Bioavailable Phenolic Compounds from Olive Pomace Present Anti-Neuroinflammatory Potential on Microglia Cells
Abstract
:1. Introduction
2. Material and Methods
2.1. Olive Pomace Samples
2.2. Gastrointestinal Digestion of Olive Pomace to Obtain Bioavailable PCs
2.3. The Profile of Bioavailable PCs from Olive Pomace
2.4. In Vitro Antioxidant Capacity of Bioavailable PCs from Olive Pomace
2.4.1. Hydroxyl Radical Generation
2.4.2. GSH Protection Capacity
2.4.3. Protective Capacity against the Radical ROO●
2.5. Evaluation of the Anti-Neuroinflammatory Capacity of Bioavailable PCs from Olive Pomace in Microglial Cells
2.5.1. Cell Culture and Treatments
2.5.2. Cellular Viability Determination
2.5.3. Measurement of NO Production
2.5.4. Measurement of ROS Levels
2.6. Statistical Analyses
3. Results
3.1. The Profile of Bioavailable PC in OPF and OPM Samples
3.2. In Vitro Cell-Free Antioxidant Capacity of the Bioavailable PCs from OPF and OPM Samples
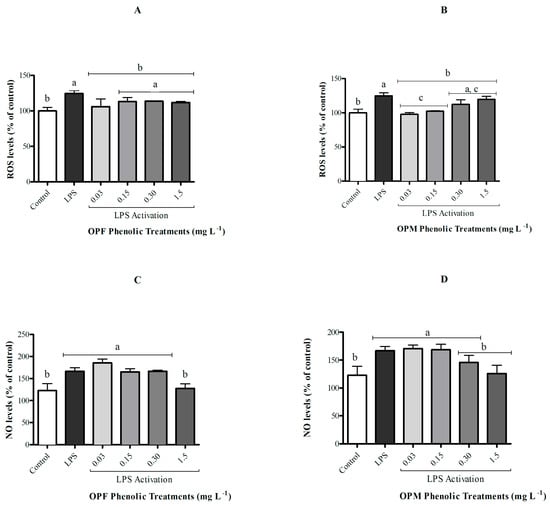
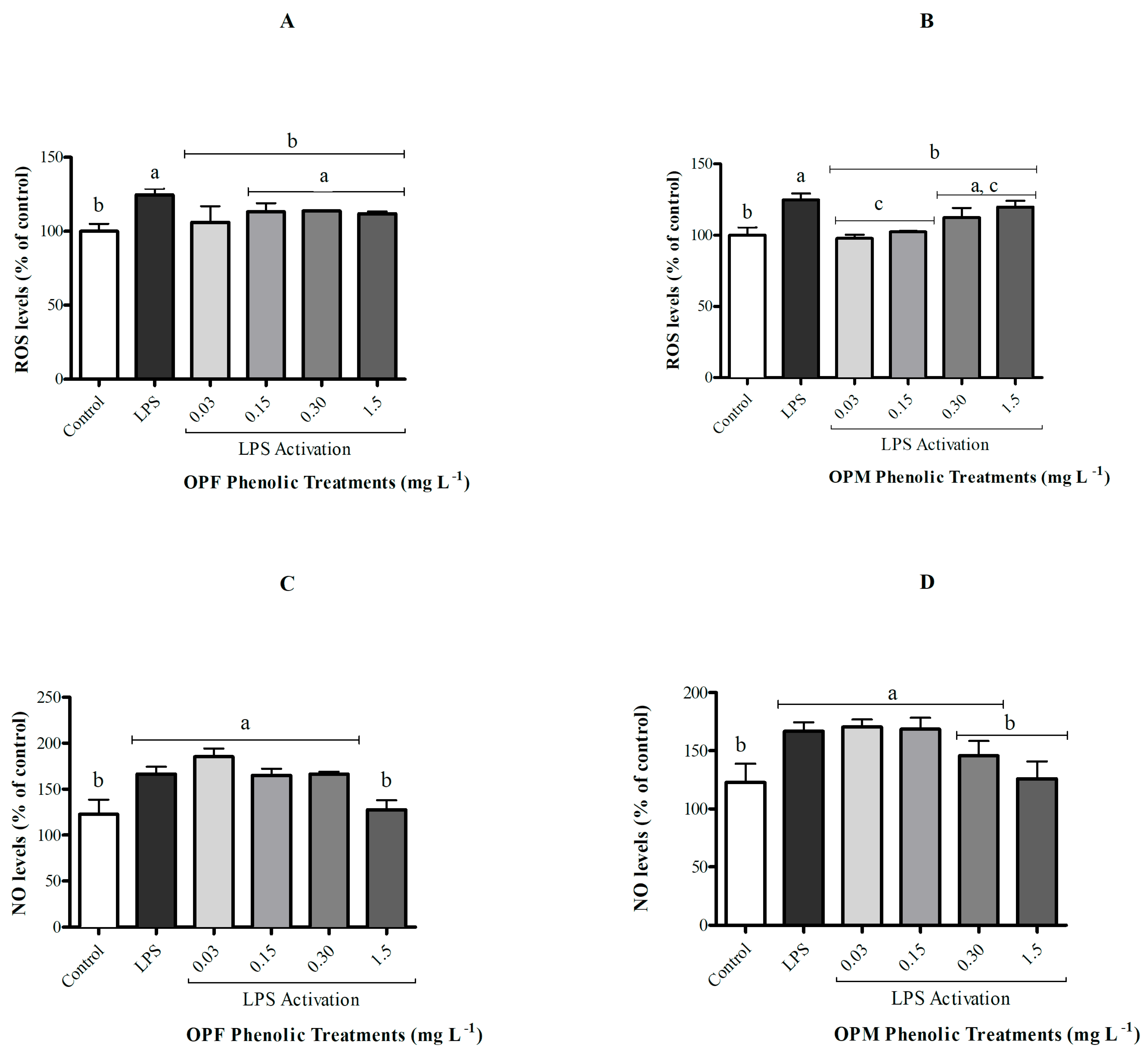
3.3. Anti-Neuroinflammatory Capacity of the Bioavailable PCs from Olive Pomace in Microglial Cells
3.4. Chemometric Analyses to Identify the Bioactive PCs of Olive Pomace
3.5. Distribution of Bioavailable PC Classes from OPF and OPM
4. Discussion
5. Conclusions
Author Contributions
Funding
Data Availability Statement
Acknowledgments
Conflicts of Interest
References
- Angeloni, C.; Malaguti, M.; Barbalace, M.C.; Hrelia, S. Bioactivity of Olive Oil Phenols in Neuroprotection. Int. J. Mol. Sci. 2017, 18, 2230. [Google Scholar] [CrossRef] [PubMed]
- Augusti, P.R.; Conterato, G.M.; Denardin, C.C.; Prazeres, I.D.; Serra, A.T.; Bronze, M.R.; Emanuelli, T. Bioactivity, bioavailability, and gut microbiota transformations of dietary phenolic compounds: Implications for COVID-19. J. Nutr. Biochem. 2020, 97, 108787. [Google Scholar] [CrossRef] [PubMed]
- Berk, M.; Kapczinski, F.; Andreazza, A.; Dean, O.; Giorlando, F.; Maes, M.; Yücel, M.; Gama, C.; Dodd, S.; Dean, B.; et al. Pathways underlying neuroprogression in bipolar disorder: Focus on inflammation, oxidative stress and neurotrophic factors. Neurosci. Biobehav. Rev. 2011, 35, 804–817. [Google Scholar] [CrossRef] [PubMed]
- Boligon, A.A.; Sagrillo, M.R.; Machado, L.F.; Filho, O.d.S.; Machado, M.M.; da Cruz, I.B.M.; Athayde, M.L. Protective Effects of Extracts and Flavonoids Isolated from Scutia buxifolia Reissek against Chromosome Damage in Human Lymphocytes Exposed to Hydrogen Peroxide. Molecules 2012, 17, 5757–5769. [Google Scholar] [CrossRef] [PubMed]
- Brodkorb, A.; Egger, L.; Alminger, M.; Alvito, P.; Assunção, R.; Ballance, S.; Bohn, T.; Bourlieu-Lacanal, C.; Boutrou, R.; Carrière, F.; et al. INFOGEST static in vitro simulation of gastrointestinal food digestion. Nat. Protoc. 2019, 14, 991–1014. [Google Scholar] [CrossRef]
- Cadoná, F.C.; de Souza, D.V.; Fontana, T.; Bodenstein, D.F.; Ramos, A.P.; Sagrillo, M.R.; Salvador, M.; Mota, K.; Davidson, C.B.; Ribeiro, E.E.; et al. Açaí (Euterpe oleracea Mart.) as a Potential Anti-neuroinflammatory Agent: NLRP3 Priming and Activating Signal Pathway Modulation. Mol. Neurobiol. 2021, 58, 4460–4476. [Google Scholar] [CrossRef]
- Choi, W.-S.; Shin, P.-G.; Lee, J.-H.; Kim, G.-D. The regulatory effect of veratric acid on NO production in LPS-stimulated RAW264.7 macrophage cells. Cell. Immunol. 2012, 280, 164–170. [Google Scholar] [CrossRef]
- Cong, L.; Lei, M.-Y.; Liu, Z.-Q.; Liu, Z.-F.; Ma, Z.; Liu, K.; Li, J.; Deng, Y.; Liu, W.; Xu, B. Resveratrol attenuates manganese-induced oxidative stress and neuroinflammation through SIRT1 signaling in mice. Food Chem. Toxicol. 2021, 153, 112283. [Google Scholar] [CrossRef]
- Costa, F.; Barbisan, F.; Assmann, C.E.; Duarte, A.; Henrique, M.; Thiago, M.; Medeiros, M.M.; Duarte, F.; Beatrice, I.; Costa, F.; et al. Influence of Val16Ala-SOD2 polymorphism on sperm quality parameters. Hum. Fertil. 2017, 21, 212–219. [Google Scholar] [CrossRef]
- Delgado, A.; Cholevas, C.; Theoharides, T.C. Neuroinflammation in Alzheimer’s disease and beneficial action of luteolin. BioFactors 2021, 47, 207–217. [Google Scholar] [CrossRef]
- Ellman, G.L. Tissue sulfhydryl groups. Arch. Biochem. Biophys. 1959, 82, 70–77. [Google Scholar] [CrossRef] [PubMed]
- Foti, P.; Pino, A.; Romeo, F.V.; Vaccalluzzo, A.; Caggia, C.; Randazzo, C.L. Olive Pomace and Pâté Olive Cake as Suitable Ingredients for Food and Feed. Microorganisms 2022, 10, 237. [Google Scholar] [CrossRef] [PubMed]
- Gallardo-Fernández, M.; Hornedo-Ortega, R.; Alonso-Bellido, I.M.; Rodríguez-Gómez, J.A.; Troncoso, A.M.; García-Parrilla, M.C.; Venero, J.L.; Espinosa-Oliva, A.M.; de Pablos, R.M. Hydroxytyrosol Decreases LPS- and α-Synuclein-Induced Microglial Activation In Vitro. Antioxidants 2019, 9, 36. [Google Scholar] [CrossRef] [PubMed]
- Halliwell, B.; Gutteridge, J.M.; Aruoma, O.I. The deoxyribose method: A simple “test-tube” assay for determination of rate constants for reactions of hydroxyl radicals. Anal. Biochem. 1987, 165, 215–219. [Google Scholar] [CrossRef] [PubMed]
- Hansson, O. Biomarkers for neurodegenerative diseases. Nat. Med. 2021, 27, 954–963. [Google Scholar] [CrossRef] [PubMed]
- Hornedo-Ortega, R.; Cerezo, A.B.; de Pablos, R.M.; Krisa, S.; Richard, T.; García-Parrilla, M.C.; Troncoso, A.M. Phenolic Compounds Characteristic of the Mediterranean Diet in Mitigating Microglia-Mediated Neuroinflammation. Front. Cell. Neurosci. 2018, 12, 373. [Google Scholar] [CrossRef]
- Huang, D.; Ou, B.; Prior, R.L. The Chemistry behind Antioxidant Capacity Assays. J. Agric. Food Chem. 2005, 53, 1841–1856. [Google Scholar] [CrossRef]
- Ketnawa, S.; Reginio, F.C., Jr.; Thuengtung, S.; Ogawa, Y. Changes in bioactive compounds and antioxidant activity of plant-based foods by gastrointestinal digestion: A review. Crit. Rev. Food Sci. Nutr. 2022, 62, 4684–4705. [Google Scholar] [CrossRef]
- Kujawska, M.; Jodynis-Liebert, J. Polyphenols in Parkinson’s Disease: A Systematic Review of In Vivo Studies. Nutrients 2018, 10, 642. [Google Scholar] [CrossRef]
- Leri, M.; Vasarri, M.; Carnemolla, F.; Oriente, F.; Cabaro, S.; Stio, M.; Degl’innocenti, D.; Stefani, M.; Bucciantini, M. EVOO Polyphenols Exert Anti-Inflammatory Effects on the Microglia Cell through TREM2 Signaling Pathway. Pharmaceuticals 2023, 16, 933. [Google Scholar] [CrossRef]
- Li, Y.; Li, M.; Wang, L.; Li, Z. Effect of particle size on the release behavior and functional properties of wheat bran phenolic compounds during in vitro gastrointestinal digestion. Food Chem. 2022, 367, 130751. [Google Scholar] [CrossRef] [PubMed]
- Mushtaq, A.; Hanif, M.A.; Ayub, M.A.; Bhatti, I.A.; Romdhane, M. Olive. Med. Plants South Asia 2020, 40, 541–555. [Google Scholar] [CrossRef]
- Park, J.; Min, J.; Chae, U.; Yeop, J.; Song, K.; Lee, H.; Jun, H.; Lee, S.; Lee, D. Anti-in fl ammatory effect of oleuropein on microglia through regulation of Drp1-dependent mitochondrial fi ssion. J. Neuroimmunol. 2017, 306, 46–52. [Google Scholar] [CrossRef]
- Reboredo-rodr, P.; Gonz, C.; Mart, E.; Rial-otero, R.; Cancho-grande, B. Applicability of an In-Vitro Digestion Model to Assess the Bioaccessibility of Phenolic Compounds from Olive-Related Products. Molecules 2021, 26, 6667. [Google Scholar] [CrossRef]
- Ribeiro, B.; Bonif, T.; Silva, S.; Veiga, M.; Monforte, A.R. Food Hydrocolloids Prebiotic effects of olive pomace powders in the gut: In vitro evaluation of the inhibition of adhesion of pathogens, prebiotic and antioxidant effects. Food Hydrocoll. 2021, 112, 106312. [Google Scholar] [CrossRef]
- Sánchez-Martínez, J.D.; Garcia, A.R.; Alvarez-Rivera, G.; Valdés, A.; Brito, M.A.; Cifuentes, A. In Vitro Study of the Blood–Brain Barrier Transport of Natural Compounds Recovered from Agrifood By-Products and Microalgae. Int. J. Mol. Sci. 2023, 24, 533. [Google Scholar] [CrossRef]
- Monteiro, C.S.; Bortolazzo, P.C.; Bonini, C.A.A.; Dluzniewski, L.T.; da Silva, D.T.; Baranzelli, J.; Smaniotto, F.A.; Ballus, C.A.; Lozano-Sánchez, J.; Somacal, S.; et al. Effect of micronization on olive pomace biotransformation in the static model of colonic fermentation. Food Chem. 2023, 418, 135921. [Google Scholar] [CrossRef]
- Schmidt, L.; Damian, O.; Rossini, P. Phenolic compounds and contaminants in olive oil and pomace—A narrative review of their biological and toxic effects. Food Biosci. 2023, 53, 102626. [Google Scholar] [CrossRef]
- Sefrin, C.; Rigo, D.; Betine, A.; Bender, B.; Stiebe, J.; Augusto, C.; Picolli, L.; Lozano-s, J.; Emanuelli, T. Micronization increases the bioaccessibility of polyphenols from granulometrically separated olive pomace fractions. Food Chem. 2021, 344, 128689. [Google Scholar] [CrossRef]
- Simon, A.; Darcsi, A.; Kéry, Á.; Riethmüller, E. Blood-brain barrier permeability study of ginger constituents. J. Pharm. Biomed. Anal. 2020, 177, 112820. [Google Scholar] [CrossRef]
- Simonato, B.; Trevisan, S.; Tolve, R.; Favati, F.; Pasini, G. Pasta fortification with olive pomace: Effects on the technological characteristics and nutritional properties. LWT 2019, 114, 108368. [Google Scholar] [CrossRef]
- Singh, S.S.; Rai, S.N.; Birla, H.; Zahra, W.; Rathore, A.S.; Singh, S.P. NF-κB-Mediated Neuroinflammation in Parkinson’s Disease and Potential Therapeutic Effect of Polyphenols. Neurotox. Res. 2020, 37, 491–507. [Google Scholar] [CrossRef] [PubMed]
- de Souza, D.V.; Pappis, L.; Bandeira, T.T.; Sangoi, G.G.; Fontana, T.; Rissi, V.B.; Sagrillo, M.R.; Duarte, M.M.; Duarte, T.; Bodenstein, D.F.; et al. Açaí (Euterpe oleracea Mart.) presents anti-neuroinflammatory capacity in LPS-activated microglia cells. Nutr. Neurosci. 2022, 25, 1188–1199. [Google Scholar] [CrossRef] [PubMed]
- Taticchi, A.; Urbani, S.; Albi, E.; Servili, M.; Codini, M.; Traina, G.; Balloni, S.; Patria, F.F.; Perioli, L.; Beccari, T.; et al. In Vitro Anti-Inflammatory Effects of Phenolic Compounds from Moraiolo Virgin Olive Oil (MVOO) in Brain Cells via Regulating the TLR4/NLRP3 Axis. Molecules 2019, 24, 4523. [Google Scholar] [CrossRef] [PubMed]
- Yu, X.D.; Zhang, D.; Xiao, C.L.; Zhou, Y.; Li, X.; Wang, L.; He, Z.; Reilly, J.; Xiao, Z.Y.; Shu, X. P-Coumaric Acid Reverses Depression-Like Behavior and Memory Deficit Via Inhibiting AGE-RAGE-Mediated Neuroinflammation. Cells 2022, 11, 1594. [Google Scholar] [CrossRef]
- Zhao, Y.-T.; Zhang, L.; Yin, H.; Shen, L.; Zheng, W.; Zhang, K.; Zeng, J.; Hu, C.; Liu, Y. Hydroxytyrosol alleviates oxidative stress and neuroinflammation and enhances hippocampal neurotrophic signaling to improve stress-induced depressive behaviors in mice. Food Funct. 2021, 12, 5478–5487. [Google Scholar] [CrossRef]
- Zhang, L.; Zhang, J.; Jiang, X.; Yang, L.; Zhang, Q.; Wang, B.; Cui, L.; Wang, X. Hydroxytyrosol Inhibits LPS-Induced Neuroinflammatory Responses via Suppression of TLR-4-Mediated NF-κB P65 Activation and ERK Signaling Pathway. Neuroscience 2020, 426, 189–200. [Google Scholar] [CrossRef]
- Zhu, T.; Wang, L.; Wang, L.-P.; Wan, Q. Therapeutic targets of neuroprotection and neurorestoration in ischemic stroke: Applications for natural compounds from medicinal herbs. Biomed. Pharmacother. 2022, 148, 112719. [Google Scholar] [CrossRef]
- Khaneghah, A.M.; Martins, L.M.; von Hertwig, A.M.; Bertoldo, R.; Sant’Ana, A.S. Deoxynivalenol and its masked forms: Characteristics, incidence, control and fate during wheat and wheat based products processing—A review. Trends Food Sci. Technol. 2018, 71, 13–24. [Google Scholar] [CrossRef]
- Xiong, S.; Su, X.; Kang, Y.; Si, J.; Wang, L.; Li, X.; Ma, K. Effect and mechanism of chlorogenic acid on cognitive dysfunction in mice by lipopolysaccharide-induced neuroinflammation. Front. Immunol. 2023, 14, 1178188. [Google Scholar] [CrossRef]





| Phenolic Compounds | OPF | OPM |
|---|---|---|
| Hydroxytyrosol | 0.10 ± 0.02 a | 0.18 ± 0.04 a |
| Hydroxytyrosol–glycoside | 4.53 ± 0.08 b | 8.07 ± 0.60 a |
| 4-Hydroxybenzoic Acid | 0.008 ± 0.002 b | 0.015 ± 0.00 a |
| Tyrosol | 1.15 ± 0.07 a | 1.56 ± 0.31 a |
| Chlorogenic Acid | <LOQ | 0.01 ± 0.00 a |
| Vanillic Acid | 0.13 ± 0.04 a | 0.12 ± 0.05 a |
| Oleuropein aglycone | 4.65 ± 0.07 b | 5.95 ± 0.12 a |
| p-Coumaric Acid | 0.063 ± 0.01 a | 0.093 ± 0.01 a |
| Oleuropein | <LOQ | <LOQ |
| Total PC content | 10.65 ± 0.04 b | 16.02 ± 0.35 a |
Disclaimer/Publisher’s Note: The statements, opinions and data contained in all publications are solely those of the individual author(s) and contributor(s) and not of MDPI and/or the editor(s). MDPI and/or the editor(s) disclaim responsibility for any injury to people or property resulting from any ideas, methods, instructions or products referred to in the content. |
© 2023 by the authors. Licensee MDPI, Basel, Switzerland. This article is an open access article distributed under the terms and conditions of the Creative Commons Attribution (CC BY) license (https://creativecommons.org/licenses/by/4.0/).
Share and Cite
Schmidt, L.; Vargas, B.K.; Monteiro, C.S.; Pappis, L.; Mello, R.d.O.; Machado, A.K.; Emanuelli, T.; Ayub, M.A.Z.; Moreira, J.C.F.; Augusti, P.R. Bioavailable Phenolic Compounds from Olive Pomace Present Anti-Neuroinflammatory Potential on Microglia Cells. Foods 2023, 12, 4048. https://doi.org/10.3390/foods12224048
Schmidt L, Vargas BK, Monteiro CS, Pappis L, Mello RdO, Machado AK, Emanuelli T, Ayub MAZ, Moreira JCF, Augusti PR. Bioavailable Phenolic Compounds from Olive Pomace Present Anti-Neuroinflammatory Potential on Microglia Cells. Foods. 2023; 12(22):4048. https://doi.org/10.3390/foods12224048
Chicago/Turabian StyleSchmidt, Luana, Bruna Krieger Vargas, Camila Sant’Anna Monteiro, Lauren Pappis, Renius de Oliveira Mello, Alencar Kolinski Machado, Tatiana Emanuelli, Marco Antônio Zachia Ayub, José Cláudio Fonseca Moreira, and Paula Rossini Augusti. 2023. "Bioavailable Phenolic Compounds from Olive Pomace Present Anti-Neuroinflammatory Potential on Microglia Cells" Foods 12, no. 22: 4048. https://doi.org/10.3390/foods12224048
APA StyleSchmidt, L., Vargas, B. K., Monteiro, C. S., Pappis, L., Mello, R. d. O., Machado, A. K., Emanuelli, T., Ayub, M. A. Z., Moreira, J. C. F., & Augusti, P. R. (2023). Bioavailable Phenolic Compounds from Olive Pomace Present Anti-Neuroinflammatory Potential on Microglia Cells. Foods, 12(22), 4048. https://doi.org/10.3390/foods12224048

