMed]
- Ordoñez, R.; Atarés, L.; Chiralt, A. Physicochemical and antimicrobial properties of cassava starch films with ferulic or cinnamic acid. LWT 2021, 144, 111242. [Google Scholar] [CrossRef]
- Ordoñez, R.; Atarés, L.; Chiralt, A. Effect of Ferulic and Cinnamic Acids on the Functional and Antimicrobial Properties in Thermo-Processed PLA Films. Food Packag. Shelf Life 2022, 33, 100882. [Google Scholar] [CrossRef]
- Ordoñez, R.; Atarés, L.; Chiralt, A. Properties of PLA films with cinnamic acid: Effect of the processing method. Food Bioprod. Process. 2022, 133, 25–33. [Google Scholar] [CrossRef]
- Ordoñez, R.; Atarés, L.; Chiralt, A. Antibacterial properties of cinnamic and ferulic acids incorporated to starch and PLA monolayer and multilayer films. Food Control 2022, 136, 108878. [Google Scholar] [CrossRef]
- Ordoñez, R.; Atarés, L.; Chiralt, A. Multilayer Antimicrobial Films Based on Starch and PLA with Superficially Incorporated Ferulic or Cinnamic Acids for Active Food Packaging Purposes. Available online: https://ssrn.com/abstract=4042077 (accessed on 21 January 2023).
- Benbettaïeb, N.; Mahfoudh, R.; Moundanga, S.; Brachais, C.H.; Chambin, O.; Debeaufort, F. Modeling of the release kinetics of phenolic acids embedded in gelatin/chitosan bioactive-packaging films: Influence of both water activity and viscosity of the food simulant on the film structure and antioxidant activity. Int. J. Biol. Macromol. 2020, 160, 780–794. [Google Scholar] [CrossRef]
- Andrade, J.; González-Martínez, C.; Chiralt, A. Effect of phenolic acids on the properties of films from Poly(vinyl alcohol) of different molecular characteristics. Food Packag. Shelf Life 2021, 29, 100711. [Google Scholar] [CrossRef]
- Andrade, J.; González-Martínez, C.; Chiralt, A. Physical and active properties of poly(vinyl alcohol) films with phenolic acids as affected by the processing method. Food Packag. Shelf Life 2022, 33, 100855. [Google Scholar] [CrossRef]
- Xu, R.; Yin, C.; You, J.; Zhang, J.; Mi, Q.; Wu, J.; Zhang, J. Sustainable, thermoplastic and hydrophobic coating from natural cellulose and cinnamon to fabricate eco-friendly catering packaging. GEE, 2022; in press. [Google Scholar] [CrossRef]
- Lin, W.; Ni, Y.; Liu, D.; Yao, Y.; Pang, J. Robust microfluidic construction of konjac glucomannan-based micro-films for active food packaging. Int. J. Biol. Macromol. 2019, 137, 982–991. [Google Scholar] [CrossRef]
- Shi, J.; Wu, R.; Li, Y.; Ma, L.; Liu, S.; Liu, R.; Lu, P. Antimicrobial food packaging composite films prepared from hemicellulose/polyvinyl alcohol/potassium cinnamate blends. Int. J. Biol. Macromol. 2022, 222, 395–402. [Google Scholar] [CrossRef] [PubMed]
- Luo, M.; Hu, J.Y.; Song, Z.Y.; Jiao, J.; Mu, F.S.; Ruan, X.; Gai, Q.Y.; Qiao, Q.; Zua, Y.G.; Fua, Y.J. Optimization of ultrasound-assisted extraction (UAE) of phenolic compounds from Crataegus pinnatifida leaves and evaluation of antioxidant activities of extracts. RSC Adv. 2015, 5, 67532–67540. [Google Scholar] [CrossRef]
- Boz, H. p-Coumaric acid in cereals: Presence, antioxidant and antimicrobial effects. Int. J. Food Sci. Technol. 2015, 50, 2323–2328. [Google Scholar] [CrossRef]
- Benbettaieb, N.; Nyagaya, J.; Seuvre, A.M.; Debeaufort, F. Antioxidant Activity and Release Kinetics of Caffeic and p-Coumaric Acids from Hydrocolloid-Based Active Films for Healthy Packaged Food. J. Agric. Food Chem. 2018, 66, 6906–6916. [Google Scholar] [CrossRef]
- Yu, C.; Liu, X.; Pei, J.; Wang, Y. Grafting of laccase-catalysed oxidation of butyl paraben and p-coumaric acid onto chitosan to improve its antioxidant and antibacterial activities. React. Funct. Polym. 2020, 149, 104511. [Google Scholar] [CrossRef]
- Lee, S.; Zhang, M.; Wang, G.; Meng, W.; Zhang, X.; Wang, D.; Zhou, Y.; Wang, Z. Characterization of polyvinyl alcohol/starch composite films incorporated with p-coumaric acid modified chitosan and chitosan nanoparticles: A comparative study. Carbohyd. Polym. 2021, 262, 117930. [Google Scholar] [CrossRef] [PubMed]
- Yong, H.; Liu, Y.; Yun, D.; Zong, S.; Jin, C.; Liu, J. Chitosan Films Functionalized with Different Hydroxycinnamic Acids: Preparation, Characterization and Application for Pork Preservation. Foods 2021, 10, 536. [Google Scholar] [CrossRef]
- Wu, Y.; Wu, W.; Farag, M.A.; Shao, P. Functionalized cellulose nanocrystal embedded into citrus pectin coating improves its barrier, antioxidant properties and potential application in food. Food Chem. 2023, 401, 134079. [Google Scholar] [CrossRef]
- Panda, P.K.; Yang, J.M.; Chang, Y.H. Water-induced shape memory behavior of poly(vinyl alcohol) and p-coumaric acid-modified water-soluble chitosan blended membrane. Carbohyd. Polym. 2021, 257, 117633. [Google Scholar] [CrossRef]
- Sanches-Silva, A.; Costa, D.; Albuquerque, T.G.; Buonocore, G.G.; Ramos, F.; Castilho, M.C.; Machado, A.V.; Costa, H.S. Trends in the use of natural antioxidants in active food packaging: A review. Food Addit. Contam.–Chem. Anal. 2014, 31, 374–395. [Google Scholar] [CrossRef]
- Yu, S.H.; Hsieh, H.Y.; Pang, J.C.; Tang, D.W.; Shih, C.M.; Tsai, M.L.; Tsai, Y.C.; Mi, F.L. Active films from water-soluble chitosan/cellulose composites incorporating releasable caffeic acid for inhibition of lipid oxidation in fish oil emulsions. Food Hydrocol. 2013, 32, 9–19. [Google Scholar] [CrossRef]
- Benbettaïeb, N.; Tanner, C.; Cayot, P.; Karbowiak, T.; Debeaufort, F. Impact of functional properties and release kinetics on antioxidant activity of biopolymer active films and coatings. Food Chem. 2018, 242, 369–377. [Google Scholar] [CrossRef] [PubMed]
- Nunes, C.; Maricato, E.; Cunha, A.; Nunes, A.; Lopes da Silva, J.A.; Coimbra, M.A. Chitosan–caffeic acid–genipin films presenting enhanced antioxidant activity and stability in acidic media. Carbohyd. Polym. 2013, 91, 236–243. [Google Scholar] [CrossRef]
- Araghi, M.; Moslehi, Z.; Nafchi, A.M.; Mostahsan, A.; Salamat, N.; Garmakhany, A.D. Cold water fish gelatin modification by a natural phenolic cross-linker (ferulic acid and caffeic acid). Food Sci. Nutr. 2015, 3, 370–375. [Google Scholar] [CrossRef]
- Luzi, F.; Torre, L.; Puglia, D. Antioxidant Packaging Films Based on Ethylene Vinyl Alcohol Copolymer (EVOH) and Caffeic Acid. Molecules 2020, 25, 3953. [Google Scholar] [CrossRef] [PubMed]
- Zhou, Z.; Han, P.; Bai, S.; Ma, N.; Fang, D.; Yang, W.; Hu, Q.; Pei, F. Caffeic acid-grafted-chitosan/polylactic acid film packaging enhances the postharvest quality of Agaricus bisporus by regulating membrane lipid metabolism. Food Res. Int. 2022, 158, 111557. [Google Scholar] [CrossRef]
- de Moraes Segundo, J.D.P.; de Moraes, M.O.S.; de Brito Soares, A.L.; Gonçalves dos Santos, G.; Silva, R.N.; dos Santos Almeida, R.; Brito, W.R.; Akira d’Ávila, M. Production and characterization of caffeic acid-loaded microfibrous polycaprolactone mats obtained by electrospinning technology. Int. J. Adv. Eng. Res. Sci. 2021, 8, 017–025. [Google Scholar] [CrossRef]
- Kumar, N.; Pruthi, V. Potential applications of ferulic acid from natural sources. Biotechnol. Rep. 2014, 4, 86–93. [Google Scholar] [CrossRef]
- Yerramathi, B.B.; Kola, M.; Muniraj, B.A.; Aluru, R.; Thirumanyam, M.; Zyryanov, G.V. Structural studies and bioactivity of sodium alginate edible films fabricated through ferulic acid crosslinking mechanism. J. Food Eng. 2021, 301, 110566. [Google Scholar] [CrossRef]
- Kaczmarek-Szczepańska, B.; Wekwejt, M.; Mazur, O.; Zasada, L.; Pałubicka, A.; Olewnik-Kruszkowska, E. The Physicochemical and Antibacterial Properties of Chitosan-Based Materials Modified with Phenolic Acids Irradiated by UVC Light. Int. J. Mol. Sci. 2021, 22, 6472. [Google Scholar] [CrossRef]
- Liu, W.; Xie, J.; Li, L.; Xue, B.; Li, X.; Gan, J.; Shao, Z.; Sun, T. Properties of phenolic acid-chitosan composite films and preservative effect on Penaeus vannamei. J. Mol. Struct. 2021, 1239, 130531. [Google Scholar] [CrossRef]
- Li, K.; Zhu, J.; Guan, G.; Wu, H. Preparation of chitosan-sodium alginate films through layer-by-layer assembly and ferulic acid crosslinking: Film properties, characterization, and formation mechanism. Int. J. Biol. Macromol. 2019, 122, 485–492. [Google Scholar] [CrossRef] [PubMed]
- Ding, Z.; Chang, X.; Fu, X.; Kong, H.; Yu, Y.; Xu, H.; Shan, Y.; Ding, S. Fabrication and characterization of pullulan-based composite films incorporated with bacterial cellulose and ferulic acid. Int. J. Biol. Macromol. 2022, 219, 121–137. [Google Scholar] [CrossRef] [PubMed]
- Aragón-Gutiérrez, A.; Rosa, E.; Gallur, M.; López, D.; Hernández-Muñoz, P.; Gavara, R. Melt-Processed Bioactive EVOH Films Incorporated with Ferulic Acid. Polymers 2021, 13, 68. [Google Scholar] [CrossRef] [PubMed]
- Sharma, S.; Jaiswal, A.K.; Duffy, B.; Jaiswal, S. Ferulic acid incorporated active films based on poly(lactide)/poly(butylene adipate-co-terephthalate) blend for food packaging. Food Packag. Shelf Life 2020, 24, 100491. [Google Scholar] [CrossRef]
- GilakHakimabadi, S.; Ehsani, M.; Khonakdar, H.A.; Ghaffari, M.; Jafari, S.H. Controlled-release of ferulic acid from active packaging based on LDPE/EVA blend: Experimental and modeling. Food Packag. Shelf Life 2019, 22, 100392. [Google Scholar] [CrossRef]
- Andrade, J.; González-Martínez, C.; Chiralt, A. Antimicrobial PLA-PVA multilayer films containing phenolic compounds. Food Chem. 2022, 375, 131861. [Google Scholar] [CrossRef]
- Hernández-García, E.; Vargas, M.; Chiralt, A. Effect of active phenolic acids on properties of PLA-PHBV blend films. Food Packag. Shelf Life 2022, 33, 100894. [Google Scholar] [CrossRef]
- Arcan, I.; Yemenicioğlu, A. Incorporating phenolic compounds opens a new perspective to use zein films as flexible bioactive packaging materials. Food Res. Int. 2011, 44, 550–556. [Google Scholar] [CrossRef]
- Insaward, A.; Duangmal, K.; Mahawanich, T. Mechanical, Optical, and Barrier Properties of Soy Protein Film As Affected by Phenolic Acid Addition. J. Agric. Food Chem. 2015, 63, 9421–9426. [Google Scholar] [CrossRef]
- Prodpran, T.; Benjakul, S.; Phatcharat, S. Effect of phenolic compounds on protein cross-linking and properties of film from fish myofibrillar protein. Int. J. Biol. Macromol. 2012, 51, 774–782. [Google Scholar] [CrossRef] [PubMed]
- Tang, P.; Zheng, T.; Yang, C.; Li, G. Enhanced physicochemical and functional properties of collagen films cross-linked with laccase oxidized phenolic acids for active edible food packaging. Food Chem. 2022, 393, 133353. [Google Scholar] [CrossRef] [PubMed]



| Phenolic Acid | Polymer | Presented Properties after Phenolic Acid Addition | Application | Reference |
|---|---|---|---|---|
| Benzoic acid | Starch | Reduced the tensile strength by 24%; weakened optical properties; decrease in the whiteness index; increase in the yellowness index; reduction surface gloss; water vapor permeability without any changes | Edible films | [14] |
| Chitosan | Ionic interactions between chitosan and benzoic acid; improved solubility of chitosan and benzoic acid; optically homogeneous transparent films | Packaging materials | [16] | |
| Starch/chitosan | Greater tensile strength; lower release rate of the preservative into model media; increased strength films by an average of 2 times; reduced release rate of the preservative; reduced vapor permeability of the films; antifungal activity against A. niger | Food-packaging materials | [15] | |
| Chitosan/whey protein | Stopped the development of pathogenic microorganisms: Salmonella typhimurium, E. coli, C. jejuni; protected turkey meat from microbiological deterioration | Edible films (to wrap fresh-cut turkey pieces) | [17] | |
| Protein from Argentine anchovy | Decreased tensile strength; increased elongation at break, increased color difference; increased opacity; increased water vapor permeability and solubility; homogeneous and continuous structure; presence of micropores on the film surface; antibacterial activity against E. coli, S. enteritidis, L. monocytogenes | Food-packaging films (bovine meat) | [18] | |
| Sinapic acid | Chitosan | Antioxidant activity; antimicrobial activity against nine food-borne pathogens (E. coli, S. aureus, P. microbilis, P. vulgaris, P. aeruginosa, E. aerogenes, B. thuringiensis, S. enterica, S. mutans); no effect on thermal stability; higher soil degradability of chitosan-leaf films; lower soil degradability of chitosan-seed films | Edible films | [25] |
| Lignin/chitosan | Antioxidant activity | Food-packaging films (protection of sensitive products from oxidation) | [24] | |
| Gallic acid | Chitosan | Antioxidant activity against E. coli, S. typhimurium, L. innocua, B. subtilis, S. aureus; improved barrier properties; reduced water vapor and oxygen permeability; increased mechanical properties; homogeneous, transparent, and colorless films; higher thicknesses and water solubility | Food-packaging films (e.g., preservation of fresh pork); edible films; oxygen barrier films | [28,29,30,31,32,33] |
| Chitosan with addition of ZnO | Enhanced mechanical properties; improved oxygen and water vapor permeability, swelling, water solubility, and UV–vis light transmittance; antioxidant activity; antibacterial activity against B. subtilis and E. coli | Food-packaging films | [34] | |
| Starch | Reduction of accessibility of starch molecules to digestive enzymes; antioxidant activity; antimicrobial activity; less tensile strength (0.9–7.8 MPa) with increasing plasticizer concentration (0.5–2.0 g glycerol/g starch); more homogeneous microstructures; increased water vapor permeability | Bioactive packaging films | [35,36,37,38] | |
| Chitosan/starch | Ester bonds, hydrogen bonds, and electrostatic interactions between starch, chitosan, and gallic acid; reduced elongation at brake; reduced film solubility in water; reduced water vapor permeability; improved tensile strength; excellent transparency of films | Edible films; packaging films | [39,40] | |
| Gelatin | Stronger tensile strength; higher elongation at brake; good antioxidant activity, biodegradability; antibacterial properties against S. aureus and E. coli; increased anti-ultraviolet capability | Packaging films | [41] | |
| Chitosan/gelatin | Reduction in transmittance; reduced elongation at the brake; reduced water vapor permeability; enhanced water vapor permeability; antioxidant activity; antimicrobial activity | Packaging films | [42] | |
| Gelatin/casein | Semi-crystalline structure; enhanced thermal stability; more homogenous surfaces; increased Young modulus and tensile strength; reduced elongation at the brake | Food-packaging materials | [43] | |
| Cellulose/ kappa carrageenan | Antioxidant activity; improved mechanical properties | Food-packaging films | [44] | |
| Ellagic acid | Chitosan | Homogeneous, translucent, and flexible films; high mechanical parameters; high thermal stability; UVA and UVB barrier properties; water vapor permeability; high antioxidant activity; antibacterial activity against S. aureus and P. aeruginosa | Active eco-friendly packaging | [50] |
| Starch | Rough surface with insoluble EA particles; modified tensile strength, elastic modulus, and elongation at break; films were capable of blocking UV light; high antioxidant activity | Packaging materials | [52] | |
| Sodium alginate | Intermolecular hydrogen bonding between the guava leaf extract and sodium alginate; enhanced antioxidant and antibacterial activity; enhanced tensile strength, water solubility, and water barrier properties; decreased moisture content and elongation at break | Green packaging films | [53] | |
| Cinnamic acid | Starch | No significant influence on the barrier properties of the films; thermal stability; less water-soluble; more extensible; less resistant to break; antibacterial activity against E. coli and L. innocua | Food-packaging films (chicken breast and fresh-cut melon) | [63] |
| Gelatin/chitosan | Antioxidant activity; bactericidal/bacteriostatic effect against E. coli; thermal stability | Bioactive packaging films | [68] | |
| Cellulose | Transparent films characterized by biodegradability, hydrophobicity, biosafety, and thermoplasticity; safe for human epidermal cells | Packaging materials (art paper, paper cups, paper straws, food-packaging boxes) | [71] | |
| p-Coumaric acid | Chitosan | Antioxidant activity; UV light barrier ability; thermal stability; water vapor barrier ability; mechanical strength; antibacterial activity against E. coli, S. typhimurium, S. aureus and L. monocytogenes | Healthy food packaging | [77,79] |
| Chitosan/gelatin | antioxidant activity; antimicrobial activity against E. coli, Salmonella, B. subtilis and S. aureus; thermal stability; | Packaging materials | [76] | |
| Cellulose nanocrystals/pectin | Coating barrier properties; antioxidant properties; decreased water vapor and oxygen permeability; inhibition effect of the fruit-browning process | Food-packaging films (fresh-cut fruits) | [80] | |
| Caffeic acid | Chitosan | Antioxidant activity; lower solubility; wettability; thermal stability; less yellowness; better mechanical parameters | Packaging materials | [31,85] |
| Gelatin | Decreased solubility; decreased water vapor permeability and oxygen permeability; barrier properties | Edible films | [86] | |
| Chitosan/ cellulose | Antioxidant activity; antimicrobial activity against E. coli and S. aureus; hydrophobicity, mechanical strength; water vapor barrier properties | Active food-packaging materials | [83] | |
| Chitosan/gelatin | Antioxidant activity; good mechanical properties; decreased the water vapor permeability; increased tensile strength | Edible films | [76,84] | |
| Ferulic acid | Sodium alginate | Transparent and homogenous films; thermal stability; more rigid films than non-modified; antioxidant activity | Packaging films | [91] |
| Chitosan | Antibacterial activity against S. aureus and E. coli; improved mechanical properties; improved thermal stability [92]; negative effect on mechanical properties [93]; positive effect on bioactivities | Packaging films | [92,93] | |
| Sodium alginate/ chitosan | High tensile strength; good light-blocking performance; hydrophobicity; thermal stability; lower water vapor transmission rate; lower swelling degree; strong interactions between the amino, carboxyl, and hydroxyl groups of the ferulic acid, sodium alginate, and chitosan | Packaging materials | [94] | |
| Pullulan/cellulose | Antioxidant activity; superior anti-fogging activity; high mechanical strength; thermal stability; water, oxygen, and carbon-dioxide barrier performances | Packaging films | [95] | |
| Collagen (with oxidized ferulic acid) | Good mechanical properties; thermal stability; resistance to enzyme degradation; anti-oxidant activity; antibacterial activity against E. coli and S. aureus | Active food-packaging materials | [104] | |
| Zein | Eliminated brittleness of films; extreme swelling; antioxidant activity; antimicrobial activity against L. monocytogenes and C. jejuni | Plasticizer | [101] | |
| Soy protein | Tensile strength and elongation at break; changes in film color and transparency; reduced water vapor permeability and water solubility; increased contact angle | Packaging materials | [102] | |
| Myofibrillar proteins of bigeye snapper | Enhanced mechanical properties; increased Young’s modulus and tensile strength; decreased elongation at break; decreased film transparency; barrier properties to UV light at the wavelength of 200–800 nm | Inner packaging material (for high-fat foods to prevent lipid oxidation) | [103] |
| Phenolic Acid | Polymer | Presented Properties after Phenolic Acid Addition | Application | Reference |
|---|---|---|---|---|
| Benzoic acid | Poly(lactic acid) | Antibacterial activity against to E. coli and S. aureus; changes in film color | Antimicrobial food packaging | [19] |
| Polyethylene | Antimycotic activity when in contact with media and cheese | Food packaging (cheese) | [20] | |
| Poly(ethylene-co-methacrylic acid) | Antimicrobial properties in fungal growth inhibition tests (A. niger and Penicillium sp.) | Antimicrobial food packaging films | [21] | |
| Sinapic acid | Gelatin/Poly(vinyl alcohol) | Antioxidant activity; increased thickness of the films | Food packaging (cold-pressed vegetable oils) | [23] |
| Gallic acid | Poly(lactic acid) | Decreased surface hydrophilicity; decreased moisture sensitivity; improved barrier properties; good mechanical properties; reduced oxygen permeability | Food packaging (oils, biscuits, dry fruits, nuts, cereals) | [45] |
| High-density polyethylene | Increased UV light stability; reduction of mechanical ductility and crystallinity; high contact transparency level | Food packaging | [46] | |
| Poly(ɛ-caprolactone) | Increased roughness of the surface; hydrophobicity; increased wettability; antioxidant activity; improved mechanical parameters | Antibacterial films | [47] | |
| Cinnamic acid | Poly(lactic acid) | Worsened mechanical properties; less stiffness; less resistance to breaking; less extensible; improved water vapor and oxygen barrier capacity; thermal stability; no antibacterial activity against E. coli and L. innocua | Food packaging materials | [64,65,66] |
| Poly(lactic acid)/starch | Effective growth inhibition of E. coli and L. innocua | Active packaging | [67] | |
| Poly(vinyl alcohol) | Better mechanical properties; better barrier properties; antioxidant activity; induced inhibition of L. innocua growth | Active packaging | [69,70] | |
| Konjac glucomannan/poly(lactic acid) | Antibacterial activity against S. aureus and E. coli; excellent mechanical properties; thermal stability; hydrophobicity; good swelling degree | Packaging materials | [72] | |
| Hemicellulose/ poly(vinyl alcohol) | Increased elongation at break; moderate oxygen barrier properties; good thermal stability; good UV barrier properties; antibacterial activity against E. coli | Packaging materials | [73] | |
| p-Coumaric acid | Chitosan/poly(vinyl alcohol)/starch | Increased tensile strength; excellent swelling, water vapor transmittance, and antioxidant activity; thermal stability; antimicrobial activity against E. coli and S. aureus | Food-packaging films | [78] |
| Chitosan/poly(vinyl alcohol) | Hydrophilic character of films; increased volume and weight swelling degree; decreased contact angle | Thin films | [81] | |
| Caffeic acid | Chitosan/poly(lactic acid) | Lower permeability; higher fluidity; stronger ability to maintain free water; | New intelligent packaging | [88] |
| Poly(vinyl alcohol- co-ethylene) | Increased mechanical parameters; positive radical scavenging activity; thermal stability | Food packaging | [87] | |
| Polycaprolactone | Hydrophobic behavior; decreased contact angle | Packaging films | [89] | |
| Ferulic acid | Poly(lactic acid) | Increased thermal degradation temperature; limited release of FA from films; no significant antibacterial activity | Food packaging | [63,64,66] |
| Ethylene vinyl alcohol copolymer | Enhanced ductility; thermal stability; UV-blocking effect; antimicrobial activity against S. aureus and E. coli; high effectiveness in the radical scavenging inhibition | Active food packaging | [96] | |
| Ethylene vinyl acetate copolymer | Antioxidant activity; thermal stability; better release behavior | Active packaging films with a controlled release of FA | [98] | |
| Poly(lactic acid)/poly(butylene adipate-co-terephthalate) | Antibacterial activity against L. monocytogenes and E. coli; slight tint of yellow; UV-light barrier property; enhanced tensile strength, fracture failure, elasticity; thermal stability | Active packaging films | [97] | |
| Poly(lactic acid)/starch | Antibacterial activity against E. coli and L. innocua; barrier properties | Food packaging | [67] | |
| Poly(lactic acid)/poly (vinyl alcohol) | Antibacterial activity against E. coli and L. innocua; thermal stability; good mechanical properties; barrier properties | Food packaging (meat preservation) | [99] | |
| Poly(lactic acid)/poly(3-hydroxybutyrate-co-3-hydroxyvalerate) | Higher glass transition temperature; thermal stability; stiffer and more resistant structure; improved oxygen and water vapor barrier capacity; antibacterial activity against L. innocua and E. coli | Food packaging | [100] |
Disclaimer/Publisher’s Note: The statements, opinions and data contained in all publications are solely those of the individual author(s) and contributor(s) and not of MDPI and/or the editor(s). MDPI and/or the editor(s) disclaim responsibility for any injury to people or property resulting from any ideas, methods, instructions or products referred to in the content. |
© 2023 by the authors. Licensee MDPI, Basel, Switzerland. This article is an open access article distributed under the terms and conditions of the Creative Commons Attribution (CC BY) license (https://creativecommons.org/licenses/by/4.0/).
Share and Cite
Kaczmarek-Szczepańska, B.; Grabska-Zielińska, S.; Michalska-Sionkowska, M. The Application of Phenolic Acids in The Obtainment of Packaging Materials Based on Polymers—A Review. Foods 2023, 12, 1343. https://doi.org/10.3390/foods12061343
Kaczmarek-Szczepańska B, Grabska-Zielińska S, Michalska-Sionkowska M. The Application of Phenolic Acids in The Obtainment of Packaging Materials Based on Polymers—A Review. Foods. 2023; 12(6):1343. https://doi.org/10.3390/foods12061343
Chicago/Turabian StyleKaczmarek-Szczepańska, Beata, Sylwia Grabska-Zielińska, and Marta Michalska-Sionkowska. 2023. "The Application of Phenolic Acids in The Obtainment of Packaging Materials Based on Polymers—A Review" Foods 12, no. 6: 1343. https://doi.org/10.3390/foods12061343
APA StyleKaczmarek-Szczepańska, B., Grabska-Zielińska, S., & Michalska-Sionkowska, M. (2023). The Application of Phenolic Acids in The Obtainment of Packaging Materials Based on Polymers—A Review. Foods, 12(6), 1343. https://doi.org/10.3390/foods12061343
