Effect of Transglutaminase Treatment on the Structure and Sensory Properties of Rice- or Soy-Based Hybrid Sausages
Abstract
:1. Introduction
2. Materials and Methods
2.1. Ingredients
2.2. Experimental Design and Hybrid Sausage Preparation
2.3. Heat Treatment Yield, pH, and Instrumental Color Analyses
2.4. Evaluation of Pressed Juice
2.5. Texture Profile Analysis (TPA)
2.6. Microstructure Analysis
2.7. Sensory Analysis
2.8. Statistical Analysis
3. Results and Discussion
3.1. Heat Treatment Yield (HTY), Pressed Juice, pH and Color Parameters of Hybrid Sausages Elaborated with Soy or Rice Proteins and Transglutaminase
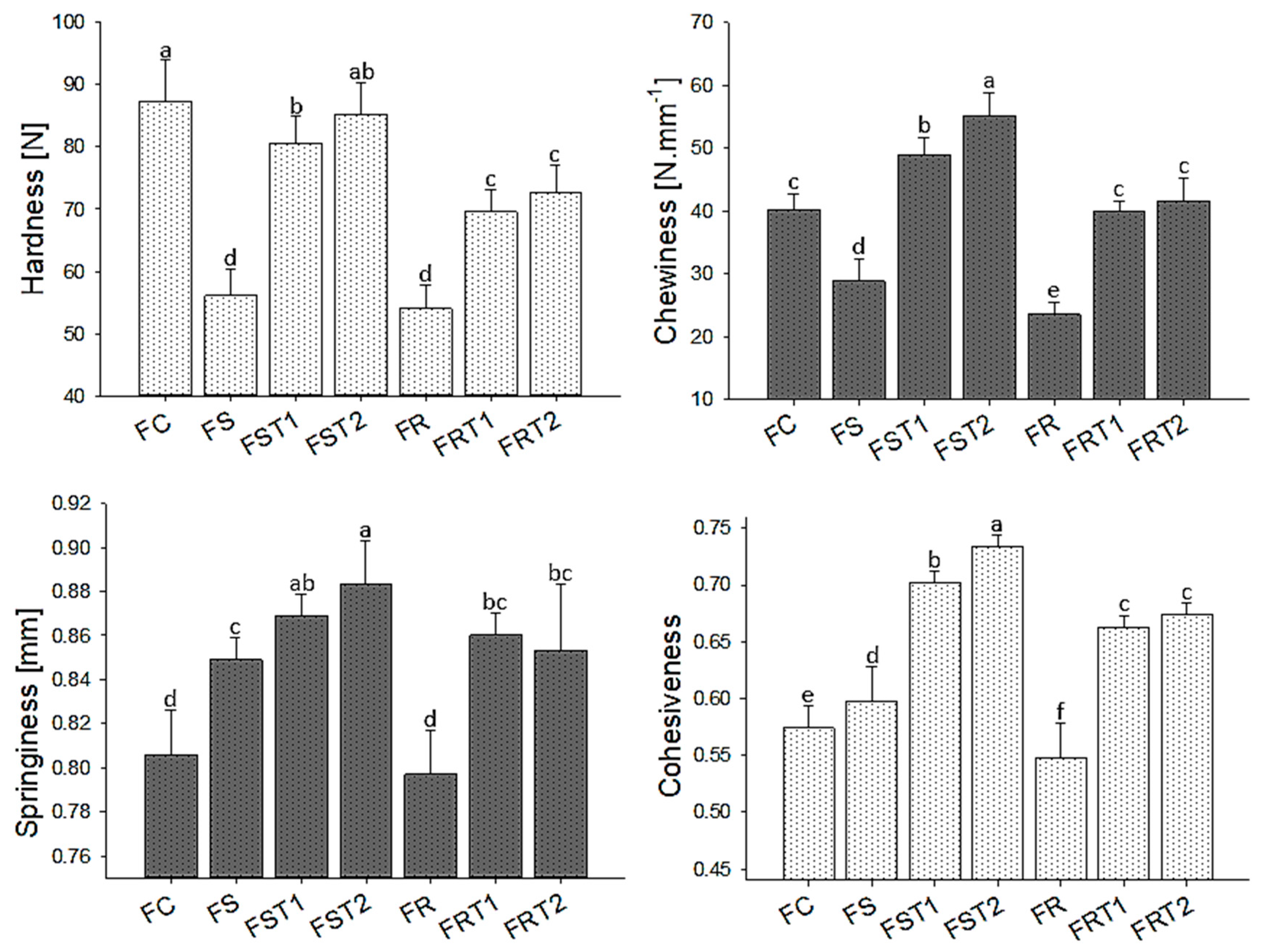
3.2. Texture Parameters and Microstructure of Hybrid Sausages Elaborated with Soy or Rice Proteins and Transglutaminase
3.3. Sensory Analysis of Hybrid Sausages Elaborated with Soy or Rice Proteins and Transglutaminase
4. Conclusions
Author Contributions
Funding
Institutional Review Board Statement
Data Availability Statement
Acknowledgments
Conflicts of Interest
References
- Grasso, S.; Smith, G.; Bowers, S.; Ajayi, O.M.; Swainson, M. Effect of Texturised Soy Protein and Yeast on the Instrumental and Sensory Quality of Hybrid Beef Meatballs. J. Food Sci. Technol. 2019, 56, 3126–3135. [Google Scholar] [CrossRef] [PubMed]
- Olmedilla-Alonso, B.; Jiménez-Colmenero, F.; Sánchez-Muniz, F.J. Development and Assessment of Healthy Properties of Meat and Meat Products Designed as Functional Foods. Meat Sci. 2013, 95, 919–930. [Google Scholar] [CrossRef] [PubMed]
- dos Santos, M.; da Rocha, D.A.V.F.; Bernardinelli, O.D.; Júnior, F.D.O.; de Sousa, D.G.; Sabadini, E.; da Cunha, R.L.; Trindade, M.A.; Pollonio, M.A.R. Understanding the Performance of Plant Protein Concentrates as Partial Meat Substitutes in Hybrid Meat Emulsions. Foods 2022, 11, 3311. [Google Scholar] [CrossRef] [PubMed]
- Jiang, J.; Xiong, Y.L. Extreme PH Treatments Enhance the Structure-Reinforcement Role of Soy Protein Isolate and Its Emulsions in Pork Myofibrillar Protein Gels in the Presence of Microbial Transglutaminase. Meat Sci. 2013, 93, 469–476. [Google Scholar] [CrossRef]
- Ju, Z.Y.; Hettiarachchy, N.S.; Rath, N. Extraction, Denaturation and Hydrophobic Properties of Rice Flour Proteins. J. Food Sci. 2001, 66, 229–232. [Google Scholar] [CrossRef]
- Neji, C.; Semwal, J.; Kamani, M.H.; Máthé, E.; Sipos, P. Legume Protein Extracts: The Relevance of Physical Processing in the Context of Structural, Techno-Functional and Nutritional Aspects of Food Development. Processes 2022, 10, 2586. [Google Scholar] [CrossRef]
- Ruíz-Henestrosa, V.P.; Sánchez, C.C.; Escobar, M.d.M.Y.; Jiménez, J.J.P.; Rodríguez, F.M.; Patino, J.M.R. Interfacial and Foaming Characteristics of Soy Globulins as a Function of PH and Ionic Strength. Colloids Surf. A Physicochem. Eng. Asp. 2007, 309, 202–215. [Google Scholar] [CrossRef]
- Herreman, L.; Nommensen, P.; Pennings, B.; Laus, M.C. Comprehensive Overview of the Quality of Plant- And Animal-Sourced Proteins Based on the Digestible Indispensable Amino Acid Score. Food Sci. Nutr. 2020, 8, 5379–5391. [Google Scholar] [CrossRef]
- Agboola, S.; Ng, D.; Mills, D. Characterisation and Functional Properties of Australian Rice Protein Isolates. J. Cereal Sci. 2005, 41, 283–290. [Google Scholar] [CrossRef]
- Kang, D.; Zhang, W.; Lorenzo, J.M.; Chen, X. Structural and Functional Modification of Food Proteins by High Power Ultrasound and Its Application in Meat Processing. Crit. Rev. Food Sci. Nutr. 2021, 61, 1914–1933. [Google Scholar] [CrossRef]
- Zheng, H.; Han, M.; Bai, Y.; Xu, X.; Zhou, G. Combination of High Pressure and Heat on the Gelation of Chicken Myofibrillar Proteins. Innov. Food Sci. Emerg. Technol. 2019, 52, 122–130. [Google Scholar] [CrossRef]
- Santhi, D.; Kalaikannan, A.; Malairaj, P.; Arun Prabhu, S. Application of Microbial Transglutaminase in Meat Foods: A Review. Crit. Rev. Food Sci. Nutr. 2017, 57, 2071–2076. [Google Scholar] [CrossRef] [PubMed]
- Kuraishi, C.; Yamazaki, K.; Susa, Y. Transglutaminase: Its Utilization in the Food Industry. Food Rev. Int. 2007, 17, 221–246. [Google Scholar] [CrossRef]
- Lohman, M.H.; Hartel, R.W. Effect of Milk Fat Fractions on Fat Bloom in Dark Chocolate. J. Am. Oil Chem. Soc. 1994, 71, 267–276. [Google Scholar] [CrossRef]
- Lucherk, L.W.; O’Quinn, T.G.; Legako, J.F.; Rathmann, R.J.; Brooks, J.C.; Miller, M.F. Assessment of Objective Measures of Beef Steak Juiciness and Their Relationships to Sensory Panel Juiciness Ratings. J. Anim. Sci. 2017, 95, 2421–2437. [Google Scholar] [CrossRef]
- Esmerino, E.A.; Castura, J.C.; Ferraz, J.P.; Tavares Filho, E.R.; Silva, R.; Cruz, A.G.; Freitas, M.Q.; Bolini, H.M.A. Dynamic Profiling of Different Ready-to-Drink Fermented Dairy Products: A Comparative Study Using Temporal Check-All-That-Apply (TCATA), Temporal Dominance of Sensations (TDS) and Progressive Profile (PP). Food Res. Int. 2017, 101, 249–258. [Google Scholar] [CrossRef]
- Kristo, E.; Corredig, M. Functional Properties of Food Proteins. In Applied Food Protein Chemistry; Ustunol, Z., Ed.; John Wiley & Sons, Ltd.: Hoboken, NJ, USA, 2014; pp. 47–73. [Google Scholar] [CrossRef]
- Romero, A.; Beaumal, V.; David-Briand, E.; Cordobes, F.; Guerrero, A.; Anton, M. Interfacial and Emulsifying Behaviour of Rice Protein Concentrate. Food Hydrocoll. 2012, 29, 1–8. [Google Scholar] [CrossRef]
- Savadkoohi, S.; Bannikova, A.; Kasapis, S. Glass Transition of Globular Proteins from Thermal and High Pressure Perspectives. In Glass Transition and Phase Transitions in Food and Biological Materials; Ahmed, J., Ed.; John Wiley & Sons, Ltd.: Hoboken, NJ, USA, 2017; pp. 49–117. [Google Scholar] [CrossRef]
- Hemung, B.O.; Chin, K.B. Evaluation of Acid-Treated Fish Sarcoplasmic Proteins on Physicochemical and Rheological Characteristics of Pork Myofibrillar Protein Gel Mediated by Microbial Transglutaminase. Korean J. Food Sci. Anim. Resour. 2015, 35, 50. [Google Scholar] [CrossRef]
- Qiu, C.; Hu, X.; Li, L.; Yang, X.; Zhao, M.; Ren, J. Effect of Transglutaminase Cross-Linking on the Conformational and Emulsifying Properties of Peanut Arachin and Conarachin Fractions. Eur. Food Res. Technol. 2017, 243, 913–920. [Google Scholar] [CrossRef]
- Kim, T.K.; Hwang, K.E.; Ham, Y.K.; Kim, H.W.; Paik, H.D.; Kim, Y.B.; Choi, Y.S. Interactions between Raw Meat Irradiated by Various Kinds of Ionizing Radiation and Transglutaminase Treatment in Meat Emulsion Systems. Radiat. Phys. Chem. 2020, 166, 108452. [Google Scholar] [CrossRef]
- Zhao, Y.; Xue, S.; Zhang, X.; Zhang, T.; Shen, X. Improved Gel Properties of Whey Protein-Stabilized Emulsions by Ultrasound and Enzymatic Cross-Linking. Gels 2021, 7, 135. [Google Scholar] [CrossRef] [PubMed]
- Zhang, X.; Wang, W.; Wang, Y.; Wang, Y.; Wang, X.; Gao, G.; Chen, G.; Liu, A. Effects of Nanofiber Cellulose on Functional Properties of Heat-Induced Chicken Salt-Soluble Meat Protein Gel Enhanced with Microbial Transglutaminase. Food Hydrocoll. 2018, 84, 1–8. [Google Scholar] [CrossRef]
- Zinina, O.; Merenkova, S.; Galimov, D.; Okuskhanova, E.; Rebezov, M.; Khayrullin, M.; Anichkina, O. Effects of Microbial Transglutaminase on Technological, Rheological, and Microstructural Indicators of Minced Meat with the Addition of Plant Raw Materials. Int. J. Food Sci. 2020, 2020, 8869401. [Google Scholar] [CrossRef] [PubMed]
- Pietrasik, Z.; Jarmoluk, A.; Shand, P.J. Effect of Non-Meat Proteins on Hydration and Textural Properties of Pork Meat Gels Enhanced with Microbial Transglutaminase. LWT—Food Sci. Technol. 2007, 40, 915–920. [Google Scholar] [CrossRef]
- Forghani, Z.; Eskandari, M.H.; Aminlari, M.; Shekarforoush, S.S. Effects of Microbial Transglutaminase on Physicochemical Properties, Electrophoretic Patterns and Sensory Attributes of Veggie Burger. J. Food Sci. Technol. 2017, 54, 2203–2213. [Google Scholar] [CrossRef]
- Bertram, H.C.; Kristensen, M.; Andersen, H.J. Functionality of Myofibrillar Proteins as Affected by PH, Ionic Strength and Heat Treatment—A Low-Field NMR Study. Meat Sci. 2004, 68, 249–256. [Google Scholar] [CrossRef]
- Pietrasik, Z.; Janz, J.A.M. Utilization of Pea Flour, Starch-Rich and Fiber-Rich Fractions in Low Fat Bologna. Food Res. Int. 2010, 43, 602–608. [Google Scholar] [CrossRef]
- Canto, A.C.V.C.S.; Lima, B.R.C.C.; Suman, S.P.; Lazaro, C.A.; Monteiro, M.L.G.; Conte-Junior, C.A.; Freitas, M.Q.; Cruz, A.G.; Santos, E.B.; Silva, T.J.P. Physico-Chemical and Sensory Attributes of Low-Sodium Restructured Caiman Steaks Containing Microbial Transglutaminase and Salt Replacers. Meat Sci. 2014, 96, 623–632. [Google Scholar] [CrossRef]
- Hong, G.P.; Xiong, Y.L. Microbial Transglutaminase-Induced Structural and Rheological Changes of Cationic and Anionic Myofibrillar Proteins. Meat Sci. 2012, 91, 36–42. [Google Scholar] [CrossRef]
- Wang, Y.R.; Yang, Q.; Li-Sha, Y.J.; Chen, H.Q. Effects of Thermal Aggregation Treatment on the Structural, Gelation Properties and Microstructure of Phosphorylated Rice Glutelin Gel. J. Cereal Sci. 2021, 100, 103252. [Google Scholar] [CrossRef]
- De Jong, G.A.H.; Koppelman, S.J. Transglutaminase Catalyzed Reactions: Impact on Food Applications. J. Food Sci. 2002, 67, 2798–2806. [Google Scholar] [CrossRef]
- Basman, A.; Köksel, H.; Ng, P.K.W. Effects of Transglutaminase on SDS-PAGE Patterns of Wheat, Soy, and Barley Proteins and Their Blends. J. Food Sci. 2002, 67, 2654–2658. [Google Scholar] [CrossRef]
- Baugreet, S.; Kerry, J.P.; Brodkorb, A.; Gomez, C.; Auty, M.; Allen, P.; Hamill, R.M. Optimisation of Plant Protein and Transglutaminase Content in Novel Beef Restructured Steaks for Older Adults by Central Composite Design. Meat Sci. 2018, 142, 65–77. [Google Scholar] [CrossRef] [PubMed]
- Erdem, N.; Babaoğlu, A.S.; Poçan, H.B.; Karakaya, M. The Effect of Transglutaminase on Some Quality Properties of Beef, Chicken, and Turkey Meatballs. J. Food Process. Preserv. 2020, 44, e14815. [Google Scholar] [CrossRef]
- Wang, C.; Li, J.; Zhou, S.; Zhou, J.; Lan, Q.; Qin, W.; Wu, D.; Liu, J.; Yang, W.; Zhang, Q. Application of Transglutaminase for Quality Improvement of Whole Soybean Curd. J. Food Sci. Technol. 2019, 56, 233–244. [Google Scholar] [CrossRef]
- Lee, E.J.; Hong, G.P. Effects of Microbial Transglutaminase and Alginate on the Water-Binding, Textural and Oil Absorption Properties of Soy Patties. Food Sci. Biotechnol. 2020, 29, 777–782. [Google Scholar] [CrossRef]
- Lin, C.F.; Wang, Y.T.; Wu, J.S.B. Modification in Physical Properties of Rice Gel by Microbial Transglutaminase. J. Sci. Food Agric. 2009, 89, 477–481. [Google Scholar] [CrossRef]
- Wen, Y.; Kim, H.W.; Park, H.J. Effects of Transglutaminase and Cooking Method on the Physicochemical Characteristics of 3D-Printable Meat Analogs. Innov. Food Sci. Emerg. Technol. 2022, 81, 103114. [Google Scholar] [CrossRef]
- Ahhmed, A.M.; Kuroda, R.; Kawahara, S.; Ohta, K.; Nakade, K.; Aoki, T.; Muguruma, M. Dependence of Microbial Transglutaminase on Meat Type in Myofibrillar Proteins Cross-Linking. Food Chem. 2009, 112, 354–361. [Google Scholar] [CrossRef]





| Ingredients | Treatments | ||||||
|---|---|---|---|---|---|---|---|
| FC | FS | FST1 | FST2 | FR | FRT1 | FRT2 | |
| Lean red meat | 65.00 | 32.50 | 32.50 | 32.50 | 32.50 | 32.50 | 32.50 |
| Hydrated soy protein | - | 32.50 | 32.50 | 32.50 | - | - | - |
| Hydrated rice protein | - | - | - | - | 32.50 | 32.50 | 32.50 |
| Transglutaminase TG-N-SF | - | - | 0.25 | 0.50 | - | 0.25 | 0.50 |
| Water | 12.94 | 12.94 | 12.69 | 12.44 | 12.94 | 12.69 | 12.44 |
| Parameters | Treatments | ||||||
|---|---|---|---|---|---|---|---|
| FC | FS | FST1 | FST2 | FR | FRT1 | FRT2 | |
| Heat treatment yield [%] | 87.91 (1.12) B | 95.83 (0.61) A | 96.20 (0.37) A | 95.37 (0.36) B | 82.50 (1.32) C | 76.41 (1.38) D | 71.57 (1.16) E |
| Pressed juice [%] | 15.34 (1.58) D | 22.14 (0.95) B | 15.64 (1.55) D | 16.62 (1.75) D | 27.56 (1.02) A | 23.00 (2.13) B | 20.24 (1.17) C |
| pH | 6.06 (0.01) F | 6.44 (0.01) C | 6.48 (0.02) B | 6.51 (0.02) A | 6.09 (0.02) E | 6.09 (0.02) E | 6.11 (0.01) D |
| Lightness [L*] | 61.34 (0.54) D | 64.91 (0.20) A | 64.75 (0.44) AB | 64.24 (0.69) B | 63.21 (0.38) C | 59.67 (0.53) E | 59.57 (0.33) E |
| Redness [a*] | 11.22 (0.39) A | 8.47 (0.22) D | 8.53 (0.15) D | 8.51 (0.30) D | 9.39 (0.11) C | 10.38 (0.21) B | 10.42 (0.13) B |
| Yellowness [b*] | 12.93 (0.44) C | 14.95 (0.25) B | 15.09 (0.26) B | 15.46 (0.14) A | 15.11 (0.12) B | 15.45 (0.23) A | 15.27 (0.23) AB |
| Whiteness [W] | 57.72 (0.73) D | 60.93 (0.29) A | 60.72 (0.37) A | 60.12 (0.30) B | 59.14 (0.40) C | 55.58 (0.60) E | 55.54 (0.40) E |
Disclaimer/Publisher’s Note: The statements, opinions and data contained in all publications are solely those of the individual author(s) and contributor(s) and not of MDPI and/or the editor(s). MDPI and/or the editor(s) disclaim responsibility for any injury to people or property resulting from any ideas, methods, instructions or products referred to in the content. |
© 2023 by the authors. Licensee MDPI, Basel, Switzerland. This article is an open access article distributed under the terms and conditions of the Creative Commons Attribution (CC BY) license (https://creativecommons.org/licenses/by/4.0/).
Share and Cite
dos Santos, M.; Ribeiro, W.O.; Monteiro, J.d.S.; dos Santos, B.A.; Campagnol, P.C.B.; Pollonio, M.A.R. Effect of Transglutaminase Treatment on the Structure and Sensory Properties of Rice- or Soy-Based Hybrid Sausages. Foods 2023, 12, 4226. https://doi.org/10.3390/foods12234226
dos Santos M, Ribeiro WO, Monteiro JdS, dos Santos BA, Campagnol PCB, Pollonio MAR. Effect of Transglutaminase Treatment on the Structure and Sensory Properties of Rice- or Soy-Based Hybrid Sausages. Foods. 2023; 12(23):4226. https://doi.org/10.3390/foods12234226
Chicago/Turabian Styledos Santos, Mirian, Wanessa Oliveira Ribeiro, Jamille de Sousa Monteiro, Bibiana Alves dos Santos, Paulo Cezar Bastianello Campagnol, and Marise Aparecida Rodrigues Pollonio. 2023. "Effect of Transglutaminase Treatment on the Structure and Sensory Properties of Rice- or Soy-Based Hybrid Sausages" Foods 12, no. 23: 4226. https://doi.org/10.3390/foods12234226
APA Styledos Santos, M., Ribeiro, W. O., Monteiro, J. d. S., dos Santos, B. A., Campagnol, P. C. B., & Pollonio, M. A. R. (2023). Effect of Transglutaminase Treatment on the Structure and Sensory Properties of Rice- or Soy-Based Hybrid Sausages. Foods, 12(23), 4226. https://doi.org/10.3390/foods12234226

