Introduction of Curdlan Optimizes the Comprehensive Properties of Methyl Cellulose Films
Abstract
1. Introduction
2. Materials and Methods
2.1. Materials
2.2. Preparation of Solutions and Films by Casting
2.3. Thickness Measurement
2.4. Structure Characterization
2.4.1. X-ray Diffractometry (XRD)
2.4.2. Scanning Electron Microscopy (SEM)
2.4.3. Fourier Transform Infrared (FTIR) Spectroscopy
2.4.4. Dynamic Mechanical Analysis (DMA) Determination
2.5. Physical Properties Characterization
2.5.1. Transmittance Determination
2.5.2. Contact Angle Determination
2.5.3. Mechanical Property Determination
2.5.4. Oxygen Permeability (OP) Determination
2.5.5. Water Solubility Determination
2.5.6. Moisture Content Measurement
2.5.7. Water Vapor Permeability (WVP) Determination
2.6. Statistical Analysis
3. Results and Discussion
3.1. Molecular Interactions
3.1.1. FTIR Analysis
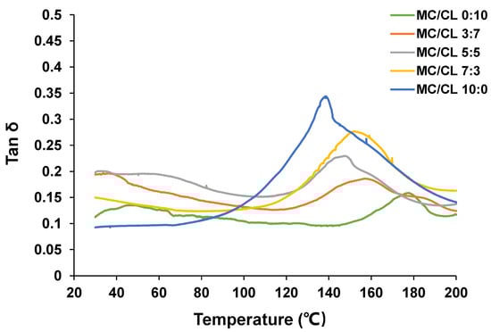
3.1.2. DMA
3.2. Aggregated Structure
3.2.1. Crystal Structure
3.2.2. Surface and Cross-Sectional Morphologies
3.3. Barrier Properties
3.3.1. Oxygen Permeability Analysis
3.3.2. Water Vapor Permeability
3.4. Water Resisting Property
3.4.1. Contact Angle

3.4.2. Water Solubility Analysis
3.4.3. Water Content
3.5. Mechanical Property Analysis
3.6. Light Transmittance Analysis
4. Conclusions
Author Contributions
Funding
Institutional Review Board Statement
Informed Consent Statement
Data Availability Statement
Acknowledgments
Conflicts of Interest
References
- Yong, H.; Wang, X.; Zhang, X.; Liu, Y.; Qin, Y.; Liu, J. Effects of anthocyanin-rich purple and black eggplant extracts on the physical, antioxidant and pH-sensitive properties of chitosan film. Food Hydrocolloid. 2019, 94, 93–104. [Google Scholar] [CrossRef]
- Wang, S.; Xia, P.; Wang, S.; Liang, J.; Sun, Y.; Yue, P.; Gao, X. Packaging films formulated with gelatin and anthocyanins nanocomplexes: Physical properties, antioxidant activity and its application for olive oil protection. Food Hydrocolloid. 2019, 96, 617–624. [Google Scholar] [CrossRef]
- Augusto, A.; Dias, J.R.; Campos, M.J.; Alves, N.M.; Pedrosa, R.; Silva, S.F.J. Influence of codium tomentosum extract in the properties of alginate and chitosan edible films. Foods 2018, 7, 53. [Google Scholar] [CrossRef] [PubMed]
- Kumari, N.; Bangar, S.P.; Petru, M.; Ilyas, R.A.; Singh, A.; Kumar, P. Development and characterization of fenugreek protein-based edible film. Foods 2021, 10, 1976. [Google Scholar] [CrossRef]
- Wang, K.; Wu, K.; Xiao, M.; Kuang, Y.; Corke, H.; Ni, X.; Jiang, F. Structural characterization and properties of konjac glucomannan and zein blend films. Int. J. Biol. Macromol. 2017, 105, 1096–1104. [Google Scholar] [CrossRef]
- Morozova, S. Methylcellulose fibrils: A mini review. Polym. Int. 2019, 69, 125–130. [Google Scholar] [CrossRef]
- Coughlin, M.L.; Liberman, L.; Ertem, S.P.; Edmund, J.; Bates, F.S.; Lodge, T.P. Methyl cellulose solutions and gels: Fibril formation and gelation properties. Prog. Polym. Sci. 2021, 112, 101324. [Google Scholar] [CrossRef]
- da Silva Filipini, G.; Romani, V.P.; Guimarães Martins, V. Biodegradable and active-intelligent films based on methylcellulose and jambolão (Syzygium cumini) skins extract for food packaging. Food Hydrocolloid. 2020, 109, 106139. [Google Scholar] [CrossRef]
- Tunc, S.; Duman, O.; Polat, T.G. Effects of montmorillonite on properties of methyl cellulose/carvacrol based active antimicrobial nanocomposites. Carbohyd. Polym. 2016, 150, 259–268. [Google Scholar] [CrossRef]
- Malik, G.K.; Mitra, J.; Kaushal, M. Rheology of nano ZnO—Hydroxypropyl Methylcellulose (HPMC) based suspensions and structural properties of resulting films. J. Food Eng. 2023, 337, 111187. [Google Scholar] [CrossRef]
- Gasti, T.; Dixit, S.; D’Souza, O.J.; Hiremani, V.D.; Vootla, S.K.; Masti, S.P.; Chougale, R.B.; Malabadi, R.B. Smart biodegradable films based on chitosan/methylcellulose containing Phyllanthus reticulatus anthocyanin for monitoring the freshness of fish fillet. Int. J. Biol. Macromol. 2021, 187, 451–461. [Google Scholar] [CrossRef] [PubMed]
- Matta, E.; Tavera-Quiroz, M.J.; Bertola, N. Isomalt-Plasticized Methylcellulose-Based Films as Carriers of Ascorbic Acid. Food Bioprocess Technol. 2020, 13, 2186–2199. [Google Scholar] [CrossRef]
- Kalkan, S.; Otag, M.R.; Engin, M.S. Physicochemical and bioactive properties of edible methylcellulose films containing Rheum ribes L. extract. Food Chem. 2020, 307, 125524. [Google Scholar] [CrossRef] [PubMed]
- Matta, E.; Tavera-Quiroz, M.J.; Bertola, N. Active edible films of methylcellulose with extracts of green apple (Granny Smith) skin. Int. J. Biol. Macromol. 2019, 124, 1292–1298. [Google Scholar] [CrossRef] [PubMed]
- Zhai, W.; Danjo, T.; Iwata, T. Synthesis and physical properties of Curdlan branched Ester derivatives. J. Polym. Res. 2017, 25, 181. [Google Scholar] [CrossRef]
- Sun, Y.; Liu, Y.; Li, Y.; Lv, M.; Li, P.; Xu, H.; Wang, L. Preparation and characterization of novel curdlan/chitosan blending membranes for antibacterial applications. Carbohyd. Polym. 2011, 84, 952–959. [Google Scholar] [CrossRef]
- Aquinas, N.; Bhat, M.R.; Selvaraj, S. A review presenting production, characterization, and applications of biopolymer curdlan in food and pharmaceutical sectors. Polym. Bull. 2021, 79, 6905–6927. [Google Scholar] [CrossRef]
- Ahmad, M.; Nirmal, N.P.; Chuprom, J. Blend film based on fish gelatine/curdlan for packaging applications: Spectral, microstructural and thermal characteristics. RSC Adv. 2015, 5, 99044–99057. [Google Scholar] [CrossRef]
- Wu, C.; Peng, S.; Wen, C.; Wang, X.; Fan, L.; Deng, R.; Pang, J. Structural characterization and properties of konjac glucomannan/curdlan blend films. Carbohyd. Polym. 2012, 89, 497–503. [Google Scholar] [CrossRef]
- Zhang, L.; Huang, Y.K.; Yue, L.N.; Xu, L.; Qian, J.Y.; He, X.D. Variation of blending ratio and drying temperature optimize the physical properties and compatibility of HPMC/curdlan films. Carbohyd. Polym. 2022, 296, 119951. [Google Scholar] [CrossRef] [PubMed]
- Li, J.; Zhu, L.; Zheng, Z.-Y.; Zhan, X.-B.; Lin, C.-C.; Zong, Y.; Li, W.-J. A new effective process for production of curdlan oligosaccharides based on alkali-neutralization treatment and acid hydrolysis of curdlan particles in water suspension. Appl. Microbiol. Biot. 2013, 97, 8495–8503. [Google Scholar] [CrossRef] [PubMed]
- Liu, J.; Liu, S.; Wu, Q.; Gu, Y.; Kan, J.; Jin, C. Effect of protocatechuic acid incorporation on the physical, mechanical, structural and antioxidant properties of chitosan film. Food Hydrocolloid. 2017, 73, 90–100. [Google Scholar] [CrossRef]
- Bi, F.; Zhang, X.; Bai, R.; Liu, Y.; Liu, J.; Liu, J. Preparation and characterization of antioxidant and antimicrobial packaging films based on chitosan and proanthocyanidins. Int. J. Biol. Macromol. 2019, 134, 11–19. [Google Scholar] [CrossRef] [PubMed]
- Shiraishi, S.; Sakata, Y.; Yamaguchi, H. Practical application to timeindicator of a novel white film formed by interaction of calcium salts withhydroxypropyl methylcellulose. Int. J. Pharmaceut. 2010, 383, 255–263. [Google Scholar] [CrossRef]
- Zhang, R.; Wang, W.; Zhang, H.; Dai, Y.; Dong, H.; Hou, H. Effects of hydrophobic agents on the physicochemical properties of edible agar/maltodextrin films. Food Hydrocolloid. 2019, 88, 283–290. [Google Scholar] [CrossRef]
- Dai, L.; Zhang, J.; Cheng, F. Effects of starches from different botanical sources and modification methods on physicochemical properties of starch-based edible films. Int. J. Biol. Macromol. 2019, 132, 897–905. [Google Scholar] [CrossRef]
- Qiao, D.; Shi, W.; Luo, M.; Jiang, F.; Zhang, B. Polyvinyl alcohol inclusion can optimize the sol-gel, mechanical and hydrophobic features of agar/konjac glucomannan system. Carbohyd. Polym. 2022, 277, 118879. [Google Scholar] [CrossRef]
- Qiao, D.; Li, H.; Shi, W.; Lu, J.; Zhang, L.; Zhang, B.; Jiang, F. Increasing agar content improves the sol-gel and mechanical features of starch/agar binary system. Carbohyd. Polym. 2022, 278, 118906. [Google Scholar] [CrossRef]
- Elizondo, N.J.; Sobral, P.J.A.; Menegalli, F.C. Development of films based on blends of Amaranthus cruentus flour and poly(vinyl alcohol). Carbohyd. Polym. 2009, 75, 592–598. [Google Scholar] [CrossRef]
- Zhang, L.; Wang, X.F.; Liu, H.; Yu, L.; Wang, Y.; Simon, G.P.; Qian, J. Effect of plasticizers on microstructure, compatibility and mechanical property of hydroxypropyl methylcellulose/hydroxypropyl starch blends. Int. J. Biol. Macromol. 2018, 119, 141–148. [Google Scholar] [CrossRef]
- Couchman, P. Compositional variation of glass-transition temperatures. Application of the thermodynamic theory to compatible polymer blends. Macromolecules 1978, 11, 1156–1161. [Google Scholar] [CrossRef]
- Kavlak, S. Effects of molecular weight of dextran on dynamic mechanical properties in functional polymer blend systems. Hacet. J. Biol. Chem. 2022, 50, 325–333. [Google Scholar] [CrossRef]
- Pinotti, A.; García, M.A.; Martino, M.N.; Zaritzky, N.E. Study on microstructure and physical properties of composite films based on chitosan and methylcellulose. Food Hydrocolloid. 2007, 21, 66–72. [Google Scholar] [CrossRef]
- Xiao, Q.; Huang, M.; Zhou, X.; Dai, M.; Zhao, Z.; Zhou, H. Effect of Molecular Weight and Degree of Substitution on the Physical-Chemical Properties of Methylcellulose-Starch Nanocrystal Nanocomposite Films. Polymers 2021, 13, 3291. [Google Scholar] [CrossRef] [PubMed]
- Kato, T.; Yokoyama, M.; Takahashi, A. Melting temperatures of thermally reversible gels IV. Methyl cellulose-water gels. Colloid Polym. Sci. 1978, 256, 15–21. [Google Scholar] [CrossRef]
- Wang, K.; Du, L.; Zhang, C.; Lu, Z.; Lu, F.; Zhao, H. Preparation of chitosan/curdlan/carboxymethyl cellulose blended film and its characterization. J. Food Sci. Technol. 2019, 56, 5396–5404. [Google Scholar] [CrossRef] [PubMed]
- Khan, R.A.; Dussault, D.; Salmieri, S.; Safrany, A.; Lacroix, M. Improvement of the mechanical and barrier properties of methylcellulose-based films by treatment with HEMA and silane monomers under gamma radiation. Radiat. Phys. Chem. 2012, 81, 927–931. [Google Scholar] [CrossRef]
- Zhou, Y.; Xu, T.; Zhang, Y.; Zhang, C.; Lu, Z.; Lu, F.; Zhao, H. Effect of tea polyphenols on curdlan/chitosan blending film properties and its application to chilled meat preservation. Coatings 2019, 9, 262. [Google Scholar] [CrossRef]
- Yin, J.; Luo, K.; Chen, X.; Khutoryanskiy, V.V. Miscibility studies of the blends of chitosan with some cellulose ethers. Carbohyd. Polym. 2006, 63, 238–244. [Google Scholar] [CrossRef]
- Liu, H.; Liu, C.; Peng, S.; Pan, B.; Lu, C. Effect of polyethyleneimine modified graphene on the mechanical and water vapor barrier properties of methyl cellulose composite films. Carbohyd. Polym. 2018, 182, 52–60. [Google Scholar] [CrossRef]
- Zhang, N.; Liu, H.; Yu, L.; Liu, X.; Zhang, L.; Chen, L.; Shanks, R. Developing gelatin-starch blends for use as capsule materials. Carbohyd. Polym. 2013, 92, 455–461. [Google Scholar] [CrossRef] [PubMed]
- Xu, X.; Wang, Q.; Xue, S.; Pan, Y.; Chen, S. Effect of alkali-neutralization treatment on triple-helical aggregates and independent triple helices of curdlan. Carbohyd. Polym. 2021, 259, 117775. [Google Scholar] [CrossRef]
- Hoque, M.S.; Benjakul, S.; Prodpran, T.; Songtipya, P. Properties of blend film based on cuttlefish (Sepia pharaonis) skin gelatin and mungbean protein isolate. Int. J. Biol. Macromol. 2011, 49, 663–673. [Google Scholar] [CrossRef] [PubMed]
- Tunc, S.; Angellier, H.; Cahyana, Y.; Chalier, P.; Gontard, N.; Gastaldi, E. Functional properties of wheat gluten/montmorillonite nanocomposite films processed by casting. J. Membr. Sci. 2007, 289, 159–168. [Google Scholar] [CrossRef]
- Khan, A.; Niazi, M.B.K.; Naqvi, S.R.; Farooq, W. Influence of plasticizers on mechanical and thermal properties of methyl cellulose-based edible films. J. Polym. Environ. 2017, 26, 291–300. [Google Scholar] [CrossRef]
- Aydogdu, A.; Yildiz, E.; Ayhan, Z.; Aydogdu, Y.; Sumnu, G.; Sahin, S. Nanostructured poly(lactic acid)/soy protein/HPMC films by electrospinning for potential applications in food industry. Eur. Polym. J. 2019, 112, 477–486. [Google Scholar] [CrossRef]
- Fabra, M.J.; Lopez-Rubio, A.; Lagaron, J.M. High barrier polyhydroxyalcanoate food packaging film by means of nanostructured electrospun interlayers of zein. Food Hydrocolloid. 2013, 32, 106–114. [Google Scholar] [CrossRef]







| Sample | MC/CL 10:0 | MC/CL 7:3 | MC/CL 5:5 | MC/CL 3:7 | MC/CL 0:10 |
|---|---|---|---|---|---|
| T500 (%) | 83.68 ± 1.96 a | 79.05 ± 2.37 ab | 76.97 ± 5.44 b | 61.22 ± 3.17 c | 39.84 ± 4.04 d |
Disclaimer/Publisher’s Note: The statements, opinions and data contained in all publications are solely those of the individual author(s) and contributor(s) and not of MDPI and/or the editor(s). MDPI and/or the editor(s) disclaim responsibility for any injury to people or property resulting from any ideas, methods, instructions or products referred to in the content. |
© 2023 by the authors. Licensee MDPI, Basel, Switzerland. This article is an open access article distributed under the terms and conditions of the Creative Commons Attribution (CC BY) license (https://creativecommons.org/licenses/by/4.0/).
Share and Cite
Zhang, L.; Xu, L.; Ma, J.-K.; Ye, Y.-Y.; Chen, Y.; Qian, J.-Y. Introduction of Curdlan Optimizes the Comprehensive Properties of Methyl Cellulose Films. Foods 2023, 12, 547. https://doi.org/10.3390/foods12030547
Zhang L, Xu L, Ma J-K, Ye Y-Y, Chen Y, Qian J-Y. Introduction of Curdlan Optimizes the Comprehensive Properties of Methyl Cellulose Films. Foods. 2023; 12(3):547. https://doi.org/10.3390/foods12030547
Chicago/Turabian StyleZhang, Liang, Liang Xu, Jin-Ke Ma, Yun-Yue Ye, Ying Chen, and Jian-Ya Qian. 2023. "Introduction of Curdlan Optimizes the Comprehensive Properties of Methyl Cellulose Films" Foods 12, no. 3: 547. https://doi.org/10.3390/foods12030547
APA StyleZhang, L., Xu, L., Ma, J.-K., Ye, Y.-Y., Chen, Y., & Qian, J.-Y. (2023). Introduction of Curdlan Optimizes the Comprehensive Properties of Methyl Cellulose Films. Foods, 12(3), 547. https://doi.org/10.3390/foods12030547
