Next Article in Journal
High Hydrostatic Pressure Treatments Improved Properties of Fermentation of Apple Juice Accompanied by Higher Reserved Lactobacillus plantarum
Previous Article in Journal
Bifidobacterium animalis A12 and Lactobacillus salivarius M18-6 Alleviate Alcohol Injury by keap1-Nrf2 Pathway and Thioredoxin System
 
 
Font Type:
Arial Georgia Verdana
Font Size:
Aa Aa Aa
Line Spacing:
Column Width:
Background:
Article

Analysis of Akkermansia muciniphila in Mulberry Galacto-Oligosaccharide Medium via Comparative Transcriptomics

1
Sericultural & Agri-Food Research Institute, Guangdong Academy of Agricultural Sciences/Key Laboratory of Functional Foods, Ministry of Agriculture and Rural Affairs/Guangdong Key Laboratory of Agricultural Products Processing, Guangzhou 510610, China
2
College of Food Science, South China Agricultural University, Guangzhou 510642, China
3
Sericultural & Agri-Food Research Institute, Guangdong Academy of Agricultural Sciences, No. 133 Yiheng St., Dongguanzhuang Rd., Tianhe District, Guangzhou 510610, China
*
Author to whom correspondence should be addressed.
Foods 2023, 12(3), 440; https://doi.org/10.3390/foods12030440
Submission received: 23 November 2022 / Revised: 21 December 2022 / Accepted: 11 January 2023 / Published: 17 January 2023
(This article belongs to the Section Food Microbiology)

Abstract

Akkermansia muciniphila is a common member of the human gut microbiota and belongs to the phylum Verrucomicrobia. Decreased levels of A. muciniphila are associated with many diseases, so it is thought to be a beneficial resident of the intestinal mucosal layer. In this study, we found that different prebiotics promoted the proliferation of A. muciniphila, and mulberry galacto-oligosaccharide (MGO) had the greatest effect. We cultured A. muciniphila in a brian heart infusion (BHI) medium containing 5% galactooligosaccharides (GOS), mulberry polysaccharide solution (MPS), and MGO, and transcriptomic analyses were performed. The results revealed that, after 6 days of cultivation, the numbers of upregulated functional genes (based on Gene Ontology) were approximately 0.7 and 19% higher with MPS and MGO, respectively, than with GOS. Analysis using the Kyoto Encyclopedia of Genes and Genomes showed that, when A. muciniphila was cultured with MGO, genes that were upregulated were enriched in the carbohydrate metabolism, the metabolism of cofactors and vitamins, the energy metabolism, the amino acid metabolism, and the lipid metabolism. Upregulated genes included galM and pfkA in the galactose metabolism, and pgi, pfk, fbaA, tpiA, gapA, pgk, gpml, eno, pyk, and lpd in the glycolysis/gluconeogenesis pathway. Real-time quantitative PCR results were consistent with the RNA-Seq data. This work provides valuable knowledge which can be available for the functional application of A. muciniphila and MGO.

1. Introduction

In recent years, research on the biological activities of plant functional polysaccharides has mainly focused on the regulation of sugar and lipid homeostasis, enhancing immunity, and improving the intestinal microbiota. Because plant functional polysaccharides have extremely low toxicity and few side effects, they are particularly widely used in the prevention and treatment of chronic diseases such as diabetes, obesity, and metabolic syndrome in humans [1,2]. Mulberry is widely cultivated in Asia, and it has various health benefits such as regulating sugar homeostasis, immune regulation, and acting as a laxative for humans [3,4]. Mulberry polysaccharides have been confirmed to play an important role in many biological activities of mulberry [5]. Chen et al. reported that mulberry polysaccharide has good antioxidant activity and can inhibit the absorption of glucose by inhibiting the activities of α-amylase and α-glucosidase in vitro [6]. Mulberry polysaccharide can upregulate the expression of the insulin receptor InsR, insulin substrate receptor IRS-2, and glucose transporter in type II diabetic rats and lower insulin resistance [7].
Polysaccharide can improve the proliferation rate of probiotic microbes in vitro. Huebner discovered that inulin, galactooligosaccharides, and fructooligosaccharides had proliferative effects on Lactobacilli and Bifidobacterium. Inulin can promote the highest proliferation rate of Lactobacillus casei strain 1195 [8]. We found that mulberry oligosaccharide prepared via the enzymatic hydrolysis of mulberry polysaccharide had a proliferative effect on Lactobacillus rhamnosus GG [9]. Increased probiotics in the body have many health effects, such as lowering blood sugar, improving obesity, and protecting the mucosal barrier of the gut [10,11]. Mulberry oligosaccharides can improve the glucose metabolism defect in type II diabetic mice by regulating the structure of the gut microbiota [12]. Based on current research, the effects of probiotics on general health are far from proven.
Akkermansia muciniphila (A. muciniphila) is an anaerobic Gram-negative bacterium that colonizes the mucus layer of the intestinal lumen. It has been isolated and cultured from human feces in recent years. It belongs to the phylum Verrucomicrobia and has a special function of degrading mammalian intestinal mucins [13]. The relationship between the bacterium and host metabolism is reflected not only in the energy intake, use, and consumption related to glucose, protein, and lipid metabolism, but also in the health of the mucus layer and the mucosal immune response [14]. A. muciniphila is significantly associated with type II diabetes. Populations with high abundances of A. muciniphila showed better metabolic statuses, especially in insulin sensitivity, fasting blood glucose, plasma triglycerides, and body fat distribution [15]. In type II diabetic mice, supplementation with oligofructose increased the amount of A. muciniphila in the gut and decreased insulin resistance [16]. Changes in the amount of A. muciniphila are important indications for the occurrence and development of diabetes. Ellekilde found that the content of A. muciniphila in average people is higher than that in prediabetic people. With the deterioration of glucose tolerance, the amount of A. muciniphila in the body further decreased or even disappeared, and the amount of A. muciniphila in the gut is negatively correlated with the occurrence of type II diabetes [17]. Everard administered A. muciniphila to obese and type II diabetic mice and found that high-fat-diet-induced metabolic disturbances, such as increased fat content, endotoxemia, adipose tissue inflammation, and insulin resistance, were decreased. This change may be achieved by increasing the level of endocannabinoids in the gut to regulate inflammation, the intestinal barrier, and intestinal peptide secretion [16].
In this study, we used transcriptomic analyses to explore the responses of A. muciniphila to the addition of different prebiotics to a BHI medium, and the underlying mechanism was interpreted. Real-time quantitative PCR experiments were performed on selected differential genes to verify the accuracy and repeatability of the RNA-seq data. Our findings provide a theoretical basis for the future development of mulberry prebiotics compounded with A. muciniphila as an intestinal prebiotic.

2. Materials and Methods

2.1. Chemicals and Strain

Galactooligosaccharides (GOSs) and isomaltooligosaccharides (IMOs) were purchased from Yuan-ye Co. (Shanghai, China). BHI medium and agar powder were purchased from Guangdong Huankai Microbial Sci. & Tech. Co., Ltd. (Guangzhou, China). Pectinase (1000 U/mg), glucoamylase (100 U/mg), xylanase (6000 U/mg), β-glucanase (50 U/mg), and α-amylase (3700 U/g) were purchased from Guangzhou Qiyun Biotechnology Co., Ltd. (Guangzhou, China). β-Mannanase (50 U/mg) was from Yuan-ye Co. (Shanghai, China).
A. muciniphila ATCC BAA-835 was purchased from the BeNa Culture Collection and stored in an anaerobic tube with 25% glycerol at −80 °C. It was a stationary culture for 3 days at 37 °C in 10 mL of BHI medium in a carbon dioxide incubator in an anaerobic chamber, to guarantee an oxygen-free environment.

2.2. Preparation, Isolation, and Purification of Mulberry Oligosaccharides

Mulberry polysaccharides (MPSs) were prepared following the method described by Chen et al. [18]. For the enzymatic hydrolysis of polysaccharides, MPSs were incubated with different individual enzymes (5%; pectinase, glucoamylase, β-mannanase, xylanase, β-glucanase, and α-amylase) at 50 °C for 4 h. Mulberry oligosaccharides (MOSs) produced from MPS via digestion with β-mannanase had the greatest effect on the proliferation of A. muciniphila in experiments. Mulberry oligosaccharides (MOSs) were prepared by incubating MPS with 5% (w/v) β-mannanase at 50 °C for 4 h, and then lyophilized.
MOSs were dissolved in water (10% w/v) and then loaded onto a DEAE-52 cellulose column (2.5 × 25 cm), previously equilibrated with water. The column was eluted with water and a step gradient of 0.1 and 0.3 mol/L NaCl at a flow-rate of 1 mL/min. The eluates were collected with an automatic collector (10 mL in one tube). The elution profile was detected using the phenol-sulfuric acid assay. It could be divided into three main elution peaks, namely MOS-I, MOS-II, and MOS-III, which were then lyophilized. MOS-I was selected for further fractionation because of its higher proliferation rate on A. muciniphila proliferation. Size-exclusion chromatography on a Sephadex G-100 column (2.5 × 25 cm) with water at a flow-rate of 1 mL/min yielded a fraction which was named MOS-Ia and then lyophilized. On the basis of previous results, the purified oligosaccharide was composed of galactose. The average molecular weight was 987 Da [19]. Because it solely contains galactose, it was named mulberry galacto-oligosaccharide (MGO).
The number of colony-forming units of colonies of A. muciniphila in BHI agar medium with no added oligosaccharide was defined as having a proliferation level of 100%, where the proliferation level was calculated as:
Proliferation   level = The   number   of   colonies   in   BHI   agar   medium   with   oligosaccharide The   number   of   colonies   in   BHI   agar   medium   with   no   oligosaccharide × 100 %

2.3. Effects of Different Prebiotics on the Growth of A. muciniphila

The positive control group was the GOS group. The negative control group was medium without any added oligosaccharide. GOS, MPS, or MGO were added to BHI medium to achieve the concentration at 5% (w/v). Then, the medium was anaerobically cultured and inoculated with 5% (v/v) of culture of A. muciniphila for 5 days. Samples were plated every day to calculate the number of colonies.

2.4. RNA-Seq and Real-Time Quantitative PCR (RT-qPCR) Validation

2.4.1. Bioinformatic and Differential Expression Analyses

The maximum biomass stage of A. muciniphila growth (after 6 days of anaerobic culture) was selected as the sampling time point for comparative transcriptomics. There were three replicates per group. A total RNA extractor extracted the total RNA following the method described by Li et al. [9]. RNA quality was determined with a 2100 Bioanalyser (Agilent Technologies Co., Ltd., Colorado Springs, CO, USA) and quantified using an ND-2000 (NanoDrop Technologies/Thermo Scientific, Wilmington, DE, USA). An RNA-Seq transcriptome library was prepared with the TruSeq RNA Sample Preparation Kit from Illumina (San Diego, CA, USA) using 2 μg of total RNA. Shortly after preparation, ribosomal (r)RNA depletion was performed using the Ribo-Zero Magnetic Kit (Epicenter); then, all mRNAs were broken into short fragments by adding fragmentation buffer. The data generated by the Illumina platform would be used to analyze bioinformatics. The data were analyzed using the online platform Majorbio Cloud Platform (www.Majorbo. com (accessed on 3 September 2021)) at Shanghai Majorbio Bio-pharm Technology Co., Ltd., Shanghai China. For each data set, and for each alignment and quantification protocol, we identified differentially expressed genes (DEGs) by using the edgeR, DESeq2, and DESeq packages.

2.4.2. Gene Ontology (GO) and Kyoto Encyclopedia of Genes and Genomes (KEGG) Enrichment Analysis

DEGs between the control group (BHI medium group) and treatment groups (5% (w/v) GOS added to the BHI medium group, 5% (w/v) MPS added to the BHI medium group, and 5% (w/v) MGO added to BHI medium group) were assigned using GO and KEGG.

2.4.3. Validation of RNA-Seq Results by RT-qPCR

Thirteen DEGs associated with the galactose metabolism (galM, pfkA, and pgm) or glycolysis/gluconeogenesis (pgi, pfk, fbaA, tpiA, gapA, pgk, gpml, eno, pyk, and lpd) were employed to validate the RNA-seq results. Gene names and primer sequences used for RT-qPCR are shown in Table 1. The PCR programs included 40 cycles of 95 °C for 5 s, annealing at 55 °C for 30 s, and extension at 72 °C for 40 s. The 16S rRNA gene was an internal standard to normalize gene expression. Three independent repetitions were performed for each sample, and the 2−ΔΔCt method was used to calculate the relative expression levels of genes.

2.5. Statistical Analysis

All experiments were represented as the mean ± standard deviation of three replicated measurements, and the results were analyzed using SPSS-19 software (Chicago, IL, USA). Statistical significance (p < 0.05) between treatments was analyzed using one-way analysis of variance, followed by Duncan’s multiple-range test.

3. Results and Discussion

3.1. Proliferation of A. muciniphila Cultured with Different Carbohydrates

In this study, MOS was produced from MPS via digestion with different kinds of enzymes (pectinase, glucoamylase, β-mannanase, xylanase, β-glucanase, and α-amylase). Using commercial prebiotics (GOS and IMO) as controls, the effects of mulberry oligosaccharides with different concentrations on the proliferation of A. muciniphila were investigated (Table 2). It was found that the effect of mulberry oligosaccharide prepared by adding 5% β-mannanase was the greatest on the proliferation of A. muciniphila. The proliferation of the bacterium following treatment with mulberry oligosaccharide produced using 5% β-mannanase (652% ± 9.9%) was superior to that following treatment with GOS (582% ± 10.2%). We speculate that the composition of the sugar chain after enzymatic hydrolysis is an important factor affecting the proliferation of A. muciniphila.
The mulberry oligosaccharides prepared using β-mannanase were separated into three fractions—MOS-1, MOS-2, and MOS-3 via DEAE-cellulose column chromatography (Figure 1A). When adding 5% (w/v) MOS-1, the proliferation level of A. muciniphila was 781% ± 10.5 (Table 3). MOS-I was further separated via Sephadex G-100 chromatography in distilled water (Figure 1B). A fraction termed MOS-Ia was obtained, which showed a single peak in the chromatogram. On the basis of our previous research, MOS-Ia is composed of galactose. The average molecular weight was 987 Da. We named it mulberry galactooligosaccharide (MGO), because the oligosaccharide only contains galactose units [19]. Figure 1C shows the growth curves of A. muciniphila in different BHI media when adding 5% (w/v) GOS, MPS, or MGO. When cultured for 6 days, the total number of colonies reached a maximum value of about 7.8×108 colony-forming units (CFU)/mL with the addition of 5% (w/v) MGO. The number of CFU increased about by fivefold in MGO medium compared with the control (BHI with no added prebiotics, 1.5 × 108 CFU/mL). Since the total number of A. muciniphila colonies reached the maximum value on the sixth day, the following transcriptome sequencing experiments were performed after 6 days of culture.
The degree of polymerization affects the proliferation of probiotics caused by prebiotics. Prebiotics with a low degree of polymerization are more readily available to probiotics. Compared with MPS, IMO, or GOS, it was found that MGO had the lowest degree of polymerization, which had a greater proliferative effect on A. muciniphila. In addition to the degree of polymerization, the chemical structure, monosaccharide composition, degree of branching, and water solubility have an impact on the prebiotic effects. Therefore, a simple chemical structure, high water solubility, and more branches ending in carbohydrate chains in oligosaccharides are considered to have better proliferative effects on probiotics.

3.2. Differential Gene Expression for Analysis

3.2.1. Cluster Analysis of Differential Gene Expression

The Pearson correlation coefficient is shown in Figure 2. The higher the intensity of the red color, the higher the correlation between two samples and a smaller difference between them. The biological duplication from each group had good repeatability, and the group composed of BHI and GOS was significantly different from the groups composed of MPS and MGO.

3.2.2. Identification of DEGs

In order to clarify the gene expression responses of A. muciniphila in different prebiotic treatments, transcriptomic analysis was carried out to identify the DEGs after 6 days of culture. A total of 1277, 1216, and 1240 genes were upregulated when GOS, MPS, and MGO were added to the BHI medium, respectively. Furthermore, 1150, 1205, and 1185 genes were shown to be downregulated. In the respective media, the expression of 159, 165, and 161 genes did not change. Statistical analyses are shown in volcano plots in Figure 3.
As shown in supplementary excel 1, 119, 195, and 187 genes were upregulated when GOS, MPS, or MGO was added to the BHI medium, with a more than 2 log2-fold change. Genes AMUC_RS05445, AMUC_RS06065, AMUC_RS07280, AMUC_RS07405, AMUC_RS08975, and AMUC_RS09930, which, respectively, encode a hypothetical protein, M15 family metallopeptidase, DUF1778 domain-containing protein, acyltransferase, nicotinate-nucleotide-dimethylbenzimidazole phosphoribosyltransferase, and DUF2075 domain-containing protein, were highly expressed. The M15 family metallopeptidase of the zinc-binding metallopeptidase family, which contains mostly carboxypeptidases and dipeptidases, is involved in bacterial cell wall biosynthesis and metabolism [20]. Acyltransferase A was found to only have affinity for short-chain aliphatic amides with maximum activity towards acetamide [21]. Nicotinate-nucleotide–dimethylbenzimidazole phosphoribosyltransferase catalyzes the synthesis of alpha-ribazole-5′-phosphate from nicotinate mononucleotide and 5,6-dimethylbenzimidazole [22].

3.3. GO Annotation Analysis of DEGs

To clarify the changes that occur in biological processes of A. muciniphila on treatment with different prebiotics, GO term enrichment analysis was performed on the up- and downregulated genes identified via RNA-Seq analysis. As shown in Figure 4, upregulated GO functional gene enrichment analysis resulted in a list of affected biological processes, cellular components, and molecular functions. The molecular function category contained the greater part of the GO annotations, followed by the biological process and cellular component categories. In molecular function, the main affected categories were ATP binding, DNA binding, and metal ion binding. In the cellular component ontology, most DEGs were associated with the integral components of membrane, cytoplasm, and ribosome. Among the biological process, most enriched DEGs were in translation, cell redox homeostasis, and glycolytic processes. The upregulated GO functional gene component categories for the GOS, MPS, and MGO treatments contained 556, 560, and 659 genes, respectively; that is, the value was highest when MGO was added to A. muciniphila cultures.

3.4. KEGG Analysis of DEGs

To further identify changes in biochemical pathways following different prebiotic treatments, we used the KEGG database to map DEGs [23]. KEGG pathways containing DEGs were identified for analysis (Figure 5). Among them, the maximum number of DEGs of five pathways when the BHI medium was cultured with MGO were the carbohydrate metabolism, the metabolism of cofactors and vitamins, the energy metabolism, the amino acid metabolism, and the lipid metabolism.
MGO is an oligosaccharide which only contains galactose units. Combined with the KEGG pathology analysis results, we supposed that the MGO-dependent proliferation mechanism of A. muciniphila stimulates genetic changes which correlate with the carbohydrate metabolism, especially the galactose metabolism and glycolysis/gluconeogenesis. Thus, in order to understand the molecular mechanisms underlying the effects of MGO on the galactose metabolism and glycolysis/gluconeogenesis, we screened DEGs related to these two pathways in the transcriptomic sequencing results (Table 4).
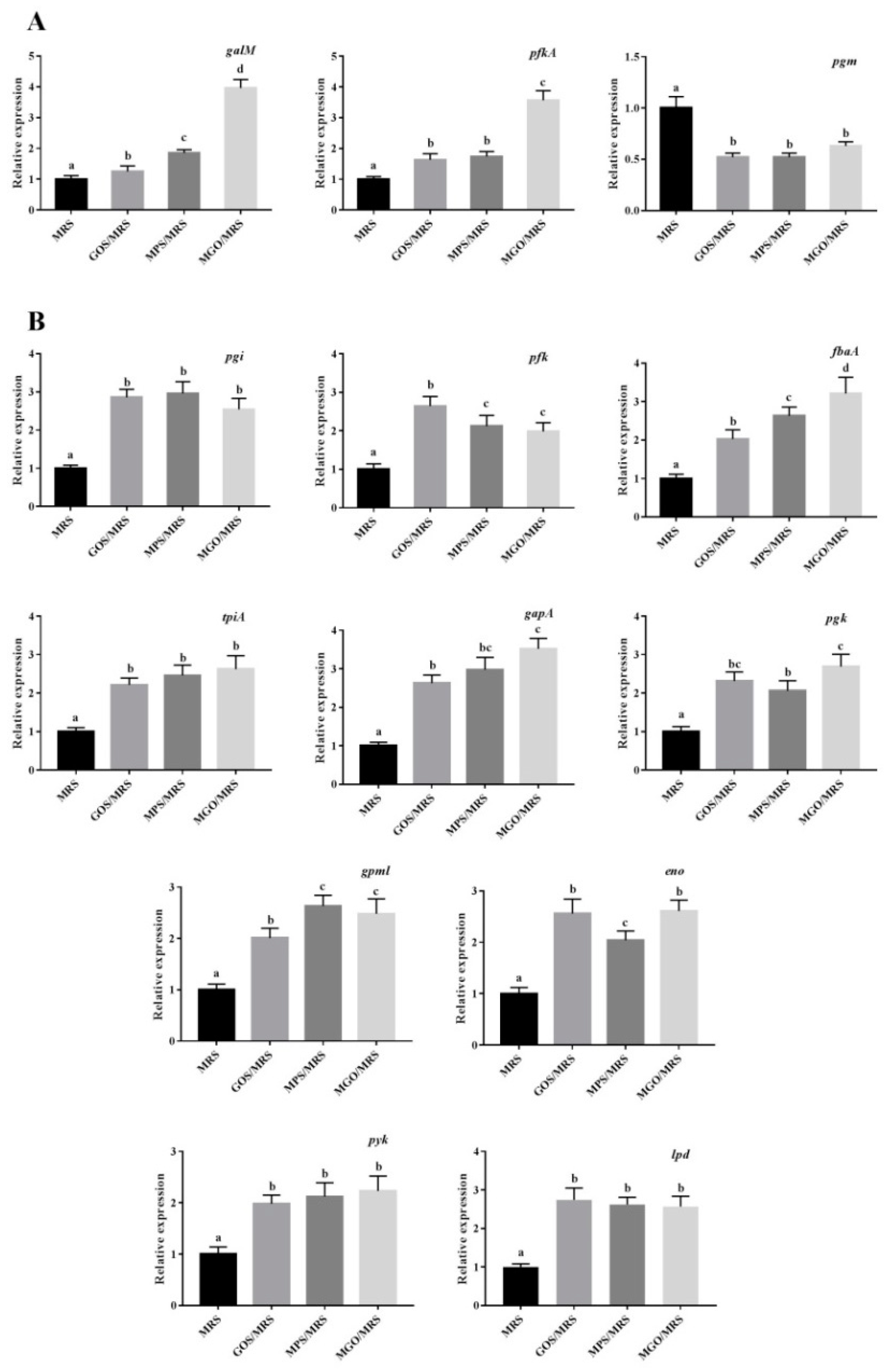
Two DEGs (galM and pfkA) were upregulated and one (pgm) was downregulated in relation to the galactose metabolism. RT-qPCR data (Figure 6A) were almost the same as the gene expression obtained from RNA-Seq, indicating that the data from the RNA-seq were reliable. In RT-qPCR, the mRNA levels of galM and pfkA increased by 396% and 357%, respectively, and that of pgm was decreased to 63% when the addition of MGO into the BHI medium reached 4% (w/v).
In the KEGG, galM is assigned as galactose mutarotase. Galactose mutarotase is an important metabolism-related enzyme in bacteria which catalyzes the change in the optical rotation of α-D-galactose to generate β-D-galactose, the only substrate of galactose kinase. Galactose mutarotase is thus a key enzyme in the process of galactose metabolism and an important member of the galactose operon [24,25,26,27]. The KEGG pathway assignment of pfkA is 6-phosphofructokinase. The 6-phosphofructokinase enzyme is the rate-limiting enzyme of the glycolytic pathway; its activity strictly controls the rate of glycolysis and greatly affects the use of hexoses by bacteria. The 6-phosphofructokinase enzyme is a key node in the glucose metabolism, which is accompanied by a large amount of energy consumption. The loss of 6-phosphofructokinase leads to an imbalance of reducing power, which affects downstream metabolic pathways, including pathways related to nitrogen fixation. Therefore, in bacteria, it directly affects the use of carbon sources [28,29,30,31].
Eleven DEGs (pgi, pfk, fbaA, tpiA, gapA, pgk, gpml, eno, pyk, and lpd) involved in glycolysis/gluconeogenesis were upregulated, and one (pgm) was downregulated when the addition of MGO into the BHI medium reached 4% (w/v) (Figure 6B). The DEGs were proven via RT-qPCR, which showed that pgi, pfk, fbaA, tpiA, gapA, pgk, gpml, eno, pyk, and lpd expression was promoted by 254, 198, 321, 262, 352, 269, 248, 261, 223, and 257% when A. muciniphila was grown in BHI medium with 4% (w/v) MGO.
The pgi in KEGG pathway is glucose-6-phosphate isomerase. Glucose-6-phosphate isomerase exists in eukaryotes and prokaryotes, and it is a multifunctional enzyme whose main function is to catalyze the mutual conversion between glucose-6-phosphate and fructose-6-phosphate in the process of glycolysis [32,33,34,35,36]. tpiA encodes triose-phosphate isomerase, an enzyme in the glycolytic pathway. In this pathway, 1,6-diphosphate fructose reacts with aldolase to generate dihydroxyacetone phosphate and glyceraldehyde 3-phosphate. Dihydroxyacetone phosphate and glyceraldehyde 3-phosphate can be interconverted under the catalysis of triose-phosphate isomerase; glyceraldehyde 3-phosphate will continue to be catalyzed to pyruvic acid [37,38,39]. The KEGG pathway assignment of eno is phosphopyruvate hydratase. Phosphopyruvate hydratase is a key enzyme in the glucose metabolism pathway and is expressed abundantly in the cytoplasm of many organs. Its role is to convert 2-phospho-glycerate into phosphoenolpyruvate [40,41]. The KEGG pathway assignment of pyk is pyruvate kinase. Pyruvate kinase is involved in the last reaction of glycolysis and is one of the main rate-limiting enzymes in the process [42]. It catalyzes the synthesis of one molecule of adenosine triphosphate and pyruvate from adenosine diphosphate and phosphoenolpyruvic acid, which requires the participation of Mg2+ [43]. Pyruvate kinase is produced in all cells and tissues capable of glycolysis, and its metabolites, adenosine triphosphate and pyruvate, are used in numerous biosynthetic pathways [44,45]. Pyruvate kinase is a master regulator that controls adenosine triphosphate production in glycolysis and is considered a potential drug target [46,47]. However, because of the conserved structure of the active site of pyruvate kinase and its central role in glycolysis in all organisms, the development of selective inhibitors against the active site of this enzyme has been difficult.

4. Conclusions

In the present study, MGO was found to be a good stimulus to proliferate A. muciniphila. We discovered that after adding MGO to the BHI medium, GO functional analysis revealed that 659 genes were upregulated in A. muciniphila. These genes were mainly enriched in ATP binding, an integral component of membranes, and translation. When DEGs were mapped to the KEGG database, the upregulated genes were enriched in the carbohydrate metabolism, the metabolism of cofactors and vitamins, the energy metabolism, the amino acid metabolism, and the lipid metabolism. In the significantly up-regulated genes, galM and pfkA are relevant to the galactose metabolism, and pgi, pfk, fbaA, tpiA, gapA, pgk, gpml, eno, pyk, and lpd are relevant to the glycolysis/gluconeogenesis pathway. Our research provides a more in-depth theoretical basis for the application of A. muciniphila and MGO.

Supplementary Materials

The following supporting information can be downloaded at: https://www.mdpi.com/article/10.3390/foods12030440/s1, Table S1: DEGs in A. muciniphila cultured for 6 days in different media.

Author Contributions

E.L.: methodology, software, funding acquisition, and writing—original draft. S.L. (Shipei Li): software and investigation. F.L.: formal analysis. Q.L.: methodology. D.P.: software. H.W.: methodology. S.L. (Sentai Liao): funding acquisition. Y.Z.: project administration. All authors have read and agreed to the published version of the manuscript.

Funding

This work was supported by the Science & Technology Projects of Guangzhou City (202102020965), Key Field R&D Project of Guangdong Province (2019B020213001), Agricultural competitive industry discipline team building project of Guangdong Academy of Agricultural Sciences (No. 202119TD), Guangdong Modern Agricultural Industry Technology System Innovation Team (2022KJ124, 2022KJ117), Science and Technology Plan Project of Guangxi Province (AB21196040).

Data Availability Statement

The data are available from the corresponding author.

Conflicts of Interest

The authors declare that they have no conflict of interest.

References

  1. Shi, L. Bioactivities, isolation and purification methods of polysaccharides from natural products: A review. Int. J. Biol. Macromol. 2016, 92, 37–48. [Google Scholar] [CrossRef] [PubMed]
  2. Villares, A.; Mateo-Vivaracho, L.; Guillamón, E. Structural features and healthy properties of polysaccharides occurring in mushrooms. Agriculture 2012, 2, 452–471. [Google Scholar] [CrossRef]
  3. Liu, C.-J.; Lin, J.-Y. Anti-inflammatory and anti-apoptotic effects of strawberry and mulberry fruit polysaccharides on lipopolysaccharide-stimulated macrophages through modulating pro-/anti-inflammatory cytokines secretion and Bcl-2/Bak protein ratio. Food Chem. Toxicol. 2012, 50, 3032–3039. [Google Scholar] [CrossRef] [PubMed]
  4. Chen, C.; Wang, P.-p.; Huang, Q.; You, L.-J.; Liu, R.H.; Zhao, M.-m.; Fu, X.; Luo, Z.-G. A comparison study on polysaccharides extracted from Fructus Mori using different methods: Structural characterization and glucose entrapment. Food Funct. 2019, 10, 3684–3695. [Google Scholar] [CrossRef] [PubMed]
  5. Wen, P.; Hu, T.-G.; Linhardt, R.J.; Liao, S.-T.; Wu, H.; Zou, Y.-X. Mulberry: A review of bioactive compounds and advanced processing technology. Trends Food Sci. Technol. 2019, 83, 138–158. [Google Scholar] [CrossRef]
  6. Chen, C.; You, L.-J.; Abbasi, A.M.; Fu, X.; Liu, R.H.; Li, C. Characterization of polysaccharide fractions in mulberry fruit and assessment of their antioxidant and hypoglycemic activities in vitro. Food Funct. 2016, 7, 530–539. [Google Scholar] [CrossRef]
  7. Jiao, Y.; Wang, X.; Jiang, X.; Kong, F.; Wang, S.; Yan, C. Antidiabetic effects of Morus alba fruit polysaccharides on high-fat diet-and streptozotocin-induced type 2 diabetes in rats. J. Ethnopharmacol. 2017, 199, 119–127. [Google Scholar] [CrossRef]
  8. Huebner, J.; Wehling, R.; Hutkins, R. Functional activity of commercial prebiotics. Int. Dairy J. 2007, 17, 770–775. [Google Scholar] [CrossRef]
  9. Li, E.; Zhu, Q.; Pang, D.; Liu, F.; Liao, S.; Zou, Y. Analysis of Lactobacillus rhamnosus GG in Mulberry Galacto-Oligosaccharide Medium by Comparative Transcriptomics and Metabolomics. Front. Nutr. 2022, 9, 853271. [Google Scholar] [CrossRef]
  10. Subhan, F.B.; Hashemi, Z.; Herrera, M.C.A.; Turner, K.; Windeler, S.; Gänzle, M.G.; Chan, C.B. Ingestion of isomalto-oligosaccharides stimulates insulin and incretin hormone secretion in healthy adults. J. Funct. Foods 2020, 65, 103730. [Google Scholar] [CrossRef]
  11. Morelli, L.; Capurso, L. FAO/WHO guidelines on probiotics: 10 years later. J. Clin. Gastroenterol. 2012, 46, S1–S2. [Google Scholar] [CrossRef] [PubMed]
  12. Li, E.; Long, X.; Liao, S.; Pang, D.; Li, Q.; Zou, Y. Effect of mulberry galacto-oligosaccharide isolated from mulberry on glucose metabolism and gut microbiota in a type 2 diabetic mice. J. Funct. Foods 2021, 87, 104836. [Google Scholar] [CrossRef]
  13. Derrien, M.; Collado, M.C.; Ben Amor, K.; Salminen, S.; De Vos, W. The Mucin Degrader Akkermansia muciniphila Is an Abundant Resident of the Human Intestinal Tract. Appl. Environ. Microbiol. 2008, 74, 1646–1648. [Google Scholar] [CrossRef] [PubMed]
  14. Plovier, H.; Everard, A.; Druart, C.; Depommier, C.; Van Hul, M.; Geurts, L.; Chilloux, J.; Ottman, N.; Duparc, T.; Lichtenstein, L.; et al. A purified membrane protein from Akkermansia muciniphila or the pasteurized bacterium improves metabolism in obese and diabetic mice. Nat. Med. 2017, 23, 107–113. [Google Scholar] [CrossRef] [PubMed]
  15. Karlsson, F.H.; Tremaroli, V.; Nookaew, I.; Bergström, G.; Behre, C.J.; Fagerberg, B.; Nielsen, J.; Bäckhed, F. Gut metagenome in European women with normal, impaired and diabetic glucose control. Nature 2013, 498, 99–103. [Google Scholar] [CrossRef]
  16. Everard, A.; Belzer, C.; Geurts, L.; Ouwerkerk, J.P.; Druart, C.; Bindels, L.B.; Guiot, Y.; Derrien, M.; Muccioli, G.G.; Delzenne, N.M. Cross-talk between Akkermansia muciniphila and intestinal epithelium controls diet-induced obesity. Proc. Natl. Acad. Sci. USA 2013, 110, 9066–9071. [Google Scholar] [CrossRef]
  17. Ellekilde, M.; Krych, L.; Hansen, C.; Hufeldt, M.; Dahl, K.; Hansen, L.; Sørensen, S.; Vogensen, F.; Nielsen, D.; Hansen, A. Characterization of the gut microbiota in leptin deficient obese mice–Correlation to inflammatory and diabetic parameters. Res. Vet. Sci. 2014, 96, 241–250. [Google Scholar] [CrossRef]
  18. Chen, C.; Huang, Q.; Fu, X.; Liu, R.H. In vitro fermentation of mulberry fruit polysaccharides by human fecal inocula and impact on microbiota. Food Funct. 2016, 7, 4637–4643. [Google Scholar] [CrossRef]
  19. Li, E.; Yang, S.; Zou, Y.; Cheng, W.; Li, B.; Hu, T.; Li, Q.; Wang, W.; Liao, S.; Pang, D. Purification, Characterization, Prebiotic Preparations and Antioxidant Activity of Oligosaccharides from Mulberries. Molecules 2019, 24, 2329. [Google Scholar] [CrossRef]
  20. Xie, H.; Nie, P.; Sun, B. Characterization of two membrane-associated protease genes obtained from screening out-membrane protein genes of Flavobacterium columnare G4. J. Fish Dis. 2004, 27, 719–729. [Google Scholar] [CrossRef]
  21. Agarwal, S.; Choudhury, B. Presence of multiple acyltranferases with diverse substrate specificity in Bacillus smithii strain IITR6b2 and characterization of unique acyltransferase with nicotinamide. J. Mol. Catal. B Enzym. 2014, 107, 64–72. [Google Scholar] [CrossRef]
  22. Cameron, B.; Blanche, F.; Rouyez, M.; Bisch, D.; Famechon, A.; Couder, M.; Cauchois, L.; Thibaut, D.; Debussche, L.; Crouzet, J. Genetic analysis, nucleotide sequence, and products of two Pseudomonas denitrificans cob genes encoding nicotinate-nucleotide: Dimethylbenzimidazole phosphoribosyltransferase and cobalamin (5’-phosphate) synthase. J. Bacteriol. 1991, 173, 6066–6073. [Google Scholar] [CrossRef] [PubMed]
  23. Guo, X.; Zhao, B.; Zhou, X.; Lu, D.; Wang, Y.; Chen, Y.; Xiao, D. Analysis of the molecular basis of Saccharomyces cerevisiae mutant with high nucleic acid content by comparative transcriptomics. Food Res. Int. 2021, 142, 110188. [Google Scholar] [CrossRef] [PubMed]
  24. You, W.; Qiu, X.; Zhang, Y.; Ma, J.; Gao, Y.; Zhang, X.; Niu, L.; Teng, M. Crystallization and preliminary X-ray diffraction analysis of the putative aldose 1-epimerase YeaD from Escherichia coli. Acta Crystallogr. Sect. F Struct. Biol. Cryst. Commun. 2010, 66, 951–953. [Google Scholar] [CrossRef] [PubMed]
  25. Thoden, J.B.; Holden, H.M. High resolution X-ray structure of galactose mutarotase from Lactococcus lactis. J. Biol. Chem. 2002, 277, 20854–20861. [Google Scholar] [CrossRef] [PubMed]
  26. Keston, A.S.; Meeuwisse, G.W.; Fredrikzon, B. Evidence for participation of mutarotase in sugar transport: Absence of the enzyme in a case of glucose galactose malabsorption. Biochem. Biophys. Res. Commun. 1982, 108, 1574–1580. [Google Scholar] [CrossRef]
  27. Banford, S.; Timson, D.J. The structural and molecular biology of type IV galactosemia. Biochimie 2021, 183, 13–17. [Google Scholar] [CrossRef]
  28. Ventura, J.-R.S.; Hu, H.; Jahng, D. Enhanced butanol production in Clostridium acetobutylicum ATCC 824 by double overexpression of 6-phosphofructokinase and pyruvate kinase genes. Appl. Microbiol. Biotechnol. 2013, 97, 7505–7516. [Google Scholar] [CrossRef]
  29. Mutuku, J.M.; Nose, A. High activities and mRNA expression of pyrophosphate-fructose-6-phosphate-phosphotransferase and 6-phosphofructokinase are induced as a response to Rhizoctonia solani infection in rice leaf sheaths. Physiol. Mol. Plant Pathol. 2012, 77, 41–51. [Google Scholar] [CrossRef]
  30. Suo, Y.; Fu, H.; Ren, M.; Liao, Z.; Ma, Y.; Wang, J. Enhanced butyric acid production in Clostridium tyrobutyricum by overexpression of rate-limiting enzymes in the Embden-Meyerhof-Parnas pathway. J. Biotechnol. 2018, 272, 14–21. [Google Scholar] [CrossRef]
  31. Fan, Y.; Wang, J.; Yu, K.; Zhang, W.; Cai, Z.; Sun, M.; Hu, Y.; Zhao, X.; Xiong, C.; Niu, Q. Comparative Transcriptome Investigation of Nosema ceranae Infecting Eastern Honey Bee Workers. Insects 2022, 13, 241. [Google Scholar] [CrossRef] [PubMed]
  32. Wang, Y.; Chen, J.; Han, J.; Yang, Z.; Zhu, J.; Ren, A.; Shi, L.; Yu, H.; Zhao, M. Cloning and characterization of phosphoglucose isomerase in Lentinula edodes. J. Basic Microbiol. 2022, 62, 740–749. [Google Scholar] [CrossRef] [PubMed]
  33. Dai, Y.; Li, C.; Zheng, L.; Jiang, B.; Zhang, T.; Chen, J. Enhanced biosynthesis of d-tagatose from maltodextrin through modular pathway engineering of recombinant Escherichia coli. Biochem. Eng. J. 2022, 178, 108303. [Google Scholar] [CrossRef]
  34. Zhou, Y.; Du, C.; Odiba, A.S.; He, R.; Ahamefule, C.S.; Wang, B.; Jin, C.; Fang, W. Phosphoglucose Isomerase Plays a Key Role in Sugar Homeostasis, Stress Response, and Pathogenicity in Aspergillus flavus. Front. Cell. Infect. Microbiol. 2021, 11, 777266. [Google Scholar] [CrossRef] [PubMed]
  35. Han, J.; Deng, X.; Sun, R.; Luo, M.; Liang, M.; Gu, B.; Zhang, T.; Peng, Z.; Lu, Y.; Tian, C. GPI Is a Prognostic Biomarker and Correlates with Immune Infiltrates in Lung Adenocarcinoma. Front. Oncol. 2021, 11, 752642. [Google Scholar] [CrossRef]
  36. Meek, R.; Cadby, I.; Lovering, A. Bdellovibrio bacteriovorus phosphoglucose isomerase structures reveal novel rigidity in the active site of a selected subset of enzymes upon substrate binding. Open Biol. 2021, 11, 210098. [Google Scholar] [CrossRef]
  37. Olivares-Illana, V.; Riveros-Rosas, H.; Cabrera, N.; Tuena de Gómez-Puyou, M.; Pérez-Montfort, R.; Costas, M.; Gómez-Puyou, A. A guide to the effects of a large portion of the residues of triosephosphate isomerase on catalysis, stability, druggability, and human disease. Proteins Struct. Funct. Bioinform. 2017, 85, 1190–1211. [Google Scholar] [CrossRef]
  38. Jin, E.S.; Sherry, A.D.; Malloy, C.R. Interaction between the pentose phosphate pathway and gluconeogenesis from glycerol in the liver. J. Biol. Chem. 2014, 289, 32593–32603. [Google Scholar] [CrossRef]
  39. Liu, P.; Sun, S.-J.; Ai, Y.-J.; Feng, X.; Zheng, Y.-M.; Gao, Y.; Zhang, J.-Y.; Zhang, L.; Sun, Y.-P.; Xiong, Y. Elevated nuclear localization of glycolytic enzyme TPI1 promotes lung adenocarcinoma and enhances chemoresistance. Cell Death Dis. 2022, 13, 1–11. [Google Scholar] [CrossRef]
  40. Pancholi, V. Multifunctional α-enolase: Its role in diseases. Cell. Mol. Life Sci. CMLS 2001, 58, 902–920. [Google Scholar] [CrossRef]
  41. Piast, M.; Kustrzeba-Wójcicka, I.; Matusiewicz, M.; Banaś, T. Molecular evolution of enolase. Acta Biochim. Pol. 2005, 52, 507–513. [Google Scholar] [CrossRef] [PubMed]
  42. Lansdon, E.B.; Fisher, A.J.; Segel, I.H. Human 3 ‘-phosphoadenosine 5 ‘-phosphosulfate synthetase (isoform 1, brain): Kinetic properties of the adenosine triphosphate sulfurylase and adenosine 5 ‘-phosphosulfate kinase domains. Biochemistry 2004, 43, 4356–4365. [Google Scholar] [CrossRef]
  43. Ramos, A.; Neves, A.R.; Ventura, R.; Maycock, C.; Lopez, P.; Santos, H. Effect of pyruvate kinase overproduction on glucose metabolism of Lactococcus lactis. Microbiology 2004, 150, 1103–1111. [Google Scholar] [CrossRef] [PubMed]
  44. Andre, C.; Froehlich, J.E.; Moll, M.R.; Benning, C. A heteromeric plastidic pyruvate kinase complex involved in seed oil biosynthesis in Arabidopsis. Plant Cell 2007, 19, 2006–2022. [Google Scholar] [CrossRef] [PubMed]
  45. Zhang, Y.; Xiao, W.; Luo, L.; Pang, J.; Rong, W.; He, C. Downregulation of OsPK1, a cytosolic pyruvate kinase, by T-DNA insertion causes dwarfism and panicle enclosure in rice. Planta 2012, 235, 25–38. [Google Scholar] [CrossRef]
  46. Zhong, W.H.; Cui, L.; Goh, B.C.; Cai, Q.X.; Ho, P.Y.; Chionh, Y.H.; Yuan, M.; El Sahili, A.; Fothergill-Gilmore, L.A.; Walkinshaw, M.D.; et al. Allosteric pyruvate kinase-based “logic gate” synergistically senses energy and sugar levels in Mycobacterium tuberculosis. Nat. Commun. 2017, 8, 1986. [Google Scholar] [CrossRef]
  47. Zoraghi, R.; Worrall, L.; See, R.H.; Strangman, W.; Popplewell, W.L.; Gong, H.; Samaai, T.; Swayze, R.D.; Kaur, S.; Vuckovic, M. Methicillin-resistant Staphylococcus aureus (MRSA) pyruvate kinase as a target for bis-indole alkaloids with antibacterial activities. J. Biol. Chem. 2011, 286, 44716–44725. [Google Scholar] [CrossRef]
Figure 1. Elution profile of MOS produced via digestion of MPS 5% β-mannanase from a DEAE-52 cellulose column (A). Elution of fraction MOS-I from a Sephadex G-100 chromatography column (B). Curve of Akkermansia muciniphila growth in BHI medium supplemented with different prebiotics (C).
Figure 1. Elution profile of MOS produced via digestion of MPS 5% β-mannanase from a DEAE-52 cellulose column (A). Elution of fraction MOS-I from a Sephadex G-100 chromatography column (B). Curve of Akkermansia muciniphila growth in BHI medium supplemented with different prebiotics (C).
Foods 12 00440 g001
Figure 2. Clustering analysis of differentially expressed genes (DEGs) in culture of A. muciniphila with different prebiotics.
Figure 2. Clustering analysis of differentially expressed genes (DEGs) in culture of A. muciniphila with different prebiotics.
Foods 12 00440 g002
Figure 3. Volcano plots of DEGs in A. muciniphila after different prebiotic treatments. Volcano plot of DEGs in GOS (A); volcano plot of DEGs in MPS (B); volcano plot of DEGs in MGO (C).
Figure 3. Volcano plots of DEGs in A. muciniphila after different prebiotic treatments. Volcano plot of DEGs in GOS (A); volcano plot of DEGs in MPS (B); volcano plot of DEGs in MGO (C).
Foods 12 00440 g003
Figure 4. Gene Ontology (GO) analysis of A. muciniphila cultured with different prebiotics for 6 days. The right y-axis represents the number of unigenes of a specific category within the main category, and the left y-axis represents the percentage of unigenes of a specific category within the main category. A bar indicates the number of upregulated genes.
Figure 4. Gene Ontology (GO) analysis of A. muciniphila cultured with different prebiotics for 6 days. The right y-axis represents the number of unigenes of a specific category within the main category, and the left y-axis represents the percentage of unigenes of a specific category within the main category. A bar indicates the number of upregulated genes.
Foods 12 00440 g004
Figure 5. Comparative transcriptomic analyses of A. muciniphila cultured with MGO for 6 days. KEGG pathway enrichment analysis of DEGs. The horizontal coordinates represent the KEGG pathway name, and the vertical coordinates represent the number of transcript/metabolite unigenes.
Figure 5. Comparative transcriptomic analyses of A. muciniphila cultured with MGO for 6 days. KEGG pathway enrichment analysis of DEGs. The horizontal coordinates represent the KEGG pathway name, and the vertical coordinates represent the number of transcript/metabolite unigenes.
Foods 12 00440 g005
Figure 6. The qRT-PCR results to validate the transcriptions of galactose-metabolism-pathway-related genes (A) and glycolysis/gluconeogenesis-pathway-related genes (B) mentioned in RNA-seq data.
Figure 6. The qRT-PCR results to validate the transcriptions of galactose-metabolism-pathway-related genes (A) and glycolysis/gluconeogenesis-pathway-related genes (B) mentioned in RNA-seq data.
Foods 12 00440 g006
Table 1. List of primers for RT-qPCR.
Table 1. List of primers for RT-qPCR.
GeneForward Primer (5′–3′)Reverse Primer (5′–3′)
AMUC_RS07000 (galM)CCTCACCAACCACGCTTACTTATAGGCGGAGGCCCGTATC
AMUC_RS01180 (pfkA)TATTCCGGCCACGATTGACAGCCGTATCACGAACGGAATC
AMUC_RS00900 (pgm)TGAAGTGGTCAACGTGCTCAGCGTTTGTTCCTCGCTCATC
AMUC_RS10555 (pgi)AGTAAGCGTGGTTGGTGAGGAAACGCCCTGTCTATCCGTC
AMUC_RS07935 (pfk)TTATGCCGTGGAACTGGTGGTTCCTCAATGGGTACGGCAG
AMUC_RS03915 (fbaA)TAGGCAATTCCGCCCTTGGTGTGAAGGGCTACGAGAACG
AMUC_RS03080 (tpiA)TGGAACCCGTGCTGGAAATCTAGGCGATGACCAGGTTGGA
AMUC_RS07575 (gapA)TTGCTCCGATGGTGAAGGTGGCTGGTCGTTCGTGTAGGAG
AMUC_RS07580 (pgk)TGAAATGGACTGCTTCGCCACGCCGCCTACAATGGAAATG
AMUC_RS01755 (gpml)TGTGGAGCAGTGTTATGCGATTATCCCTCACGCGCTGTTC
AMUC_RS04575 (eno)CTGGAAGCCACGGAACAAACAAACACCCAGAATGGCGTTG
AMUC_RS02385 (pyk)AAACGCCTGTCTGATCGTCTGGTCATTGCTGAAGGCGAAG
AMUC_RS09020 (lpd)CTACTGTCATCGGCTCCAGGAATTCCGTGCCGATAGCTCC
AMUC _16SrRNAAAGGGTTTCGGCTCGTAAAATGCACTCAAGTTTCCCAGTT
Table 2. Proliferation of A. muciniphila cultured in medium containing different prebiotic carbohydrates after 5 days of incubation at 37 °C.
Table 2. Proliferation of A. muciniphila cultured in medium containing different prebiotic carbohydrates after 5 days of incubation at 37 °C.
CarbohydrateConcentration (%)A. muciniphila Proliferation
GOS1178% ± 8.3a
3269% ± 7.5b
5582% ± 10.2c
IMO1156% ± 5.3a
3204% ± 9.4b
5351% ± 11.2c
MPS1159% ± 5.4a
3208% ± 6.8b
5256% ± 7.2c
MPS hydrolyzed via pectinase1151% ± 4.3a
3201% ± 7.3b
5330% ± 9.5c
MPS hydrolyzed via glucoamylase1185% ± 3.5a
3241% ± 6.3b
5484% ± 8.9c
MPS hydrolyzed via β-mannanase1202%± 5.4a
3405% ± 7.2b
5652% ± 9.9c
MPS hydrolyzed via xylanase1103% ± 2.3a
3135% ± 4.4b
5198% ± 5.2c
MPS hydrolyzed via β-glucanase1158% ± 3.9a
3221% ± 4.5b
5412% ± 5.1c
MPS hydrolyzed via α-amylase1109% ± 2.2a
3125% ± 3.1b
5132% ± 2.8c
The data are presented as the mean ± SD of three replicates. Means marked with the same letter are not significantly different (p < 0.05) according to Duncan’s multiple range test. Abbreviations: MPS, crude mulberry polysaccharide solution.
Table 3. Proliferation of A. muciniphila cultured in medium containing different elution fractions of mulberry oligosaccharides prepared using β-mannanase after incubation for 5 days at 37 °C.
Table 3. Proliferation of A. muciniphila cultured in medium containing different elution fractions of mulberry oligosaccharides prepared using β-mannanase after incubation for 5 days at 37 °C.
CarbohydrateConcentration (%)A. muciniphila Proliferation
MOS-I1254% ± 3.2a
3497% ± 5.8b
5781% ± 10.5c
MOS-II1125% ± 4.2a
3198% ± 3.5b
5245% ± 6.8c
MOS-III1132% ± 2.3a
3201% ± 4.8b
5253% ± 6.1c
The data are presented as the mean ± SD of three replicates. Means marked with the same letter are not significantly different (p < 0.05) according to Duncan’s multiple range test.
Table 4. Effect of different prebiotics on gene transcription in A. muciniphila cultured for 6 days.
Table 4. Effect of different prebiotics on gene transcription in A. muciniphila cultured for 6 days.
Gene ID
(KEGG Name)
Gene DescriptionFCStyle
GOS/BHIMPS/BHIMGO/BHI
galactose metabolism
AMUC_RS07000
(galM)
galactose mutarotase1.181.363.47up
AMUC_RS01180
(pfkA)
6-phosphofructokinase1.301.323.16up
AMUC_RS00900
(pgm)
phospho-sugar mutase0.420.620.52down
glycolysis/gluconeogenesis
AMUC_RS07000
(galM)
galactose mutarotase1.181.363.47up
AMUC_RS10555
(pgi)
glucose-6-phosphate isomerase2.242.522.31up
AMUC_RS07935
(pfk)
6-phosphofructokinase2.341.851.68up
AMUC_RS03915
(fbaA)
class II fructose-bisphosphate aldolase1.872.212.85up
AMUC_RS03080
(tpiA)
triose-phosphate isomerase1.982.121.87up
AMUC_RS07575
(gapA)
type I glyceraldehyde-3-phosphate dehydrogenase2.122.542.74up
AMUC_RS07580
(pgk)
phosphoglycerate kinase2.011.842.32up
AMUC_RS01755
(gpml)
2%2C3-bisphosphoglycerate-independent phosphoglycerate mutase1.872.312.14up
AMUC_RS04575
(eno)
phosphopyruvate hydratase2.241.892.18up
AMUC_RS02385
(pyk)
pyruvate kinase1.631.851.77up
AMUC_RS09020
(lpd)
dihydrolipoyl dehydrogenase2.322.112.25up
AMUC_RS00900
(pgm)
phospho-sugar mutase0.560.490.47down
Disclaimer/Publisher’s Note: The statements, opinions and data contained in all publications are solely those of the individual author(s) and contributor(s) and not of MDPI and/or the editor(s). MDPI and/or the editor(s) disclaim responsibility for any injury to people or property resulting from any ideas, methods, instructions or products referred to in the content.

Share and Cite

MDPI and ACS Style

Li, E.; Li, S.; Liu, F.; Li, Q.; Pang, D.; Wang, H.; Liao, S.; Zou, Y. Analysis of Akkermansia muciniphila in Mulberry Galacto-Oligosaccharide Medium via Comparative Transcriptomics. Foods 2023, 12, 440. https://doi.org/10.3390/foods12030440

AMA Style

Li E, Li S, Liu F, Li Q, Pang D, Wang H, Liao S, Zou Y. Analysis of Akkermansia muciniphila in Mulberry Galacto-Oligosaccharide Medium via Comparative Transcriptomics. Foods. 2023; 12(3):440. https://doi.org/10.3390/foods12030440

Chicago/Turabian Style

Li, Erna, Shipei Li, Fan Liu, Qian Li, Daorui Pang, Hong Wang, Sentai Liao, and Yuxiao Zou. 2023. "Analysis of Akkermansia muciniphila in Mulberry Galacto-Oligosaccharide Medium via Comparative Transcriptomics" Foods 12, no. 3: 440. https://doi.org/10.3390/foods12030440

APA Style

Li, E., Li, S., Liu, F., Li, Q., Pang, D., Wang, H., Liao, S., & Zou, Y. (2023). Analysis of Akkermansia muciniphila in Mulberry Galacto-Oligosaccharide Medium via Comparative Transcriptomics. Foods, 12(3), 440. https://doi.org/10.3390/foods12030440

Note that from the first issue of 2016, this journal uses article numbers instead of page numbers. See further details here.

Article Metrics

Back to TopTop