New Healthy Low-Sugar and Carotenoid-Enriched/High-Antioxidant Beverage: Study of Optimization and Physicochemical Properties
Abstract
:1. Introduction
2. Materials
3. Methods
3.1. Preparation of the Beverages
3.2. The Physicochemical Characteristics
3.2.1. Antioxidant Potential Determined as DPPH• Scavenging Activity (DPPH• SA)
3.2.2. Total Flavonoid Content
3.2.3. Total Phenolic Content
3.2.4. Titratable Acidity (TA), Total Soluble Solids (TSS), and pH
3.2.5. Ascorbic Acid Content (AA)
3.3. Determination of Levels of LC, MPE, and CAEO to Be Incorporated into Beverages by Using a Sensory Panel
3.4. Design of Experiments and Statistic Methods
3.5. Overall Optimization Procedure
3.6. Verification Tests and Validation of the Models
4. Results
4.1. Determination of Levels of LC, MPE, and CAEO to Be Incorporated into Beverages by Using a Sensory Panel
4.2. Optimization of the Physicochemical Characteristics
4.2.1. Regression Models Analysis
4.2.2. Analysis of Response Surface
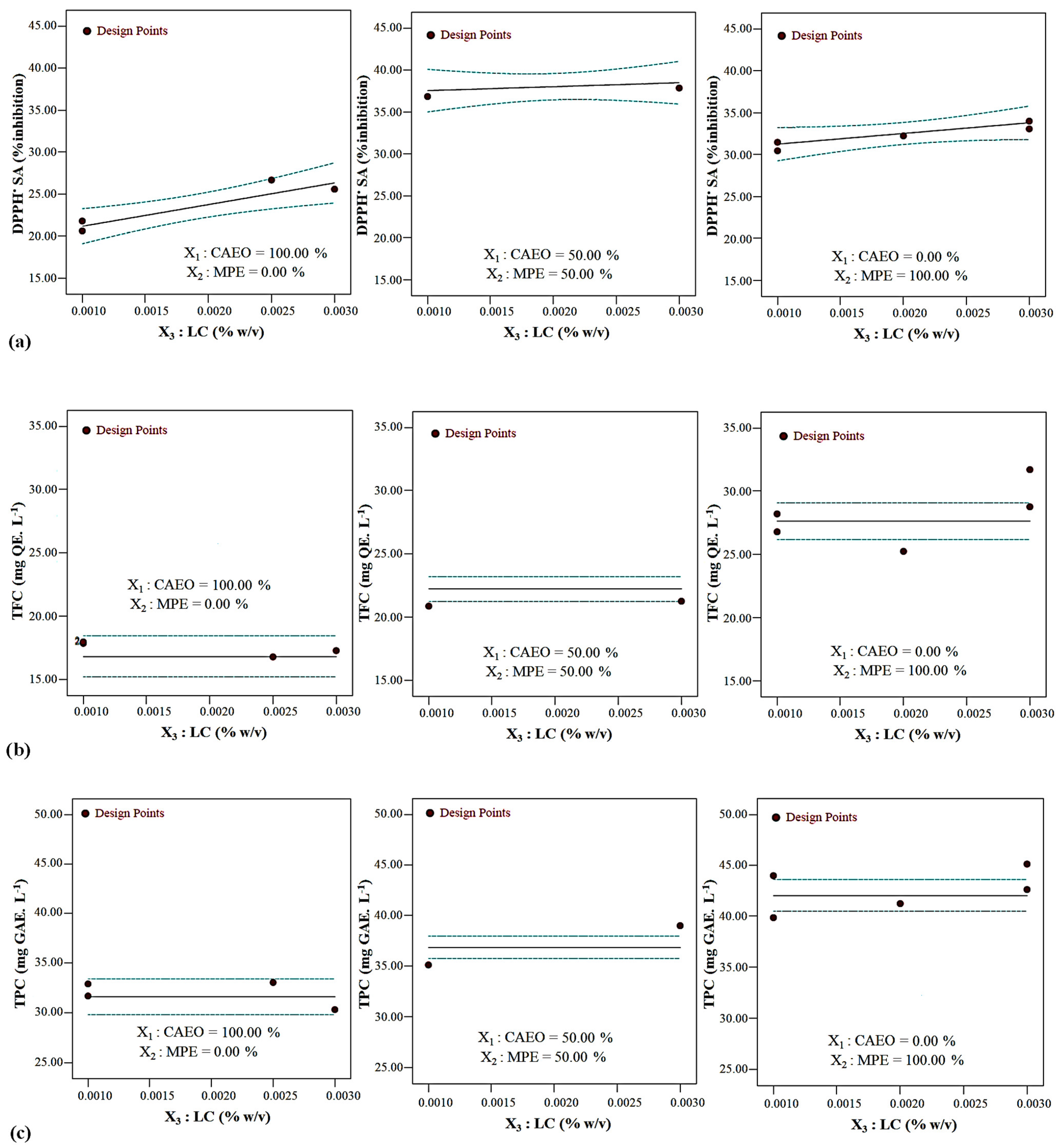
The Combined Effects of Potentially Functional Components on DPPH• SA
The Combined Effects of Potentially Functional Components on Total Flavonoid Content (TFC)
The Combined Effects of Potentially Functional Components on Total Phenolic Content (TPC)
4.2.3. Overall Optimization Procedure
4.2.4. Verification Tests and Validation of the Models
5. Discussion
6. Conclusions
Author Contributions
Funding
Data Availability Statement
Acknowledgments
Conflicts of Interest
References
- Corbo, M.R.; Bevilacqua, A.; Petruzzi, L.; Casanova, F.P.; Sinigaglia, M. Functional beverages: The emerging side of functional foods: Commercial trends, research, and health implications. Compr. Rev. Food Sci. Food Saf. 2014, 13, 1192–1206. [Google Scholar] [CrossRef]
- Garcia, H.S.; Santiago-López, L.; González-Córdova, A.F.; Vallejo-Cordoba, B.; Hernández-Mendoza, A. Evaluation of a pseudocereal suitability to prepare a functional fermented beverage with epiphytic lactic acid bacteria of Huauzontle (Chenopodium berlandieri spp. nuttalliae). LWT 2022, 155, 112913. [Google Scholar] [CrossRef]
- Agulló, V.; Domínguez-Perles, R.; García-Viguera, C. Sweetener influences plasma concentration of flavonoids in humans after an acute intake of a new (poly) phenol-rich beverage. Nutr. Metab. Cardiovasc. Dis. 2021, 31, 930–938. [Google Scholar] [CrossRef] [PubMed]
- Ma, M.; Yuan, Y.; Yang, S.; Wang, Y.; Lv, Z. Fabrication and characterization of zein/tea saponin composite nanoparticles as delivery vehicles of lutein. LWT 2020, 125, 109270. [Google Scholar] [CrossRef]
- Liu, Y.; Zhang, C.; Cui, B.; Wang, M.; Fu, H.; Wang, Y. Carotenoid-enriched oil preparation and stability analysis during storage: Influence of oils’ chain length and fatty acid saturation. LWT 2021, 151, 112163. [Google Scholar] [CrossRef]
- Bueno, M.; Vitali, C.; Sánchez-Martínez, J.D.; Mendiola, J.A.; Cifuentes, A.; Ibáñez, E.; Herrero, M. Compressed CO2 technologies for the recovery of carotenoid-enriched extracts from Dunaliella salina with potential neuroprotective activity. ACS Sustain. Chem. Eng. 2020, 8, 11413–11423. [Google Scholar] [CrossRef]
- Cheng, C.J.; Ferruzzi, M.; Jones, O.G. Fate of lutein-containing zein nanoparticles following simulated gastric and intestinal digestion. Food Hydrocoll. 2019, 87, 229–236. [Google Scholar] [CrossRef]
- dos Santos Filho, A.L.; Freitas, H.V.; Rodrigues, S.; Abreu, V.K.G.; de Oliveira Lemos, T.; Gomes, W.F.; Narain, N.; Pereira, A.L.F. Production and stability of probiotic cocoa juice with sucralose as sugar substitute during refrigerated storage. LWT 2019, 99, 371–378. [Google Scholar] [CrossRef]
- Kappes, S.; Schmidt, S.; Lee, S.Y. Relationship between physical properties and sensory attributes of carbonated beverages. J. Food Sci. 2007, 72, S001–S011. [Google Scholar] [CrossRef]
- Liu, C.-W.; Chi, L.; Tu, P.; Xue, J.; Ru, H.; Lu, K. Quantitative proteomics reveals systematic dysregulations of liver protein metabolism in sucralose-treated mice. J. Proteom. 2019, 196, 1–10. [Google Scholar] [CrossRef]
- Dugo, G.; Di Giacomo, A. Citrus: The Genus Citrus; CRC Press: Boca Raton, FL, USA, 2002. [Google Scholar]
- Campelo, P.H.; do Carmo, E.L.; Zacarias, R.D.; Yoshida, M.I.; Ferraz, V.P.; de Barros Fernandes, R.V.; Botrel, D.A.; Borges, S.V. Effect of dextrose equivalent on physical and chemical properties of lime essential oil microparticles. Ind. Crops Prod. 2017, 102, 105–114. [Google Scholar] [CrossRef]
- Xue, F.; Gu, Y.; Wang, Y.; Li, C.; Adhikari, B. Encapsulation of essential oil in emulsion based edible films prepared by soy protein isolate-gum acacia conjugates. Food Hydrocoll. 2019, 96, 178–189. [Google Scholar] [CrossRef]
- Matan, N.; Nisoa, M.; Matan, N. Antibacterial activity of essential oils and their main components enhanced by atmospheric RF plasma. Food Control 2014, 39, 97–99. [Google Scholar] [CrossRef]
- Wadhwa, G.; Kumar, S.; Mittal, V.; Rao, R. Encapsulation of babchi essential oil into microsponges: Physicochemical properties, cytotoxic evaluation and anti-microbial activity. J. Food Drug. Anal. 2019, 27, 60–70. [Google Scholar] [CrossRef] [PubMed]
- Cam, M.; Basyigit, B.; Alasalvar, H.; Yilmaztekin, M.; Ahhmed, A.; Sagdic, O.; Konca, Y.; Telci, I. Bioactive properties of powdered peppermint and spearmint extracts: Inhibition of key enzymes linked to hypertension and type 2 diabetes. Food Biosci. 2020, 35, 100577. [Google Scholar] [CrossRef]
- Pavlić, B.; Teslić, N.; Zengin, G.; Đurović, S.; Rakić, D.; Cvetanović, A.; Gunes, A.; Zeković, Z. Antioxidant and enzyme-inhibitory activity of peppermint extracts and essential oils obtained by conventional and emerging extraction techniques. Food Chem. 2021, 338, 127724. [Google Scholar] [CrossRef]
- Begas, E.; Tsioutsiouliti, A.; Kouvaras, E.; Haroutounian, S.A.; Kasiotis, K.M.; Kouretas, D.; Asprodini, E. Effects of peppermint tea consumption on the activities of CYP1A2, CYP2A6, Xanthine Oxidase, N-acetyltranferase-2 and UDP-glucuronosyltransferases-1A1/1A6 in healthy volunteers. Food Chem. Toxicol. 2017, 100, 80–89. [Google Scholar] [CrossRef]
- Arce, M.; Ruiz, S.; Sanllorente, S.; Ortiz, M.; Sarabia, L.; Sánchez, M. A new approach based on inversion of a partial least squares model searching for a preset analytical target profile. Application to the determination of five bisphenols by liquid chromatography with diode array detector. Anal. Chim. Acta 2021, 1149, 338217. [Google Scholar] [CrossRef]
- Arya, S.; Shakya, N.K. High fiber, low glycaemic index (GI) prebiotic multigrain functional beverage from barnyard, foxtail and kodo millet. LWT 2021, 135, 109991. [Google Scholar] [CrossRef]
- Sanchez-Bel, P.; Romojaro, A.; Egea, I.; Pretel, M.T. Wild edible plants as potential antioxidant or nutritional supplements for beverages minimally processed. LWT-Food Sci. Technol. 2015, 62, 830–837. [Google Scholar] [CrossRef]
- Gironés-Vilaplana, A.; Valentão, P.; Andrade, P.B.; Ferreres, F.; Moreno, D.A.; García-Viguera, C. Beverages of lemon juice and exotic noni and papaya with potential for anticholinergic effects. Food Chem. 2015, 170, 16–21. [Google Scholar] [CrossRef] [PubMed]
- Han, J.; Jia, W.; Wan, Y.; Sun, X.; Liang, M.; Wei, C.; Liu, W. Ultrasonic-assisted extraction of carotenoids using cottonseed oil: Optimization, physicochemical properties, and flavor studies. J. Food Compos. Anal. 2022, 112, 104663. [Google Scholar] [CrossRef]
- Ordóñez-Santos, L.E.; Esparza-Estrada, J.; Vanegas-Mahecha, P. Ultrasound-assisted extraction of total carotenoids from mandarin epicarp and application as natural colorant in bakery products. LWT 2021, 139, 110598. [Google Scholar] [CrossRef]
- Imran, A.; Quispe, C.; Zeeshan, A.; Imran, M.; Nadeem, M.; Gilani, S.A.; Gondal, T.A.; Tufail, T.; Aslam, F.; Rodrigues, C.F. Development and antioxidant characterization of Ginger-Mint drink prepared through different extraction techniques. J. Food Meas. Charact. 2021, 15, 2576–2590. [Google Scholar] [CrossRef]
- Abbasi, M.; Daneshpour, M.S.; Hedayati, M.; Mottaghi, A.; Pourvali, K.; Azizi, F. Dietary total antioxidant capacity and the risk of chronic kidney disease in patients with type 2 diabetes: A nested case-control study in the Tehran Lipid Glucose Study. J. Ren. Nutr. 2019, 29, 394–398. [Google Scholar] [CrossRef] [PubMed]
- Yin, F.; Sun, X.; Zheng, W.; Luo, X.; Zhang, Y.; Yin, L.; Jia, Q.; Fu, Y. Screening of highly effective mixed natural antioxidants to improve the oxidative stability of microalgal DHA-rich oil. RSC Adv. 2021, 11, 4991–4999. [Google Scholar] [CrossRef]
- Wee, M.; Tan, V.; Forde, C. A comparison of psychophysical dose-response behaviour across 16 sweeteners. Nutrients 2018, 10, 1632. [Google Scholar] [CrossRef]
- Cassani, L.; Tomadoni, B.; Viacava, G.; Ponce, A.; Moreira, M.d.R. Enhancing quality attributes of fiber-enriched strawberry juice by application of vanillin or geraniol. LWT-Food Sci. Technol. 2016, 72, 90–98. [Google Scholar] [CrossRef]
- Cassani, L.; Gerbino, E.; del Rosario Moreira, M.; Gómez-Zavaglia, A. Influence of non-thermal processing and storage conditions on the release of health-related compounds after in vitro gastrointestinal digestion of fiber-enriched strawberry juices. J. Funct. Foods 2018, 40, 128–136. [Google Scholar] [CrossRef]
- AOAC. AOAC Official Method 942.15: Acidity (Titratable) of Fruit Products; Official Methods of Analysis of AOAC International; AOAC: Rockville, MD, USA, 1996. [Google Scholar]
- Aghajanzadeh, S.; Kashaninejad, M.; Ziaiifar, A.M. Effect of infrared heating on degradation kinetics of key lime juice physicochemical properties. Innov. Food Sci. Emerg. Technol. 2016, 38, 139–148. [Google Scholar] [CrossRef]
- Fakhri, L.A.; Ghanbarzadeh, B.; Dehghannya, J.; Dadashi, S. Central composite design based statistical modeling for optimization of barrier and thermal properties of polystyrene based nanocomposite sheet for packaging application. Food Packag. Shelf Life 2021, 30, 100725. [Google Scholar] [CrossRef]
- Fakhri, L.A.; Ghanbarzadeh, B.; Dehghannya, J.; Abbasi, F.; Ranjbar, H. Optimization of mechanical and color properties of polystyrene/nanoclay/nano ZnO based nanocomposite packaging sheet using response surface methodology. Food Packag. Shelf Life 2018, 17, 11–24. [Google Scholar] [CrossRef]
- Tokuşoğlu, Ö. The physicochemical, microbiological, organoleptic properties and antioxidant activities of functional cream cheeses fortified with lutein. Int. J. Dairy Technol. 2013, 66, 527–534. [Google Scholar] [CrossRef]
- Domingos, L.; Xavier, A.; Mercadante, A.; Petenate, A.; Jorge, R.; Viotto, W. Oxidative stability of yogurt with added lutein dye. J. Dairy Sci. 2014, 97, 616–623. [Google Scholar] [CrossRef] [PubMed]
- Tamer, C.E.; Yekeler, F.Z.; Çopur, Ö.U.; Incedayi, B.; Suna, S. A study of fortification of lemonade with herbal extracts. Food Sci. Technol. 2016, 37, 45–51. [Google Scholar] [CrossRef]
- Blejan, A.M.; Nour, V. Physico-Chemical Characteristics, Sensory Attributes and Oxidative Stability of Soy Milk Mayonnaise Enriched in Carotenoids from Tomato By-Products. Appl. Sci. 2023, 13, 7101. [Google Scholar] [CrossRef]
- Bolling, B.W.; Chen, Y.Y.; Chen, C.Y.O. Contributions of phenolics and added vitamin C to the antioxidant capacity of pomegranate and grape juices: Synergism and antagonism among constituents. Int. J. Food Sci. Technol. 2013, 48, 2650–2658. [Google Scholar] [CrossRef] [PubMed]
- Brewer, M. Natural antioxidants: Sources, compounds, mechanisms of action, and potential applications. Compr. Rev. Food Sci. Food Saf. 2011, 10, 221–247. [Google Scholar]
- Jiao, Y.; Li, D.; Liu, C.; Chang, Y.; Song, J.; Xiao, Y. Polypeptide–decorated nanoliposomes as novel delivery systems for lutein. RSC Adv. 2018, 8, 31372–31381. [Google Scholar] [CrossRef]
- Guimarães, R.; Barros, L.; Barreira, J.C.M.; Sousa, M.J.; Carvalho, A.M.; Ferreira, I.C.F.R. Targeting excessive free radicals with peels and juices of citrus fruits: Grapefruit, lemon, lime and orange. Food Chem. Toxicol. 2010, 48, 99–106. [Google Scholar] [CrossRef]
- de Moraes Barros, H.R.; de Castro Ferreira, T.A.P.; Genovese, M.I. Antioxidant capacity and mineral content of pulp and peel from commercial cultivars of citrus from Brazil. Food Chem. 2012, 134, 1892–1898. [Google Scholar] [CrossRef] [PubMed]
- Liu, S.; Li, S.; Ho, C.-T. Dietary bioactives and essential oils of lemon and lime fruits. Food Sci. Hum. Wellness 2022, 11, 753–764. [Google Scholar] [CrossRef]
- Peterson, J.J.; Beecher, G.R.; Bhagwat, S.A.; Dwyer, J.T.; Gebhardt, S.E.; Haytowitz, D.B.; Holden, J.M. Flavanones in grapefruit, lemons, and limes: A compilation and review of the data from the analytical literature. J. Food Compos. Anal. 2006, 19, S74–S80. [Google Scholar] [CrossRef]
- Teixeira, B.; Marques, A.; Ramos, C.; Neng, N.R.; Nogueira, J.M.; Saraiva, J.A.; Nunes, M.L. Chemical composition and antibacterial and antioxidant properties of commercial essential oils. Ind. Crops Prod. 2013, 43, 587–595. [Google Scholar] [CrossRef]
- Lin, L.-Y.; Chuang, C.-H.; Chen, H.-C.; Yang, K.-M. Lime (Citrus aurantifolia (Christm.) Swingle) essential oils: Volatile compounds, antioxidant capacity, and hypolipidemic effect. Foods 2019, 8, 398. [Google Scholar] [CrossRef] [PubMed]
- Riachi, L.G.; De Maria, C.A. Peppermint antioxidants revisited. Food Chem. 2015, 176, 72–81. [Google Scholar] [CrossRef]
- Mahendran, G.; Rahman, L.U. Ethnomedicinal, phytochemical and pharmacological updates on Peppermint (Mentha × piperita L.)—A review. Phytother. Res. 2020, 34, 2088–2139. [Google Scholar] [CrossRef]
- Amorati, R.; Foti, M.C.; Valgimigli, L. Antioxidant activity of essential oils. J. Agr. Food Chem. 2013, 61, 10835–10847. [Google Scholar] [CrossRef]
- Gordon, M.H. The mechanism of antioxidant action in vitro. In Food Antioxidants; Springer: Dordrecht, The Netherlands, 1990; pp. 1–18. [Google Scholar]
- Hanafy, D.M.; Prenzler, P.D.; Burrows, G.E.; Ryan, D.; Nielsen, S.; El Sawi, S.A.; El Alfy, T.S.; Abdelrahman, E.H.; Obied, H.K. Biophenols of mints: Antioxidant, acetylcholinesterase, butyrylcholinesterase and histone deacetylase inhibition activities targeting Alzheimer’s disease treatment. J. Funct. Foods 2017, 33, 345–362. [Google Scholar] [CrossRef]
- Annunziata, F.; Contente, M.L.; Anzi, V.; Donzella, S.; Conti, P.; Molinari, F.; Martino, P.A.; Meroni, G.; Sora, V.M.; Tamborini, L. Enzymatic continuous-flow preparation of nature-inspired phenolic esters as antiradical and antimicrobial agents. Food Chem. 2022, 390, 133195. [Google Scholar] [CrossRef]
- Gunathilake, K.; Rupasinghe, H.V.; Pitts, N.L. Formulation and characterization of a bioactive-enriched fruit beverage designed for cardio-protection. Food Res. Int. 2013, 52, 535–541. [Google Scholar] [CrossRef]
- Abeysinghe, D.C.; Li, X.; Sun, C.; Zhang, W.; Zhou, C.; Chen, K.-S. Bioactive compounds and antioxidant capacities in different edible tissues of citrus fruit of four species. Food Chem. 2007, 104, 1338–1344. [Google Scholar] [CrossRef]
- Middleton, E.; Kandaswami, C.; Theoharides, T.C. The effects of plant flavonoids on mammalian cells: Implications for inflammation, heart disease, and cancer. Pharmacol. Rev. 2000, 52, 673–751. [Google Scholar] [PubMed]
- Tripoli, E.; La Guardia, M.; Giammanco, S.; Di Majo, D.; Giammanco, M. Citrus flavonoids: Molecular structure, biological activity and nutritional properties: A review. Food Chem. 2007, 104, 466–479. [Google Scholar] [CrossRef]
- Abete, I.; Goyenechea, E.; Zulet, M.A.; Martínez, J.A. Obesity and metabolic syndrome: Potential benefit from specific nutritional components. Nutr. Metab. Cardiovasc. Dis. 2011, 21 (Suppl. 2), B1–B15. [Google Scholar] [CrossRef]
- Bensid, A.; El Abed, N.; Houicher, A.; Regenstein, J.M.; Özogul, F. Antioxidant and antimicrobial preservatives: Properties, mechanism of action and applications in food–a review. Crit. Rev. Food Sci. Nutr. 2022, 62, 2985–3001. [Google Scholar] [CrossRef] [PubMed]
- Vo, T.T.T.; Chu, P.-M.; Tuan, V.P.; Te, J.S.-L.; Lee, I.-T. The promising role of antioxidant phytochemicals in the prevention and treatment of periodontal disease via the inhibition of oxidative stress pathways: Updated insights. Antioxidants 2020, 9, 1211. [Google Scholar] [CrossRef] [PubMed]





| Design Point | Components | Factors | Responses e | ||||||
|---|---|---|---|---|---|---|---|---|---|
| Mixture Components | Numeric Factor | DPPH• SA f (% Inhibition) | Total Flavonoid Content (mg QE g·L−1) | Total Phenolic Content (mg GAE h·L−1) | |||||
| X1: CAEO a (Diluted 1:10) (% v/v) b | X2: MPE c (% v/v) a | X3: LC d (% w/v) | Actual Value | Estimated Value | Actual Value | Estimated Value | Actual Value | Estimated Value | |
| 1 | 0.00 | 5.00 | 0.0020 | 32.21 ± 0.64 | 32.51 | 25.25 ± 0.76 | 27.63 | 41.20 ± 2.47 | 42.01 |
| 2 | 2.50 | 2.50 | 0.0010 | 36.84 ± 1.84 | 37.54 | 20.86 ± 1.04 | 22.22 | 35.07 ± 1.75 | 36.80 |
| 3 | 5.00 | 0.00 | 0.0010 | 21.78 ± 1.09 | 21.16 | 17.85 ± 0.71 | 16.81 | 32.88 ± 2.30 | 31.60 |
| 4 | 5.00 | 0.00 | 0.0030 | 25.57 ± 0.51 | 26.32 | 17.27 ± 1.21 | 16.81 | 30.29 ± 1.21 | 31.60 |
| 5 | 1.25 | 3.75 | 0.0015 | 39.19 ± 1.57 | 37.48 | 23.96 ± 1.44 | 24.93 | 36.85 ± 1.84 | 39.40 |
| 6 | 5.00 | 0.00 | 0.0025 | 26.66 ± 0.27 | 25.03 | 16.78 ± 1.01 | 16.81 | 33.02 ± 0.66 | 31.60 |
| 7 | 2.50 | 2.50 | 0.0030 | 37.85 ± 0.38 | 38.49 | 21.25 ± 0.64 | 22.22 | 38.94 ± 1.17 | 36.80 |
| 8 | 3.75 | 1.25 | 0.0020 | 31.88 ± 0.96 | 33.35 | 18.04 ± 0.36 | 19.52 | 33.14 ± 2.32 | 34.20 |
| 9 | 0.00 | 5.00 | 0.0010 | 31.46 ± 0.63 | 31.24 | 28.19 ± 1.13 | 27.63 | 39.82 ± 1.59 | 42.01 |
| 10 | 1.25 | 3.75 | 0.0025 | 39.53 ± 1.58 | 37.99 | 24.57 ± 1.97 | 24.93 | 38.53 ± 1.93 | 39.40 |
| 11 | 0.00 | 5.00 | 0.0010 | 30.45 ± 1.83 | 31.24 | 26.79 ± 1.61 | 27.63 | 43.96 ± 2.64 | 42.01 |
| 12 | 5.00 | 0.00 | 0.0010 | 20.61 ± 0.82 | 21.16 | 17.96 ± 0.90 | 16.81 | 31.66 ± 0.63 | 31.60 |
| 13 | 0.00 | 5.00 | 0.0030 | 33.98 ± 1.02 | 33.78 | 31.70 ± 0.63 | 27.63 | 45.10 ± 1.80 | 42.01 |
| 14 | 0.00 | 5.00 | 0.0030 | 33.05 ± 1.98 | 33.78 | 28.75 ± 1.15 | 27.63 | 42.59 ± 2.56 | 42.01 |
| Sensory Scores d | |||
|---|---|---|---|
| Levels of LC a (% w/v) | Taste | Color | Overall Acceptance |
| 0.0 | 4.4 ± 1.4 a | 4.1 ± 1.2 c | 4.4 ± 1.4 c |
| 0.001 | 4.5 ± 1.1 a | 5.8 ± 0.8 a | 5.2 ± 1.1 a,b |
| 0.002 | 4.6 ± 1.1 a | 5.9 ± 0.5 a | 5.4 ± 1.1 a |
| 0.003 | 4.8 ± 1.3 a | 6.2 ± 0.8 a | 5.6 ± 1.1 a |
| 0.004 | 4.8 ± 1.3 a | 4.7 ± 1.1 b | 4.8 ± 1.2 b,c |
| Levels of MPE b (% v/v) | Taste | Odor | Overall acceptance |
| 0.0 | 4.5 ± 1.3 c | 6.3 ± 1.2 b | 5.0 ± 1.8 c |
| 2.0 | 6.3 ± 1.3 a,b | 6.9 ± 1.2 a | 6.7 ± 1.2 a |
| 3.0 | 6.7 ± 1.4 a | 7.2 ± 1.1 a | 7.0 ± 1.3 a |
| 4.0 | 6.7 ± 1.5 a | 7.0 ± 1.3 a | 6.9 ± 1.3 a |
| 5.0 | 6.5 ± 1.7 a | 6.9 ± 1.3 a | 6.7 ± 1.5 a |
| 6.0 | 5.9 ± 1.7 b | 6.1 ± 1.3 b | 6.1 ± 1.4 b |
| Levels of CAEO c (diluted 1:10) (% v/v) | Taste | Odor | Overall acceptance |
| 0.0 | 4.5 ± 1.2 c | 6.4 ± 1.3 c | 4.8 ± 1.3 c |
| 2.0 | 6.7 ± 1.4 a | 7.3 ± 1.1 a | 7.1 ± 1.2 a |
| 3.0 | 6.9 ± 1.4 a | 7.4 ± 0.8 a | 7.3 ± 1.1 a |
| 4.0 | 7.1 ± 1.1 a | 7.5 ± 0.8 a | 7.4 ± 1.0 a |
| 5.0 | 7.0 ± 1.2 a | 7.3 ± 0.8 a | 7.2 ± 1.0 a |
| 6.0 | 6.1 ± 1.4 b | 6.8 ± 0.7 b | 6.4 ± 1.1 b |
| Source | Suggested Models | Partial Sum of Squares | Lack of Fit (LOF) | Model Summary Statistics (MSS) | Sequential p-Value | |||||
|---|---|---|---|---|---|---|---|---|---|---|
| Mix Order | Process Order | Sum of Squares | Mean Square | R2 | Adjusted R2 | Predicted R2 | Mix | Process | ||
| DPPH• SA a | Quadratic | Linear | 460.82 | 92.16 | 0.1257 | 0.9713 | 0.9534 | 0.9141 | <0.0001 ** | 0.0235 * |
| Total flavonoid content | Linear | Mean | 280.50 | 280.50 | 0.3548 | 0.8943 | 0.8855 | 0.8546 | <0.0001 ** | - |
| Total phenolic content | Linear | Mean | 259.65 | 259.65 | 0.6764 | 0.8650 | 0.8538 | 0.8195 | <0.0001 ** | - |
| Source | DPPH• SA b | Total Flavonoid Content | Total Phenolic Content | ||||||
|---|---|---|---|---|---|---|---|---|---|
| Reg. Co.a | F-Value | p-Value | Reg. Co. | F-Value | p-Value | Reg. Co. | F-Value | p-Value | |
| X1 | 23.74 | - | - | 16.81 | - | - | 31.60 | - | - |
| X2 | 32.51 | - | - | 27.63 | - | - | 42.01 | - | - |
| X1X2 | 39.56 | 137.45 | <0.0001 ** | - | - | - | - | - | - |
| X1X3 | 2.58 | 12.53 | 0.0076 ** | - | - | - | - | - | - |
| X2X3 | 1.27 | 3.87 | 0.0848 | - | - | - | - | - | - |
| X1X2X3 | −5.81 | 2.11 | 0.1843 | - | - | - | |||
| Model | - | 54.22 | <0.0001 ** | - | 101.56 | <0.0001 ** | - | 76.89 | <0.0001 ** |
| Linear mixture | - | 111.51 | <0.0001 ** | - | 101.56 | <0.0001 ** | - | 76.89 | <0.0001 ** |
| Lack of fit | - | 4.41 | 0.1257 | - | 1.74 | 0.3548 | - | 0.75 | 0.6764 |
| Determination coefficient (R2) | 0.9713 | - | - | 0.8943 | - | - | 0.8650 | - | - |
| Adjusted R2 | 0.9534 | - | - | 0.8855 | - | - | 0.8538 | - | - |
| Predicted R2 | 0.9141 | - | - | 0.8546 | - | - | 0.8195 | - | - |
| Adequate precision | 20.305 | - | - | 17.220 | - | - | 14.984 | - | - |
| Coefficient of variation % | 4.14 | - | - | 7.29 | - | - | 4.92 | - | - |
| Standard deviation | 1.30 | - | - | 1.66 | - | - | 1.84 | - | - |
| PRESS | 40.76 | - | - | 45.62 | - | - | 54.17 | - | - |
| Optimum Formula | Responses at Optimum Point | ||||||
|---|---|---|---|---|---|---|---|
| Mixture Components | Numeric Factor | ||||||
| CAEO a (Diluted 1:10) (v/v) a | MPE b (v/v) c | LC d (% w/v) | Desirability | DPPH• SA e (% Inhibition) | Total Flavonoid Content (mg QE f·L−1) | Total Phenolic Content (mg GAE g·L−1) | |
| 0.05 | 4.95 | 0.003 | 0.737 | EV h | 34.060 | 27.514 | 41.895 |
| TV i | 40.15 ± 0.95 | 24.84 ± 1.19 | 51.79 ± 1.80 | ||||
| PE j (%) | 15.18 | −10.76 | 19.10 | ||||
| Physicochemical properties k | |||||||
| Total soluble solids (°Brix) | pH | Ascorbic acid l | Titratable acidity m | ||||
| 1.00 ± 0.0 | 2.55 ± 0.04 | 25.76 ± 1.67 | 0.59 ± 0.03 | ||||
Disclaimer/Publisher’s Note: The statements, opinions and data contained in all publications are solely those of the individual author(s) and contributor(s) and not of MDPI and/or the editor(s). MDPI and/or the editor(s) disclaim responsibility for any injury to people or property resulting from any ideas, methods, instructions or products referred to in the content. |
© 2023 by the authors. Licensee MDPI, Basel, Switzerland. This article is an open access article distributed under the terms and conditions of the Creative Commons Attribution (CC BY) license (https://creativecommons.org/licenses/by/4.0/).
Share and Cite
Fakhri, L.A.; Ghanbarzadeh, B.; Falcone, P.M. New Healthy Low-Sugar and Carotenoid-Enriched/High-Antioxidant Beverage: Study of Optimization and Physicochemical Properties. Foods 2023, 12, 3265. https://doi.org/10.3390/foods12173265
Fakhri LA, Ghanbarzadeh B, Falcone PM. New Healthy Low-Sugar and Carotenoid-Enriched/High-Antioxidant Beverage: Study of Optimization and Physicochemical Properties. Foods. 2023; 12(17):3265. https://doi.org/10.3390/foods12173265
Chicago/Turabian StyleFakhri, Leila Abolghasemi, Babak Ghanbarzadeh, and Pasquale M. Falcone. 2023. "New Healthy Low-Sugar and Carotenoid-Enriched/High-Antioxidant Beverage: Study of Optimization and Physicochemical Properties" Foods 12, no. 17: 3265. https://doi.org/10.3390/foods12173265
APA StyleFakhri, L. A., Ghanbarzadeh, B., & Falcone, P. M. (2023). New Healthy Low-Sugar and Carotenoid-Enriched/High-Antioxidant Beverage: Study of Optimization and Physicochemical Properties. Foods, 12(17), 3265. https://doi.org/10.3390/foods12173265

