Wheat GSPs and Processing Quality Are Affected by Irrigation and Nitrogen through Nitrogen Remobilisation
Abstract
:1. Introduction
2. Materials and Methods
2.1. Field Experiment and Experimental Design
2.2. Determining the Types and Levels of Glutenins and Gliadins
2.3. Determining the Nitrogen Content in Organs
2.4. Determining the Soil NO3-N Content
2.5. Determining Flour Quality Traits
2.6. Statistical Analysis
3. Results
3.1. Effects of Irrigation and Nitrogen Application on GSP and Its Components
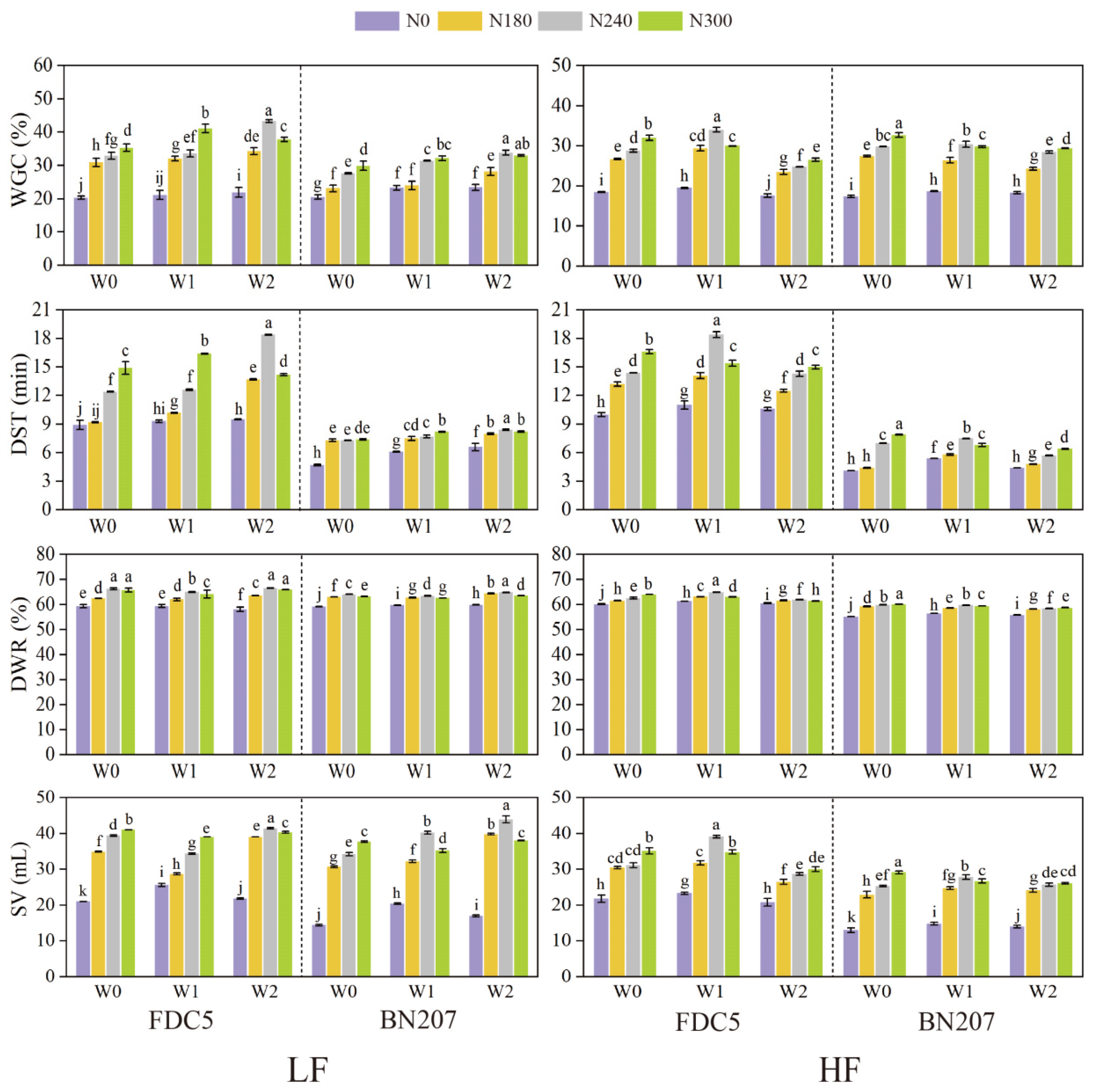
3.2. Effects of Irrigation and Nitrogen Application on Processing Qualities
3.3. Correlations between GSP and Soil NO3-N Content/Nitrogen Remobilisation in Plant Organs
3.4. Correlation and Path Analyses of GSPs and Processing Qualities
4. Discussion
4.1. Irrigation and Nitrogen Significantly Affect GSP Content and Processing Qualities
4.2. Dx5, Dy10 and γ-Gliadin Are Direct Contributors to Processing Qualities
4.3. Irrigation and Nitrogen Affect Yield and Grain Storage Proteins Differently in Different Soil Fertility Types
5. Conclusions
Supplementary Materials
Author Contributions
Funding
Data Availability Statement
Conflicts of Interest
References
- Khalid, A.; Hameed, A.; Tahir, M.F. Wheat quality: A review on chemical composition, nutritional attributes, grain anatomy, types, classification, and function of seed storage proteins in bread making quality. Front. Nutr. 2023, 10, 1053196. [Google Scholar] [CrossRef]
- Shewry, P.R. Wheat. J. Exp. Bot. 2009, 60, 1537–1553. [Google Scholar] [CrossRef] [PubMed]
- Rasheed, A.; Xia, X.C.; Yan, Y.M.; Appels, R.; Mahmood, T.; He, Z.H. Wheat seed storage proteins: Advances in molecular genetics, diversity and breeding applications. J. Cereal Sci. 2014, 60, 11–24. [Google Scholar] [CrossRef]
- Anjum, F.M.; Khan, M.R.; Din, A.; Saeed, M.; Pasha, I.; Arshad, M.U. Wheat gluten: High molecular weight glutenin subunits−structure, genetics, and relation to dough elasticity. J. Food Sci. 2007, 72, R56–R63. [Google Scholar] [CrossRef] [PubMed]
- Zhang, X.; Zhang, B.Q.; Wu, H.Y.; Lu, C.B.; Lü, G.F.; Liu, D.T.; Li, M.; Jiang, W.; Song, G.H.; Gao, D.R. Effect of high-molecular-weight gluteninsubunit deletion on soft wheat quality properties and sugar-snap cookie quality estimated through near-isogenic lines. J. Integr. Agric. 2018, 17, 1066–1073. [Google Scholar] [CrossRef]
- Girard, A.L.; Bean, S.R.; Tilley, M.; Adrianos, S.L.; Awika, J.M. Interaction mechanisms of condensed tannins (proanthocyanidins) with wheat gluten proteins. Food Chem. 2018, 245, 1154–1162. [Google Scholar] [CrossRef]
- Maruyama-Funatsuki, W.; Takata, K.; Nishio, Z.; Tabiki, T.; Yahata, E.; Kato, A.; Saito, K.; Funatsuki, H.; Saruyama, H.; Yamauchi, H. Identification of low-molecular weight glutenin subunits of wheat associated with bread-making quality. Plant Breed. 2004, 123, 355–360. [Google Scholar] [CrossRef]
- Rathan, N.D.; Mahendru-Singh, A.; Govindan, V.; Ibba, M.I. Impact of high and low-molecular-weight glutenins on the processing quality of a set of biofortified common wheat (Triticum aestivum L.) lines. Front. Sustain. Food Syst. 2020, 4, 583367. [Google Scholar] [CrossRef]
- Huang, Z.; Long, H.; Wei, Y.M.; Qi, P.F.; Yan, Z.H.; Zheng, Y.L. Characterization and classification of γ-gliadin multigene sequences from Aegilops section Sitopsis. Cereal Res. Commun. 2010, 38, 1–14. [Google Scholar] [CrossRef]
- Zhang, Y.; Luo, G.; Liu, D.; Wang, D.; Yang, W.; Sun, J.; Zhang, A.; Zhan, K. Genome-, transcriptome-and proteome-wide analyses of the gliadin gene families in Triticum urartu. PLoS ONE 2015, 10, e0131559. [Google Scholar] [CrossRef]
- Campesi, G.; Deligios, P.A.; Ledda, L.; Madau, F.; Piluzza, G.; Re, G.A.; Sanna, F.; Sulas, L. Starter irrigation in sulla as a promising practice to climate change adaptation of Mediterranean rainfed forage systems. Int. Agrophys. 2023, 37, 159–169. [Google Scholar] [CrossRef]
- Altenbach, S.B. New insights into the effects of high temperature, drought and post-anthesis fertilizer on wheat grain development. J. Cereal Sci. 2012, 56, 39–50. [Google Scholar] [CrossRef]
- Zhen, S.; Deng, X.; Xu, X.; Liu, N.; Zhu, D.; Wang, Z.; Yan, Y. Effect of high-nitrogen fertilizer on gliadin and glutenin subproteomes during kernel development in wheat (Triticum aestivum L.). Crop J. 2020, 8, 38–52. [Google Scholar] [CrossRef]
- Zhang, H.B.; Han, K.; Gu, S.B.; Wang, D. Effects of supplemental irrigation on the accumulation, distribution and transportation of 13C-photosynthate, yield and water use efficiency of winter wheat. Agric. Water Manag. 2019, 214, 1–8. [Google Scholar] [CrossRef]
- Liu, J.X.; Zhang, J.M.; Zhu, G.R.; Zhu, D.; Yan, Y.M. Effects of water deficit and high N fertilization on wheat storage protein synthesis, gluten secondary structure, and breadmaking quality. Crop J. 2022, 10, 216–223. [Google Scholar] [CrossRef]
- Zhou, J.X.; Liu, D.M.; Deng, X.; Zhen, S.M.; Wang, Z.M.; Yan, Y.M. Effects of water deficit on breadmaking quality and storage protein compositions in bread wheat (Triticum aestivum L.). J. Sci. Food. Agric. 2018, 98, 4357–4368. [Google Scholar] [CrossRef] [PubMed]
- Ram, H.; Dadhwal, V.; Vashist, K.K.; Kaur, H. Grain yield and water use efficiency of wheat (Triticum aestivum L.) in relation to irrigation levels and rice straw mulching in North West India. Agric. Water Manag. 2013, 128, 92–101. [Google Scholar] [CrossRef]
- Qiu, G.Y.; Wang, L.M.; He, X.H.; Zhang, X.Y.; Chen, S.Y.; Chen, J.; Yang, Y.H. Water use efficiency and evapotranspiration of winter wheat and its response to irrigation regime in the north China plain. Agric. For. Meteorol. 2008, 148, 1848–1859. [Google Scholar] [CrossRef]
- Zhang, P.P.; Ma, G.; Wang, C.Y.; Lu, H.F.; Li, S.S.; Xie, Y.X.; Ma, D.Y.; Zhu, Y.J.; Guo, T.C. Effect of irrigation and nitrogen application on grain amino acid composition and protein quality in winter wheat. PLoS ONE 2017, 12, e0178494. [Google Scholar] [CrossRef]
- Zhou, X.Y.; Jia, D.Y.; Dai, X.L.; He, M.R. Effects of irrigation scheme on the grain glutenin macropolymer’s size distribution and the grain quality of winter wheat with strong gluten. J. Appl. Ecol. 2013, 24, 2557–2563. [Google Scholar] [CrossRef]
- Jia, D.Y.; Dai, X.L.; He, M.R. Polymerization of glutenin during grain development and quality expression in winter wheat in response to irrigation levels. Crop Sci. 2012, 52, 1816–1827. [Google Scholar] [CrossRef]
- Masoni, A.; Ercoli, L.; Mariotti, M.; Arduini, I. Post-anthesis accumulation and remobilization of dry matter, nitrogen and phosphorus in durum wheat as affected by soil type. Eur. J. Agron. 2007, 26, 179–186. [Google Scholar] [CrossRef]
- Horvat, D.; Šimić, G.; Dvojković, K.; Ivić, M.; Plavšin, I.; Novoselović, D. Gluten protein compositional changes in response to nitrogen application rate. Agronomy 2021, 11, 325. [Google Scholar] [CrossRef]
- Shi, Y.; Zhang, Y.; Yu, Z.W. Effects of nitrogen fertilizer application on protein components contents and processing quality of different wheat genotypes. Plant Nutr. Fertil. Sci. 2010, 16, 33–40. [Google Scholar] [CrossRef]
- Yang, T.; Zhou, Q.; Wang, Q.; Wang, X.; Cai, J.; Huang, M.; Jiang, D. Effects of nitrogen fertilizer on quality characteristics of wheat with the absence of different individual high-molecular-weight glutenin subunits (HMW-GSs). Int. J. Mol. Sci. 2022, 23, 2178. [Google Scholar] [CrossRef] [PubMed]
- Yu, X.R.; Chen, X.Y.; Wang, L.L.; Yang, Y.; Zhu, X.W.; Shao, S.S.; Cui, W.X.; Xiong, F. Novel insights into the effect of nitrogen on storage protein biosynthesis and protein body development in wheat caryopsis. J. Exp. Bot. 2017, 68, 2259–2274. [Google Scholar] [CrossRef] [PubMed]
- Sun, M.; Gao, Z.Q.; Zhao, W.F.; Deng, L.F.; Deng, Y.; Zhao, H.M.; Ren, A.X.; Li, D.; Yang, Z.P. Effect of subsoiling in fallow period on soil water storage and grain protein accumulation of dryland wheat and its regulatory effect by nitrogen application. PLoS ONE 2013, 8, e75191. [Google Scholar] [CrossRef]
- Zhang, M.W.; Ma, D.Y.; Ma, G.; Wang, C.Y.; Xie, X.D.; Kang, G.Z. Responses of glutamine synthetase activity and gene expression to nitrogen levels in winter wheat cultivars with different grain protein content. J. Cereal Sci. 2017, 74, 187–193. [Google Scholar] [CrossRef]
- Ye, T.Y.; Ma, J.F.; Zhang, P.; Shan, S.; Liu, L.L.; Tang, L.; Cao, W.X.; Liu, B.; Zhu, Y. Interaction effects of irrigation and nitrogen on the coordination between crop water productivity and nitrogen use efficiency in wheat production on the North China Plain. Agric. Water Manag. 2022, 271, 107787. [Google Scholar] [CrossRef]
- Geesing, D.; Diacono, M.; Schmidhalter, U. Site-specific effects of variable water supply and nitrogen fertilisation on winter wheat. J. Plant Nutr. Soil Sci. 2014, 177, 509–523. [Google Scholar] [CrossRef]
- Zhang, Y.L.; Yu, Z.W. Effects of Irrigation amount on nitrogen uptake, distribution, use, and grain yield and quality in wheat. Acta Agron. Sin. 2008, 34, 870–878. [Google Scholar] [CrossRef]
- Arata, A.F.; Dinolfo, M.I.; Martínez, M.; Lázaro, L. Effects of waterlogging during grain filling on yield components, nitrogen uptake and grain quality in bread wheat. Cereal Res. Commun. 2019, 47, 42–52. [Google Scholar] [CrossRef]
- Ghimire, D.; Das, S.; Mueller, N.D.; Creech, C.F.; Santra, D.; Baenziger, P.S.; Easterly, A.C. Effects of cultivars and nitrogen management on wheat grain yield and protein. Agron. J. 2021, 113, 4348–4368. [Google Scholar] [CrossRef]
- Torrion, J.A.; Stougaard, R.N. Impacts and limits of irrigation water management on wheat yield and quality. Crop Sci. 2017, 57, 3239–3251. [Google Scholar] [CrossRef]
- Xie, K.; Zhu, B.; Sun, J.; Liu, D.; Chen, S.; Ren, Y.; Cheng, X.; Xue, H.; Chang, X.; Zhan, K. Composition of high molecular weight glutenin subunits of wheat varieties (lines) in Huanghuai southern region and their relationship with quality. J. Triticeae Crop 2016, 36, 595–602. [Google Scholar]
- Chaudhary, N.; Virdi, A.S.; Dangi, P.; Khatkar, B.S.; Mohanty, A.K.; Singh, N. Protein, thermal and functional properties of α-, γ-and ω-gliadins of wheat and their effect on bread making characteristics. Food Hydrocoll. 2022, 124, 107212. [Google Scholar] [CrossRef]
- Scherf, K.A. Impact of the preparation procedure on gliadin, glutenin and gluten contents of wheat starches determined by RP-HPLC and ELISA. Eur. Food Res. Technol. 2016, 242, 1837–1848. [Google Scholar] [CrossRef]
- González-Torralba, J.; Arazuri, S.; Jarén, C.; Arregui, L.M. Stable quality traits of soft winter wheat under nonlimiting nitrogen conditions. Crop Sci. 2011, 51, 2820–2828. [Google Scholar] [CrossRef]
- Zhou, Z.F.; Zhang, Z.W.; Mason, A.S.; Chen, L.Z.; Liu, C.C.; Qin, M.M.; Li, W.X.; Tian, B.M.; Wu, Z.Q.; Lei, Z.S.; et al. Quantitative traits loci mapping and molecular marker development for total glutenin and glutenin fraction contents in wheat. BMC Plant Biol. 2021, 21, 455. [Google Scholar] [CrossRef]
- Oliveira, A.P.; Andrade, G.F.; Mateo, B.S.; Naozuka, J. Protein and metalloprotein distribution in different varieties of beans (Phaseolus vulgaris L.): Effects of cooking. Int. J. Food Sci. 2017, 2017, 5957178. [Google Scholar] [CrossRef] [PubMed]
- Ma, G.; Kang, J.; Wang, J.R.; Chen, Y.L.; Lu, H.F.; Wang, L.F.; Wang, C.Y.; Xie, Y.X.; Ma, D.Y.; Kang, G.Z. Bacterial community structure and predicted function in wheat soil from the North China plain are closely linked with soil and plant characteristics after seven years of irrigation and nitrogen application. Front. Microbiol. 2020, 11, 506. [Google Scholar] [CrossRef] [PubMed]
- Sheng, K.; Xu, L.; Wang, M.; Lei, H.; Duan, A. The end-use quality of wheat can be enhanced by optimal water management without incurring yield loss. Front. Plant Sci. 2022, 13, 1030763. [Google Scholar] [CrossRef] [PubMed]
- Zhang, Y.; Dai, X.; Jia, D.; Li, H.; Wang, Y.; Li, C.; Xu, H.; He, M. Effects of plant density on grain yield, protein size distribution, and breadmaking quality of winter wheat grown under two nitrogen fertilisation rates. Eur. J. Agron. 2016, 73, 1–10. [Google Scholar] [CrossRef]
- Ma, G.; Liu, W.X.; Li, S.S.; Zhang, P.P.; Wang, C.Y.; Lu, H.F.; Wang, L.F.; Xie, Y.X.; Ma, D.Y.; Kang, G.Z. Determining the optimal N input to improve grain yield and quality in winter wheat with reduced apparent N loss in the North China Plain. Front. Plant Sci. 2019, 10, 181–193. [Google Scholar] [CrossRef] [PubMed]
- Duncan, E.G.; O’Sullivan, C.A.; Roper, M.M.; Biggs, J.S.; Peoples, M.B. Influence of co-application of nitrogen with phosphorus, potassium and sulphur on the apparent efficiency of nitrogen fertiliser use, grain yield and protein content of wheat: Review. Field Crop Res. 2018, 226, 56–65. [Google Scholar] [CrossRef]
- Araya, A.; Prasad, P.V.V.; Gowda, P.H.; Afewerk, A.; Abadi, B.; Foster, A.J. Modeling irrigation and nitrogen management of wheat in northern Ethiopia. Agric. Water Manag. 2019, 216, 264–272. [Google Scholar] [CrossRef]
- Yang, R.; Liang, X.; Torrion, J.A.; Walsh, O.S.; O’Brien, K.; Liu, Q. The Influence of Water and Nitrogen Availability on the Expression of End-Use Quality Parameters of Spring Wheat. Agronomy 2018, 8, 257. [Google Scholar] [CrossRef]
- Liu, J.C. Effects of irrigation and nitrogen fertilizer management on wheat grain baking quality based on the SiriusQuality2 crop model. Irrig. Drain. 2023, 72, 729–746. [Google Scholar] [CrossRef]
- Massoudifar, O.; Darvish Kodjouri, F.D.; Noor Mohammadi, G.N.; Mirhadi, M.J. Effect of nitrogen fertilizer levels and irrigation on quality characteristics in bread wheat (Triticum aestivum L.). Arch. Agron. Soil Sci. 2014, 60, 925–934. [Google Scholar] [CrossRef]
- Sepaskhah, A.R.; Hosseini, S.N. Effects of alternate furrow irrigation and nitrogen application rates on yield and water-and nitrogen-use efficiency of winter wheat (Triticum aestivum L.). Plant. Prod. Sci. 2008, 11, 250–259. [Google Scholar] [CrossRef]
- Rodríguez-Félix, F.; Ramirez-Wong, B.; Torres-Chávez, P.I.; Álvarez-Avilés, A.; Moreno-Salazar, S.; Renteria-Martinez, M.E.; Bello-Perez, L.A. Yellow berry, protein and agronomic character- ristics in bread wheat under different conditions of nitrogen and irrigation in northwest Mexico. Pak. J. Bot. 2014, 46, 221–226. [Google Scholar] [CrossRef]
- Guo, J.; Wang, F.; Zhang, Z.; Wu, D.; Bao, J. Characterization of gluten proteins in different parts of wheat grain and their effects on the textural quality of steamed bread. J. Cereal Sci. 2021, 102, 103368. [Google Scholar] [CrossRef]
- Chisenga, S.M.; Workneh, T.S.; Bultosa, G.; Alimi, B.A.; Siwela, M. Dough rheology and loaf quality of wheat-cassava bread using different cassava varieties and wheat substitution levels. Food Biosci. 2020, 34, 100529. [Google Scholar] [CrossRef]
- Ding, J.; Hu, H.; Yang, J.; Wu, T.; Sun, X.; Fang, Y.; Huang, Q. Mechanistic study of the impact of germinated brown rice flour on gluten network formation, dough properties and bread quality. Innov. Food Sci. Emerg. Technol. 2023, 83, 103217. [Google Scholar] [CrossRef]
- Yue, Q.H.; Li, M.F.; Liu, C.; Li, L.M.; Zheng, X.L.; Bian, K. Extensional rheological properties in mixed and fermented/rested dough and relationships with steamed bread quality. J. Cereal Sci. 2020, 93, 102968. [Google Scholar] [CrossRef]
- Sarkar, S.; Singh, A.M.; Ahlawat, A.K.; Chakraborti, M.; Singh, S.K. Genetic diversity of bread wheat genotypes based on high molecular weight glutenin subunit profiling and its relation to bread making quality. J. Plant Biochem. Biotechnol. 2015, 24, 218–224. [Google Scholar] [CrossRef]
- Qiu, Y.L.; Chen, H.Q.; Zhang, S.M.; Wang, J.; Du, L.P.; Wang, K.; Ye, X.G. Development of a wheat material with improved bread-making quality by overexpressing HMW-GS 1Slx2. 3* from Aegilops longissima. Crop J. 2022, 10, 1717–1726. [Google Scholar] [CrossRef]
- Jin, H.; Zhang, Y.; Li, G.Y.; Mu, P.Y.; Fan, Z.R.; Xia, X.C.; He, Z.H. Effects of allelic variation of HMW-GS and LMW-GS on mixograph properties and Chinese noodle and steamed bread qualities in a set of Aroona near-isogenic wheat lines. J. Cereal Sci. 2013, 57, 146–152. [Google Scholar] [CrossRef]
- Zhang, P.; Jondiko, T.O.; Tilley, M.; Awika, J.M. Effect of high molecular weight glutenin subunit composition in common wheat on dough properties and steamed bread quality. J. Sci. Food Agric. 2014, 94, 2801–2806. [Google Scholar] [CrossRef]
- Li, M.F.; Deng, X.; Xu, X.X.; Liu, N.N.; Wang, Z.M.; Yan, Y.M. Effects of water deficit and different nitrogen fertilizer treatments on the quality of wheat for Chinese fresh white noodles and steamed bread and the composition of storage proteins. J. Sci. Food Agric. 2019, 99, 6431–6443. [Google Scholar] [CrossRef]
- Pirozi, M.R.; Margiotta, B.; Lafiandra, D.; Macritchie, F. Composition of polymeric proteins and bread-making quality of wheat lines with allelic HMW-GS differing in number of cysteines. J. Cereal Sci. 2008, 48, 117–122. [Google Scholar] [CrossRef]
- Frank, K.; Miró, K.; Nagy, T.; Marincs, F. Development of a PCR-based DNA marker for Glu-1By alleles in the old Hungarian Bánkúti wheat. Mol. Breed. 2017, 37, 120–125. [Google Scholar] [CrossRef]
- Wieser, H.; Kieffer, R. Correlations of the amount of gluten protein types to the technological properties of wheat flours determined on a micro-scale. J. Cereal Sci. 2001, 34, 19–27. [Google Scholar] [CrossRef]
- Ohm, J.B.; Hareland, G.; Simsek, S.; Seabourn, B.; Maghirang, E.; Dowell, F. Molecular weight distribution of proteins in hard red spring wheat: Relationship to quality parameters and intrasample uniformity. Cereal Chem. 2010, 87, 553–560. [Google Scholar] [CrossRef]
- Barak, S.; Mudgil, D.; Khatkar, B.S. Influence of gliadin and glutenin fractions on rheological, pasting, and textural properties of dough. Int. J. Food Prop. 2014, 17, 1428–1438. [Google Scholar] [CrossRef]
- Gil-Humanes, J.; Pistón, F.; Rosell, C.M.; Barro, F. Significant down-regulation of γ-gliadins has minor effect on gluten and starch properties of bread wheat. J. Cereal Sci. 2012, 56, 161–170. [Google Scholar] [CrossRef]
- Chen, Q.; Guo, Z.R.; Shi, X.L.; Wei, M.Q.; Fan, Y.Z.; Zhu, J.; Zheng, T.; Wang, Y.; Kong, L.; Deng, M.; et al. Increasing the Grain Yield and Grain Protein Content of Common Wheat (Triticum aestivum L. by Introducing Missense Mutations in the Q Gene. Int. J. Mol. Sci. 2022, 23, 10772. [Google Scholar] [CrossRef]
- Li, X.X.; Huang, L.Y.; Peng, S.B.; Wang, F. Inter-annual climate variability constrains rice genetic improvement in China. Food Energy Secur. 2021, 10, e299. [Google Scholar] [CrossRef]
- Yu, Z.; Islam, S.; She, M.; Diepeveen, D.; Zhang, Y.; Tang, G.; Zhang, J.; Juhasz, A.; Yang, R.; Ma, W. Wheat grain protein accumulation and polymerization mechanisms driven by nitrogen fertilization. Plant J. 2018, 96, 1160–1177. [Google Scholar] [CrossRef]
- Rharrabti, Y.; Elhani, S.; Martos-Nunez, V.; García Del Moral, L.F. Protein and lysine content, grain yield, and other technological traits in durum wheat under Mediterranean conditions. J. Agric. Food Chem. 2001, 49, 3802–3807. [Google Scholar] [CrossRef]
- Javed, A.; Ahmad, N.; Ahmed, J.; Hameed, A.; Ashraf, M.A.; Zafar, S.A.; Maqbool, A.; Al-Amrah, H.; Alatawi, H.A.; Al-Harbi, M.S. Grain yield, chlorophyll and protein contents of elite wheat genotypes under drought stress. J. King Saud Univ. Sci. 2022, 34, 102279. [Google Scholar] [CrossRef]
- Wan, W.L.; Zhao, Y.H.; Li, X.F.; Xu, J.; Liu, K.G.; Guan, S.H.; Chai, Y.Q.; Xu, H.J.; Cui, H.X.; Chen, X.J.; et al. A moderate reduction in irrigation and nitrogen improves water-nitrogen use efficiency, productivity, and profit under new type of drip irrigated spring wheat system. Front. Plant Sci. 2022, 13, 1005945. [Google Scholar] [CrossRef] [PubMed]
- Chen, P.; Nie, T.; Chen, S.; Zhang, Z.; Qi, Z.; Liu, W. Recovery efficiency and loss of 15N-labelled urea in a rice-soil system under water saving irrigation in the Songnen Plain of Northeast China. Agric. Water Manag. 2019, 222, 139–153. [Google Scholar] [CrossRef]




| Soil Fertility | Soil Texture | Organic Matter | Available Phosphorus | Available Potassium | NO3-N | Total N |
|---|---|---|---|---|---|---|
| (g·kg−1) | (mg·kg−1) | (mg·kg−1) | (mg·kg−1) | (g·kg−1) | ||
| LF | Sandy | 8.33 | 7.43 | 94.32 | 8.1 | 0.53 |
| HF | Clay | 18.51 | 15.51 | 170.64 | 25.9 | 0.98 |
| Traits | NO3-N | DNC | |||
|---|---|---|---|---|---|
| LF | HF | Leaves | Stems with Sheaths | Spikes | |
| Glutenins | 0.519 | 0.762 ** | 0.418 ** | 0.256 | 0.271 |
| LMW-GS | 0.492 | 0.656 * | 0.364 ** | 0.215 | 0.217 |
| Ax1 | 0.464 | 0.743 ** | 0.350 * | 0.212 | 0.27 |
| Bx7 | 0.413 | 0.903 ** | 0.531 ** | 0.320* | 0.359 * |
| By8/By9 | 0.535 | 0.787 ** | 0.428 ** | 0.215 | 0.265 |
| Dx5 | 0.436 | 0.812 ** | 0.064 | 0.078 | 0.075 |
| Dy10 | 0.455 | 0.918 ** | 0.623 ** | 0.409 ** | 0.438 ** |
| Gliadins | 0.660 * | 0.873 ** | 0.650 ** | 0.578 ** | 0.531 ** |
| ω-gliadin | 0.685 * | 0.895 ** | 0.432 ** | 0.546 ** | 0.306 * |
| α/β-gliadin | 0.632 * | 0.884 ** | 0.631 ** | 0.572 ** | 0.527 ** |
| γ-gliadin | 0.648 * | 0.863 ** | 0.585 ** | 0.561 ** | 0.454 ** |
Disclaimer/Publisher’s Note: The statements, opinions and data contained in all publications are solely those of the individual author(s) and contributor(s) and not of MDPI and/or the editor(s). MDPI and/or the editor(s) disclaim responsibility for any injury to people or property resulting from any ideas, methods, instructions or products referred to in the content. |
© 2023 by the authors. Licensee MDPI, Basel, Switzerland. This article is an open access article distributed under the terms and conditions of the Creative Commons Attribution (CC BY) license (https://creativecommons.org/licenses/by/4.0/).
Share and Cite
Shen, Y.; Han, X.; Feng, H.; Han, Z.; Wang, M.; Ma, D.; Jin, J.; Li, S.; Ma, G.; Zhang, Y.; et al. Wheat GSPs and Processing Quality Are Affected by Irrigation and Nitrogen through Nitrogen Remobilisation. Foods 2023, 12, 4407. https://doi.org/10.3390/foods12244407
Shen Y, Han X, Feng H, Han Z, Wang M, Ma D, Jin J, Li S, Ma G, Zhang Y, et al. Wheat GSPs and Processing Quality Are Affected by Irrigation and Nitrogen through Nitrogen Remobilisation. Foods. 2023; 12(24):4407. https://doi.org/10.3390/foods12244407
Chicago/Turabian StyleShen, Yuanxin, Xiaojie Han, Haoxiang Feng, Zhidong Han, Mao Wang, Dongyun Ma, Jianmeng Jin, Shuangjing Li, Geng Ma, Yanfei Zhang, and et al. 2023. "Wheat GSPs and Processing Quality Are Affected by Irrigation and Nitrogen through Nitrogen Remobilisation" Foods 12, no. 24: 4407. https://doi.org/10.3390/foods12244407
APA StyleShen, Y., Han, X., Feng, H., Han, Z., Wang, M., Ma, D., Jin, J., Li, S., Ma, G., Zhang, Y., & Wang, C. (2023). Wheat GSPs and Processing Quality Are Affected by Irrigation and Nitrogen through Nitrogen Remobilisation. Foods, 12(24), 4407. https://doi.org/10.3390/foods12244407

