Next Article in Journal
Whole-Genome Analysis of blaNDM-Bearing Proteus mirabilis Isolates and mcr-1-Positive Escherichia coli Isolates Carrying blaNDM from the Same Fresh Vegetables in China
Next Article in Special Issue
Comparative Untargeted Metabolic Profiling of Different Parts of Citrus sinensis Fruits via Liquid Chromatography–Mass Spectrometry Coupled with Multivariate Data Analyses to Unravel Authenticity
Previous Article in Journal
Effect of Moisture and Oil Content in the Supercritical CO2 Defatting of Hermetia illucens Larvae
Previous Article in Special Issue
Polymeric Compounds of Lingonberry Waste: Characterization of Antioxidant and Hypolipidemic Polysaccharides and Polyphenol-Polysaccharide Conjugates from Vaccinium vitis-idaea Press Cake
 
 
Font Type:
Arial Georgia Verdana
Font Size:
Aa Aa Aa
Line Spacing:
Column Width:
Background:
Article

Revalorization of Melon By-Product to Obtain a Novel Sparkling Fruity-Based Wine

by
José Ángel Salas-Millán
1,2,3,
Encarna Aguayo
1,2,*,
Andrés Conesa-Bueno
3 and
Arantxa Aznar
4,*
1
Postharvest and Refrigeration Group, Universidad Politécnica de Cartagena (UPCT), 30202 Cartagena, Spain
2
Food Quality and Health Group, Institute of Plant Biotechnology (UPCT), Campus Muralla del Mar, 30202 Cartagena, Spain
3
JimboFresh International SLL, C/Mina Buena Suerte, 1, La Unión, 30360 Murcia, Spain
4
Department of Agronomical Engineering, Institute of Plant Biotechnology, UPCT, Paseo Alfonso XIII, 48, 30203 Cartagena, Spain
*
Authors to whom correspondence should be addressed.
Foods 2023, 12(3), 491; https://doi.org/10.3390/foods12030491
Submission received: 7 December 2022 / Revised: 5 January 2023 / Accepted: 16 January 2023 / Published: 20 January 2023

Abstract

Fresh melons not meeting cosmetic standards were revaluated into sparkling melon-based wine. Firstly, still melon wine was elaborated and bottled into 750 mL bottles, closed with a crown seal, and stored for 10-weeks at 14 °C. The oenological parameters and polar compounds in must, still wine, and during the sparkling process were evaluated during the experiment. The volatile profile was qualified by GC-MS, and the odor activity value (OAV) and relative odor contribution (ROC) were measured for aroma characterization. Results show that sparkling wine resulted in 12% v/v ethanol. Certain amino acids contributed to the transformation and increase of volatile compounds via Ehrlich’s pathway: leucine to isoamyl alcohol; valine to iso-butyl alcohol; and phenylalanine to phenethyl alcohol. The volatile compounds also increased after the first fermentation, principally in acetate and ethyl esters, and higher alcohols. Isoamyl acetate, ethyl decanoate, 3,6-nonadienyl acetate, and (E,Z)-nonadien-1-ol had the highest OAV and ROC values among the volatiles; this contributed to the sweet, fruity, banana, tropical, nutty and melon aroma in this sparkling wine. Sensory evaluation (100 to 40) was evaluated according to International Organisation of Vine and Wine compendium, the final product (10-week) scored 92 points, with great visual, nose, and taste values. This study demonstrates how by-products revalorization can provide new products such as this novel sparkling wine with a characteristic and distinctive aroma, good sensory acceptance and market potential.

Graphical Abstract

1. Introduction

Food loss refers to any food that is discarded, incinerated, or otherwise disposed of along the food supply chain from harvest/catch/slaughter up to but excluding retail level, and which is not used for any other productive use, such as animal feed or seed [1]. In this context, fresh products can be rejected owing to superficial cosmetic imperfections, color, shape, and size after preparation and packaging. These imposed cosmetic quality standards may lead to food losses with significant environmental impacts (land use, water consumption, greenhouse gas emissions, etc.) and financial implications. However, reducing and preventing food loss and waste can increase food security, foster productivity and economic efficiency, promote resource and energy conservation, and address climate change, which in turn, could also decrease climate change-related shocks to the supply chain [2]. In this context, the agriculture sector must tackle the issue of stimulating a circular economy model which enables superficially cosmetic imperfect fruits and vegetables to be utilized in novel food products such as fruit beverages and fruit-based wines by alcoholic fermentation [3]. This research presents an example of revalorizing melon by-products—melons rejected for failing to meet cosmetic standards—to obtain a novel sparkling melon-based wine.
Grapes are traditionally the most used fruit in wine production, but other examples of fermented beverages can be found, made from rice, honey, and fruits including persimmon and kiwi [4,5,6]. Various fruits are produced in large amounts around the world to produce alcoholic beverages through the fermentation process. The technique is related to traditional winemaking in that it involves alcoholic fermentation using yeast—usually Saccharomyces cerevisiae—to produce ethanol, carbon dioxide (CO2), and other secondary metabolites that enhance the volatile aroma profile, such as esters and higher alcohols [7]. Some wines are made from fruits other than grapes, such as cider which is made from fermented apples and is one of the most popular types of fruit-based wine [8], and it is commonly used in Europe. Fruits such as strawberries, plums, and peaches are used in the USA and Canada for fruit-based wine, whilst mango and pineapple are used in Asia [9]. Depending on the CO2 content in the wine, they are classified into “still” or “sparkling” wines [10]. In sparkling wine production, CO2 is generated which produces effervescence due to the use of yeast in a second step after the first alcoholic fermentation. Sparkling wines are frequently classified according to the method of production, the three main approaches are: traditional (champenoise), transfer, and bulk (charmat). With the traditional method, sparkling wines are produced by two steps of fermentation. After the first fermentation is prepared, the cuvée, where a rich saccharose solution and nutrients (liqueur de tirage) and yeast is added to start the second fermentation to produce CO2 inside sealed bottles [4]. These wines are considered for special occasions due to their additional value, their positive mouthfeel increment, their perception of volatile compounds, and their sweetness in consumers [11]. During this second fermentation, the yeast metabolism affects the aroma composition and the chemical composition which may improve the organoleptic perception [12].
Melon (Cucumis melo L.) is cultivated in several parts of the world thanks to its adaptability to many types of soils and temperatures. According to FAOSTAT [13], China was the world’s foremost producer of melon (49% of the total, 14 million tons), followed by Turkey and India, although Spain was the world’s main exporter, producing 600,000 t of which 440,000 t were exported, which accounts for around 20% of total global exportation. There are different C. melo botanical varieties with morphological, physiological, and organoleptic profiles, such us cantalupensis, reticulatus, inodorus, ameri, flexuosus, chate, dudaim, tibish, acidulus, momordica, conomon, makuwa and chinensis [14]. C. melo var. reticulatus is the most accepted for its sweetness, pulp texture, and aroma, with highly volatile contents such as esters (butyl acetate, ethyl isobutyrate, hexyl acetate, propyl 2-methyl butanoate, 3-methyl-2-butenyl acetate) that improve its aroma attributes [15]. Previous authors have reported melon-based wines [3,16] and have described the main volatiles in melon distillates [17] but, for the moment, there has been no scientific research focused on the development of a sparkling melon-based wine, from C. melo var. reticulatus, using fresh melon rejected for the cosmetic reasons mentioned above. These melons cultivar have a huge potential aroma profile for alcoholic fermentation. Thus, the aim of this research is to obtain a sparkling wine using fresh melons with cosmetic imperfections, evaluating the physico-chemical, polar compounds, and aroma changes during the sparkling process and then performing a sensory evaluation at the end of the process.

2. Materials and Methods

2.1. Pilot-Scale Melon-Based Wine

Fresh melon (Cucumis melo var. reticulatus) Okashi® cultivar was obtained from JimboFresh International Coop. (La Unión, Murcia, Spain). The melons received had failed to meet cosmetic standards, mainly because of their tiny caliber and a few sunspots on the skin. Following previous melon-based wine reports [3], we scaled up the process in a winery pilot plant Figure 1, located in the University (Universidad Politécnica de Cartagena, Spain). Fresh melons were hand peeled and cut into four pieces before being blended in a commercial crusher-destemmer (Enoitalia, Florence, Italy) prior to being pressed with a pneumatic press (Bucher Vaslin, Chalonnes-sur-Loire, France) to make the initial must. The must was obtained after decanting for 24 h, at 5 °C adding 0.04 g/L of sodium metabisulfite (Na2S2O5) and enriched with 5 g/L of tartaric and malic acids (1:1, w/w), 0.2 g/L of commercial yeast (Zymaflore®, Laffort, Bordeaux, France), 0.2 g/L of nutrients yeast (Superstart® Blanc & Rosé, Laffort, Bordeaux, France) and added commercial saccharose until 21.3 °Brix was obtained in the must Figure 1.
After five days at 15 °C, the first fermentation finished obtaining a melon wine named “Still Wine”. Subsequently, that wine was filtered through filter plate sheets (V12, 20 × 20, Gruppo Cordenons SpA, Milano, Italy) with a filter plate (Filtro Jolly 20, MORI, Tavarnelle Val di Pesa, Italy). The sparkling process was based on Martínez-García et al. [12] with slight modifications: adding 0.2 g/L of commercial sparkling yeast (Zymaflore® Spark, Laffort, Bordeaux, France) used for the second fermentation in this base melon-based wine and 0.2 g/L of yeast nutrients, and 20 g/L of saccharose, and 0.2 g/L of bentonite were also added. The wine was then bottled in 750 mL bottles closed with a crown seal and stored horizontally in a chamber at 14 °C. At the end of the process (10 weeks), the bottles were placed in a desk and the lees were mixed (remuage) and gradually turned and inclined into a vertical position, so the sediment from the lees was deposited in the neck of the bottle and then withdrawn at the end of the process. Sodium metabisulfite was added to reach 0.075 g/L of total SO2 and the bottles were corked. The physico-chemical changes and aroma obtained during this second fermentation, sparkling wine, were monitored at six time points of the process (0, 2, 4, 6, 8, and 10 weeks).

2.2. Physico-Chemical Analysis

Physico-chemical parameters such as alcohol strength (% v/v), pressure, total soluble solids (TSS), residual sugar, sugar-free extracts, and total and free sulfide, were measured using the standardized method by OIV [18] in the melon must, the still wine, and during the sparkling process. The pH, total acidity (TA), volatile acidity (VA) and color were determined following the methods from Salas-Millán et al. [3].
The total polyphenol content (TPC) and antioxidant capacities (FRAP and TEAC) were ascertained with a multiscan plate spectrophotometer (Tecan infinite M200, Männedorf, Switzerland after diluting the melon must, still wine, and sparkling wine samples in water (1:5), as per Salas-Millán et al. [19].

2.3. Analysis of Polar Compounds

2.3.1. Individual Sugars and Organic Acids

The analysis was performed as per Ortiz-Duarte et al. [20], using ultra-high-performance liquid chromatography (UHPLC) instrument (Shimadzu, Kyoto, Japan) which included a DGU-20 A degasser, LC-170 30AD quaternary pump, SIL-30AC autosampler, CTO-10AS column heater, refractive index detector (RID), and SPDM-20 A diode array detector (DAD). Chromatographic separation was performed at 65 °C with a mobile phase of 2.5 mM H2SO4 at 0.6 mL/min for 30 min using a Rezex RAM column (300 × 7.8 mm, 8 μm particle size; Phenomenex, Macclesfield, UK). Authentic standards were used to identify and quantify sugars and organic acids (Sigma, St Louis, MO, USA). Calibration curves were created for each standard using at least six data points. A 5 mL must, still wine or sparkling wine aliquot was centrifuged at 14,000× g for 15 min at 4 °C, and the supernatant was further purified by solid phase extraction Phenomenex C18-SPE (Torrance, CA, USA) conditioned columns (5 mL of MeOH + 5 mL of water + 5 mL of air). The purified extract was filtered with a polyamide 0.20 μm syringe filter and diluted tenfold prior to analyses. Individual sugars and organic acids were expressed in g/L, except for fumaric acid which was presented in mg/L.

2.3.2. Individual Amino Acids

The separation and analysis of samples was performed with an HPLC/MS system consisting of an Agilent 1290 Infinity II Series HPLC (Agilent Technologies, Santa Clara, CA, USA) equipped with an Automated Multisampler module and a High-Speed Binary Pump and connected to an Agilent 6550 Q-TOF Mass Spectrometer (Agilent Technologies, Santa Clara, CA, USA) using an Agilent Jet Stream Dual electrospray (AJS-Dual ESI) interface. Experimental parameters for HPLC and Q-TOF were set in MassHunter Workstation Data Acquisition software (Agilent Technologies, Santa Clara, CA, USA, Rev. B.10.1.48). Standards with known concentrations of amino acids were prepared in water. Both standards and samples were passed through 0.22 μm filters. Then 20 μL of each standard or sample was injected onto a Zorbax Eclipse Plus C18 HPLC column (100 × 2.1 mm, 1.8 μm,), thermostatted at 40 °C, and eluted at a flow rate of 0.4 mL/min. Chromatographic conditions were run in accordance with Giordano et al. [21] with a slight modification: mobile phase A, consisting of 0.1% TDFHA (tridecafluoroheptanoic acid) (w/v) in MilliQ water and mobile phase B, consisting of 0.1% TDFHA (w/v) in acetonitrile, were used for the chromatographic separation. The initial HPLC running conditions were solvent A:B 90:10 (v/v). The gradient elution program was 10% solvent B for 3 min; a linear gradient from 10 to 40% solvent B in 5 min; another linear gradient from 40 to 100% solvent B in 5 min; 2 min at constant 100% solvent B. The column was equilibrated with the starting composition of the mobile phase for 5 min before each analytical run.
The mass spectrometer was operated in the positive mode. The nebulizer gas pressure was set to 40 psi, whilst the drying gas flow was set to 14 L/min at a temperature of 275 °C, and the sheath gas flow was set to 12 L/min at a temperature of 300 °C. The capillary spray, nozzle, fragmentor, and octopole RF Vpp voltages were 3500 V, 100 V, 360 V, and 750 V respectively. Profile data in the 50–400 m/z range were acquired for MS scans in 2 GHz extended dynamic range mode. A reference mass of 121.0509 was used. Data analysis was performed with MassHunter Qualitative Analysis Navigator software (Agilent Technologies, Santa Clara, CA, USA, Rev. B.80.00). Extracted ion chromatograms of different amino acids, were obtained from their molecular formula (Table 1) and were measured in µmol per liter of must, still wine, or sparkling wine (μM).

2.4. Analysis of Volatile Compounds by GC-MS

The volatile profiles were extracted from samples using headspace solid-phase micro-extraction (HS-SPME), and identified utilizing gas chromatography (Agilent 7890B) linked to a mass spectrometer (Agilent MSD 5977A) with an autosampler (Gerstel MPS 2XL Twister) according to Salas-Millán et al. [3]. The NIST database provided the mass spectrum and retention index (RI) via the Kovats Index (KI) for comparison in the identification of the volatile substances. RI values were computed employing the same GC-MS settings and an n-alkane external standard solution C8-C20 (Sigma-Aldrich, St. Louis, MO, U.S.A.). As a semi-quantification, the GC peak area ratio of each volatile in the total ion chromatogram to the internal standard peak area was utilized [22], and measured in mg/L of the must, still wine, or sparkling wine.

2.5. Odor Activity Value (OAV) and Relative Odor Contribution (ROC)

The traditional indicators of odor activity values (OAV) and relative odor contributions (ROC) were employed to quantify the sensory contribution of aromatic compounds to wine flavor [23]. A compound’s concentration divided by its odor threshold value gave the OAV, as stated by other authors [24,25,26,27,28,29,30]. The ratio of the compound’s OAV to overall OAV for each wine is used when calculating the ROC for each aroma component.

2.6. Sensory Evaluation

Sensory evaluation was conducted in a normalized tasting room (22 °C) using standardized wine glasses containing 15 mL of melon sparkling wine. The sensory panel was mainly composed of 15 research group judges (eight women and seven men between the ages of 30 and 55), and the sensory evaluation assessment was performed following OIV 332A/2009 resolution [31], in which judges rated several aspects (Table 2). The scores for each sensory attribute were written down, with the overall score being produced by adding individual attribute values. This trained sensory evaluation does not require an ethical statement. Before starting this sensory evaluation, the research team explained the scope and details of the project to the participants, including the purpose of the research, the identity of the researchers, information on data protection, privacy, and data retention, the right not to take part (participation was voluntary), the right to withdraw, and contact details for any questions. Finally, participants signed a written consent form, confirming that they had read it and questions had been answered.

2.7. Statistical Analysis

A completely randomized design was performed with three replicates in the must and still wine, and per week during the sparkling process. A one-way ANOVA (p < 0.01) was carried out to determine the effect of fermentation and time of storage for sparkling wine. Mean values were compared by LSD multiple range test to identify significant differences among samples.

3. Results and Discussion

3.1. Physico-Chemical Characterization for First Alcoholic Fermentation (Still Wine) and During the Second Fermentation Process (Sparkling Wine)

Table 3 shows the principal physico-chemical parameters of the must, still wine, and sparkling melon wine. After melon must optimization (Section 2.1), once commercial saccharose had been added, the TSS reached 21.3 °Brix and 90.55 g/L of residual sugar (as the sum of total individual sugar, Table 4). The enrichment with tartaric acid and malic acid (5 g/L of 1:1 tartaric and malic acid) provided 6.44 g/L for TA, 0.10 g/L for volatile acidity, and a pH of 4.4. The initial sodium metabisulfite added in the must provided 11.5 mg/L and 25.6 mg/L, free and total SO2, respectively, and it avoided prior contamination before alcoholic fermentation. The color of the must was defined as a pale greenness (109 °h) resembling the typical green color of the melon pulp.
After the first alcoholic fermentation, the still wine was obtained and TSS dropped to <9 °Brix and remained stable during the sparkling process without significant differences. The alcoholic grade reached 12.3° and was stable in the sparkling melon process (12.3° to 12.5°). Likewise, residual sugar decreased with fermentation, from 90.55 g/L in the must to 5.72 g/L in the still melon wine, and after the incorporation of 20 g/L of commercial saccharose before the second fermentation, the residual sugar decreased to 5.38–10.23 g/L in the sparkling wine; a decrease in the sugar concentration with the storage time was detected.
Regarding the sugar-free extract, the high value obtained in the must (142 g/L) was due to saccharose added and the presence of suspension pulp, dropping with the fermentation process and the filtration process in the still melon wine (25 g/L) and remaining quite stable during the sparkling wine process (20.6 to 25.1 g/L). Sugar-free extract is an important qualitative parameter for evaluating fullness and harmony in wine, this parameter should usually be below 25 g/L [23], as obtained in the sparkling wine. The pressure reached 2 atm in the second week after second fermentation and remained stable throughout the sparkling process.
TA was maintained in the range of 5.62 to 6.76 g TA/L, without significant differences during the time studied for the sparkling process. As expected, the volatile acidity increased with the first alcoholic fermentation, 0.27 g/L was obtained in the still melon wine, and it ranged from 0.23 to 0.35 g/L during the sparkling process. The pH slightly decreased to 3.9 in the still wine with similar and stable values for the sparkling wines (4.0 to 4.1).
Regarding the color parameters, the first fermentation, induced an increase in the °h (178°) and a slight reduction in L*, with a green color being obtained that was maintained during the studied sparkling process. Chrome decreased from 20.7 (melon must) toward 0.8 to 1.2, which means a decline in the green color intensity, due to the filtration process and its clarification [32].
The TPC and antioxidant capacities (FRAP and TEAC) in enriched melon must were 173.6 mg GAE/L, 0.94 mmol Fe+2/L, and 0.47 mmol TE/L, respectively. Fermentation led to a decrease in those values, with 153 mg GAE/L being obtained in the still wine, and the antioxidant capacity was 0.73 mg Fe+2/L and 0.43 mmol TE/L. These values were similar for the sparkling melon wine during the eight weeks of storage, excepting the end of the storage time when an increase in TPC (182 mg GAE/L) and antioxidant activity (1.15 mg Fe+2/L and 0.78 mmol TE/L) was found, probably due to the interference of metabisulfite as an antioxidant agent [33], which was added in week 10.

3.2. Polar Compounds Quantification

3.2.1. Individual Sugar and Organic Acids Content

The total sugar content for the melon must was 75.87 g/L; this high concentration was achieved after adding saccharose. In the first fermentation, the still melon wine obtained 4.82 g/L and the sparkling melon wine ranged from 4.51 to 9.10 g/L, with the lowest data being found after 10 weeks Table 4. This decrease in total sugars was the effect of the fermentation processes in which S. cerevisiae, which has the ability to ferment sugars, produced ethanol, CO2, and other secondary metabolites as the product of the alcoholic fermentation carried out [3]. The reduction in sugars, specifically glucose, in the sparkling melon wine after 10 weeks of storage shows that the fermentation process continued slowly inside the bottles [34]. Saccharose was only measured in the melon must and was completely consumed in the first alcoholic fermentation. A different trend was observed in the fructose and glucose concentrations, which decreased in the still wine with the first fermentation (2.95 and 1.87 g/L, respectively), but rose in the sparkling wine, due to the saccharose added (20 g/L) to initiate the second fermentation. After two weeks in the sparkling process, the fructose and glucose contents were 5.01 and 4.09 g/L, due to the S. cerevisiae Suc2 invertase enzyme which hydrolyzed extracellularly saccharose into glucose and fructose and increased the content of those monosaccharides [35]. After that, the fructose and glucose concentrations were remained stable throughout the sparkling process for 10 weeks Table 4. Similar trends were reported by Berbegal et al. [36] for sparkling wine with a dry yeast preparation.
Regarding total organic acids, the melon must presented a total of 8.40 g/L, decreasing slightly with the fermentations, 7.07 g/L in the still wine and 6.18 g/L in the sparkling wine (10 weeks). As mentioned in Section 2.1, the melon must was enriched with tartaric and malic acids (5 g/L, 1:1), providing a higher content for these organic acids. There were slight differences with a stabilization trend for tartaric acid throughout both fermentations and the sparkling melon wine storage (1.12–1.62 g/L). A similar trend in tartaric acid has been reported in other sparkling wines from grapes, in the 3rd and 12th months [37]. The malic acid concentration in the must (3.50 g/L) decreased after the first fermentation (2.37 g/L), due to malolactic fermentation, in which malic acid is transformed into lactic acid, normally by Oenococcus, Lactobacillus and Pediococcus species in typical grape wines, such production reduces the perceived acidity [4]. Malic acid continued to decrease slightly during the sparkling process (from 2.52 to 1.80 g/L). Succinic acid also decreased with the first fermentation, from 1.25 g/L in the must to 0.15 g/L in the still wine and remained stable during the sparkling process (0.16–0.28 g/L).

3.2.2. Individual Amino Acids Content

Amino acids were quantified into four groups in accordance with Liang et al. [38]: bitter, sweet, umami, and other amino acids Table 5. The bitter amino acids included histidine, arginine, leucine, lysine, valine, phenylalanine, and isoleucine; sweet amino acids consisted of glycine, alanine, proline, serine, threonine, methionine, and cysteine; the umami amino acids were aspartic acid and glutamate; and other amino acids such as tyrosine, asparagine, glutamine, tryptophan, and cistin as the dimerization of two cysteines (Cys-Cys). The concentration of total amino acids in the melon must was 33.06 μM, although this dropped with the first alcoholic fermentation (18.31 μM) and was stable during the sparkling wine process (15.10 to 16.29 μM). This reduction was caused by the yeasts, whose population increased or retained a high viability during that period, and the use of amino acids for protein, RNA, and DNA synthesis, and storage as a reserve in vacuoles [34]. This trend was mainly detected in the total bitter amino acids, with arginine, phenylalanine, and histidine being the most abundant amino acids in that group. Arginine and phenylalanine decreased by 60 to 70% in this first fermentation and remained stable during the sparkling process. This behavior has been previously reported in wine during alcoholic fermentation by Wang et al. [39], who noted that these amino acids were consumed by the yeasts during the fermentation process as a nitrogen source. By contrast, histidine did not suffer a drop after fermentation and ranged between 5.54 and 6.45 μM during the experiment.
The total sweet amino acids rose from 0.92 μM in the must to 1.73 μM in the still wine, after the first fermentation, and slightly increased to 1.90 μM after two weeks of sparkling wine but decreased in the following weeks. The main sweet amino acid was alanine whose concentration changed following the same trend as mentioned for the total sweet amino acids. Some authors have suggested that the yeast’s own autolysis contributes to increase the amino acids content [39].
In the total umami amino acids, aspartate showed the highest concentration, rising from 0.07 μM to 1.01 μM in the first fermentation wine and decreasing to 0.84 μM at the end of the sparkling process. Other amino acids such as tyrosine, asparagine, and glutamine presented very low concentrations in the still wine and during the sparkling process (<0.08 μM). Tryptophan decreased from 0.88 μM in the must to 0.25 μM in the still wine and ranged from 0.14 to 0.22 μM during the sparkling process. By contrast, cistin (dimerization of cisteine) increased from the must to the still wine (0.10 to 0.26 μM, respectively) and decreased during the sparkling process (0.26 to 0.10 μM).

3.3. Volatile Compounds in Melon Wines and Sparkling Wine

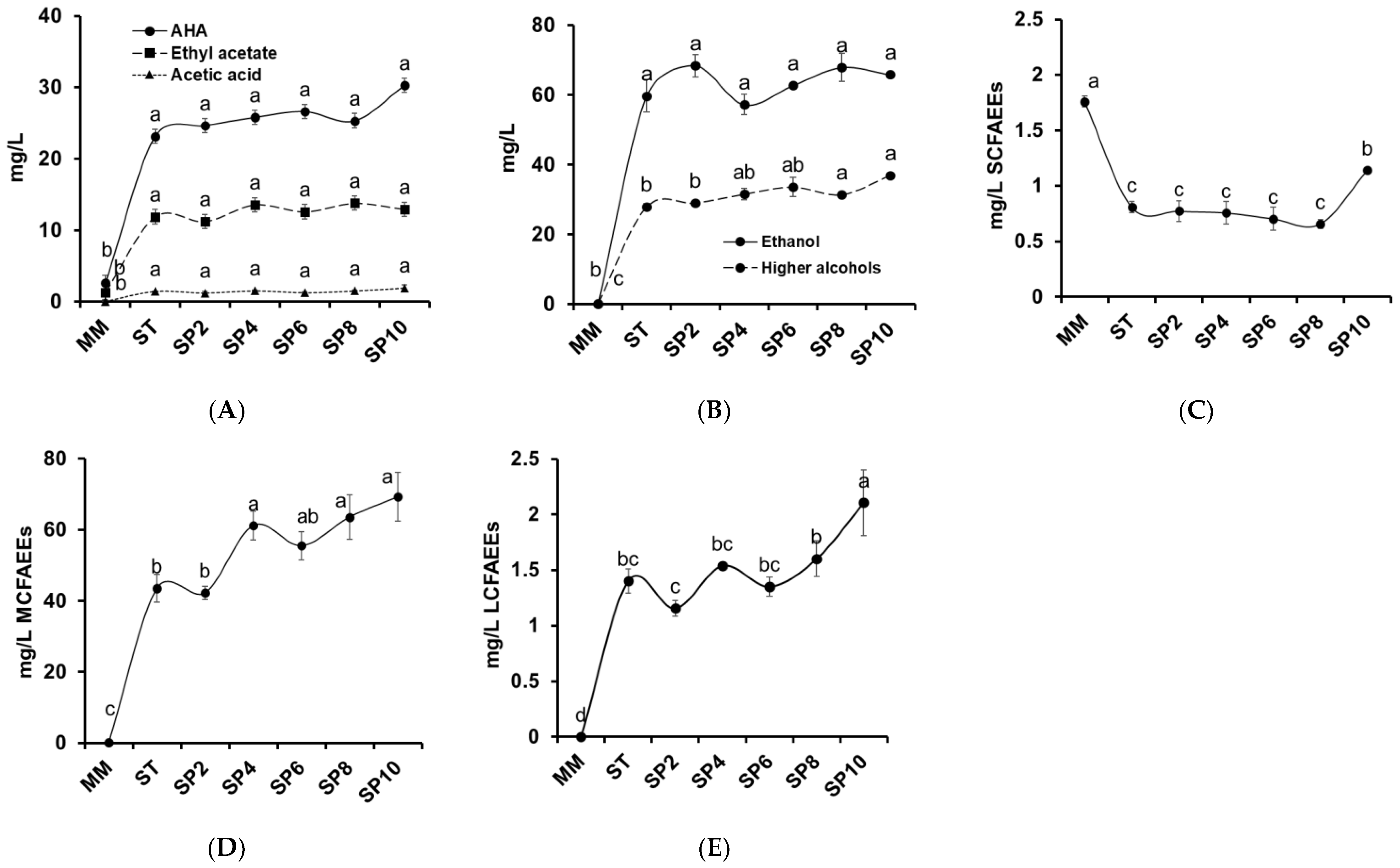
The volatile compounds identified in these melon wines were classified as: ethyl acetate, acetic acid, acetate higher alcohols (AHA), short-chain (C3-C5) fatty acid ethyl ester (SCFAEE), medium-chain (C6-C12) fatty acid ethyl ester (MCFAEE), long-chain (C13-C22) fatty acid ethyl ester (LCFAEE), other esters, ethanol, higher alcohols (HA), and other compounds. The aroma evolution during the first alcoholic fermentation and the sparkling process is shown in Figure 2, except for other ester and other compound groups which can be consulted in Table 6.
Acetate esters and acetic acid are presented in Figure 2A. Initially, the content of ethyl acetate in the must was low (1.30 mg/L) compared to its increment in the first alcoholic fermentation (11.88 mg/L) and stabilization during the sparkling process (11.22 to 13.79 mg/L). These acetate esters, common in wine, are responsible for the negative effect on flavor and spoilage character when they exceed 150 to 200 mg/L [40], far higher than our values. However, acetate esters under 80 mg/L concentration may improve the aroma of wine [41]. Acetic acid was not detected in must but appeared with the fermentations, 1.23 to 1.95 mg/L.
AHA increased from 2.57 mg/L in the must to 23.14 in the still wine and to 27.81 mg/L in the sparkling wine (10 weeks). Isoamyl acetate was the principal AHA Table 6, representing around 60% of all AHA compound. In wines, this compound is responsible for providing a fruity character in the wine aroma [42]. Zhang et al. [43] found that S. cerevisiae catabolites the leucine into 3-methyl-butyraldehyde and isoamyl alcohol, via the Ehrlich pathway Figure 3, and the final esterification step with active acetic acid or acetyl-CoA to isoamyl acetate; its yields are regulated by the initial concentration of leucine. Our results follow that trend, with an increased concentration of isoamyl acetate, showing a negative correlation with the leucine concentration.
The next principal AHA compounds were 2-phenylethyl acetate and isobutyl acetate, which increased during the first fermentation (3.84 mg/L) and the sparkling process (5.13 mg/L). As with the isoamyl acetate and leucine correlation, a similar scenario occurred with 2-phenylethyl acetate and phenylalanine, which S. cerevisiae catabolized into 2-phenylethanol and 2-phenylethyl acetate [30], and this metabolic trend is shown in the decrement of phenylalanine and the increment in its alcoholic and acetate metabolites. Another AHA that increased during the first alcoholic fermentation was 3,6-nonadien-1-yl acetate, probably derived from 3,6-nonadien-1-ol due to the activity of alcohol acetyltransferases, which catalyzed alcohols and acetyl-coenzyme A for the formation of acetate ester [44].
Ethanol and higher alcohols are presented in Figure 2B. The melon wine fermentations converted sugar into alcohol; an ethanol concentration of 59.73 mg/L was obtained in the still wine, and it reached 65.83 mg/L in the sparkling wine (10 weeks).
Higher alcohols also increased with a slight rise during the sparkling process, principally isoamyl alcohol, derived from the deamination, decarboxylation, and reduction of leucine as explained above, via the Ehrlich pathway. Isoamyl alcohol was not detected in the must Table 6 and developed with the first fermentation and remained stable throughout the sparkling processes (18.70 to 24.17 mg/L). 2-Phenylethanol was the third most abundant higher alcohol, derived from phenylalanine, and ranged from 4.71 mg/L in the still wine to 8.16 mg/L in the sparkling processes (10 weeks). Isobutyl alcohol and 2,3-butanediol were identified with alcoholic fermentation. As reported by Wess et al. [45], S. cerevisiae metabolizes valine amino acid by the Ehrlich pathway to produce isobutyl alcohol in the cytosol. Another alcohol that competes with the ethanol pathway is 2,3-butanediol which, from 2-acetolactate after a spontaneous decarboxylation and followed by oxidation by butanediol dehydrogenases, is reduced to 2,3-butanediol [45]; this was detected in very low concentrations in both fermentation processes. Another higher alcohol identified was (E,Z)-3,6-nonadien-1-ol, which was found in the must, as reported in other melon cultivars [46] and doubled its concentration with fermentations.
An aromatic higher alcohol, 2,4-di-tert-butylphenol increased from 1.75 to 2.35 mg/L after the first alcoholic fermentation, probably due to the oxidation of 1,3-di-tertbutyl-benzene, which was also identified Table 6.
Fatty acid ethyl esters Figure 2C–E were produced by S. cerevisiae during the first alcoholic fermentation and sparkling process and determined the complex flavor and fruity aroma, obtained from the condensation of acyl-CoA with ethanol, catalyzed by ethanol-O-acyl transferase [47].
The most abundant group of ethyl esters was MCFAEEs, followed by LCFAEEs. Both groups increased during the first fermentation and sparkling process, ranging from 43.25 to 69.23 mg/L and 1.16 to 2.11 mg/L, respectively. In contrast, SCFAEEs decreased with the first fermentation (0.81 mg/L) and showed a slight increase at the end of the studied sparkling process (1.13 mg/L). Five SCFAEEs were identified in the must Table 6, principally ethyl 2-methyl butyrate and ethyl butanoate, followed by ethyl isobutyrate, ethyl propanoate, and ethyl pentanoate. These last three compounds decreased to a non-detected limit after the first alcoholic fermentation. However, ethyl 2-methyl butyrate decreased from 0.77 mg/L in the must to 0.17–0.32 mg/L after the first fermentation and sparkling process. Ethyl butanoate ranged from 0.46 to 0.68 mg/L during the experiment, increasing to 0.82 mg/L after 10 weeks. Generally, ethyl 2-methyl butyrate and ethyl butanoate are commonly identified in a large range of white and rosé wines fermented with S. cerevisiae [48].
Regarding MCFAEEs, five ethyl esters were identified throughout the experiment, with a gradual increase during the first alcoholic fermentation and sparkling process, with the maximum concentration being obtained at the end of the experiment (69.23 mg/L) Figure 2D. Ethyl hexanoate was the only compound identified in the must. Instead, the first alcoholic fermentation provided the formation of new aromas such as ethyl octanoate, ethyl decanoate, ethyl hexanoate, ethyl 9-decenoate and ethyl laurate, with octanoate and decanoate being the compounds found in the highest concentrations. All these MCFAEE volatile compounds have been identified in other alcoholic fermentative beverages such as wines from grapes [48,49] and kiwi wines [6].
Concerning LCFAEEs, ethyl tetradecanoate and ethyl hexadecanoate were not identified in the must but developed with alcoholic fermentation. The concentration of these compounds was low, with a stable trend throughout the sparkling process (0.57 to 0.75 mg/L, and 0.59–1.39 mg/L, respectively) Table 6. Both compounds have been reported in other sparkling grape wines [50] and fruit-based wines such as pomegranate and kiwi [6,51].

3.4. Odor Activity Value (OAV) and Relative Odor Contribution (ROC)

Table 7 shows the 15 individual volatile compounds which had at least OAV > 1 and contributed to the aroma of the melon-based wine. Figure 4 illustrates the principal aromas with a ROC value above 0.1. In the AHA groups, only four compounds exceeded the odor threshold: isobutyl acetate, isoamyl acetate, 3,6-nonadienyl acetate, and 2-phenylethyl acetate. As mentioned before, these compounds increased with the first alcoholic fermentation and sparkling process. Isoamyl acetate, followed by 3,6-nonadienyl acetate, were the AHA compounds with the highest OAV values in the must, with an increase in the alcoholic fermentations providing sweet banana and fruity odors in the still and sparkling wines Table 7. Isoamyl acetate, with an initial (must) OAV value of 17.7, increased to 481 in the still wine and 647 at the end of the sparkling process and its ROC increased from 0.2 (must) to 0.55–0.61, during the first alcoholic fermentation and the sparkling process, meaning that the aroma was a major contribution to the melon-based wine.
Regarding the SCFAEEs, two volatile compounds contributed to the aroma of the melon-based wines: ethyl butanoate and ethyl 2-methyl butyrate. The first aroma was detected in the must (1.1), the still wine (1.1) and at the end of the sparkling process (1.4). Ethyl 2-methyl butyrate decreased its OAV value from 10.5 in the must to 2.3 in the still wine and increased to 4.3, at the end of the sparkling period studied. Both aromas provide a sweet and fruity connotation; however, only ethyl 2-methylbutyrate reached a ROC > 0.1 value in the must, after which other aromas became more relevant Figure 4.
For the MCFAEEs, the trend of these fatty acid ethyl esters was, after AHA, the group with the largest increment in OAV; it increased with the fermentation process, and its evolution followed a similar pattern to other grape and fruit wines [5,52]. Ethyl hexanoate was the only MCFAEEs, with OAV > 1, present in the must (1.9), which increased with the fermentations and remained stable, ranging from 20.7 to 24.1. However, the compounds with high OAV were ethyl decanoate (78.9 to 141.9), whose odor description corresponds to sweet, fruity, nuts, and dried fruit, and ethyl octanoate (34.1 to 74.3) which provides pineapple, pear, and a soapy odor. The highest levels were obtained at the end of the sparkling process. However, only ethyl decanoate managed to contribute a ROC > 0.1, between 0.10 to 0.13, in the still and sparkling wines. Ethyl 9-decenoate had a value between 11.2 to 18.9 after alcoholic fermentations, providing a floral odor with a ROC > 0.1 Figure 4. For LCFAEEs group, only ethyl tetradecanoate had an OAV > 1 after first fermentation (1.5) and ranged 1.10—1.50 during the sparkling process. Regarding ethyl hexadecanoate, it only reached an OAV > 1 with 1.39 at 10 weeks of the sparkling process. Both volatile aromas contributed a fruity and fatty odor but with low contribution to the aroma of the still and sparkling melon wine (ROC > 0.1).
(6Z)-Nonen-1-ol and (E,Z)-3,6-nonadien-1-ol are common aromas in some melon cultivars [46], and they were the only HA that reached their odor threshold with a melon-like and sweet odor description in the initial must (32.2 and 20.2, respectively), and with the highest ROC values of 0.4 and 0.23, respectively. After the first alcoholic fermentation, the contribution of (6Z)-nonen-1-ol disappeared but that of (E,Z)-3,6-nonadien-1-ol increased, with an OAV value of 33.6–56.44 during the experiment, with an ROC value of around 0.05.

3.5. Sensory Evaluation of Final Sparkling Wine

The sensory evaluation of the sparkling melon, after 10 weeks in the bottle, is shown in Table 8. In accordance with the categories described by OIV (2009), this sparkling melon-based wine, obtained a total mark of 92.11 points, after the sum of all markers (visual, nose, taste, and harmony), achieving the “Grand Gold” category (>92 points). Considering visual aspects (14.44), the judges rated the sparkling wine as limpid to excellent limpidity, which means a good visual impression without cloudiness. Regarding the sensation perceived in the nose, melon-based wine had a very total absence of defects in genuineness (5.78), very strong qualitative intensity (7.78), and a very-to-excellent impression of quality (15.11). These results refer to the intensity of OAV Table 7, such as isoamyl acetate, ethyl decanoate, 3,6-nonadienyl acetate and (E,Z)-3,6-nonadien-1-ol, which are the most relevant volatile aromas providing the highest ROC values that contributed to the complexity and fruity-aroma character in this sparkling melon wine. Concerning taste values (39.11), sparkling melon wine was characterized as having a total absence of defects in genuineness, strong intensity (7.11), a very good persistence of residual olfactory-gustatory sensation of flavors (7.22), and a very good impression for the taste quality (19.33). These results suggest that this melon wine is absent in oxidation flavor, volatile acidity, and a negative flavor that affects the taste and mouthfeel. Finally, the judges marked a very good general impression (9.89), which along with the total marks received, defined our sparkling melon-based wine as a potential marketable and novel product.

4. Conclusions

In this study, a novel melon-based sparkling wine, using melons that failed to meet cosmetic standards, was developed and characterized. In this sparkling melon wine, a second fermentation takes place in the bottle, from a still wine (first fermentation). In our case, during the second fermentation, S. cerevisiae provided significant physico-chemical and aroma changes. Certain amino acids contributed to the transformation and increase in some volatile compounds via the Ehrlich pathway, in this case, leucine to isoamyl alcohol, valine to isobutyl alcohol and phenylalanine to phenethyl alcohol. Furthermore, during the second fermentation principally medium- and long-chain fatty acid ethyl ester increased and reached its odor threshold and contributed to the sweet, fruity, banana, tropical, nutty and melon aroma character, mainly by isoamyl acetate, ethyl decanoate, 3,6-nonadienyl acetate, and (E,Z)-3,6-nonadien-1-ol, with the highest ROC values during the sparkling process. In summary, this study is an example of how the agriculture sector should support a circular economy model with by-products revalorization such as fresh fruit that does not reach aesthetic standards, providing a novel fruit-based wine with a characteristic and distinctive aroma, good sensory acceptance and with market potential.

Author Contributions

Conceptualization, J.Á.S.-M., A.A. and E.A.; methodology, J.Á.S.-M. and A.A.; formal analysis, J.Á.S.-M.; investigation, J.Á.S.-M., A.A. and E.A.; Writing—Original Draft, J.Á.S.-M.; supervision, A.A., A.C.-B. and E.A.; funding acquisition, A.A. and E.A., project administration, A.A. and E.A.; resources, A.C.-B.; writing—review & editing, E.A. All authors have read and agreed to the published version of the manuscript.

Funding

This research was funded by RTI2018-099139-B-C21 project from the Ministry of Science and Innovation (Spain)—National Research Agency (MCIN/AEI/10.13039/501100011033) and by “ERDF A way of making Europe”, of the European Union and by 21645/PDC/21 project from “Fundación Séneca” of Murcia Region (Spain). José-Angel Salas-Millán acknowledges financial support for “Industrial PhD” grant (DIN2019-010837) from the Ministry of Science and Innovation.

Institutional Review Board Statement

Ethical review and approval were waived for this study since it is not required for the sensory analysis performed in this experiment.

Informed Consent Statement

Written informed consent was obtained from all subjects in the sensory panel involved in the study.

Data Availability Statement

The datasets supporting the findings of this article are available upon reasonable request.

Conflicts of Interest

The authors declare that they have no known competing financial interests or personal relationships that could have appeared to influence the work reported in this paper. Author Andrés Conesa is employed by the JimboFresh company, and he contributed to the paper as a researcher for supervision tasks and resources (providing fresh melon). However, the JimboFresh company did not contribute financially, nor in the optimization, analysis of the results, or writing of the paper. Therefore, there is no conflict of interest in relation with JimboFresh company. The remaining authors declare that the research was conducted in the absence of any commercial or financial relationships that could be construed as a potential conflict of interest.

References

  1. FAO. Food Loss Measurement|Technical Platform on the Measurement and Reduction of Food Loss and Waste|Food and Agriculture Organization of the United Nations. Available online: https://www.fao.org/platform-food-loss-waste/food-waste/introduction/en/ (accessed on 13 April 2022).
  2. EPA From Farm to Kitchen: The Environmental Impacts of US Food Waste; U.S. Environmental Protection Agency: Washington, DC, USA, 2021; pp. 1–106.
  3. Salas-Millán, J.-Á.; Aznar, A.; Conesa, E.; Conesa-Bueno, A.; Aguayo, E. Fruit Wine Obtained from Melon By-Products: Physico-Chemical and Sensory Analysis, and Characterization of Key Aromas by GC-MS. Foods 2022, 11, 3619. [Google Scholar] [CrossRef]
  4. Jackson, R.S. Wine Science: Principles and Application; Academic Press: Cambridge, MA, USA, 2008; ISBN 9780333227794. [Google Scholar]
  5. Lu, Y.; Liu, Y.; Lv, J.; Ma, Y.; Guan, X. Changes in the Physicochemical Components, Polyphenol Profile, and Flavor of Persimmon Wine during Spontaneous and Inoculated Fermentation. Food Sci. Nutr. 2020, 8, 2728–2738. [Google Scholar] [CrossRef] [PubMed]
  6. Sun, N.; Gao, Z.; Li, S.; Chen, X.; Guo, J. Assessment of Chemical Constitution and Aroma Properties of Kiwi Wines Obtained from Pure and Mixed Fermentation with Wickerhamomyces Anomalus and Saccharomyces Cerevisiae. J. Sci. Food Agric. 2022, 102, 175–184. [Google Scholar] [CrossRef] [PubMed]
  7. Eder, M.; Sanchez, I.; Brice, C.; Camarasa, C.; Legras, J.L.; Dequin, S. QTL Mapping of Volatile Compound Production in Saccharomyces Cerevisiae during Alcoholic Fermentation. BMC Genom. 2018, 19, 1–19. [Google Scholar] [CrossRef]
  8. Joshi, V.K.; Panesar, P.S.; Rana, V.S.; Kaur, S. Science and Technology of Fruit Wines: An Overview. In Science and Technology of Fruit Wine Production; Elsevier Inc.: Amsterdam, The Netherlands, 2017; pp. 1–72. ISBN 9780128010341. [Google Scholar]
  9. Matei, F. Technical Guide for Fruit Wine Production. In Science and Technology of Fruit Wine Production; Elsevier Inc.: Amsterdam, The Netherlands, 2017; pp. 663–703. ISBN 9780128010341. [Google Scholar]
  10. European Commision. List and Description of the Files of the OIV Code of Oenological Practices Regulation (EU) 2019/934, PUB. 2022 Eur-Lex.Europa.Eu. 2019. Available online: https://eur-lex.europa.eu/legal-content/EN/TXT/PDF/?uri=CELEX:52022XC0506(04)&from=EN (accessed on 6 January 2023).
  11. Wendrick, N.A.; Sims, C.A.; Macintosh, A.J.; Durán-Guerrero, E. The Effect of Carbonation Level on the Acceptability and Purchase Intent of Muscadine and Fruit Wines. Beverages 2021, 7, 66. [Google Scholar] [CrossRef]
  12. Martínez-García, R.; García-Martínez, T.; Puig-Pujol, A.; Mauricio, J.C.; Moreno, J. Changes in Sparkling Wine Aroma during the Second Fermentation under CO2 Pressure in Sealed Bottle. Food Chem. 2017, 237, 1030–1040. [Google Scholar] [CrossRef]
  13. FAOSTAT. Available online: https://www.fao.org/faostat/es/#data/TCL (accessed on 12 April 2022).
  14. Esteras, C.; Rambla, J.L.; Sánchez, G.; López-Gresa, M.P.; González-Mas, M.C.; Fernández-Trujillo, J.P.; Bellés, J.M.; Granell, A.; Picó, M.B. Fruit Flesh Volatile and Carotenoid Profile Analysis within the Cucumis Melo, L. Species Reveals Unexploited Variability for Future Genetic Breeding. J. Sci. Food Agric. 2018, 98, 3915–3925. [Google Scholar] [CrossRef] [PubMed]
  15. Farcuh, M.; Copes, B.; Le-Navenec, G.; Marroquin, J.; Cantu, D.; Bradford, K.J.; Guinard, J.X.; Van Deynze, A. Sensory, Physicochemical and Volatile Compound Analysis of Short and Long Shelf-Life Melon (Cucumis Melo L.) Genotypes at Harvest and after Postharvest Storage. Food Chem. X 2020, 8, 100107. [Google Scholar] [CrossRef]
  16. Minkova, S.; Vlaeva, I.; Nikolova, K.; Petkova, N.; Gentscheva, G.; Tzvetkova, C. Assessment of the Elemental Composition, Antioxidant Activity, and Optical Properties of Non-Traditional Bulgarian Fruit Wines. Bulg. Chem. Commun. 2022, 54, 26–30. [Google Scholar] [CrossRef]
  17. Gómez, L.F.H.; Úbeda, J.; Briones, A. Characterisation of Wines and Distilled Spirits from Melon (Cucumis Melo L.). Int. J. Food Sci. Technol. 2008, 43, 644–650. [Google Scholar] [CrossRef]
  18. OIV International Organisation of Vine and Wine. Compendium of International Methods of Analysis -OIV Chromatic Characteristics Method OIV-MA-AS2-11. 2009. Determination of Chromatic Characteristics According to CIELab (Resolution Oeno 1/2006). Available online: https://www.oiv.int/public/medias/7907/oiv-vol1-compendium-of-international-methods-of-analysis.pdf (accessed on 2 June 2022).
  19. Salas-Millán, J.-Á.; Aznar, A.; Conesa, E.; Conesa-Bueno, A.; Aguayo, E. Functional Food Obtained from Fermentation of Broccoli By-Products (Stalk): Metagenomics Profile and Glucosinolate and Phenolic Compounds Characterization by LC-ESI-QqQ-MS/MS. LWT 2022, 169, 113915. [Google Scholar] [CrossRef]
  20. Ortiz-Duarte, G.; Pérez-Cabrera, L.E.; Artés-Hernández, F.; Martínez-Hernández, G.B. Ag-Chitosan Nanocomposites in Edible Coatings Affect the Quality of Fresh-Cut Melon. Postharvest Biol. Technol. 2019, 147, 174–184. [Google Scholar] [CrossRef]
  21. Giordano, G.; Gucciardi, A.; Pirillo, P.; Naturale, M. Quantification of Underivatized Amino Acids on Dry Blood Spot, Plasma, and Urine by HPLC-ESI-MS/MS. In Methods in Molecular Biology; Alterman, M.A., Ed.; Humana Press Inc.: Totowa, NJ, USA, 2019; Volume 2030, pp. 153–172. [Google Scholar]
  22. Sun, Y.; Peng, W.; Zeng, L.; Xue, Y.; Lin, W.; Ye, X.; Guan, R.; Sun, P. Using Power Ultrasound to Release Glycosidically Bound Volatiles from Orange Juice: A New Method. Food Chem. 2021, 344, 128580. [Google Scholar] [CrossRef] [PubMed]
  23. Korenika, A.M.J.; Biloš, J.; Kozina, B.; Tomaz, I.; Preiner, D.; Jeromel, A. Effect of Different Reducing Agents on Aromatic Compounds, Antioxidant and Chromatic Properties of Sauvignon Blanc Wine. Foods 2020, 9, 996. [Google Scholar] [CrossRef]
  24. Acree, T.; Arn, H. Flavornet and Human Odor Space. Available online: http://flavornet.org/flavornet.html (accessed on 6 January 2023).
  25. Christlbauer, M.; Schieberle, P. Evaluation of the Key Aroma Compounds in Beef and Pork Vegetable Gravies a La Chef by Stable Isotope Dilution Assays and Aroma Recombination Experiments. J. Agric. Food Chem. 2011, 59, 13122–13130. [Google Scholar] [CrossRef]
  26. Fan, W.; Xu, Y.; Jiang, W.; Li, J. Identification and Quantification of Impact Aroma Compounds in 4 Nonfloral Vitis Vinifera Varieties Grapes. J. Food Sci. 2010, 75, S81–S88. [Google Scholar] [CrossRef]
  27. Feng, Y.; Su, G.; Zhao, H.; Cai, Y.; Cui, C.; Sun-Waterhouse, D.; Zhao, M. Characterisation of Aroma Profiles of Commercial Soy Sauce by Odour Activity Value and Omission Test. Food Chem. 2015, 167, 220–228. [Google Scholar] [CrossRef]
  28. Rahayu, Y.Y.S.; Yoshizaki, Y.; Yamaguchi, K.; Okutsu, K.; Futagami, T.; Tamaki, H.; Sameshima, Y.; Takamine, K. Key Volatile Compounds in Red Koji-Shochu, a Monascus-Fermented Product, and Their Formation Steps during Fermentation. Food Chem. 2017, 224, 398–406. [Google Scholar] [CrossRef]
  29. Welke, J.E.; Zanus, M.; Lazzarotto, M.; Alcaraz Zini, C. Quantitative Analysis of Headspace Volatile Compounds Using Comprehensive Two-Dimensional Gas Chromatography and Their Contribution to the Aroma of Chardonnay Wine. Food Res. Int. 2014, 59, 85–99. [Google Scholar] [CrossRef]
  30. Fairbairn, S.; McKinnon, A.; Musarurwa, H.T.; Ferreira, A.C.; Bauer, F.F. The Impact of Single Amino Acids on Growth and Volatile Aroma Production by Saccharomyces Cerevisiae Strains. Front. Microbiol. 2017, 8, 2554. [Google Scholar] [CrossRef]
  31. OIV Standard for International Wine Competitions and Spiritous Beverages of Vitivinicultural Origin (OIV-Concours 332A-2009); Zagreb, Croatia. 2009. Available online: https://www.oiv.int/public/medias/4661/oiv-concours-332a-2009-en.pdf (accessed on 17 January 2023).
  32. Ennouri, M.; Ben Hassan, I.; Ben Hassen, H.; Lafforgue, C.; Schmitz, P.; Ayadi, A. Clarification of Purple Carrot Juice: Analysis of the Fouling Mechanisms and Evaluation of the Juice Quality. J. Food Sci. Technol. 2015, 52, 2806–2814. [Google Scholar] [CrossRef] [PubMed]
  33. De Albuquerque Gil, D.M.; Rebelo, M.J.F. Metabisulfite Interference in Biosensing and Folin-Ciocalteu Analysis of Polyphenols. Microchim. Acta 2009, 167, 253–258. [Google Scholar] [CrossRef]
  34. Martínez-Rodríguez, A.; Carrascosa, A.; Martín-Álvarez, P.J.; Moreno-Arribas, V.; Polo, M. Influence of the Yeast Strain on the Changes of the Amino Acids, Peptides and Proteins during Sparkling Wine Production by the Traditional Method. J. Ind. Microbiol. Biotechnol. 2002, 29, 314–322. [Google Scholar] [CrossRef] [PubMed]
  35. Ostergaard, S.; Olsson, L.; Nielsen, J. Metabolic Engineering of Saccharomyces Cerevisiae. Microbiol. Mol. Biol. Rev. 2000, 64, 34–50. [Google Scholar] [CrossRef]
  36. Berbegal, C.; Polo, L.; García-Esparza, M.J.; Álvarez, I.; Zamora, F.; Ferrer, S.; Pardo, I. Influence of the Dry Yeast Preparation Method on Final Sparkling Wine Characteristics. Fermentation 2022, 8, 313. [Google Scholar] [CrossRef]
  37. Sartor, S.; Toaldo, I.M.; Panceri, C.P.; Caliari, V.; Luna, A.S.; de Gois, J.S.; Bordignon-Luiz, M.T. Changes in Organic Acids, Polyphenolic and Elemental Composition of Rosé Sparkling Wines Treated with Mannoproteins during over-Lees Aging. Food Res. Int. 2019, 124, 34–42. [Google Scholar] [CrossRef] [PubMed]
  38. Liang, Z.; Lin, X.; He, Z.; Su, H.; Li, W.; Ren, X. Amino Acid and Microbial Community Dynamics during the Fermentation of Hong Qu Glutinous Rice Wine. Food Microbiol. 2020, 90, 103467. [Google Scholar] [CrossRef]
  39. Wang, Y.Q.; Ye, D.Q.; Zhu, B.Q.; Wu, G.F.; Duan, C.Q. Rapid HPLC Analysis of Amino Acids and Biogenic Amines in Wines during Fermentation and Evaluation of Matrix Effect. Food Chem. 2014, 163, 6–15. [Google Scholar] [CrossRef]
  40. Rojas, V.; Gil, J.V.; Piñaga, F.; Manzanares, P. Acetate Ester Formation in Wine by Mixed Cultures in Laboratory Fermentations. Int. J. Food Microbiol. 2003, 86, 181–188. [Google Scholar] [CrossRef]
  41. Plata, C.; Millán, C.; Mauricio, J.C.; Ortega, J.M. Formation of Ethyl Acetate and Isoamyl Acetate by Various Species of Wine Yeasts. Food Microbiol. 2003, 20, 217–224. [Google Scholar] [CrossRef]
  42. Cameleyre, M.; Lytra, G.; Tempere, S.; Barbe, J.C. 2-Methylbutyl Acetate in Wines: Enantiomeric Distribution and Sensory Impact on Red Wine Fruity Aroma. Food Chem. 2017, 237, 364–371. [Google Scholar] [CrossRef] [PubMed]
  43. Zhang, L.; Zhang, Y.; Hu, Z. The Effects of Catabolism Relationships of Leucine and Isoleucine with BAT2 Gene of Saccharomyces Cerevisiae on High Alcohols and Esters. Genes 2022, 13, 1178. [Google Scholar] [CrossRef] [PubMed]
  44. Li, W.; Cui, D.Y.; Wang, J.H.; Liu, X.E.; Xu, J.; Zhou, Z.; Zhang, C.Y.; Chen, Y.F.; Xiao, D.G. Overexpression of Different Alcohol Acetyltransferase Genes with BAT2 Deletion in Saccharomyces Cerevisiae Affects Acetate Esters and Higher Alcohols. Eur. Food Res. Technol. 2018, 244, 555–564. [Google Scholar] [CrossRef]
  45. Wess, J.; Brinek, M.; Boles, E. Improving Isobutanol Production with the Yeast Saccharomyces Cerevisiae by Successively Blocking Competing Metabolic Pathways as Well as Ethanol and Glycerol Formation. Biotechnol. Biofuels 2019, 12, 1–15. [Google Scholar] [CrossRef]
  46. Kourkoutas, D.; Elmore, J.S.; Mottram, D.S. Comparison of the Volatile Compositions and Flavour Properties of Cantaloupe, Galia and Honeydew Muskmelons. Food Chem. 2006, 97, 95–102. [Google Scholar] [CrossRef]
  47. Saerens, S.M.G.; Delvaux, F.; Verstrepen, K.J.; Van Dijck, P.; Thevelein, J.M.; Delvaux, F.R. Parameters Affecting Ethyl Ester Production by Saccharomyces Cerevisiae during Fermentation. Appl. Environ. Microbiol. 2008, 74, 454–461. [Google Scholar] [CrossRef]
  48. Del Barrio-Galán, R.; del Valle-Herrero, H.; Bueno-Herrera, M.; López-de-la-Cuesta, P.; Pérez-Magariño, S. Volatile and Non-Volatile Characterization of White and Rosé Wines from Different Spanish Protected Designations of Origin. Beverages 2021, 7, 49. [Google Scholar] [CrossRef]
  49. Stój, A.; Czernecki, T.; Domagała, D.; Targoński, Z. Comparative Characterization of Volatile Profiles of French, Italian, Spanish, and Polish Red Wines Using Headspace Solid-Phase Microextraction/Gas Chromatography-Mass Spectrometry. Int. J. Food Prop. 2017, 20 (Suppl. S1), S830–S845. [Google Scholar] [CrossRef]
  50. Del González-Jiménez, M.C.; Moreno-García, J.; García-Martínez, T.; Moreno, J.J.; Puig-Pujol, A.; Capdevilla, F.; Mauricio, J.C. Differential Analysis of Proteins Involved in Ester Metabolism in Two Saccharomyces Cerevisiae Strains during the Second Fermentation in Sparkling Wine Elaboration. Microorganisms 2020, 8, 403. [Google Scholar] [CrossRef]
  51. Wang, X.; Ren, X.; Shao, Q.; Peng, X.; Zou, W.; Sun, Z.; Zhang, L.; Li, H. Transformation of Microbial Negative Correlations into Positive Correlations by Saccharomyces Cerevisiae Inoculation during Pomegranate Wine Fermentation. Appl. Environ. Microbiol. 2020, 86, e01847-20. [Google Scholar] [CrossRef]
  52. Izquierdo-Cañas, P.M.; González Viñas, M.A.; Mena-Morales, A.; Navarro, J.P.; García-Romero, E.; Marchante-Cuevas, L.; Gómez-Alonso, S.; Sánchez-Palomo, E. Effect of Fermentation Temperature on Volatile Compounds of Petit Verdot Red Wines from the Spanish Region of La Mancha (Central-Southeastern Spain). Eur. Food Res. Technol. 2020, 246, 1153–1165. [Google Scholar] [CrossRef]
Figure 1. Scheme of the production of melon wine and sparkling wine.
Figure 1. Scheme of the production of melon wine and sparkling wine.
Foods 12 00491 g001
Figure 2. Evolution of aroma volatiles for enriched must, still wine, and during the sparkling process of melon-based wine (10 weeks). Must (MM); Still wine (ST); Sparkling wine (SP) in weeks (2, 4, 6, 8, and 10). (A) Acetate higher alcohol (AHA), ethyl acetate and acetic acid. (B) Ethanol and higher alcohols. (C) Short-chain fatty acid ethyl ester (SCFAEEs). (D) Medium-chain fatty acid ethyl ester (MCFAEEs). (E) Long-chain fatty acid ethyl ester (LCFAEEs). Different letters in the same image indicate significant differences (p < 0.05).
Figure 2. Evolution of aroma volatiles for enriched must, still wine, and during the sparkling process of melon-based wine (10 weeks). Must (MM); Still wine (ST); Sparkling wine (SP) in weeks (2, 4, 6, 8, and 10). (A) Acetate higher alcohol (AHA), ethyl acetate and acetic acid. (B) Ethanol and higher alcohols. (C) Short-chain fatty acid ethyl ester (SCFAEEs). (D) Medium-chain fatty acid ethyl ester (MCFAEEs). (E) Long-chain fatty acid ethyl ester (LCFAEEs). Different letters in the same image indicate significant differences (p < 0.05).
Foods 12 00491 g002
Figure 3. Ehrlich pathway (square) in Saccharomyces cerevisiae, biochemistry and main genes encoding enzymes (italics) involved in this catabolic pathway. It consists of three stages in which higher alcohols are produced from assimilated amino acids. In the first step, amino acids are deaminated in a reversible transamination reaction to the corresponding α-keto acids, followed by a decarboxylation in the second step of α-keto acids to aldehydes. In the third step, the reduction of aldehydes to the corresponding alcohol by alcohol dehydrogenases catalyzes this last step of the Ehrlich pathway. The higher alcohols can be esterified to produce the equivalent acetate esters once they have been synthesized. The biosynthesis of amino acids from a carbon source, or the anabolic pathway, may also provide the α-keto acid.
Figure 3. Ehrlich pathway (square) in Saccharomyces cerevisiae, biochemistry and main genes encoding enzymes (italics) involved in this catabolic pathway. It consists of three stages in which higher alcohols are produced from assimilated amino acids. In the first step, amino acids are deaminated in a reversible transamination reaction to the corresponding α-keto acids, followed by a decarboxylation in the second step of α-keto acids to aldehydes. In the third step, the reduction of aldehydes to the corresponding alcohol by alcohol dehydrogenases catalyzes this last step of the Ehrlich pathway. The higher alcohols can be esterified to produce the equivalent acetate esters once they have been synthesized. The biosynthesis of amino acids from a carbon source, or the anabolic pathway, may also provide the α-keto acid.
Foods 12 00491 g003
Figure 4. Evolution of principal relative odor contribution value (ROC > 0.1) in enriched must, still wine, and during the sparkling process of melon-based wine (10 weeks). MM: Must. ST: Still wine. SP: Sparkling wine in weeks (2, 4, 6, 8, and 10 weeks).
Figure 4. Evolution of principal relative odor contribution value (ROC > 0.1) in enriched must, still wine, and during the sparkling process of melon-based wine (10 weeks). MM: Must. ST: Still wine. SP: Sparkling wine in weeks (2, 4, 6, 8, and 10 weeks).
Foods 12 00491 g004
Table 1. Amino acids and molecular formula, molecular mass (MS), and qualifier fragment (MS/MS).
Table 1. Amino acids and molecular formula, molecular mass (MS), and qualifier fragment (MS/MS).
Amino AcidAbbreviatureFormulaMSMS/MS
GlycineGlyC2H5NO276.0393
AlanineAlaC3H7NO290.055
SerineSerC3H7NO3106.049988.0389
ProlineProC5H9NO2116.070670.0645
ValineValC5H11NO2118.086372.0801
ThreonineThrC4H9NO3120.065574.0601
CysteineCysC3H7NO2S122.02776.0208
IsoleucineIleC6H13NO2132.101986.0959
LeucineLeuC6H13NO2132.101986.0959
AsparagineAsnC4H8N2O3133.060887.0551
AspartateAspC4H7NO4134.044888.0387
GlutamineGlnC5H10N2O3147.076484.0442
LysineLysC6H14N2O2147.112884.0802
GlutamateGluC5H9NO4148.060484.0442
MethionineMetC5H11NO2S150.0583104.0527
HistidineHisC6H9N3O2156.0768110.0711
PhenylalaninePheC9H11NO2166.0863120.0807
ArginineArgC6H14N4O2175.119116.0703
TyrosineTyrC9H11NO3182.0812165.0540
TryptophaneTrpC11H12N2O2205.0972188.0699
CystineCys-CysC6H12N2O4S2241.0311122.0273
Table 2. Organoleptical characteristics and definitions used in sensory evaluation.
Table 2. Organoleptical characteristics and definitions used in sensory evaluation.
Organoleptical CharacteristicDefinitionRange (Excellent to Inadequate)
VisualDiscrimination of differences in outside world with sensory impressions from visible light rays(15–3)
LimpidityMeasure of cloudiness.(5–1)
Aspect other than limpidityDetermine the full spectrum of visible properties of a product(10–2)
NoseSensations perceived by the olfactory organ when stimulated by certain volatile substances(30–12)
GenuinenessMeasure degree of sensation perceived (magnitude) by the nose, of a viticulture, oenological defect of product(6–2)
Positive intensityDegree (magnitude) of full spectrum of qualitative odors perceived by nose.(8–2)
QualitySpectrum of properties and characteristics of a wine that gives an aptitude to satisfy nose, implicit or expressed needs(16–8)
TasteFull spectrum of sensations perceived with wine mouthfeel.(44–18)
GenuinenessMeasure degree of sensation perceived (magnitude) by the taste, of a viticulture, oenological defect of product(6–2)
Positive intensityDegree (magnitude) of full spectrum of qualitative odors perceived by taste.(8–2)
Harmonious persistenceTo measure the length of residual olfactory-gustatory sensation, corresponding to the sensation perceived when the product is in mouth and length of time is measured.(8–4)
QualityDegree (magnitude) of full spectrum of qualitative odors perceived by taste(22–10)
Harmony-Overall judgementCorresponds to overall appraisal of a product.(11–7)
Table 3. Physico-chemical parameters of enriched must, still wine, and during the sparkling process of melon-based wine (10 weeks).
Table 3. Physico-chemical parameters of enriched must, still wine, and during the sparkling process of melon-based wine (10 weeks).
ParameterMustStill WineSparkling Wine (Weeks)
246810
Alcohol (%; v/v) 12.3 ± 0.1 ns12.3 ± 0.012.5 ± 0.112.4 ± 0.012.3 ± 0.112.4 ± 0.1
TSS (°Brix)21.3 z ± 0.7 a8.7 ± 0.0 b8.6 ± 0.0 b8.5 ± 0.2 b8.5 ± 0.0 b8.5 ± 0.0 b8.5 ± 0.0 b
Residual sugar (g/L)90.55 ± 3.49 a5.72 ± 0.73 b10.23 ± 1.25 b6.03 ± 2.12 b8.09 ± 0.04 b7.20 ± 0.52 b5.38 ± 0.02 b
Sugar-free extract (g/L)142.0 ± 4.4 a25.1 ± 0.9 b20.6 ± 1.2 b23.2 ± 1.5 b22.8 ± 0.1 b22.4 ± 0.7 b24.6 ± 0.0 b
pH4.4 ± 0.1 a3.9 ± 0.0 b4.0 ± 0.0 b4.0 ± 0.0 b4.0 ± 0.0 b4.1 ± 0.0 b4.1 ± 0.0 b
TA (g/L)6.44 ± 0.24 ns5.62 ± 0.136.40 ± 0.066.63 ± 0.086.53 ± 0.016.51 ± 0.486.76 ± 0.17
Volatile acidity (g/L)0.10 ± 0.01 c0.27 ± 0.02 ab0.28 ± 0.00 ab0.35 ± 0.02 a0.32 ± 0.00 ab0.23 ± 0.01 b0.34 ± 0.05 a
SO2 free (mg/L)11.5 ± 0.0 b0.0 ± 0.0 c0.0 ± 0.0 c0.0 ± 0.0 c0.0 ± 0.0 c0.0 ± 0.00 c12.8 ± 0.7 a
SO2 total (mg/L)25.6 ± 0.0 b26.2 ± 0.9 b26.9 ± 0.4 b25.0 ± 2.1 b25.1 ± 0.2 b22.7 ± 3.4 b75.7 ± 2.3 a
L*39.2 ± 0.2 a33.5 ± 0.2 bc33.8 ± 0.0 bc33.4 ± 0 c33.6 ± 0.1 bc33.6 ± 0.0 bc33.9 ± 0.1 b
°Hue109.0 ± 0,5 b178.5 ± 0.0 a178.5 ± 0.0 a178.6 ± 0.1 a178.5 ± 0.0 a178.5 ± 0.0 a178.6 ± 0.0 a
Chroma20.7 ± 0.6 a0.9 ± 0.0 b0.8 ± 0.0 b1.0 ± 0.1 b0.8 ± 0.1 b1.2 ± 0.1 b1.1 ± 0.1 b
TPC173.6 ± 4.6 ab153.9 ± 2.4 c164.6 ± 3.4 bc157.6 ± 2.0 c158.4 ± 0.1 c156.2 ± 1.3 c182.4 ± 3.0 a
FRAP0.94 ± 0.01 b0.73 ± 0.02 c0.76 ± 0.01 c0.72 ± 0.03 c0.66 ± 0.01 c0.63 ± 0.02 c1.15 ± 0.08 a
TEAC0.47 ± 0.01 b0.42 ± 0.02 b0.46 ± 0.01 b0.45 ± 0.01 b0.42 ± 0.00 b0.43 ± 0.01 b0.78 ± 0.05 a
z Means (n = 3 ± SE). TSS: Total soluble solids. TA (g TE/L): g tartaric acid equivalent per liter. Volatile acidity (g/L): g acetic acid equivalent per liter. TPC: Total phenolic compounds, mg gallic acid equivalent/L (mg GAE/L). FRAP: Ferric reducing antioxidant capacity, mmol Fe+2 equivalent/L (mmol Fe+2/L). TEAC: Trolox equivalent antioxidant capacity, mmol Trolox equivalent/L (mmol TE/L). Different letters in the same row indicate significant differences (p < 0.01) among must, still wine, and sparkling process. ns: statistically non-significant differences.
Table 4. Evolution of individual sugars and organic acids of enriched must, still wine, and during the sparkling process of melon-based wine (10 weeks).
Table 4. Evolution of individual sugars and organic acids of enriched must, still wine, and during the sparkling process of melon-based wine (10 weeks).
Polar CompoundsMustStill WineSparkling Wine (Weeks)
246810
Individual sugar (g/L)
Saccharose53.63 Z ± 2.58 an.d.n.d.n.d.n.d.n.d.n.d.
Fructose10.90 ± 0.55 a2.95 ± 0.40 c5.01 ± 0.73 b3.27 ± 0.03 c4.29 ± 0.02 bc4.05 ± 0.66 bc3.10 ± 0.02 c
Glucose11.34 ± 0.64 a1.87 ± 0.36 c4.09 ± 0.83 b1.74 ± 0.01 c2.70 ± 0.02 bc2.27 ± 0.19 c1.41 ± 0.03 c
∑ Total75.87 ± 3.77 a4.82 ± 0.75 b9.10 ± 1.55 b5.01 ± 0.04 b6.98 ± 0.04 b6.32 ± 0.59 b4.51 ± 0.04 b
Organic acids (g/L)
Fumaric acid (mg/L)11.49 ± 1.59 a7.66 ± 1.46 bc10.67 ± 1.53 ab9.80 ± 0.63 abc11.72 ± 0.05 a6.84 ± 0.13 b9.66 ± 1.45 abc
Succinic acid1.25 ± 0.20 a0.15 ± 0.02 c0.28 ± 0.03 b0.20 ± 0.00 c0.25 ± 0.00 bc0.16 ± 0.02 c0.19 ± 0.01 c
Malic acid3.50 ± 0.43 a2.37 ± 0.03 b2.52 ± 0.27 b2.39 ± 0.09 b1.80 ± 0.30 b1.88 ± 0.09 b1.80 ± 0.08 b
Citric acid2.07 ± 0.24 b2.92 ± 0.22 ab3.19 ± 0.50 a2.83 ± 0.04 ab3.12 ± 0.11 a2.93 ± 0.40 ab2.59 ± 0.39 ab
Tartaric acid1.56 ± 0.22 b1.62 ± 0.37 ab1.31 ± 0.23 b1.57 ± 0.07 b1.12 ± 0.05 b1.97 ± 0.25 a1.59 ± 0.05 b
∑ Total8.40 ± 1.08 ns7.07 ± 0.327.31 ± 0.027.00 ± 0.156.31 ± 0.466.95 ± 0.516.18 ± 0.43
Mean ± SE (n = 3). Different letters in the same row indicate significant differences (p < 0.05) among must, still wine, and sparkling process. n.d.: not detected. ns: statistically non-significant differences.
Table 5. Evolution of amino acids (μM) of enriched must, still wine, and during the sparkling process of melon-based wine (10 weeks).
Table 5. Evolution of amino acids (μM) of enriched must, still wine, and during the sparkling process of melon-based wine (10 weeks).
Polar CompoundsMustStill WineSparkling Wine (Weeks)
246810
TBAAHistidine6.19 z ± 0.14 ab6.45 ± 0.21 a5.54 ± 0.04 c5.97 ± 0.18 bc6.02 ± 0.10 ab6.19 ± 0.19 ab6.22 ± 0.22 ab
Arginine13.67 ± 0.51 a3.97 ± 0.08 b3.61 ± 0.00 b3.79 ± 0.08 b3.91 ± 0.02 b3.86 ± 0.05 b3.94 ± 0.01 b
Leucine0.26 ± 0.08 a0.05 ± 0.01 b0.05 ± 0.00 b0.04 ± 0.00 b0.04 ± 0.00 b0.03 ± 0.00 b0.03 ± 0.00 b
Lysine0.13 ± 0.01 a0.12 ± 0.00 a0.09 ± 0.00 b0.12 ± 0.01 a0.06 ± 0.01 c0.08 ± 0.01 bc0.06 ± 0.01 c
Valine0.04 ± 0.00 ns0.05 ± 0.000.05 ± 0.000.04 ± 0.010.04 ± 0.000.04 ± 0.000.04 ± 0.00
Phenylalanine10.44 ± 1.45 a3.95 ± 0.05 b3.27 ± 0.03 bc2.84 ± 0.15 bc2.50 ± 0.05 bc2.15 ± 0.05 c2.12 ± 0.01 c
Isoleucine0.13 ± 0.05 a0.01 ± 0.00 b0.02 ± 0.00 b0.02 ± 0.00 b0.02 ± 0.00 b0.02 ± 0.00 b0.02 ± 0.00 b
∑ TBAA30.87 ± 2.0 a14.60 ± 0.33 b12.63 ± 0.08 b12.83 ± 0.28 b12.59 ± 0.14 b12.38 ± 0.10 b12.45 ± 0.21 b
TSAAGlycine0.07 ± 0.01 c0.32 ± 0.03 a0.26 ± 0.00 b0.28 ± 0.01 ab0.29 ± 0.03 ab0.27 ± 0.01 ab0.09 ± 0.01 c
Alanine0.67 ± 0.07 ns0.80 ± 0.060.86 ± 0.010.73 ± 0.030.73 ± 0.020.74 ± 0.030.67 ± 0.03
Proline0.07 ± 0.01 ns0.16 ± 0.090.22 ± 0.090.05 ± 0.060.05 ± 0.000.04 ± 0.000.05 ± 0.00
Serine0.01 ± 0.00 d0.27 ± 0.01 a0.25 ± 0.00 b0.22 ± 0.01 c0.22 ± 0.00 c0.21 ± 0.00 c0.21 ± 0.00 c
Threonine0.03 ± 0.00 bc0.03 ± 0.00 ab0.04 ± 0.00 a0.03 ± 0.00 bc0.03 ± 0.00 bc0.03 ± 0.00 bc0.03 ± 0.00 c
Metionine0.14 ± 0.04 ns0.12 ± 0.000.13 ± 0.000.10 ± 0.010.09 ± 0.010.10 ± 0.010.08 ± 0.01
Cysteine0.01 ± 0.01 c0.34 ± 0.03 b0.41 ± 0.01 a0.31 ± 0.03 b0.32 ± 0.01 b0.32 ± 0.00 b0.32 ± 0.03 b
∑ TSAA0.92 ± 0.11 c1.73 ± 0.12 a1.90 ± 0.09 a1.44 ± 0.13 b1.43 ± 0.02 b1.44 ± 0.04 b1.37 ± 0.03 b
TUAAAspartate0.07 ± 0.06 c1.01 ± 0.04 a0.87 ± 0.01 abc0.87 ± 0.05 bc0.82 ± 0.04 b0.99 ± 0.05 ab0.84 ± 0.04 bc
Glutamate0.00 ± 0.00 d0.02 ± 0.00 a0.01 ± 0.00 ab0.00 ± 0.00 d0.01 ± 0.00 b0.01 ± 0.00 bc0.01 ± 0.00 c
∑ TUAA0.07 ± 0.06 d1.03 ± 0.04 a0.89 ± 0.01 bc0.87 ± 0.05 c0.83 ± 0.04 c1.01 ± 0.06 ab0.85 ± 0.05 c
OthersTyrosine0.01 ± 0.00 b0.02 ± 0.00 a0.01 ± 0.00 a0.02 ± 0.00 a0.01 ± 0.00 a0.01 ± 0.00 a0.02 ± 0.00 a
Asparagine0.00 ± 0.00 c0.08 ± 0.01 a0.08 ± 0.00 ab0.07 ± 0.01 ab0.07 ± 0.01 b0.08 ± 0.00 ab0.08 ± 0.00 ab
Glutamine0.15 ± 0.02 a0.02 ± 0.00 b0.02 ± 0.01 b0.01 ± 0.00 b0.01 ± 0.00 b0.01 ± 0.00 b0.01 ± 0.00 b
Tryptophan0.88 ± 0.08 a0.25 ± 0.01 b0.22 ± 0.00 bc0.20 ± 0.02 bc0.16 ± 0.01 bc0.16 ± 0.01 bc0.14 ± 0.00 c
Cistin0.10 ± 0.00 d0.26 ± 0.02 a0.27 ± 0.01 a0.20 ± 0.02 b0.19 ± 0.00 b0.15 ± 0.01 c0.10 ± 0.01 d
∑ Total AA33.06 ± 2.18 a18.31 ± 0.49 b16.29 ± 0.03 bc15.92 ± 0.23 bc15.59 ± 0.09 c15.50 ± 0.17 c15.10 ± 0.15 c
Mean ± SE (n = 3). TBAA: Total bitter amino acids. TSAA: Total sweet amino acids. TUAA: Total umami amino acids. TAA: Total amino acids. Different letters in the same row indicate significant differences (p < 0.05) among must, still wine, and sparkling process. ns: statistically non-significant differences.
Table 6. Evolution of aroma volatiles (mg/L) in enriched must, still wine, and during the sparkling process of melon-based wine (10 weeks).
Table 6. Evolution of aroma volatiles (mg/L) in enriched must, still wine, and during the sparkling process of melon-based wine (10 weeks).
GroupRTCompoundsKIMustStill WineSparkling Wine (Weeks)
246810
2.465Ethyl acetate<11001.30 ± 0.13 b11.88 ± 1.88 a11.22 ± 1.01 a13.57 ± 1.96 a12.60 ± 1.62 a13.79 ± 2.51 a12.92 ± 0.93 a
21.181Acetic acid1436n.d.1.46 ± 0.04 ab1.23 ± 0.24 b1.56 ± 0.08 ab1.27 ± 0.06 b1.53 ± 0.09 ab1.95 ± 0.40 a
AHA3.785Isobutyl acetate<11001.11 ± 0.11 c3.50 ± 0.17 b4.76 ± 0.71 ab4.71 ± 0.64 ab6.75 ± 1.44 a4.19 ± 0.29 b3.91 ± 0.41 b
4.816Butyl acetate<11000.24 ± 0.02 a0.12 ± 0.01 bn.d.n.d.n.d.n.d.n.d.
5.910Isoamyl acetate<11000.53 ± 0.03 c14.43 ± 0.36 b14.88 ± 0.06 b15.39 ± 1.03 ab14.51 ± 1.19 b15.10 ± 0.96 b19.40 ± 2.80 a
7.439Pentyl acetate<11000.02 ± 0.00n.d.n.d.n.d.n.d.n.d.n.d.
11.531Hexyl acetate12370.25 ± 0.03n.d.n.d.n.d.n.d.n.d.n.d.
13.5633-Hexenyl acetate12860.10 ± 0.01n.d.n.d.n.d.n.d.n.d.n.d.
23.0622,3-Butanediol, diacetate14700.07 ± 0.01n.d.n.d.n.d.n.d.n.d.n.d.
25.2162,3-Butanediol, diacetate15060.05 ± 0.00n.d.n.d.n.d.n.d.n.d.n.d.
32.2183,6-Nonadienyl-acetate15980.01 ± 0.00 c1.25 ± 0.01 ab0.89 ± 0.39 bc1.62 ± 0.26 ab1.09 ± 0.34 b1.98 ± 0.46 a1.83 ± 0.27 ab
33.439Phenylmethyl acetate16120.16 ± 0.02n.d.n.d.n.d.n.d.n.d.n.d.
35.3112-Phenylethyl acetate18430.03 ± 0.00 c3.84 ± 0.33 b4.10 ± 0.24 ab4.07 ± 0.31 ab4.24 ± 0.45 ab4.04 ± 0.16 b5.13 ± 0.60 a
∑ AHA 2.57 ± 0.19 c23.14 ± 0.59 b24.63 ± 0.14 ab25.79 ± 1.04 ab23.30 ± 0.45 b25.31 ± 1.54 ab27.81 ± 2.83 a
SCFAEE3.063Ethyl propanoate<11000.08 ± 0.01n.d.n.d.n.d.n.d.n.d.n.d.
3.160Ethyl isobutyrate<11000.39 ± 0.04n.d.n.d.n.d.n.d.n.d.n.d.
4.160Ethyl butanoate<11000.68 ± 0.07 a0.64 ± 0.04 b0.57 ± 0.12 b0.55 ± 0.08 b0.51 ± 0.09 b0.46 ± 0.03 b0.82 ± 0.09 b
4.451Ethyl 2-methylbutyrate<11000.77 ± 0.07 a0.17 ± 0.01 c0.20 ± 0.03 c0.21 ± 0.02 c0.19 ± 0.01 c0.20 ± 0.01 c0.32 ± 0.04 b
6.204Ethyl pentanoate<11000.02 ± 0.00n.d.n.d.n.d.n.d.n.d.n.d.
∑ SCFAEE 1.76 ± 0.05 a0.81 ± 0.05 c0.77 ± 0.09 c0.76 ± 0.10 c0.70 ± 0.10 c0.66 ± 0.04 c1.13 ± 0.13 b
MCFAEEs9.750Ethyl hexanoate11850.19 ± 0.02 b2.36 ± 0.13 a2.41 ± 0.24 a2.24 ± 0.05 a2.07 ± 0.01 a2.18 ± 0.21 a2.34 ± 0.24 a
19.923Ethyl octanoate1409n.d.23.78 ± 2.03 b20.46 ± 0.94 b33.42 ± 3.23 ab33.32 ± 2.83 ab35.44 ± 3.22 a44.55 ± 7.79 a
31.144Ethyl decanoate1591n.d.15.78 ± 1.60 d16.74 ± 0.25 cd22.50 ± 0.65 abc18.44 ± 1.03 bcd24.23 ± 2.63 ab28.39 ± 3.67 a
32.928Ethyl 9-decenoate1606n.d.1.48 ± 0.33 n.s.1.67 ± 0.071.42 ± 0.191.12 ± 0.041.35 ± 0.141.89 ± 0.35
36.046Ethyl laurate1790n.d.0.13 ± 0.02 de0.98 ± 0.23 b1.62 ± 0.12 a0.52 ± 0.10 c0.36 ± 0.03 cd0.35 ± 0.05 cd
∑ MCFAEEs 0.19 ± 0.02 c43.52 ± 4.03 b43.25 ± 1.65 b61.86 ± 4.20 a55.70 ± 4.01 ab64.51 ± 6.19 a69.23 ± 6.87 a
LCFAEEs39.044Ethyl tetradecanoate2007n.d.0.73 ± 0.01 n.s.0.57 ± 0.100.69 ± 0.040.70 ± 0.090.75 ± 0.080.72 ± 0.09
40.829Ethyl hexadecanoate2136n.d.0.68 ± 0.10 b0.59 ± 0.02 b0.85 ± 0.03 b0.65 ± 0.01 b0.85 ± 0.08 b1.39 ± 0.24 a
∑ LCFAEEs n.d.1.40 ± 0.11 b1.16 ± 0.07 b1.54 ± 0.02 b1.35 ± 0.08 b1.60 ± 0.16 b2.11 ± 0.30 a
Other Ester5.193Isobutyl butyrate<11000.02 ± 0.00n.d.n.d.n.d.n.d.n.d.n.d.
6.296Isobutyl butyrate<11000.03 ± 0.00n.d.n.d.n.d.n.d.n.d.n.d.
28.261Ethyl 3-acetoxybutyrate15520.03 ± 0.00n.d.n.d.n.d.n.d.n.d.n.d.
37.298Hydrocinnamyl isobutyrate18330.02 ± 0.00n.d.n.d.n.d.n.d.n.d.n.d.
∑ Other Ester 0.09 ± 0.01n.d.n.d.n.d.n.d.n.d.n.d.
2.825Ethanol<11000.06 ± 0.03 b59.73 ± 4.65 a68.43 ± 3.21 a57.21 ± 2.93 a62.70 ± 0.63 a67.91 ± 4.07 a65.83 ± 12.30 a
HA5.658Isobutyl alcohol<1100n.d.1.56 ± 0.08 ab1.61 ± 0.17 ab1.40 ± 0.02 b1.93 ± 0.18 a1.56 ± 0.09 ab1.72 ± 0.29 ab
9.2022-Methyl-1-butanol11680.04 ± 0.01n.d.n.d.n.d.n.d.n.d.n.d.
9.733Isoamyl alcohol1185n.d.18.70 ± 0.76 b19.21 ± 0.29 ab20.21 ± 0.84 ab22.07 ± 1.62 ab20.11 ± 0.65 ab24.17 ± 3.45 a
19.6302-Octanol14040.02 ± 0.00 an.d.n.d.n.d.n.d.n.d.n.d.
23.3852-Ethyl-1-hexanol14750.05 ± 0.00n.d.n.d.n.d.n.d.n.d.n.d.
26.0112,3-Butanediol1518n.d.1.08 ± 0.04 ab0.62 ± 0.10 bc1.38 ± 0.34 a0.41 ± 0.11 cd0.42 ± 0.22 cdn.d.
32.746(Z)-3-Nonen-1-ol16040.02 ± 0.00n.d.n.d.n.d.n.d.n.d.n.d.
33.213Methionol1609n.d.n.d.n.d.n.d.n.d.0.32 ± 0.04 a0.25 ± 0.00 b
33.598(6 Z)-Nonen-1-ol16130.03 ± 0.01n.d.n.d.n.d.n.d.n.d.n.d.
34.218(E,Z)-3,6-Nonadien-1-ol16200.06 ± 0.01 c0.12 ± 0.01 ab0.12 ± 0.00 ab0.12 ± 0.02 ab0.11 ± 0.00 bc0.10 ± 0.02 bc0.17 ± 0.04 a
36.150Benzyl alcohol17940.01 ± 0.00 cn.d.n.d.n.d.0.98 ± 0.14 a0.18 ± 0.01 b0.16 ± 0.02 bc
36.6962-Phenylethanol18130.02 ± 0.00 d4.71 ± 0.24 c5.46 ± 0.44 bc6.45 ± 0.48 b5.75 ± 0.53 bc6.80 ± 0.30 ab8.16 ± 0.96 a
41.0302,4-Di-tert-butylphenol22130.01 ± 0.00 c1.75 ± 0.04 b1.99 ± 0.08 ab1.94 ± 0.02 ab2.35 ± 0.27 a1.88 ± 0.12 ab2.28 ± 0.29 a
∑ HA 0.27 ± 0.03 c27.92 ± 0.98 b29.01 ± 0.57 ab31.51 ± 1.66 ab33.60 ± 2.73 ab31.38 ± 0.44 ab36.92 ± 4.88 a
Other volatiles10.207Styrene1199n.d.n.d.n.d.0.27 ± 0.03 n.s.0.27 ± 0.030.22 ± 0.010.29 ± 0.06
19.2911,3-Di-tert-butylbenzene13920.02 ± 0.01 c0.67 ± 0.06 b0.64 ± 0.03 b0.88 ± 0.08 ab1.04 ± 0.24 a0.85 ± 0.05 ab0.86 ± 0.07 ab
34.810Oxime-methoxy phenyl18030.02 ± 0.00 c0.47 ± 0.04 b0.56 ± 0.04 ab0.60 ± 0.04 ab0.69 ± 0.06 a0.69 ± 0.07 a0.76 ± 0.13 a
38.577Octanoic acid1876n.d.1.87 ± 0.36 b1.97 ± 0.28 b2.06 ± 0.18 b1.54 ± 0.12 b2.01 ± 0.25 b3.02 ± 0.53 a
Mean (n = 3 ± SE). RT: Retention time. KI: Kovats index. n.d.: not detected. Different letters in the same row indicate significant differences (p < 0.05) among must, still wine, and sparkling process. AHA: Acetate higher alcohol. SCFAEEs: Short-chain fatty acid ethyl ester. MCFAEEs: Medium-chain fatty acid ethyl ester. LCFAEEs: Long-chain fatty acid ethyl ester. HA: Higher alcohols. ns: statistically non-significant differences.
Table 7. Evolution of principal odor activity value (OAV > 1) in enriched must, still wine, and during the sparkling process of melon-based wine (10 weeks).
Table 7. Evolution of principal odor activity value (OAV > 1) in enriched must, still wine, and during the sparkling process of melon-based wine (10 weeks).
CompoundsOTHMustStill WineSparkling Wine (Weeks)Odor Descriptor
246810
AHA
Isobutyl acetate1.605<12.2 ± 0.1 b3.0 ± 0.4 b2.9 ± 0.4 b4.2 ± 0.9 a2.6 ± 0.2 b2.4 ± 0.3 bSweet, fruity, banana, tropical
Isoamyl acetate0.0317.7 ± 1.1 c480.9 ± 11.8 b495.9 ± 2.1 b512.9 ± 34.2 b483.7 ± 39.7 b503.4 ± 32.1 b646.8 ± 93.2 aSweet banana, and fruity
3,6-Nonadienyl acetate0.015<183.1 ± 0.5 bc59.2 ± 26.2 c108.2 ± 17.4 abc72.3 ± 22.4 c132.1 ± 30.6 ab121.7 ± 18.3 aFruity
2-Phenylethyl acetate0.25<115.4 ± 1.3 b16.4 ± 1.0 b16.3 ± 1.3 b17.0 ± 1.8 b16.1 ± 0.6 b20.5 ± 2.4 aRoses and honey aroma
SCFAEE
Ethyl butanoate0.61.1 ± 0.1 ab1.1 ± 0.1 b<1<1<1<11.4 ± 0.2 aFruity, sweet, tutti frutti, apple
Ethyl 2-methylbutyrate0.07410.5 ± 0.9 a2.3 ± 0.2 c2.7 ± 0.4 bc2.8 ± 0.3 bc2.6 ± 0.2 c2.7 ± 0.1 bc4.3 ± 0.6 bSharp, sweet, green apple, fruity
MCFAEE
Ethyl hexanoate0.11.9 ± 0.2 b23.6 ± 1.3 a24.1 ± 2.4 a22.4 ± 0.5 a20.7 ± 0.1 a21.8 ± 2.1 a23.4 ± 2.4 aApple peel fruit
Ethyl octanoate0.6<139.6 ± 3.4 cd34.1 ± 1.6 d55.7 ± 5.4 bc55.5 ± 4.7 bc59.1 ± 5.4 b74.3 ± 13.0 aPineapple, pear, soapy
Ethyl decanoate0.2<178.9 ± 8.0 d83.7 ± 1.3 d112.5 ± 3.2 bc92.2 ± 5.2 cd121.1 ± 13.2 b141.9 ± 18.3 aSweet, fruity, nuts, dried fruit
Ethyl 9-decenoate0.1<114.8 ± 3.3 ab16.7 ± 0.7 ab14.2 ± 1.9 b11.2 ± 0.4 b13.5 ± 1.4 b18.9 ± 3.5 aFloral
Ethyl laurate0.5<1<12.0 ± 0.5 b3.2 ± 0.2 a1.0 ± 0.2 c<1<1Sweet
LCFAEE
Ethyl tetradecanoate0.5<11.5 ± 0.0 b1.1 ± 0.2 bc1.4 ± 0.1 bc1.4 ± 0.2 bc1.5 ± 0.2 a1.4 ± 0.2 bcSweet fruit, butter, fatty odor
Ethyl hexadecanoate1<1<1<1<1<1<11.4 ± 0.2Fruity, concord grape
HA
(6Z)-Nonen-1-ol0.00132.2 ± 5.3<1<1<1<1<1<1Sweet, fatty, melon-like
(E,Z)-3,6-Nonadien-1-ol0.00320.2 ± 2.0 c41.6 ± 2.9 b41.3 ± 0.2 b41.6 ± 5.2 b36.9 ± 0.7 bc33.6 ± 6.9 bc56.4 ± 14.5 aMelon-like, leafy, nutty odor
Mean (n = 3 ± SE). Different letters in the same row indicate significant differences (p < 0.05) among must, still wine, and sparkling process. OAV value < 1. OTH: Odor threshold.
Table 8. Sensory evaluation of the melon sparkling wine at 10 weeks of storage.
Table 8. Sensory evaluation of the melon sparkling wine at 10 weeks of storage.
Organoleptical CharacteristicsSparkling Melon-WineRange
(Excellent to Inadequate)
Visual14.44 z ± 0.24(15–3)
Limpidity4.67 ± 0.17(5–1)
Aspect other than limpidity9.78 ± 0.22(10–2)
Nose28.67 ± 0.69(30–12)
Genuineness5.78 ± 0.15(6–2)
Positive intensity7.78 ± 0.15(8–2)
Quality15.11 ± 0.48(16–8)
Taste39.11 ± 0.99(44–18)
Genuineness5.44 ± 0.18(6–2)
Positive intensity7.11 ± 0.11(8–2)
Harmonious persistence7.22 ± 0.22(8–4)
Quality19.33 ± 0.60(22–10)
Harmony-Overall judgement9.89 ± 0.20(11–7)
TOTAL92.11 ± 1.77(100–40)
z Mean (n = 14 ± SE).
Disclaimer/Publisher’s Note: The statements, opinions and data contained in all publications are solely those of the individual author(s) and contributor(s) and not of MDPI and/or the editor(s). MDPI and/or the editor(s) disclaim responsibility for any injury to people or property resulting from any ideas, methods, instructions or products referred to in the content.

Share and Cite

MDPI and ACS Style

Salas-Millán, J.Á.; Aguayo, E.; Conesa-Bueno, A.; Aznar, A. Revalorization of Melon By-Product to Obtain a Novel Sparkling Fruity-Based Wine. Foods 2023, 12, 491. https://doi.org/10.3390/foods12030491

AMA Style

Salas-Millán JÁ, Aguayo E, Conesa-Bueno A, Aznar A. Revalorization of Melon By-Product to Obtain a Novel Sparkling Fruity-Based Wine. Foods. 2023; 12(3):491. https://doi.org/10.3390/foods12030491

Chicago/Turabian Style

Salas-Millán, José Ángel, Encarna Aguayo, Andrés Conesa-Bueno, and Arantxa Aznar. 2023. "Revalorization of Melon By-Product to Obtain a Novel Sparkling Fruity-Based Wine" Foods 12, no. 3: 491. https://doi.org/10.3390/foods12030491

APA Style

Salas-Millán, J. Á., Aguayo, E., Conesa-Bueno, A., & Aznar, A. (2023). Revalorization of Melon By-Product to Obtain a Novel Sparkling Fruity-Based Wine. Foods, 12(3), 491. https://doi.org/10.3390/foods12030491

Note that from the first issue of 2016, this journal uses article numbers instead of page numbers. See further details here.

Article Metrics

Back to TopTop