Comparative Compositions of Grain of Bread Wheat, Emmer and Spelt Grown with Different Levels of Nitrogen Fertilisation
Abstract
1. Introduction
2. Materials and Methods
2.1. Grain Samples
2.2. Genotyping
2.3. Enzyme Fingerprinting of Arabinoxylan and β-Glucan
2.4. NMR Spectroscopy of Polar Metabolites
2.5. Mineral Analysis
2.6. Total Phenolics
2.7. Statistical Analysis
3. Results
3.1. Grain Composition
3.2. Protein and Minerals

| 100 kg N/Ha | 200 kg N/Ha | |||||
|---|---|---|---|---|---|---|
| Bread Wheat | Emmer | Spelt | Bread Wheat | Emmer | Spelt | |
| %N | 1.764 (1.68, 1.847) | 2.095 (2.001, 2.189) | 2.354 (2.27, 2.437) | 2.23 (2.146, 2.313) | 2.636 (2.542, 2.73) | 2.857 (2.773, 2.94) |
| Ca | 311.6 (300.2, 323.5) | 327.7 (312.3, 343.8) | 301.8 (290.7, 313.3) | 341.6 (329.1, 354.6) | 358.5 (341.7, 376.1) | 320.2 (308.5, 332.4) |
| Fe | 35.33 (33.36, 37.42) | 36.65 (34.01, 39.5) | 47.65 (44.98, 50.46) | 40.04 (37.8, 42.4) | 43.22 (40.11, 46.58) | 54.01 (51, 57.21) |
| Mg | 1081 (1054, 1108) | 1341 (1309, 1374) | 1311 (1284, 1338) | 1087 (1060, 1114) | 1278 (1246, 1311) | 1312 (1285, 1339) |
| Zn | 24.41 (22.78, 26.04) | 35.22 (33.34, 37.11) | 34.37 (32.74, 36) | 27.27 (25.64, 28.9) | 38.76 (36.88, 40.65) | 40.78 (39.15, 42.41) |
| total phenolics | 2786 (2732, 2840) | 2742 (2677, 2807) | 2934 (2880, 2987) | 2879 (2826, 2933) | 2830 (2765, 2894) | 2854 (2800, 2908) |
| raffinose | 5.95 (5.819, 6.082) | 7.077 (6.908, 7.245) | 6.916 (6.785, 7.048) | 5.944 (5.813, 6.076) | 6.465 (6.296, 6.633) | 6.743 (6.611, 6.874) |
| asparagine | 0.4907 (0.4681, 0.5144) | 0.6588 (0.6195, 0.7007) | 0.6981 (0.666, 0.7318) | 0.5664 (0.5403, 0.5937) | 0.7803 (0.7337, 0.8298) | 0.8648 (0.825, 0.9065) |
| glycine betaine | 1.311 (1.262, 1.362) | 1.49 (1.432, 1.548) | 1.606 (1.551, 1.662) | 1.307 (1.257, 1.357) | 1.466 (1.41, 1.525) | 1.537 (1.483, 1.591) |
| choline | 0.1748 (0.1711, 0.1785) | 0.2148 (0.2101, 0.2195) | 0.2137 (0.21, 0.2174) | 0.1854 (0.1817, 0.1891) | 0.2207 (0.216, 0.2254) | 0.2229 (0.2192, 0.2266) |
| galactinol | 0.2224 (0.2122, 0.2328) | 0.3976 (0.3795, 0.4161) | 0.2692 (0.2579, 0.2806) | 0.2223 (0.2121, 0.2327) | 0.3657 (0.3484, 0.3834) | 0.2751 (0.2637, 0.2867) |
| inositol | 3.08 (3.024, 3.136) | 3.216 (3.141, 3.292) | 3.421 (3.365, 3.477) | 3.097 (3.041, 3.153) | 3.096 (3.021, 3.171) | 3.25 (3.194, 3.306) |
| total amino acids | 5.753 (5.618, 5.891) | 6.522 (6.331, 6.719) | 6.607 (6.452, 6.766) | 6.084 (5.941, 6.23) | 6.724 (6.528, 6.927) | 6.951 (6.788, 7.118) |
| total organic acids | 2.014 (1.934, 2.093) | 2.247 (2.156, 2.337) | 2.133 (2.053, 2.213) | 2.048 (1.968, 2.128) | 2.321 (2.231, 2.411) | 2.245 (2.166, 2.325) |
| total methyl donors | 1.482 (1.436, 1.529) | 1.702 (1.644, 1.761) | 1.814 (1.758, 1.871) | 1.486 (1.44, 1.533) | 1.685 (1.628, 1.744) | 1.758 (1.703, 1.813) |
| total sugars | 29.47 (28.78, 30.18) | 35.79 (34.71, 36.9) | 29.88 (29.18, 30.6) | 28.75 (28.07, 29.44) | 33.62 (32.61, 34.67) | 28.8 (28.13, 29.5) |
3.3. Total Phenolics
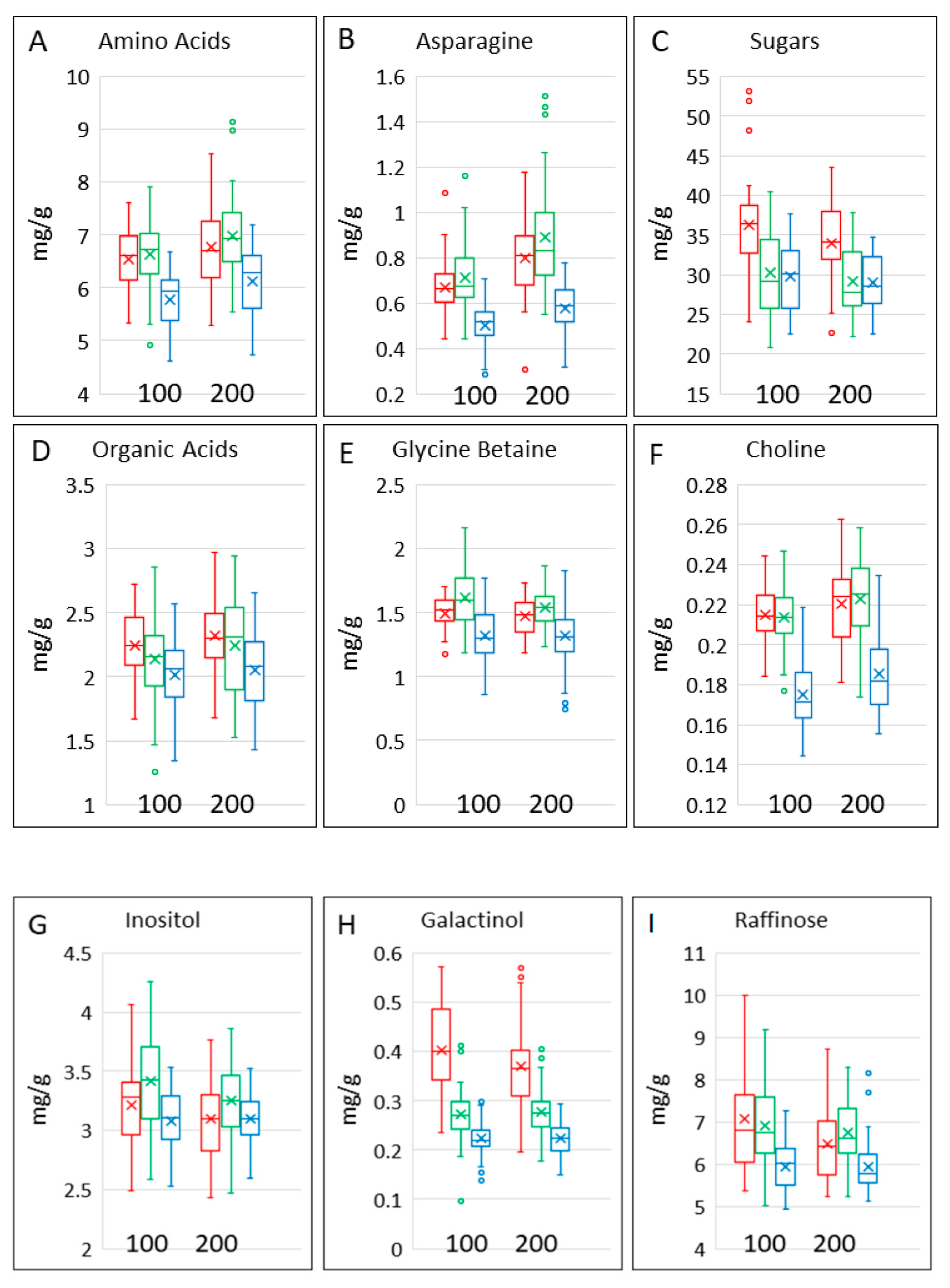
3.4. Polar Metabolites
| NLevel | Grain | Nlevel. Grain | Grain. Cultivar. Bread Wheat | Grain. Cultivar. Emmer | Grain. Cultivar. Spelt | Nlevel. Grain. Cultivar Bread Wheat | Nlevel. Grain. Cultivar Emmer | Nlevel. Grain. Cultivar Spelt | |
|---|---|---|---|---|---|---|---|---|---|
| %N | <0.001 | <0.001 | 0.475 | <0.001 | 0.098 | <0.001 | 0.704 | 0.212 | 0.642 |
| log(Ca) | <0.001 | <0.001 | 0.639 | <0.001 | <0.001 | <0.001 | 0.672 | 0.195 | 0.495 |
| log(Fe) | <0.001 | <0.001 | 0.815 | 0.566 | 0.957 | 0.064 | 0.375 | 0.936 | 0.023 |
| Mg | 0.46 | <0.001 | 0.016 | <0.001 | 0.03 | <0.001 | 0.228 | 0.351 | 0.749 |
| Zn | <0.001 | <0.001 | 0.008 | 0.012 | <0.001 | 0.556 | 0.409 | 0.834 | 0.994 |
| Total phenolics | 0.407 | <0.001 | <0.001 | 0.002 | <0.001 | <0.001 | 0.253 | 0.516 | 0.153 |
| raffinose | 0.005 | <0.001 | <0.001 | <0.001 | <0.001 | 0.001 | 0.988 | 0.271 | 0.709 |
| Log(asparagine) | <0.001 | <0.001 | 0.352 | <0.001 | 0.022 | <0.001 | 0.624 | 0.34 | 0.78 |
| Sqrt (glycine betaine) | 0.358 | <0.001 | 0.087 | <0.001 | <0.001 | <0.001 | 0.014 | 0.951 | 0.305 |
| choline | <0.001 | <0.001 | 0.535 | <0.001 | 0.005 | <0.001 | 0.852 | 0.109 | 1 |
| Sqrt (galactinol) | 0.399 | <0.001 | 0.061 | <0.001 | <0.001 | 0.605 | 0.935 | 0.146 | 0.951 |
| inositol | 0.002 | <0.001 | 0.009 | <0.001 | <0.001 | <0.001 | 0.883 | 0.06 | 0.678 |
| loge(total amino acids) | 0.002 | <0.001 | 0.598 | 0.099 | <0.001 | 0.001 | 0.095 | 0.672 | 0.464 |
| total organic acids | 0.163 | <0.001 | 0.338 | <0.001 | <0.001 | <0.001 | 0.159 | 0.771 | 0.551 |
| loge (total methyl donors) | 0.529 | <0.001 | 0.141 | <0.001 | <0.001 | <0.001 | 0.011 | 0.905 | 0.395 |
| loge(total sugars) | 0.005 | <0.001 | 0.397 | <0.001 | <0.001 | <0.001 | 0.726 | 0.23 | 0.726 |


3.5. Dietary Fibre
| 100 kg N/Ha | 200 kg N/Ha | |||||
|---|---|---|---|---|---|---|
| Bread | Emmer | Spelt | Bread | Emmer | Spelt | |
| TOT-AX | 29.06 (28.18, 29.96) | 20.17 (19.43, 20.93) | 27.33 (26.51, 28.18) | 29.61 (28.72, 30.53) | 19.88 (19.16, 20.64) | 27.26 (26.44, 28.11) |
| TOT-BG | 8.146 (7.869, 8.432) | 5.617 (5.386, 5.859) | 9.256 (8.942, 9.581) | 7.63 (7.371, 7.898) | 5.142 (4.93, 5.363) | 8.521 (8.232, 8.82) |
| ratio G3:G4 GOS | 2.429 (2.395, 2.463) | 2.54 (2.497, 2.583) | 2.268 (2.234, 2.302) | 2.381 (2.347, 2.415) | 2.477 (2.434, 2.52) | 2.252 (2.218, 2.286) |
| ratio TOT-AXOS: TOT-BG | 3.596 (3.516, 3.677) | 3.619 (3.516, 3.723) | 2.968 (2.887, 3.048) | 3.915 (3.834, 3.996) | 3.895 (3.792, 3.999) | 3.212 (3.131, 3.293) |
| ratio M:D AXOS | 2.061 (2.035, 2.088) | 1.865 (1.834, 1.897) | 2.095 (2.068, 2.122) | 2.032 (2.005, 2.058) | 1.85 (1.818, 1.881) | 2.071 (2.044, 2.097) |

| Nlevel | Grain | Nlevel. Grain | Grain. Cultivar. Bread wheat | Grain. Cultivar. Emmer | Grain. Cultivar. Spelt | Nlevel. Grain. Cultivar. Bread wheat | Nlevel. Grain. Cultivar. Emmer | Nlevel. Grain. Cultivar. Spelt | |
|---|---|---|---|---|---|---|---|---|---|
| loge (TOT-AXOS) | 0.855 | <0.001 | 0.514 | <0.001 | <0.001 | <0.001 | 0.42 | 0.848 | 0.926 |
| loge (TOT-BG) | 0.002 | <0.001 | 0.758 | <0.001 | <0.001 | 0.085 | 0.659 | 0.501 | 0.76 |
| ratio G3:G4 GOS | 0.032 | <0.001 | 0.427 | 0.509 | 0.197 | <0.001 | 0.711 | 0.513 | 0.423 |
| ratio TOT -AXOS: TOT-BG | <0.001 | <0.001 | 0.655 | <0.001 | 0.121 | <0.001 | 0.715 | 0.218 | 0.564 |
| Sqrt (ratio M:D AXOS) | 0.093 | <0.001 | 0.899 | <0.001 | <0.001 | <0.001 | 0.249 | 0.775 | 0.902 |

4. Discussion
Supplementary Materials
Author Contributions
Funding
Data Availability Statement
Acknowledgments
Conflicts of Interest
References
- Pont, C.; Leroy, T.; Seidel, M.; Tondelli, A.; Duchemin, W.; Armisen, D.; Lang, D.; Bustos-Korts, D.; Goué, N.; Balfourier, F. Tracing the ancestry of modern bread wheats. Nat. Genet. 2019, 51, 905–911. [Google Scholar] [CrossRef] [PubMed]
- Gilissen, L.J.W.J.; Smulders, M.J.M. Gluten Quality and Quantity in Wheat and in Wheat-Derived Products. In Biotechnological Strategies for the Treatment of Gluten Intolerances; Rossi, M., Ed.; Academic Press-Elsevier: London, UK, 2021; pp. 79–129. [Google Scholar]
- Shewry, P.R. What is gluten—Why is it special. Front. Nutr. 2019, 6, 101. [Google Scholar] [CrossRef] [PubMed]
- Morris, C.E.; Sands, D.C. The breeder’s dilemma–yield or nutrition? Nat. Biotechnol. 2003, 24, 1078–1080. [Google Scholar] [CrossRef] [PubMed]
- Sands, D.C.; Morris, C.E.; Dratz, E.A.; Pilgeram, A.L. Elevating optimal human nutrition to a central goal of plant breeding and production of plant-based foods. Plant Sci. 2009, 177, 377–389. [Google Scholar] [CrossRef]
- Burridge, A.J.; Winfield, M.O.; Allen, A.M.; Wilkinson, P.A.; Barker, G.L.A.; Coghill, J.; Waterfall, C.; Edwards, K.J. High-density SNP genotyping array for hexaploidy wheat and its relatives. In Wheat Biotechnology: Methods and Protocols; Bhalla, P.L., Singh, M.B., Eds.; Humana Press: New York, NY, USA, 2017; pp. 293–306. [Google Scholar] [CrossRef]
- Zheng, X.; Levine, D.; Shen, J.; Gogarten, S.M.; Laurie, C.; Weir, B.S. A high performance computing toolset for relatedness and principal component analysis of SNP data. Bioinformatics 2012, 28, 3326–3328. [Google Scholar] [CrossRef]
- Lovegrove, A.; Wilkinson, M.D.; Freeman, J.; Pellny, T.; Tosi, P.; Saulnier, L.; Shewry, P.R.; Mitchell, R.A.C. RNA interference suppression of genes in glycosyl transferase families 43 and 47 in wheat starchy endosperm causes large decreases in arabinoxylan content. Plant Physiol. 2013, 163, 95–107. [Google Scholar] [CrossRef]
- Shewry, P.R.; Corol, D.; Jones, H.D.; Beale, M.H.; Ward, J.L. (2017) Defining genetic and chemical diversity in wheat grain by 1H-NMR spectroscopy of polar metabolites. Mol. Nutr. Food Res. 2017, 61, 1600807. [Google Scholar] [CrossRef]
- Gao, L.; Wang, S.; Oomah, B.D.; Mazza, G. Wheat quality: Antioxidant activity of wheat millstreams. In Wheat Quality Elucidation; Ng, P., Wrigley, C.W., Eds.; AACC International: St. Paul, MN, USA, 2002; pp. 219–233. [Google Scholar]
- Ward, J.L.; Poutanen, K.; Gebruers, K.; Piironen, V.; Lampi, A.-M.; Nyström, L.; Andersson, A.A.M.; Åman, P.; Boros, D.; Rakszegi, M.; et al. The HEALTHGRAIN cereal diversity screen: Concept, results and prospects. J. Agric. Food Chem. 2008, 56, 9699–9709. [Google Scholar] [CrossRef]
- Mottram, D.S.; Wedzicha, B.L.; Dodson, A.T. Acrylamide is formed in the Maillard reaction. Nature 2002, 419, 448–449. [Google Scholar] [CrossRef]
- Muttucumaru, N.; Elmore, J.S.; Curtis, T.; Mottram, D.S.; Parry, M.A.J.; Halford, N.G. Reducing acrylamide precursors in raw materials derived from wheat and potato. J. Agric. Food Chem. 2008, 56, 6167–6172. [Google Scholar] [CrossRef]
- Corol, D.I.; Ravel, C.; Raksegi, M.; Bedo, Z.; Charmet, G.; Beale, M.H.; Shewry, P.R.; Ward, J.L. Effects of genotype and environment on the contents of betaine, choline and trigonelline in cereal grains. J. Agric. Food Chem. 2012, 60, 5471–5481. [Google Scholar] [CrossRef] [PubMed]
- Sengupta, S.; Mukherjee, S.; Basak, P.; Majumder, A.L. Significance of galactinol and raffinose family oligosaccharide synthesis in plants. Front. Plant Sci. 2015, 6, 656. [Google Scholar] [CrossRef] [PubMed]
- Shewry, P.R.; America, A.H.P.; Lovegrove, A.; Wood, A.J.; Plummer, A.; Evans, J.; van den Broeck, H.C.; Gilissen, L.; Mumm, R.; Ward, J.L.; et al. Comparative compositions of metabolites and dietary fibre components in doughs and breads produced from bread wheat, emmer and spelt and using yeast and sourdough processes. Food Chem. 2022, 374, 131710. [Google Scholar] [CrossRef] [PubMed]
- Lovegrove, A.; Pellny, T.K.; Hassall, K.; Plummer, A.; Wood, A.; Bellisai, A.; Przewieslik-Allen, A.; Burridge, A.L.; Ward, J.L.; Shewry, P.R.; et al. Historical changes in the contents and compositions of fibre components and polar metabolites in white flour. Sci. Rep. 2020, 10, 5920. [Google Scholar] [CrossRef] [PubMed]
- Fan, M.; Zhao, F.-J.; Fairweather-Tait, S.J.; Poulton, P.R.; Dunham, S.J.; McGrath, S.P. Evidence of decreasing mineral density in wheat grain over the last 160 years. J. Trace Elem. Med. Biol. 2018, 22, 315–324. [Google Scholar] [CrossRef] [PubMed]
- Shewry, P.R.; Pellny, T.K.; Lovegrove, A. Is modern wheat bad for health? Nat. Plants 2016, 2, 16097. [Google Scholar] [CrossRef] [PubMed]
- Obeid, R. The metabolic burden of methyl donor deficiency with focus on the betaine homocysteine methyltransferase pathway. Nutrients 2013, 5, 3481–3495. [Google Scholar] [CrossRef]
- Zeisel, S.H.; Blusztajn, J.K. Choline and human nutrition. Annu. Rev. Nutr. 1994, 14, 269–296. [Google Scholar] [CrossRef]
- Andersson, A.A.M.; Andersson, R.; Piironen, V.; Lampi, A.-M.; Nyström, L.; Boros, D.; Fraś, A.; Gebruers, K.; Courtin, C.M.; Delcour, J.; et al. Contents of dietary fibre components and their relation to associated bioactive components in whole grain wheat samples from the HEALTHGRAIN diversity screen. Food Chem. 2013, 136, 1243–1248. [Google Scholar] [CrossRef] [PubMed]
- Mares, D.J.; Stone, B.A. Studies on wheat endosperm. I. Chemical composition and ultrastructure of the cell walls. Aus. J. Biol. Sci. 1973, 26, 793–812. [Google Scholar]
- Shewry, P.R.; Hey, S. Do “ancient” wheat species differ from modern bread wheat in their contents of bioactive components? J. Cereal Sci. 2015, 65, 236–243. [Google Scholar] [CrossRef]
- Barrett, J.S.; Gibson, P.R. Fermentable oligosaccharides, disaccharides, monosaccharides and polyols (FODMAPs) and nonallergic food intolerance: FODMAPs or food chemicals. Ther. Adv. Gastroenterol. 2012, 5, 261–268. [Google Scholar] [CrossRef] [PubMed]
- Zebarth, B.J.; Warren, C.J.; Sheard, R.W. Influence of the rate of nitrogen fertilisation on the mineral content of winter wheat in Ontario. J. Agric. Food Chem. 1992, 40, 1526–1530. [Google Scholar] [CrossRef]
- Shewry, P.R. Effects of nitrogen and sulfur nutrition on grain composition and properties of wheat and related cereals. In The Molecular and Physiological Basis of Nutrient Use Efficiency in Crops; Hawkesford, M.J., Barraclough, P., Eds.; Wiley-Blackwell: Chichester, UK, 2011; pp. 103–120. [Google Scholar]
- Oddy, J.; Raffan, S.; Wilkinson, M.D.; Elmore, J.S.; Halford, N.G. Understanding the Relationships between Free Asparagine in Grain and Other Traits to Breed Low-Asparagine Wheat. Plants 2022, 11, 669. [Google Scholar] [CrossRef] [PubMed]
- Longin, C.F.H.; Ziegler, J.U.; Schweiggert, R.M.; Koehler, P.; Carle, R.; Würschum, T. Comparative study of hulled (einkorn, emmer and spelt) and naked wheats (durum and bread wheat): Agronomic performance and quality traits. Crop Sci. 2016, 56, 302–311. [Google Scholar] [CrossRef]
- Ziegler, J.U.; Schweiggert, R.M.; Würschum, T.; Longin, C.F.H.; Carle, R. Lipophilic antioxidants in wheat (Triticum spp.): A target for breeding new varieties for future functional cereal products. J. Funct. Foods 2016, 20, 594–605. [Google Scholar] [CrossRef]
- Ziegler, J.U.; Steiner, D.; Longin, C.F.H.; Würschum, T.; Schweiggert, R.M.; Carle, R. Wheat and the irritable bowel syndrome–FODMAP levels of modern and ancient species and their retention during bread making. J. Funct. Foods 2016, 25, 257–266. [Google Scholar] [CrossRef]
- Masisi, K.; Beta, T.; Moghadasian, M.H. Antioxidant properties of diverse cereal grains: A review on in vitro and in vivo studies. Food Chem. 2016, 196, 90–97. [Google Scholar] [CrossRef]
- Leváková, L.; Lacko-Bartošová, M. Phenolic acids and antioxidant activity of wheat species: A review. Agriculture 2017, 63, 92–101. [Google Scholar] [CrossRef]
- Kwiatkowski, C.A.; Harasim, E.; Feledyn-Szewczyk, B.; Joniec, J. The antioxidant potential of grains in selected cereals grown in an organic and conventional system. Agriculture 2022, 12, 1485. [Google Scholar] [CrossRef]
- Pompella, A.; Sies, H.; Wacker, R.; Brouns, F.; Grune, T.; Biesalski, H.K.; Frank, J. The use of total antioxidant capacity as surrogate marker for food quality and its effect on health is to be discouraged. Nutrition 2014, 30, 791–793. [Google Scholar] [CrossRef] [PubMed]
- Borczak, B.; Marek, M.; Sikora, E.; Dobosz, A.; Kapusta-Duch, J. Glycaemic index of white bread. Starch 2018, 70, 17022. [Google Scholar] [CrossRef]
- Schenk, S.; Davidson, C.J.; Zderic, T.W.; Byerley, L.O.; Coyle, E.F. Different glycemic indexes of breakfast cereals are not due to glucose entry into blood but to glucose removal by tissue. Am. J. Clin. Nutr. 2003, 78, 742–748. [Google Scholar] [CrossRef]
- Eelderink, C.; Moerdijk-Poortvliet, T.C.; Wang, H.; Schepers, M.; Preston, T.; Boer, T.; Vonk, R.J.; Schierbeek, H.; Priebe, M.G. The glycemic response does not reflect the in vivo starch digestibility of fiber-rich wheat products in healthy men. J. Nutr. 2012, 142, 258–263. [Google Scholar] [CrossRef] [PubMed]
- Rojas-Bonzi, P.; Vangsøe, C.T.; Nielsen, K.L.; Lærke, H.N.; Hedemann, M.S.; Knudsen, K.E.B. The relationship between In vitro and In vivo starch digestion kinetics of breads varying in dietary fibre. Foods 2020, 9, 1337. [Google Scholar] [CrossRef]
- Dodd, H.; Williams, S.; Brown, R.; Venn, B. Calculating meal glycemic index by using measured and published food values compared with directly measured meal glycemic index. Am. J. Clin. Nutr. 2011, 94, 992–996. [Google Scholar] [CrossRef]
- Vanhatalo, S.; Dall’Asta, M.; Cossu, M.; Chiavaroli, L.; Francinelli, V.; Pede, G.D.; Dodi, R.; Närväinen, J.; Antonini, M.; Goldoni, M.; et al. Pasta structure affects mastication, bolus properties, and postprandial glucose and insulin metabolism in healthy adults. J. Nutr. 2022, 152, 994–1005. [Google Scholar] [CrossRef]
- Călinoiu, L.F.; Vodnar, D.C. Whole Grains and Phenolic Acids: A Review on Bioactivity, Functionality, Health Benefits and Bioavailability. Nutrients 2018, 10, 1615. [Google Scholar] [CrossRef]
- Serban, L.R.; Paucean, A.; Man, S.M.; Chis, M.S.; Muresan, V. Ancient wheat species: Biochemical profile and impact on sourdough bread characteristics—A review. Processes 2021, 9, 2008. [Google Scholar] [CrossRef]
- Balk, J.; Connorton, J.M.; Wan, Y.; Lovegrove, A.; Moore, K.L.; Uauy, C.; Sharp, P.; Shewry, P.R. Improving wheat as a source of iron and zinc for global nutrition. Nutr. Bull. 2018, 44, 53–59. [Google Scholar] [CrossRef]

Disclaimer/Publisher’s Note: The statements, opinions and data contained in all publications are solely those of the individual author(s) and contributor(s) and not of MDPI and/or the editor(s). MDPI and/or the editor(s) disclaim responsibility for any injury to people or property resulting from any ideas, methods, instructions or products referred to in the content. |
© 2023 by the authors. Licensee MDPI, Basel, Switzerland. This article is an open access article distributed under the terms and conditions of the Creative Commons Attribution (CC BY) license (https://creativecommons.org/licenses/by/4.0/).
Share and Cite
Lovegrove, A.; Dunn, J.; Pellny, T.K.; Hood, J.; Burridge, A.J.; America, A.H.P.; Gilissen, L.; Timmer, R.; Proos-Huijsmans, Z.A.M.; van Straaten, J.P.; et al. Comparative Compositions of Grain of Bread Wheat, Emmer and Spelt Grown with Different Levels of Nitrogen Fertilisation. Foods 2023, 12, 843. https://doi.org/10.3390/foods12040843
Lovegrove A, Dunn J, Pellny TK, Hood J, Burridge AJ, America AHP, Gilissen L, Timmer R, Proos-Huijsmans ZAM, van Straaten JP, et al. Comparative Compositions of Grain of Bread Wheat, Emmer and Spelt Grown with Different Levels of Nitrogen Fertilisation. Foods. 2023; 12(4):843. https://doi.org/10.3390/foods12040843
Chicago/Turabian StyleLovegrove, Alison, Jack Dunn, Till K. Pellny, Jessica Hood, Amanda J. Burridge, Antoine H. P. America, Luud Gilissen, Ruud Timmer, Zsuzsan A. M. Proos-Huijsmans, Jan Philip van Straaten, and et al. 2023. "Comparative Compositions of Grain of Bread Wheat, Emmer and Spelt Grown with Different Levels of Nitrogen Fertilisation" Foods 12, no. 4: 843. https://doi.org/10.3390/foods12040843
APA StyleLovegrove, A., Dunn, J., Pellny, T. K., Hood, J., Burridge, A. J., America, A. H. P., Gilissen, L., Timmer, R., Proos-Huijsmans, Z. A. M., van Straaten, J. P., Jonkers, D., Ward, J. L., Brouns, F., & Shewry, P. R. (2023). Comparative Compositions of Grain of Bread Wheat, Emmer and Spelt Grown with Different Levels of Nitrogen Fertilisation. Foods, 12(4), 843. https://doi.org/10.3390/foods12040843

