Spatiotemporal Pattern Evolution of Food and Nutrient Production in China
Abstract
1. Introduction
2. Materials and Methods
2.1. Materials
2.2. Methods
3. Results
3.1. Characteristics of Changes in Food Production
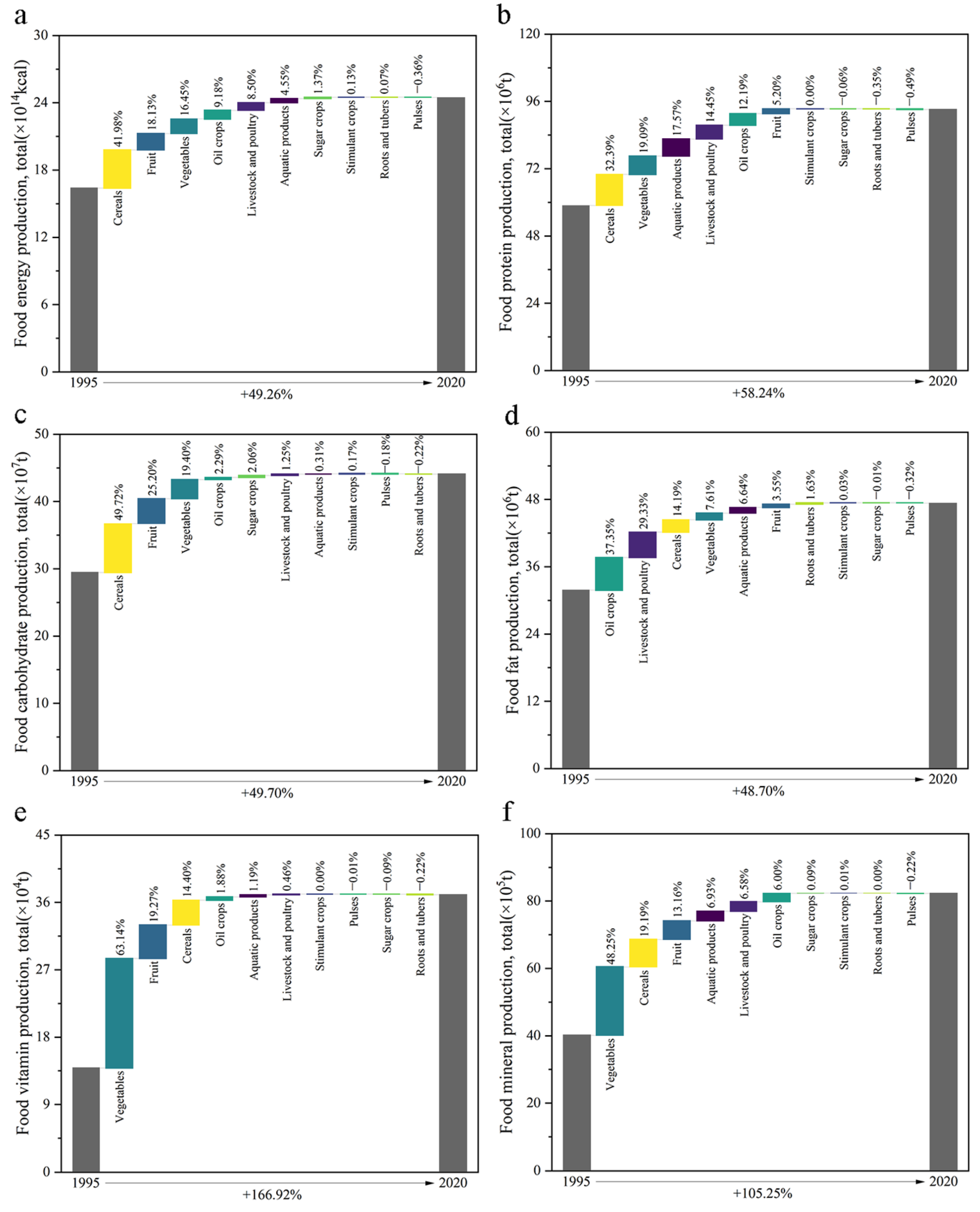
3.2. Characteristics of Changes in Nutrient Production
3.3. Characteristics of the Gravity Center Migration in Food Production
3.3.1. Cereals
3.3.2. Roots and Tubers
3.3.3. Sugar Crops
3.3.4. Pulses
3.3.5. Oil Crops
3.3.6. Vegetables
3.3.7. Fruit
3.3.8. Stimulant Crops
3.3.9. Livestock and Poultry
3.3.10. Aquatic Products
3.4. Characteristics of the Gravity Center Migration in Nutrient Production
4. Discussion
5. Conclusions
Author Contributions
Funding
Data Availability Statement
Conflicts of Interest
References
- FAO. The State of Food and Agriculture—Livestock in the Balance; FAO: Rome, Italy, 2009. [Google Scholar]
- UN Department of Economic and Social Affairs. World Population Prospects: The 2017 Revision; UN Department of Economic and Social Affairs: New York, NY, USA, 2017. [Google Scholar]
- UN Department of Economic and Social Affairs. World Population Prospects: The 2010 Revision, Highlights and Advance Tables; UN Department of Economic and Social Affairs: New York, NY, USA, 2011. [Google Scholar]
- UN Department of Economic and Social Affairs. World Population Prospects 2019; UN Department of Economic and Social Affairs: New York, NY, USA, 2022. [Google Scholar]
- UN Department of Economic and Social Affairs. World Population Prospects, the 2014 Revision; UN Department of Economic and Social Affairs: New York, NY, USA, 2014. [Google Scholar]
- Liu, Y.; Fang, F.; Li, Y. Key issues of land use in China and implications for policy making. Land Use Policy 2014, 40, 6–12. [Google Scholar] [CrossRef]
- Hovhannisyan, V.; Devadoss, S. Effects of urbanization on food demand in China. Empir. Econ. 2020, 58, 699–721. [Google Scholar] [CrossRef]
- Yan, D.; Wu, S.; Tang, Y.; Zhu, J.; Zhou, S.; Xu, Z. Arable land and water footprints for food consumption in China: From the perspective of urban and rural dietary change. Sci. Total Environ. 2022, 838, 155749. [Google Scholar] [CrossRef] [PubMed]
- Huang, Y.; Tian, X. Food accessibility, diversity of agricultural production and dietary pattern in rural China. Food Policy 2019, 84, 92–102. [Google Scholar] [CrossRef]
- Fan, S.; Brzeska, J. Feeding More People on an Increasingly Fragile Planet: China’s Food and Nutrition Security in a National and Global Context. J. Integr. Agric. 2014, 13, 1193–1205. [Google Scholar] [CrossRef]
- Chen, Y.; Li, X.; Wang, J. Changes and effecting factors of grain production in China. Chin. Geogr. Sci. 2011, 21, 676–684. [Google Scholar] [CrossRef]
- Pan, J.; Chen, Y.; Zhang, Y.; Chen, M.; Fennell, S.; Luan, B.; Wang, F.; Meng, D.; Liu, Y.; Jiao, L.; et al. Spatial-temporal dynamics of grain yield and the potential driving factors at the county level in China. J. Clean. Prod. 2020, 255, 120312. [Google Scholar] [CrossRef]
- Li, S.; Zhang, D.; Xie, Y.; Yang, C. Analysis on the spatio-temporal evolution and influencing factors of China’s grain production. Environ. Sci. Pollut. Res. Int. 2022, 29, 23834–23846. [Google Scholar] [CrossRef]
- Li, Y.X.; Zhang, W.; Ma, L.; Wu, L.; Shen, J.; Davies, W.J.; Oenema, O.; Zhang, F.; Dou, Z. An analysis of China’s grain production: Looking back and looking forward. Food Energy Secur. 2014, 3, 19–32. [Google Scholar] [CrossRef]
- Wang, J.; Fu, Z.; Zhang, B.; Yang, F.; Zhang, L.; Shi, B. Decomposition of influencing factors and its spatial-temporal characteristics of vegetable production: A case study of China. Inf. Process. Agric. 2018, 5, 477–489. [Google Scholar] [CrossRef]
- Zhang, Q.; Shi, F.; Abdullahi, N.M.; Shao, L.; Huo, X. An empirical study on spatial-temporal dynamics and influencing factors of apple production in China. PLoS ONE 2020, 15, e0240140. [Google Scholar] [CrossRef] [PubMed]
- Liu, H.; Fan, J.; Zhou, K. An Empirical Study on Spatial–Temporal Dynamics and Influencing Factors of Tea Production in China. Sustainability 2018, 10, 3037. [Google Scholar] [CrossRef]
- Yu, J.; Wang, Y. A spatial-temporal analysis of the main livestock meat production in China by using the method based on spatial autocorrelation and gravity center trajectory. Anim. Husb. Feed. Sci. 2016, 37, 93–97. (In Chinese) [Google Scholar]
- Yue, T.X.; Wang, Q.; Lu, Y.M.; Xin, X.P.; Zhang, H.B.; Wu, S.X. Change trends of food provisions in China. Glob. Planet. Chang. 2010, 72, 118–130. [Google Scholar] [CrossRef]
- Wang, Q.; Yue, T.; Wang, C.; Fan, Z.; Liu, X. Spatial-temporal variations of food provision in China. Procedia Environ. Sci. 2012, 13, 1933–1945. [Google Scholar] [CrossRef][Green Version]
- Xu, S.; Wu, J.; Wei, S.; Li, Z.; Li, Z.; Kong, F. Spatial-Temporal Changes in Grain Production, Consumption and Driving Mechanism in China. J. Integr. Agric. 2013, 12, 374–385. [Google Scholar] [CrossRef]
- Li, Q.; Cheng, Y. Vicissitude of Chinese corn production layout and influencing factors. Jiangsu Agric. Sci. 2017, 45, 284–288. (In Chinese) [Google Scholar]
- Chen, G.; Si, W.; Lan, H. Analysis on the Change of Sugar Crop Production’s Distribution and Its Influencing Factors in China. Chin. J. Agric. Resour. Reg. Plan. 2021, 42, 158–166. (In Chinese) [Google Scholar]
- Ji, L.; You, L.; See, L.; Fritz, S.; Li, C.; Zhang, C.; Li, G. Spatial and temporal changes of vegetable production in China. J. Land Use Sci. 2018, 13, 494–507. [Google Scholar] [CrossRef]
- Zhang, J.; Fang, Y.; Zheng, H.; Fan, S.; Du, T. The Spatio-Temporal Evolution of Food Production and Self-Sufficiency in China from 1978 to 2020: From the Perspective of Calories. Foods 2023, 12, 956. [Google Scholar] [CrossRef]
- Chen, W.; Wang, G.; Cai, W.; Che, X.; Zhou, W.; Zhang, C.; Zeng, J. Spatiotemporal mismatch of global grain production and farmland and its influencing factors. Resour. Conserv. Recycl. 2023, 194, 107008. [Google Scholar] [CrossRef]
- Zipper, S.C.; Qiu, J.; Kucharik, C.J. Drought effects on US maize and soybean production: Spatiotemporal patterns and historical changes. Environ. Res. Lett. 2016, 11, 094021. [Google Scholar] [CrossRef]
- De Araújo, M.L.S.; Sano, E.E.; Bolfe, É.L.; Santos, J.R.N.; dos Santos, J.S.; Silva, F.B. Spatiotemporal dynamics of soybean crop in the Matopiba region, Brazil (1990–2015). Land Use Policy 2019, 80, 57–67. [Google Scholar] [CrossRef]
- Geyik, O.; Hadjikakou, M.; Bryan, B.A. Spatiotemporal trends in adequacy of dietary nutrient production and food sources. Glob. Food Secur. 2020, 24, 100355. [Google Scholar] [CrossRef]
- Yang, Y.X. China Food Composition Tables; Standard Edition; Peking University Medical Press: Beijing, China, 2018. [Google Scholar]
- U.S. Department of Agriculture: Food and Nutrient Database for Dietary Studies 2017–2018. Available online: https://www.ars.usda.gov (accessed on 20 September 2022).
- Li, H.; Song, Y.; Zhang, M. Study on the gravity center evolution of air pollution in Yangtze River Delta of China. Nat. Hazards 2018, 90, 1447–1459. [Google Scholar] [CrossRef]
- Li, R.; You, K.; Cai, W.; Wang, J.; Liu, Y.; Yu, Y. Will the southward center of gravity migration of population, floor area, and building energy consumption facilitate building carbon emission reduction in China? Build. Environ. 2023, 242, 110576. [Google Scholar] [CrossRef]
- Chen, W.; Gu, T.; Fang, C.; Zeng, J. Global urban low-carbon transitions: Multiscale relationship between urban land and carbon emissions. Environ. Impact Assess. Rev. 2023, 100, 107076. [Google Scholar] [CrossRef]
- Weng, G.; Li, H.; Li, Y. The temporal and spatial distribution characteristics and influencing factors of tourist attractions in Chengdu-Chongqing economic circle. Environ. Dev. Sustain. 2023, 25, 8677–8698. [Google Scholar] [CrossRef]
- Ballou, R.H. Potential Error in the Center of Gravity Approach to Facility Location. Transp. J. 1973, 13, 44–50. [Google Scholar]
- You, K.; Yu, Y.; Cai, W.; Liu, Z. The change in temporal trend and spatial distribution of CO2 emissions of China’s public and commercial buildings. Build. Environ. 2023, 229, 109956. [Google Scholar] [CrossRef]
- Wang, W.; Zhang, M.; Li, P. Exploring temporal and spatial evolution of global energy production and consumption. Renew. Sustain. Energy Rev. 2014, 30, 943–949. [Google Scholar] [CrossRef]
- Wang, J.; Liu, Y. The changes of grain output center of gravity and its driving forces in China since 1990. Resour. Sci. 2009, 31, 1188–1194. (In Chinese) [Google Scholar]
- Li, J.; Zhang, Z.; Ma, L.; Gu, Q.; Wang, K.; Xu, Z. Assessment on the Impact of Arable Land Protection Policies in a Rapidly Developing Region. Int. J. Geo-Inf. 2016, 5, 69. [Google Scholar] [CrossRef]
- Zhang, Y.; Lu, X.; Zou, Y.; Lv, T. Nudging Strategies for Arable Land Protection Behavior in China. Int. J. Environ. Res. Public Health 2022, 19, 12609. [Google Scholar] [CrossRef]
- Wen, D.Z.; Tang, Y.X.; Zheng, X.H.; He, Y.Z. Sustainable and productive agricultural development in China. Agric. Ecosyst. Environ. 1992, 39, 55–70. [Google Scholar]
- Cao, X.; Wang, Y.; Wu, P.; Zhao, X.; Wang, J. An evaluation of the water utilization and grain production of irrigated and rain-fed croplands in China. Sci. Total Environ. 2015, 529, 10–20. [Google Scholar] [CrossRef]
- Feng, Z.-Z.; Wang, X.-K.; Feng, Z.-W. Soil N and salinity leaching after the autumn irrigation and its impact on groundwater in Hetao Irrigation District, China. Agric. Water Manag. 2005, 71, 131–143. [Google Scholar] [CrossRef]
- Lin, B.; Fei, R. Analyzing inter-factor substitution and technical progress in the Chinese agricultural sector. Eur. J. Agron. 2015, 66, 54–61. [Google Scholar] [CrossRef]
- Liu, Y.; Zhou, Y. Reflections on China’s food security and land use policy under rapid urbanization. Land Use Policy 2021, 109, 105699. [Google Scholar] [CrossRef]
- Li, X.L.; Yuan, Q.H.; Wan, L.Q.; He, F. Perspectives on livestock production systems in China. Rangel. J. 2008, 30, 211–220. [Google Scholar] [CrossRef]
- Liu, X.G.; Shao, Z.; Cheng, G.; Lu, S.; Gu, Z.; Zhu, H.; Shen, H.; Wang, J.; Chen, X. Ecological engineering in pond aquaculture: A review from the whole-process perspective in China. Rev. Aquac. 2020, 13, 1060–1076. [Google Scholar] [CrossRef]
- Fei, R.; Lin, B. Energy efficiency and production technology heterogeneity in China’s agricultural sector: A meta-frontier approach. Technol. Forecast. Soc. Change 2016, 109, 25–34. [Google Scholar] [CrossRef]
- Cho, S.-H.; Chen, Z.; Poudyal, N.C. Spatial structure of agricultural production in China. Appl. Econ. 2010, 42, 2031–2040. [Google Scholar] [CrossRef]
- Yang, F.; Yang, M.; Xue, B.; Luo, Q. The effects of China’s western development strategy implementation on local ecological economic performance. J. Clean. Prod. 2018, 202, 925–933. [Google Scholar] [CrossRef]
- Yu, B.; Liu, F.; You, L. Dynamic Agricultural Supply Response Under Economic Transformation: A Case Study of Henan, China. Am. J. Agric. Econ. 2011, 94, 370–376. [Google Scholar] [CrossRef]
- Li, J.P.; Shangguan, Z.P. Empirical analysis on the influence of the Shaanxi fruit industry on regional food security. Int. J. Sustain. Dev. World Ecol. 2010, 17, 507–514. [Google Scholar] [CrossRef]
- Ren, Y.; Li, H.; Wang, X. Family income and nutrition-related health: Evidence from food consumption in China. Soc. Sci. Med. 2019, 232, 58–76. [Google Scholar] [CrossRef]
- Huang, K.S.; Gale, F. Food demand in China: Income, quality, and nutrient effects. China Agric. Econ. Rev. 2009, 1, 395–409. [Google Scholar] [CrossRef]
- Min, W.; Jiang, S.; Jain, R. Food Recommendation: Framework, Existing Solutions, and Challenges. IEEE Trans. Multimed. 2020, 22, 2659–2671. [Google Scholar] [CrossRef]
- Chen, J.; Zhao, W. Diet, nutrition and chronic disease in Mainland China. J. Food Drug Anal. 2020, 20, 80. [Google Scholar] [CrossRef]
- Hou, M.; Deng, Y.; Yao, S. Spatial Agglomeration Pattern and Driving Factors of Grain Production in China since the Reform and Opening Up. Land 2021, 10, 10. [Google Scholar] [CrossRef]
- Zhao, Y.; Jiang, Q.; Wang, Z. The System Evaluation of Grain Production Efficiency and Analysis of Driving Factors in Heilongjiang Province. Water 2019, 11, 1073. [Google Scholar] [CrossRef]
- Li, D.; He, L.; Qu, J.; Xu, X. Spatial evolution of cultivated land in the Heilongjiang Province in China from 1980 to 2015. Environ. Monit. Assess. 2022, 194, 444. [Google Scholar] [CrossRef] [PubMed]
- Song, W.; Pijanowski, B.C. The effects of China’s cultivated land balance program on potential land productivity at a national scale. Appl. Geogr. 2014, 46, 158–170. [Google Scholar] [CrossRef]
- Wang, H.; He, J.; Aziz, N.; Wang, Y. Spatial Distribution and Driving Forces of the Vegetable Industry in China. Land 2022, 11, 981. [Google Scholar] [CrossRef]
- Wu, J.; Zhang, J.; Wang, S.; Li, F.; Kong, F. Spatial Changes of Vegetable Production and Its Driving Factors in China. Guizhou Agric. Sci. 2015, 43, 202–206. (In Chinese) [Google Scholar]
- Saha, S.; Sarkar, B.; Sarkar, M. Application of improved meta-heuristic algorithms for green preservation technology management to optimize dynamical investments and replenishment strategies. Math. Comput. Simul. 2023, 209, 426–450. [Google Scholar] [CrossRef]
- Sarkar, B.; Guchhait, R. Ramification of information asymmetry on a green supply chain management with the cap-trade, service, and vendor-managed inventory strategies. Electron. Commer. Res. Appl. 2023, 60, 101274. [Google Scholar] [CrossRef]
- Debnath, A.; Sarkar, B. Effect of circular economy for waste nullification under a sustainable supply chain management. J. Clean. Prod. 2023, 385, 135477. [Google Scholar] [CrossRef]






| Food Group | Food Item |
|---|---|
| cereals | rice, wheat, maize, millet, sorghum, barley, other cereals |
| roots and tubers | potato, other roots and tubers |
| sugar crops | sugarcane, sugar beet |
| pulses | mung bean, adzuki bean, other pulses |
| oil crops | soybean, peanut, rapeseed, sunflower seed, flax seed, sesame, other oil crops |
| vegetables | nil |
| fruit | banana, apple, orange, pear, grape, pineapple, date, persimmon, watermelon, melon, strawberry, other fruit |
| stimulant crops | tea |
| livestock and poultry | pork, beef, mutton, milk, egg, honey |
| aquatic products | fishes, shrimps and crabs, shellfishes |
| Region | Province * |
|---|---|
| North China (NC) | Beijing, Tianjin, Hebei, Shanxi, Inner Mongolia |
| Northeast China (NEC) | Liaoning, Jilin, Heilongjiang |
| East China (EC) | Shanghai, Jiangsu, Zhejiang, Anhui, Fujian, Jiangxi, Shandong |
| Central-South China (CSC) | Henan, Hubei, Hunan, Guangdong, Guangxi, Hainan |
| Southwest China (SWC) | Chongqing, Sichuan, Guizhou, Yunnan, Tibet |
| Northwest China (NWC) | Shaanxi, Gansu, Qinghai, Ningxia, Xinjiang |
| Group | 1995–2000 | 2000–2005 | 2005–2010 | 2010–2015 | 2015–2020 | |||||
|---|---|---|---|---|---|---|---|---|---|---|
| α * (°) | D * (km) | α * (°) | D * (km) | α * (°) | D * (km) | α * (°) | D* (km) | α * (°) | D * (km) | |
| Cereals | 36 | 54 | 73 | 96 | 73 | 122 | 76 | 82 | −27 | 16 |
| Roots and tubers | −2 | 20 | 9 | 97 | −32 | 91 | 28 | 96 | 50 | 35 |
| Sugar crops | 54 | 193 | 54 | 100 | −71 | 74 | 73 | 44 | −81 | 125 |
| Pulses | 37 | 316 | 14 | 78 | 36 | 111 | 57 | 196 | −24 | 47 |
| Oil crops | 26 | 16 | 86 | 68 | 13 | 68 | 54 | 109 | 62 | 134 |
| Vegetables | −89 | 79 | 29 | 31 | 59 | 69 | 54 | 70 | 34 | 81 |
| Fruit | −29 | 31 | 38 | 49 | 20 | 109 | 38 | 85 | 51 | 90 |
| Stimulant crops | 45 | 15 | −16 | 41 | −7 | 87 | 14 | 38 | 14 | 64 |
| Livestock and poultry | −58 | 27 | −88 | 134 | 54 | 23 | 36 | 22 | −40 | 44 |
| Aquatic products | 56 | 24 | 30 | 39 | −45 | 11 | 2 | 17 | 73 | 27 |
| Group | 1995–2000 | 2000–2005 | 2005–2010 | 2010–2015 | 2015–2020 | |||||
|---|---|---|---|---|---|---|---|---|---|---|
| α * (°) | D * (km) | α * (°) | D * (km) | α * (°) | D * (km) | α * (°) | D * (km) | α * (°) | D * (km) | |
| Food calorie | −42 | 16 | 87 | 47 | 76 | 54 | −75 | 17 | 54 | 6 |
| Food protein | 27 | 9 | 88 | 45 | 87 | 31 | 40 | 12 | 64 | 24 |
| Food carbohydrate | −32 | 18 | 85 | 47 | 71 | 73 | 89 | 27 | −71 | 6 |
| Food fat | −32 | 13 | −86 | 38 | −11 | 25 | 24 | 24 | −76 | 30 |
| Food vitamin | 14 | 29 | −48 | 13 | 13 | 40 | 6 | 63 | 88 | 83 |
| Food mineral | 43 | 35 | −89 | 33 | −23 | 15 | 46 | 31 | 31 | 23 |
Disclaimer/Publisher’s Note: The statements, opinions and data contained in all publications are solely those of the individual author(s) and contributor(s) and not of MDPI and/or the editor(s). MDPI and/or the editor(s) disclaim responsibility for any injury to people or property resulting from any ideas, methods, instructions or products referred to in the content. |
© 2023 by the authors. Licensee MDPI, Basel, Switzerland. This article is an open access article distributed under the terms and conditions of the Creative Commons Attribution (CC BY) license (https://creativecommons.org/licenses/by/4.0/).
Share and Cite
Qi, Y.; Qiang, W.; Ma, X. Spatiotemporal Pattern Evolution of Food and Nutrient Production in China. Foods 2023, 12, 3791. https://doi.org/10.3390/foods12203791
Qi Y, Qiang W, Ma X. Spatiotemporal Pattern Evolution of Food and Nutrient Production in China. Foods. 2023; 12(20):3791. https://doi.org/10.3390/foods12203791
Chicago/Turabian StyleQi, Yumei, Wenli Qiang, and Xing Ma. 2023. "Spatiotemporal Pattern Evolution of Food and Nutrient Production in China" Foods 12, no. 20: 3791. https://doi.org/10.3390/foods12203791
APA StyleQi, Y., Qiang, W., & Ma, X. (2023). Spatiotemporal Pattern Evolution of Food and Nutrient Production in China. Foods, 12(20), 3791. https://doi.org/10.3390/foods12203791

