Antioxidant and Anti-Aging Properties of Polyphenol–Polysaccharide Complex Extract from Hizikia fusiforme
Abstract
:1. Introduction
2. Materials and Methods
2.1. Materials
2.2. Extraction of Polyphenol–Polysaccharide Complex (PPC) from Hizikia fusiforme
2.3. Preparation of the Dephenolization Products of the Polyphenol–Polysaccharide Complex (PPC) of Hizikia fusiforme
2.4. Chemical Composition and Structure
2.4.1. Chemical Analysis
2.4.2. Analysis of the Monosaccharide Composition
2.4.3. FT-IR Spectroscopy
2.5. Determination of Antioxidant Activity
2.6. Determination of the Mixture Effects
2.7. Animals
2.7.1. Animal Groupings
2.7.2. Detection of Biochemical Indices in Serum and Liver Tissues
2.7.3. Quantitative PCR Fluorescence Analysis
2.7.4. Western Blot Analysis
2.7.5. Sequencing and Analysis of the Gut Microbiota
2.8. Statistical Analysis
3. Results
3.1. Chemical Composition of PPCs
3.2. PPC FT-IR Spectroscopy Analysis
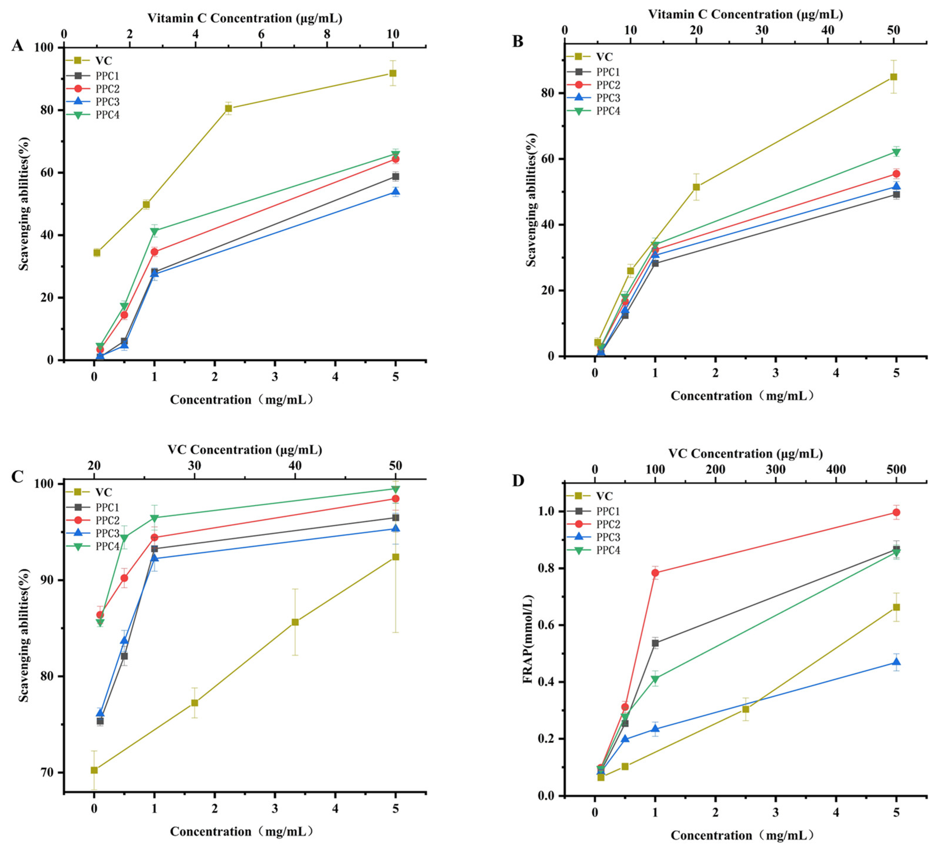
3.3. Antioxidant Activity In Vitro
3.4. Anti-Aging Activity of PPCs of Hizikia Fusiforme In Vivo
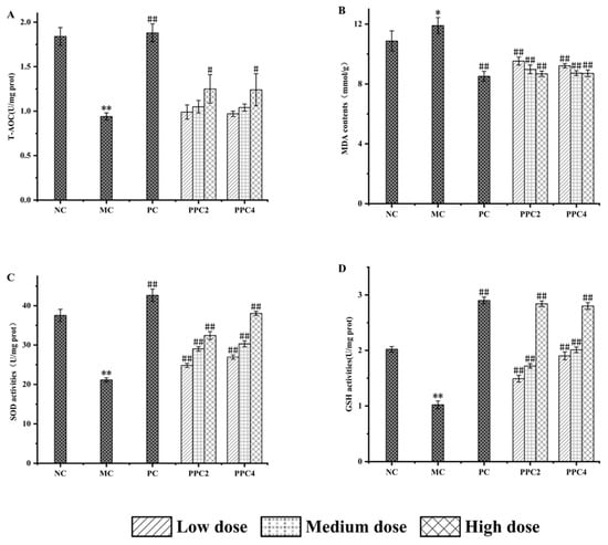
3.4.1. Effects of PPC on the Serum and Liver Oxidation Indices of D-Gal-Induced Mice
3.4.2. Effects of PPC on Brain-Related Genes in D-Gal-Induced Mice
3.4.3. Expressions of Nrf2, NOS, Nqo1, HO-1, SOD1 and SOD2 Proteins in the Brains of Mice
3.5. Sequencing and Analysis of the Gut Microbiota
4. Discussion
5. Conclusions
Author Contributions
Funding
Institutional Review Board Statement
Data Availability Statement
Conflicts of Interest
References
- Martin, B.; Mattson, M.P.; Maudsley, S. Caloric Restriction and Intermittent Fasting: Two Potential Diets for Successful Brain Aging. Ageing Res. Rev. 2006, 5, 332–353. [Google Scholar] [CrossRef]
- Shetty, A.K.; Kodali, M.; Upadhya, R.; Madhu, L.N. Emerging Anti-Aging Strategies—Scientific Basis and Efficacy. Aging Dis. 2018, 9, 1165–1184. [Google Scholar] [CrossRef] [PubMed]
- Dong, F.; Wang, S.; Wang, Y.; Yang, X.; Jiang, J.; Wu, D.; Qu, X.; Fan, H.; Yao, R. Quercetin Ameliorates Learning and Memory Via the Nrf2-Are Signaling Pathway in D-gal-Induced Neurotoxicity in Mice. Biochem. Biophys. Res. Commun. 2017, 491, 636–641. [Google Scholar] [CrossRef]
- Ullah, F.; Ali, T.; Ullah, N.; Kim, M.O. Caffeine Prevents D-gal-Induced Cognitive Deficits, Oxidative Stress, Neuroin-flammation and Neurodegeneration in the Adult Rat Brain. Neurochem. Int. 2015, 90, 114–124. [Google Scholar] [CrossRef] [PubMed]
- Xianrong, Z.; Sun, H.; Tan, F.; Yi, R.; Zhou, C.; Deng, Y.; Mu, J.; Zhao, X. Anti-Aging Effect of Lactobacillus Plantarum Hfy09-Fermented Soymilk on D-gal-Induced Oxidative Aging in Mice through Modulation of the Nrf2 Signaling Pathway. J. Funct. Foods 2021, 78, 104386. [Google Scholar]
- Cheng, X.; Yao, H.; Xiang, Y.; Chen, L.; Xiao, M.; Wang, Z.; Xiao, H.; Wang, L.; Wang, S.; Wang, Y. Effect of Angelica Poly-saccharide on Brain Senescence of Nestin-Gfp Mice Induced by D-gal. Neurochem. Int. 2019, 122, 149–156. [Google Scholar] [CrossRef] [PubMed]
- Liu, J.; Bai, R.; Liu, Y.; Zhang, X.; Kan, J.; Jin, C. Isolation, Structural Characterization and Bioactivities of Naturally Occurring Polysaccharide-Polyphenolic Conjugates from Medicinal Plants—A Reivew. Int. J. Biol. Macromol. 2018, 107 Pt B, 2242–2250. [Google Scholar] [CrossRef]
- Vittorio, O.; Brandl, M.; Cirillo, G.; Kimpton, K.; Hinde, E.; Gaus, K.; Yee, E.; Kumar, N.; Duong, H.; Fleming, C.; et al. Dextran-Catechin: An Anticancer Chemically-Modified Natural Compound Targeting Copper that Attenuates Neuroblastoma Growth. Oncotarget 2016, 7, 47479–47493. [Google Scholar] [CrossRef] [PubMed]
- Liu, J.; Lu, J.-F.; Kan, J.; Jin, C.-H. Synthesis of chitosan-gallic acid conjugate: Structure characterization and in vitro anti-diabetic potential. Int. J. Biol. Macromol. 2013, 62, 321–329. [Google Scholar] [CrossRef]
- Khoo, L.T.; Abas, F.; Abdullah, J.O.; Tohit, E.R.M.; Hamid, M. Anticoagulant Activity of Polyphenolic-Polysaccharides Isolated from Melastoma malabathricum L. Evid.-Based Complement. Altern. Med. 2014, 2014, 614273. [Google Scholar] [CrossRef]
- Tsirigotis-Maniecka, M.; Pawlaczyk-Graja, I.; Ziewiecki, R.; Balicki, S.; Matulová, M.; Capek, P.; Czechowski, F.; Gancarz, R. The Polyphenolic-Polysaccharide Complex of Agrimonia eupatoria L. as an Indirect Thrombin Inhibitor—Isolation and Chemical Characterization. Int. J. Biol. Macromol. 2019, 125, 124–132. [Google Scholar] [CrossRef] [PubMed]
- Kolodziejczyk-Czepas, J.; Bijak, M.; Saluk, J.; Ponczek, M.B.; Zbikowska, H.M.; Nowak, P.; Tsirigotis-Maniecka, M.; Pawlaczyk, I. Radical Scavenging and Antioxidant Effects of Matricaria chamomilla Polyphenolic–Polysaccharide Conjugates. Int. J. Biol. Macromol. 2015, 72, 1152–1158. [Google Scholar] [CrossRef]
- Szejk, M.; Poplawski, T.; Sarnik, J.; Pawlaczyk-Graja, I.; Czechowski, F.; Olejnik, A.K.; Gancarz, R.; Zbikowska, H.M. Polyphenolic Glycoconjugates from Medical Plants of Rosaceae/Asteraceae Family Protect Human Lymphocytes against Gamma-Radiation-Induced Damage. Int. J. Biol. Macromol. 2017, 94 Pt A, 585–593. [Google Scholar] [CrossRef]
- Sutovská, M.; Capek, P.; Franová, S.; Pawlaczyk, I.; Gancarz, R. Antitussive and Bronchodilatory Effects of Lythrum Sal-icaria Polysaccharide-Polyphenolic Conjugate. Int. J. Biol. Macromol. 2012, 51, 794–799. [Google Scholar] [CrossRef] [PubMed]
- Meinita, M.D.N.; Harwanto, D.; Sohn, J.-H.; Kim, J.-S.; Choi, J.-S. Hizikia fusiformis: Pharmacological and Nutritional Properties. Foods 2021, 10, 1660. [Google Scholar] [CrossRef] [PubMed]
- China Agricultural and Rural Fisheries and Fishery Administration. China Fisheries Statistics Yearbook; China Agricultural Press: Beijing, China, 2023. [Google Scholar]
- Shen, P.; Gu, Y.; Zhang, C.; Sun, C.; Qin, L.; Yu, C.; Qi, H. Metabolomic Approach for Characterization of Polyphenolic Compounds in Laminaria japonica, Undaria pinnatifida, Sargassum fusiforme and Ascophyllum nodosum. Foods 2021, 10, 192. [Google Scholar] [CrossRef]
- Wang, L.; Jayawardena, T.U.; Yang, H.-W.; Lee, H.G.; Kang, M.-C.; Sanjeewa, K.K.A.; Oh, J.Y.; Jeon, Y.-J. Isolation, Characterization, and Antioxidant Activity Evaluation of a Fucoidan from an Enzymatic Digest of the Edible Seaweed, Hizikia fusiforme. Antioxidants 2020, 9, 363. [Google Scholar] [CrossRef] [PubMed]
- Kong, Q.; Zhang, R.; You, L.; Ma, Y.; Liao, L.; Pedisić, S. In Vitro Fermentation Characteristics of Polysaccharide from Sargassum fusiforme and Its Modulation Effects on Gut Microbiota. Food Chem. Toxicol. 2021, 151, 112145. [Google Scholar] [CrossRef]
- Usoltseva, R.V.; Anastyuk, S.D.; Ishina, I.A.; Isakov, V.V.; Zvyagintseva, T.N.; Thinh, P.D.; Zadorozhny, P.A.; Dmitrenok, P.S.; Ermakova, S.P. Structural Characteristics and Anticancer Activity In Vitro of Fucoidan from Brown Alga Padina boryana. Carbohydr. Polym. 2018, 184, 260–268. [Google Scholar] [CrossRef]
- Thanh, T.T.T.; Tran, V.T.T.; Yuguchi, Y.; Bui, L.M.; Nguyen, T.T. Structure of Fucoidan from Brown Seaweed Turbinaria ornata as Studied by Electrospray Ionization Mass Spectrometry (ESIMS) and Small Angle X-ray Scattering (SAXS) Techniques. Mar. Drugs 2013, 11, 2431–2443. [Google Scholar] [CrossRef] [PubMed]
- Singleton, V.L.; Rossi, J.A. Colorimetry of Total Phenolics with Phosphomolybdic-Phosphotungstic Acid Reagents. Am. J. Enol. Vitic. 1965, 16, 144–158. [Google Scholar] [CrossRef]
- Dodgson, K.S. Determination of Inorganic Sulphate in Studies on the Enzymic and Non-Enzymic Hydrolysis of Carbo-hydrate and Other Sulphate Esters. Biochem. J. 1961, 78, 312–319. [Google Scholar] [CrossRef] [PubMed]
- Sheng, J.; Yu, F.; Xin, Z.; Zhao, L.; Zhu, X.; Hu, Q. Preparation, Identification and Their Antitumor Activities In Vitro of Polysaccharides from Chlorella pyrenoidosa. Food Chem. 2007, 105, 533–539. [Google Scholar] [CrossRef]
- Jafari, Z.; Goli, M.; Toghyani, M. The Effects of Phosphorylation and Microwave Treatment on the Functional Characteristics of Freeze-Dried Egg White Powder. Foods 2022, 11, 2711. [Google Scholar] [CrossRef]
- Tierney, M.S.; Smyth, T.J.; Rai, D.K.; Soler-Vila, A.; Croft, A.K.; Brunton, N. Enrichment of Polyphenol Contents and Antioxidant Activities of Irish Brown Macroalgae Using Food-Friendly Techniques Based on Polarity and Molecular Size. Food Chem. 2013, 139, 753–761. [Google Scholar] [CrossRef]
- Cichewicz, R.H.; Nair, M.G. Isolation and Characterization of Stelladerol, a New Antioxidant Naphthalene Glycoside, and Other Antioxidant Glycosides from Edible Daylily (Hemerocallis) Flowers. J. Agric. Food Chem. 2002, 50, 87–91. [Google Scholar] [CrossRef] [PubMed]
- Tian, L.; Yan, Z.; Chao, G.; Yang, X. A Comparative Study on the Antioxidant Activities of an Acidic Polysaccharide and Various Solvent Extracts Derived from Herbal Houttuynia Cordata. Carbohydr. Polym. 2011, 83, 537–544. [Google Scholar] [CrossRef]
- Obluchinskaya, E.D.; Pozharitskaya, O.N.; Shikov, A.N. In Vitro Anti-Inflammatory Activities of Fucoidans from Five Species of Brown Seaweeds. Mar. Drugs 2022, 20, 606. [Google Scholar] [CrossRef]
- Zhang, R.; Zhang, X.; Tang, Y.; Mao, J. Composition, Isolation, Purification and Biological Activities of Sargassum fusiforme Poly-saccharides: A Review. Carbohydr. Polym. 2020, 228, 115381. [Google Scholar] [CrossRef]
- Pawlaczyk-Graja, I.; Balicki, S.; Wilk, K.A. Effect of Various Extraction Methods on the Structure of Polyphenolic-Polysaccharide Conjugates from Fragaria vesca L. Leaf. Int. J. Biol. Macromol. 2019, 130, 664–674. [Google Scholar] [CrossRef]
- Kim, J.-B.; Carpita, N.C. Changes in Esterification of the Uronic Acid Groups of Cell Wall Polysaccharides during Elongation of Maize Coleoptiles. Plant Physiol. 1992, 98, 646–653. [Google Scholar] [CrossRef]
- Sanjeewa, K.A.; Fernando, I.P.S.; Kim, S.Y.; Kim, H.S.; Ahn, G.; Jee, Y.; Jeon, Y.J. In Vitro and In Vivo Anti-Inflammatory Activities of High Molecular Weight Sulfated Polysaccharide; Containing Fucose Separated from Sargassum horneri: Short Communication. Int. J. Biol. Macromol. Struct. Funct. Interact. 2018, 107, 803–807. [Google Scholar] [CrossRef]
- Luo, Q.-L.; Tang, Z.-H.; Zhang, X.-F.; Zhong, Y.-H.; Yao, S.-Z.; Wang, L.-S.; Lin, C.-W.; Luo, X. Chemical Properties and Antioxidant Activity of a Water-Soluble Polysaccharide from Dendrobium officinale. Int. J. Biol. Macromol. 2016, 89, 219–227. [Google Scholar] [CrossRef]
- Xiao, G.; Ye, Y.; Liu, X.; Sheng, Y.; Yu, Y.; Yang, Y.; Gu, M.; Lin, R.; Wang, B.; An, L.; et al. Effects of Agaricus Blazei Acidic Polysaccharide on the Aging of Mice through Keap1-Nrf2/Are and Mapks Signal Pathway. Electron. J. Biotechnol. 2022, 57, 31–41. [Google Scholar]
- Yuan, F.; Gao, Z.; Liu, W.; Li, H.; Zhang, Y.; Feng, Y.; Song, X.; Wang, W.; Zhang, J.; Huang, C.; et al. Characterization, Antioxidant, Anti-Aging and Organ Protective Effects of Sulfated Polysaccharides from Flammulina velutipes. Molecules 2019, 24, 3517. [Google Scholar] [CrossRef] [PubMed]
- Sun, L.; Zhao, Q.; Xiao, Y.; Liu, X.; Li, Y.; Zhang, J.; Pan, J.; Zhang, Z. Trehalose Targets Nrf2 Signal to Alleviate D-gal Induced Aging and Improve Behavioral Ability. Biochem. Biophys. Res. Commun. 2020, 521, 113–119. [Google Scholar] [CrossRef]
- Chen, Z.; Xiao, J.; Liu, H.; Yao, K.; Hou, X.; Cao, Y.; Liu, X. Astaxanthin Attenuates Oxidative Stress and Immune Impairment in D-gal-Induced Aging in Rats by Activating the Nrf2/Keap1 Pathway and Suppressing the Nf-Κb Pathway. Food Funct. 2020, 11, 8099–8111. [Google Scholar] [CrossRef]
- Zhou, J.; Hu, N.; Wu, Y.-L.; Pan, Y.-J.; Sun, C.-R. Preliminary Studies on the Chemical Characterization and Antioxidant Properties of Acidic Polysaccharides from Sargassum fusiforme. J. Zhejiang Univ. Sci. B 2008, 9, 721–727. [Google Scholar] [CrossRef] [PubMed]
- Hermund, D.B.; Plaza, M.; Turner, C.; Jónsdóttir, R.; Kristinsson, H.G.; Jacobsen, C.; Nielsen, K.F. Structure Dependent Antioxidant Capacity of Phlorotannins from Icelandic Fucus vesiculosus by UHPLC-DAD-ECD-QTOFMS. Food Chem. 2018, 240, 904–909. [Google Scholar] [CrossRef] [PubMed]
- Mercado-Mercado, G.; de la Rosa, L.A.; Alvarez-Parrilla, E. Effect of Pectin on the Interactions Among Phenolic Compounds Determined by Antioxidant Capacity. J. Mol. Struct. 2020, 1199, 126967. [Google Scholar] [CrossRef]
- Airanthi, M.W.-A.; Hosokawa, M.; Miyashita, K. Comparative Antioxidant Activity of Edible Japanese Brown Seaweeds. J. Food Sci. 2011, 76, C104–C111. [Google Scholar] [CrossRef]
- Aruoma, O.I. Free Radicals, Oxidative Stress, and Antioxidants in Human Health and Disease. J. Am. Oil Chem. Soc. 1998, 75, 199–212. [Google Scholar] [CrossRef] [PubMed]
- Wu, S.; Liu, Y.; Jiang, P.; Xu, Y.; Zheng, W.; Song, S.; Ai, C. Effect of Sulfate Group on Sulfated Polysaccharides-Induced Improvement of Metabolic Syndrome and Gut Microbiota Dysbiosis in High Fat Diet-Fed Mice. Int. J. Biol. Macromol. 2020, 164, 2062–2072. [Google Scholar] [CrossRef] [PubMed]
- Li, Y.; Fu, X.; Duan, D.; Liu, X.; Xu, J.; Gao, X. Extraction and Identification of Phlorotannins from the Brown Alga, Sargassum fusiforme (Harvey) Setchell. Mar. Drugs 2017, 15, 49. [Google Scholar] [CrossRef]
- Hifney, A.F.; Fawzy, M.A.; Abdel-Gawad, K.M.; Gomaa, M. Industrial Optimization of Fucoidan Extraction from Sargassum Sp. and Its Potential Antioxidant and Emulsifying Activities. Food Hydrocoll. 2016, 54, 77–88. [Google Scholar] [CrossRef]
- Shwe, T.; Pratchayasakul, W.; Chattipakorn, N.; Chattipakorn, S.C. Role of D-gal-Induced Brain Aging and Its Potential Used for Therapeutic Interventions. Exp. Gerontol. 2018, 101, 13–36. [Google Scholar] [CrossRef] [PubMed]
- Fan, J.; Feng, H.; Yu, Y.; Sun, M.; Liu, Y.; Li, T.; Sun, X.; Liu, S.; Sun, M. Antioxidant Activities of the Polysaccharides of Chuanminshen Violaceum. Carbohydr. Polym. 2017, 157, 629–636. [Google Scholar] [CrossRef]
- Zhao, S.J.; Liu, X.J.; Tian, J.S.; Gao, X.X.; Liu, H.L.; Du, G.H.; Qin, X.M. Effects of Guilingji on Aging Rats and Its Underlying Mechanisms. Rejuvenation Res. 2019, 23, 138–149. [Google Scholar] [CrossRef]
- Baeeri, M.; Momtaz, S.; Navaei-Nigjeh, M.; Niaz, K.; Rahimifard, M.; Ghasemi-Niri, S.F.; Sanadgol, N.; Hodjat, M.; Sharifzadeh, M.; Abdollahi, M. Molecular Evidence on the Protective Effect of Ellagic Acid on Phosalone-Induced Senescence in Rat Embryonic Fibroblast Cells—Sciencedirect. Food Chem. Toxicol. 2017, 100, 8–23. [Google Scholar] [CrossRef] [PubMed]
- Kim, Y.-S.; Zerin, T.; Song, H.-Y. Antioxidant Action of Ellagic Acid Ameliorates Paraquat-Induced A549 Cytotoxicity. Biol. Pharm. Bull. 2013, 36, 609–615. [Google Scholar] [CrossRef] [PubMed]
- Abraham, N.G.; Kappas, A. Pharmacological and Clinical Aspects of Heme Oxygenase. Pharmacol. Rev. 2008, 60, 79–127. [Google Scholar] [CrossRef]
- Bei, C.; Yi, Z.; Peng, W.; Sun, Y.; Hu, Y.J.; Yang, Y.; Kong, W.J. Increased Mitochondrial DNA Damage and Decreased Base Excision Repair in the Auditory Cortex of D-gal-Induced Aging Rats. Mol. Biol. Rep. 2011, 38, 3635–3642. [Google Scholar]
- Maynard, C.; Weinkove, D. The Gut Microbiota and Ageing. Subcell. Biochem. 2018, 90, 351–371. [Google Scholar] [PubMed]
- Ma, G.; Xu, Q.; Du, H.; Kimatu, B.M.; Su, A.; Yang, W.; Hu, Q.; Xiao, H. Characterization of Polysaccharide from Pleurotus eryngii During Simulated Gastrointestinal Digestion and Fermentation. Food Chem. 2022, 370, 131303. [Google Scholar] [CrossRef] [PubMed]
- Wu, D.-T.; Fu, Y.; Guo, H.; Yuan, Q.; Nie, X.-R.; Wang, S.-P.; Gan, R.-Y. In Vitro Simulated Digestion and Fecal Fermentation of Polysaccharides from Loquat Leaves: Dynamic Changes in Physicochemical Properties and Impacts on Human Gut Microbiota. Int. J. Biol. Macromol. 2021, 168, 733–742. [Google Scholar] [CrossRef] [PubMed]
- Zhou, K.; Zhou, Q.; Han, X.; Gao, Z.; Peng, R.; Lin, X.; Cheng, X.; Zhao, W. In Vitro Digestion and Fecal Fermentation of Polysaccharides from Hawthorn and Its Impacts on Human Gut Microbiota. Processes 2022, 10, 1922. [Google Scholar] [CrossRef]
- Shang, Q.; Jiang, H.; Cai, C.; Hao, J.; Li, G.; Yu, G. Gut Microbiota Fermentation of Marine Polysaccharides and Its Effects on Intestinal Ecology: An Overview. Carbohydr. Polym. 2018, 179, 173–185. [Google Scholar] [CrossRef]
- Chen, H.; Dong, L.; Chen, X.; Ding, C.; Hao, M.; Peng, X.; Zhang, Y.; Zhu, H.; Liu, W. Anti-Aging Effect of Phlorizin on D-gal–Induced Aging in Mice through Antioxidant and Anti-Inflammatory Activity, Prevention of Apoptosis, and Regulation of the Gut Microbiota. Exp. Gerontol. 2022, 163, 111769. [Google Scholar] [CrossRef]
- Spychala, M.S.; Venna, V.R.; Jandzinski, M.; Doran, S.J.; Durgan, D.J.; Ganesh, B.P.; Ajami, N.J.; Putluri, N.; Graf, J.; Bryan, R.M.; et al. Age-Related Changes in the Gut Microbiota Influence Systemic Inflammation and Stroke Outcome. Ann. Neurol. 2018, 84, 23–36. [Google Scholar] [CrossRef] [PubMed]
- Liu, X.; Yang, Q.; Li, H.; Lan, X.; Kan, M.; Lin, J.; Wang, J.; Zhang, Z.; Ming, S.; Li, Z.; et al. The Anti-Aging Effect of Velvet Antler Polypeptide Is Dependent on Modulation of the Gut Microbiota and Regulation of the Pparalpha/Apoe4 Pathway. J. Integr. Neurosci. 2021, 20, 573–583. [Google Scholar]
- Tiihonen, K.; Ouwehand, A.C.; Rautonen, N. Human intestinal microbiota and healthy ageing. Ageing Res. Rev. 2010, 9, 107–116. [Google Scholar] [CrossRef] [PubMed]










| Gene | Forward | Reverse |
|---|---|---|
| HO-1 | TAGAGCGCAACAAGCAGAAC | ATGATTTCCTGCCAGTGAGG |
| NOS | CAGCTGGGCTGTACAAACCTT | CATTGGAAGTGAAGCGTTTCG |
| Nqo1 | TTACAGCATTGGCCACACTC | GGCTGCTTGGAGCAAAATAG |
| Nrf2 | TTCTTTCAGCAGCATCCTTCTCCAC | ACAGCCTTCAATAGTCCCGTCCAG |
| SOD1 | AGATGACTTGGGCAAAGGTG | AATCCCAATCACTCCACAGG |
| SOD2 | CTGGCTTGGCTTCAATAAGG | TAAGGCCTGTTGTTCCTTGC |
| Component | Monosaccharide Composition (%) | Total Phenol (%) | Total Sugar (%) | Sulfate (%) | Yield (%) | |||||||
|---|---|---|---|---|---|---|---|---|---|---|---|---|
| Fuc | Gal | Glu | Gal-UA | Glu-UA | Man | Rha | Xyl | |||||
| PPC1 | 11.39 | 2.11 | 2.81 | 3.11 | 0.73 | 76.16 | 2.67 | 1.09 | 1.10 ± 0.02 | 31.12 ± 0.20 | 4.79 ± 0.14 | 24.22 ± 3.78 |
| PPC2 | 64.52 | 11.05 | 17.1 | 1.83 | 0.76 | 2.56 | 0.77 | 1.49 | 3.11 ± 0.20 | 41.33 ± 0.18 | 13.18 ± 0.27 | 11.87 ± 2.33 |
| PPC3 | 10.41 | 2.09 | 2.99 | 3.04 | 1.09 | 76.56 | 3.84 | 1.75 | 0.77 ± 0.01 | 27.67 ± 0.46 | 3.86 ± 0.10 | 14.53 ± 1.24 |
| PPC4 | 68.03 | 11.89 | 9.35 | 4.63 | 0.74 | 2.99 | 1.17 | 1.82 | 1.62 ± 0.08 | 37.85 ± 0.31 | 13.59 ± 0.33 | 7.12 ± 0.45 |
Disclaimer/Publisher’s Note: The statements, opinions and data contained in all publications are solely those of the individual author(s) and contributor(s) and not of MDPI and/or the editor(s). MDPI and/or the editor(s) disclaim responsibility for any injury to people or property resulting from any ideas, methods, instructions or products referred to in the content. |
© 2023 by the authors. Licensee MDPI, Basel, Switzerland. This article is an open access article distributed under the terms and conditions of the Creative Commons Attribution (CC BY) license (https://creativecommons.org/licenses/by/4.0/).
Share and Cite
Li, S.; He, Y.; Zhong, S.; Li, Y.; Di, Y.; Wang, Q.; Ren, D.; Liu, S.; Li, D.; Cao, F. Antioxidant and Anti-Aging Properties of Polyphenol–Polysaccharide Complex Extract from Hizikia fusiforme. Foods 2023, 12, 3725. https://doi.org/10.3390/foods12203725
Li S, He Y, Zhong S, Li Y, Di Y, Wang Q, Ren D, Liu S, Li D, Cao F. Antioxidant and Anti-Aging Properties of Polyphenol–Polysaccharide Complex Extract from Hizikia fusiforme. Foods. 2023; 12(20):3725. https://doi.org/10.3390/foods12203725
Chicago/Turabian StyleLi, Shangkun, Yunhai He, Saiyi Zhong, Yutong Li, Yuan Di, Qiukuan Wang, Dandan Ren, Shu Liu, Di Li, and Fangjie Cao. 2023. "Antioxidant and Anti-Aging Properties of Polyphenol–Polysaccharide Complex Extract from Hizikia fusiforme" Foods 12, no. 20: 3725. https://doi.org/10.3390/foods12203725
APA StyleLi, S., He, Y., Zhong, S., Li, Y., Di, Y., Wang, Q., Ren, D., Liu, S., Li, D., & Cao, F. (2023). Antioxidant and Anti-Aging Properties of Polyphenol–Polysaccharide Complex Extract from Hizikia fusiforme. Foods, 12(20), 3725. https://doi.org/10.3390/foods12203725
